当前位置:首页>文档>专题02三角函数的图象与性质(五点法作图)(典型题型归类训练)(解析版)_02高考数学_2025年新高考资料_二轮复习_解题思路训练2025年高考数学复习解答题提优秘籍(新高考专用)

专题02三角函数的图象与性质(五点法作图)(典型题型归类训练)(解析版)_02高考数学_2025年新高考资料_二轮复习_解题思路训练2025年高考数学复习解答题提优秘籍(新高考专用)

  • 2026-05-03 21:42:37 2026-04-07 10:17:44

文档预览

专题02三角函数的图象与性质(五点法作图)(典型题型归类训练)(解析版)_02高考数学_2025年新高考资料_二轮复习_解题思路训练2025年高考数学复习解答题提优秘籍(新高考专用)
专题02三角函数的图象与性质(五点法作图)(典型题型归类训练)(解析版)_02高考数学_2025年新高考资料_二轮复习_解题思路训练2025年高考数学复习解答题提优秘籍(新高考专用)
专题02三角函数的图象与性质(五点法作图)(典型题型归类训练)(解析版)_02高考数学_2025年新高考资料_二轮复习_解题思路训练2025年高考数学复习解答题提优秘籍(新高考专用)
专题02三角函数的图象与性质(五点法作图)(典型题型归类训练)(解析版)_02高考数学_2025年新高考资料_二轮复习_解题思路训练2025年高考数学复习解答题提优秘籍(新高考专用)
专题02三角函数的图象与性质(五点法作图)(典型题型归类训练)(解析版)_02高考数学_2025年新高考资料_二轮复习_解题思路训练2025年高考数学复习解答题提优秘籍(新高考专用)
专题02三角函数的图象与性质(五点法作图)(典型题型归类训练)(解析版)_02高考数学_2025年新高考资料_二轮复习_解题思路训练2025年高考数学复习解答题提优秘籍(新高考专用)
专题02三角函数的图象与性质(五点法作图)(典型题型归类训练)(解析版)_02高考数学_2025年新高考资料_二轮复习_解题思路训练2025年高考数学复习解答题提优秘籍(新高考专用)
专题02三角函数的图象与性质(五点法作图)(典型题型归类训练)(解析版)_02高考数学_2025年新高考资料_二轮复习_解题思路训练2025年高考数学复习解答题提优秘籍(新高考专用)
专题02三角函数的图象与性质(五点法作图)(典型题型归类训练)(解析版)_02高考数学_2025年新高考资料_二轮复习_解题思路训练2025年高考数学复习解答题提优秘籍(新高考专用)
专题02三角函数的图象与性质(五点法作图)(典型题型归类训练)(解析版)_02高考数学_2025年新高考资料_二轮复习_解题思路训练2025年高考数学复习解答题提优秘籍(新高考专用)
专题02三角函数的图象与性质(五点法作图)(典型题型归类训练)(解析版)_02高考数学_2025年新高考资料_二轮复习_解题思路训练2025年高考数学复习解答题提优秘籍(新高考专用)
专题02三角函数的图象与性质(五点法作图)(典型题型归类训练)(解析版)_02高考数学_2025年新高考资料_二轮复习_解题思路训练2025年高考数学复习解答题提优秘籍(新高考专用)
专题02三角函数的图象与性质(五点法作图)(典型题型归类训练)(解析版)_02高考数学_2025年新高考资料_二轮复习_解题思路训练2025年高考数学复习解答题提优秘籍(新高考专用)
专题02三角函数的图象与性质(五点法作图)(典型题型归类训练)(解析版)_02高考数学_2025年新高考资料_二轮复习_解题思路训练2025年高考数学复习解答题提优秘籍(新高考专用)
