当前位置:首页>文档>第01讲集合的概念与运算(解析版)_2024年新高考资料_1.2024一轮复习_2024年高考数学一轮复习精品导学案(新高考)_第01讲+集合的概念与运算-2024年高考数学一轮复习精品导学案(新高考)

第01讲集合的概念与运算(解析版)_2024年新高考资料_1.2024一轮复习_2024年高考数学一轮复习精品导学案(新高考)_第01讲+集合的概念与运算-2024年高考数学一轮复习精品导学案(新高考)

  • 2026-04-14 00:18:48 2026-04-14 00:18:48

文档预览

第01讲集合的概念与运算(解析版)_2024年新高考资料_1.2024一轮复习_2024年高考数学一轮复习精品导学案(新高考)_第01讲+集合的概念与运算-2024年高考数学一轮复习精品导学案(新高考)
第01讲集合的概念与运算(解析版)_2024年新高考资料_1.2024一轮复习_2024年高考数学一轮复习精品导学案(新高考)_第01讲+集合的概念与运算-2024年高考数学一轮复习精品导学案(新高考)
第01讲集合的概念与运算(解析版)_2024年新高考资料_1.2024一轮复习_2024年高考数学一轮复习精品导学案(新高考)_第01讲+集合的概念与运算-2024年高考数学一轮复习精品导学案(新高考)
第01讲集合的概念与运算(解析版)_2024年新高考资料_1.2024一轮复习_2024年高考数学一轮复习精品导学案(新高考)_第01讲+集合的概念与运算-2024年高考数学一轮复习精品导学案(新高考)
第01讲集合的概念与运算(解析版)_2024年新高考资料_1.2024一轮复习_2024年高考数学一轮复习精品导学案(新高考)_第01讲+集合的概念与运算-2024年高考数学一轮复习精品导学案(新高考)
第01讲集合的概念与运算(解析版)_2024年新高考资料_1.2024一轮复习_2024年高考数学一轮复习精品导学案(新高考)_第01讲+集