专题02三角函数的图象与性质(五点法作图)(典型题型归类训练)(解析版)_02高考数学_2025年新高考资料_二轮复习_解题思路训练2025年高考数学复习解答题提优秘籍(新高考专用)
专题02三角函数的图象与性质(五点法作图)(典型题型归类训练)(解析版)_02高考数学_2025年新高考资料_二轮复习_解题思路训练2025年高考数学复习解答题提优秘籍(新高考专用)
专题02三角函数的图象与性质(五点法作图)(典型题型归类训练)(解析版)_02高考数学_2025年新高考资料_二轮复习_解题思路训练2025年高考数学复习解答题提优秘籍(新高考专用)
专题02三角函数的图象与性质(五点法作图)(典型题型归类训练)(解析版)_02高考数学_2025年新高考资料_二轮复习_解题思路训练2025年高考数学复习解答题提优秘籍(新高考专用)
专题02三角函数的图象与性质(五点法作图)(典型题型归类训练)(解析版)_02高考数学_2025年新高考资料_二轮复习_解题思路训练2025年高考数学复习解答题提优秘籍(新高考专用)
专题02三角函数的图象与性质(五点法作图)(典型题型归类训练)(解析版)_02高考数学_2025年新高考资料_二轮复习_解题思路训练2025年高考数学复习解答题提优秘籍(新高考专用)
专题02三角函数的图象与性质(五点法作图)(典型题型归类训练)(解析版)_02高考数学_2025年新高考资料_二轮复习_解题思路训练2025年高考数学复习解答题提优秘籍(新高考专用)
专题02三角函数的图象与性质(五点法作图)(典型题型归类训练)(解析版)_02高考数学_2025年新高考资料_二轮复习_解题思路训练2025年高考数学复习解答题提优秘籍(新高考专用)
专题02三角函数的图象与性质(五点法作图)(典型题型归类训练)(解析版)_02高考数学_2025年新高考资料_二轮复习_解题思路训练2025年高考数学复习解答题提优秘籍(新高考专用)
专题02三角函数的图象与性质(五点法作图)(典型题型归类训练)(解析版)_02高考数学_2025年新高考资料_二轮复习_解题思路训练2025年高考数学复习解答题提优秘籍(新高考专用)
专题02三角函数的图象与性质(五点法作图)(典型题型归类训练)(解析版)_02高考数学_2025年新高考资料_二轮复习_解题思路训练2025年高考数学复习解答题提优秘籍(新高考专用)
专题02三角函数的图象与性质(五点法作图)(典型题型归类训练)(解析版)_02高考数学_2025年新高考资料_二轮复习_解题思路训练2025年高考数学复习解答题提优秘籍(新高考专用)
专题02三角函数的图象与性质(五点法作图)(典型题型归类训练)(解析版)_02高考数学_2025年新高考资料_二轮复习_解题思路训练2025年高考数学复习解答题提优秘籍(新高考专用)
专题02三角函数的图象与性质(五点法作图)(典型题型归类训练)(解析版)_02高考数学_2025年新高考资料_二轮复习_解题思路训练2025年高考数学复习解答题提优秘籍(新高考专用)
专题02三角函数的图象与性质(五点法作图)(典型题型归类训练)(解析版)_02高考数学_2025年新高考资料_二轮复习_解题思路训练2025年高考数学复习解答题提优秘籍(新高考专用)
专题02三角函数的图象与性质(五点法作图)(典型题型归类训练)(解析版)_02高考数学_2025年新高考资料_二轮复习_解题思路训练2025年高考数学复习解答题提优秘籍(新高考专用)
专题02三角函数的图象与性质(五点法作图)(典型题型归类训练)(解析版)_02高考数学_2025年新高考资料_二轮复习_解题思路训练2025年高考数学复习解答题提优秘籍(新高考专用)

文档信息

文档格式
docx
文档大小
1.972 MB
文档页数
27 页
上传时间
2026-04-07 10:17:44

文档内容

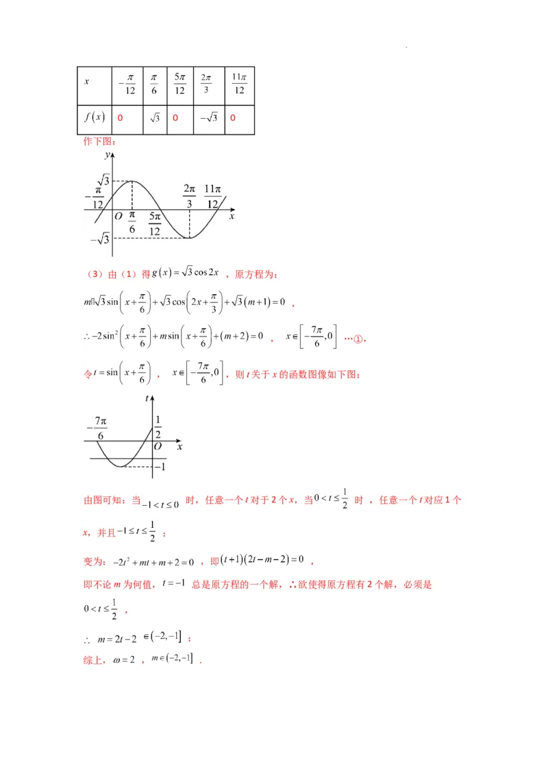
专题 02 三角函数的图象与性质(五点法作图) (典型题型归类训练) 目录 一、必备秘籍..............................................1 二、典型题型..............................................2 题型一:用五点法画出一个周期内的图象,不限制具体范围...2 题型二:用五点法画出具体某个范围内的图象...............8 三、专项训练.............................................13 一、必备秘籍 必备方法: 五点法步骤 ③ ① ② 对于复合函数 , 第一步:将 看做一个整体,用五点法作图列表时,分别令 等于 , , , , ,对应的 则取 , , , , 。,(如上表中,先列出序号①②两 行) 第二步:逆向解出 (如上表中,序号③行。) 学科网(北京)股份有限公司第三步:得到五个关键点为: , , , , 二、典型题型 题型一:用五点法画出一个周期内的图象,不限制具体范围 1.(23-24高一上·湖北武汉·期末)已知函数 . (1)请用五点法作图作出 在一个周期内的大致图象; (2)若不等式 在 上恒成立,求实数 的取值范围. 【答案】(1)见解析 (2) 【分析】(1)结合正弦函数的五点作图法,列表描点即可作图, (2)结合(1)的图象即可求解. 【详解】(1)列表如下: 0 学科网(北京)股份有限公司0 1 3 0 对应的图象如下: (2)由题意可得: 在 上恒成立, 根据小问一可得 在 上的最大值为 , 则 ,解得 , 的范围是 . 2.(23-24高一上·湖南张家界·阶段练习)利用“五点法”作图作函数 在长 度为一个周期的闭区间上的简图.(图中 轴上每格的长度为 , 轴上每格的长度为1) 列表: 学科网(北京)股份有限公司【答案】见解析 【分析】根据五点法作图的方法先取值,然后描点即可得到图象. 【详解】列表: 【点睛】本题主要考查三角函数的图象的作法,利用五点法是解决三角函数图象的基本方 法. 3.(23-24高一下·北京怀柔·期中)已知函数 满足 . (1)求 的值; (2)用五点法画出函数 在一个周期上的图象; 学科网(北京)股份有限公司(3)根据(2)得到的图形,写出函数 的图象的对称轴方程与对称中心的坐标. 【答案】(1) ; (2)见解析; (3)对称轴为: , ;对称中心为: , 【分析】(1)由特殊角三角函数直接求解 ; (2)结合五点作图进行列表描点即可作图得解; (3)结合正弦函数的对称性即可求解对称轴及对称中心; 【详解】(1) ,即 ,又 ,则 ; (2)列表如下: 0 0 1 0 0 描点连线,图像如下: (3)令 , ,解得 , ,可得函数对称轴为: , . 令 , ,解得 , ,可得函数对称中心为: , . 4.(23-24高一下·辽宁抚顺·阶段练习)小美同学用“五点法”画函数 学科网(北京)股份有限公司在某一个周期内的图象时,列表并填入了部分数据,如 下表: 0 0 0 (1)请将上表数据补充完整并求出函数 的解析式; (2)若 ,求不等式 成立的 的取值集合. 【答案】(1)表格见解析, (2) 【分析】(1)由表格数据得到 ,及 、 的方程组,解得即可得到函数解析式,再完善 表格即可; (2)首先得到 解析式,再结合正弦函数的性质计算可得. 【详解】(1)根据表中已知数据可得 , ,解得 , 所以 ; 表格数据补全如下: (2)由题意 , 不等式 ,即 ,即 , 学科网(北京)股份有限公司所以 , 解得 , 所以不等式 成立的 的取值集合为 . 5.(2024·上海长宁·二模)某同学用“五点法”画函数 在某一个 周期内的图象时,列表并填入了部分数据,如下表: 0 0 1 0 (1)请在答题卷上将上表 处的数据补充完整,并直接写出函数 的解析式; (2)设 ,求函数 的值域; 【答案】(1)补充表格见解析, (2) 【分析】(1)由表得 ,解方程组即可得 ,进一步可据此完成表格; (2)由题意结合二倍角公式、诱导公式以及辅助角公式先化简 的表达式,进一步通 过整体换元法即可求解. 【详解】(1)由题意 ,解得 , 所以函数 的解析式为 , 令 时,解得 ,当 时, , 将表中 处的数据补充完整如下表: 学科网(北京)股份有限公司0 0 1 0 0 (2)若 , 则 , 因为 ,所以 , 进而 , 所以函数 的值域为 . 题型二:用五点法画出具体某个范围内的图象 1.(2024高一·全国·专题练习)已知函数 .用“五点法”在给定的坐 标系中,画出函数 在 上的大致图象. 【答案】作图见解析 【分析】通过列表得函数 在 内的关键点以及端点值,在所给的坐标系中,描点 连线画出图. 【详解】列表: 学科网(北京)股份有限公司0 1 2 0 0 1 描点,连线,画出 在 上的大致图象如图: 2.(23-24高一上·安徽·期末)已知函数 周期为 ,其中 . (1)求函数 的单调递增区间; (2)请运用“五点法”,通过列表、描点、连线,在所给的直角坐标系中画出函数 在 上的简图. 【答案】(1) (2)答案见解析 【分析】(1)先利用周期求出函数解析式,再利用单调性可得答案; (2)利用五点法画图可得答案. 【详解】(1)由题意可得 ,所以 ; 学科网(北京)股份有限公司令 , ,解得 , 故函数 的单调递增区间为 . (2) 0 0 0 2 0 描点,连线,其简图如下 3.(23-24高一上·湖北荆州·期末)已知函数 . (1)用“五点法”作出函数 在 上的图象; (2)解不等式 . 【答案】(1)图象见解析 (2) 【分析】(1)利用“五点作图法”即可得解; (2)利用整体代入法,结合正弦函数的性质即可得解. 学科网(北京)股份有限公司【详解】(1)列表 0 0 1 0 0 又当 时, ,当 时, , 描点作图,如图所示: (2)因为 , 所以 , , 解得 , , 故不等式的解集为 . 4.(23-24高一上·云南昆明·期末)已知函数 . (1)用五点法作图作出 在 的图象; (2)求 在 上的最大值和最小值. 【答案】(1)图象见解析 (2) 学科网(北京)股份有限公司【分析】(1)根据五点法作图的方法填表,描点,作图即可; (2)根据 ,求出 的范围,再根据三角函数的性质求出最值. 【详解】(1)列表如下: 0 0 1 3 1 对应的图象如图: (2) , 又 , 即 , . 5.(23-24高一上·天津河北·期末)已知函数 , . (1)用“五点法”在所给的直角坐标系中画出函数 在区间 内的图象; (2)求函数 的最小正周期; 学科网(北京)股份有限公司(3)求函数 的单调递增区间. 【答案】(1)图象详见解析 (2) (3) 【分析】(1)利用五点作图法画出图象. (2)由 求得 的最小正周期. (3)利用整体代入法求得 的单调递增区间. 【详解】(1) , 列表如下: 描点画图如下: (2)函数 的最小正周期 . (3)由 , 解得 , 所以 的单调递增区间为 . 学科网(北京)股份有限公司三、专项训练 1.(23-24高一上·湖北·期末)已知函数 (1)填写下表,并用“五点法”画出 在 上的图象; x 0 (2)将 的图象向下平移1个单位,横坐标扩大为原来的4倍,再向左平移 个单位 后,得到 的图象,求 的对称中心. 【答案】(1)表格见解析,图象见解析 (2) 【分析】(1)首先根据五点法将表格补充完整,然后描点,最终用一条“光滑”的曲线连 接起来即可. (2)根据三角函数图形的平移变换、伸缩变换法则求得 的表达式,通过整体代换即 可求解. 【详解】(1) x 0 0 0 学科网(北京)股份有限公司(2) 的图象向下平移1个单位得 的图象, 横坐标扩大为原来的4倍得, , 再向左平移 个单位后,得 , 令 ,得 , 所以函数 的对称中心为 2.(23-24高三上·北京海淀·阶段练习)某同学用“五点法”画函数 , 在某一个周期内的图象时,列表并填入了部分数据,如下表: 0 0 0 (1)请将上表数据补充完整,并直接写出函数 的解析式; (2)当 时,求不等式 的解集. 【答案】(1)表格见解析, (2) 【分析】(1)利用五点作图法完善表格即可,根据表中数据求出 即可求出函数解析 式; (2)根据正弦函数的性质结合整体思想即可得解. 学科网(北京)股份有限公司【详解】(1)由表可知 , 所以 ,所以 , 又 ,所以 , 所以 , 表格如下: 0 0 0 (2) ,即 , 所以 ,解得 , , 又因 ,所以 , 即不等式 的解集为 . 3.(22-23高一下·河南省直辖县级单位·阶段练习)用五点法作出函数 在一 个周期内的图象 【答案】答案见解析 【分析】根据五点法确定各点坐标,进而可得函数图象. 【详解】列表如下 描点连线,可得函数图象如下: 学科网(北京)股份有限公司4.(23-24高一上·江苏南通·阶段练习)某同学在研究函数 的图象与性质时,采用“五点法”画简图列表如下: (1)根据上表中数据,求出 及 的值; (2)求函数 的单调递减区间. 【答案】(1) , , , , (2) 【分析】(1)根据表格数据可得 最小正周期,由此可得 ;由 可求得 ;根据“五点法”基本原理,采用整体对应方式即可求得 ; (2)令 ,解不等式即可求得单调递减区间. 【详解】(1)由表格数据知: 的最小正周期 , , , ,解得: , 又 , ; 令 ,解得: ; 令 ,解得: ; 学科网(北京)股份有限公司令 ,解得: . (2)由(1)知: , 令 ,解得: , 的单调递减区间为 . 5.(2023高三·全国·专题练习)用“五点法”在给定的坐标系中,画出函数 在 上的大致图像. 【答案】答案见解析 【分析】根据函数解析式按照“五点法”的步骤,列表、描点、连线即可作出 的图 象. 【详解】列表: 0 1 2 0 0 1 描点,连线,画出 在 上的大致图像如图: 学科网(北京)股份有限公司6.(2023高三·全国·专题练习)已知函数 , .在用“五点法” 作函数 的图象时,列表如下: x 完成上述表格,并在坐标系中画出函数 在区间 上的图象; 【答案】填表见解析;作图见解析 【分析】由五点作图法的步骤:列表(此题找特殊点),描点,连线(用一条光滑的曲线 连接). 【详解】由题意列出以下表格: 0 学科网(北京)股份有限公司x 0 0 2 0 函数图象如图所示: 7.(22-23高一下·广东佛山·阶段练习)已知函数 . (1)请用“五点法”画出函数 在一个周期上的图像(先在所给的表格中填上所需的数 字,再画图); (2)求 的单调递增区间. 【答案】(1)答案见解析 (2) , . 【分析】 学科网(北京)股份有限公司(1)分别令 , , , , ,列表描点连线可得函数图像; (2)将 表示出来并化简,利用三角函数的单调性求解即可. 【详解】(1) 分别令 , , , , ,可得: 0 0 1 0 0 画出在一个周期的图像如图所示: (2) , 若求单调递增区间,需满足 , , , , 则 的单调递增区间为 , . 8.(22-23高一下·江西赣州·期末)已如函数 . (1)用“五点法”作出函数 在区间 上的图像; (2)将函数 的图像向右平移 个单位长度,再将图像上的每个点的横坐标都伸长为原来 学科网(北京)股份有限公司的2倍,纵坐标不变,得到函数 的图像,求 在区间 上的取值范围. 【答案】(1)图像见解析 (2) 【分析】(1)根据题意列出“五点法”对应的表格,从而得解; (2)利用三角函数平移伸缩变换的性质得到 的解析式,从而利用三角函数的性质即 可得解. 【详解】(1)依题意,列表如下: 所以数 在区间 上的图象如下: . (2)因为 , 所以将函数 的图像向右平移 个单位长度,可得到 的图像, 再将得到的图像上的每个点的横坐标都伸长为原来的2倍,纵坐标不变,可得到 的图像, 因为 ,所以 ,则 学科网(北京)股份有限公司故 的取值范围是 . 9.(22-23高一下·江西赣州·阶段练习)某同学用“五点法”画函数 在某一个周期内的图象时,列表并填入了部分数 据,如下表: x 0 0 3 0 0 (1)请将上表数据补充完整,并写出函数 的解析式(直接写出结果即可); (2)根据表格中的数据作出 在一个周期内的图象; (3)求函数 在区间 上的值域. 【答案】(1)表格见解析, ; (2)作图见解析; (3) . 【分析】(1)利用最大值求 ;由表格中数据先求周期,再求 ;再由 求得 , 进而得到解析式,由解析式补全表格即可; (2)由表格数据描点连线作图即可; (3)令 ,则 ,利用正弦函数的性质求解即可. 【详解】(1)由题表知 , ,所以 , , , 学科网(北京)股份有限公司, 则数据补全如下表: 0 0 3 0 0 ; (2)由(1), 在一个周期内的图象如图所示, ; (3)令 ,则 , 所以 在 上的值域可转化为 在 上的值域, 因为正弦函数 在区间 上单调递减,在区间 上单调递增, 所以 在区间 上单调递减,在区间 上单调递增, 故 的最小值为 ,最大值为 , 当 时, ;当 时, , 故当 时, ;当 时, , 所以函数 在区间 上的值域为 . 10.(22-23高一上·广东广州·期末)设函数 ( 学科网(北京)股份有限公司),将该函数的图像向左平移 个单位长度后得到函数 的图像,函数 的图像关于 y轴对称. (1)求 的值; (2)在给定的坐标系内,用“五点法”列表、画出函数 在一个周期内的图像; (3)设关于x的方程 在区间 上有两个不相等的实数 根,求实数m的取值范围. 【答案】(1) (2)图像见解析 (3) 【分析】(1)先对 作恒等变换,再求出 解析式,根据条件求出 ; (2)用整体代入法取5点作图; (3)将原方程转化为一元二次方程求解. 【详解】(1) , ,是偶函数,并且 ; (2)由(1)的结论得 , 取5点得下表: 学科网(北京)股份有限公司0 0 0 作下图: (3)由(1)得 ,原方程为: , , …①, 令 , ,则t关于x的函数图像如下图: 由图可知:当 时,任意一个t对于2个x,当 时 ,任意一个t对应1个 x,并且 ; 变为: ,即 , 即不论m为何值, 总是原方程的一个解,∴欲使得原方程有2个解,必须是 , ; 综上, , . 学科网(北京)股份有限公司学科网(北京)股份有限公司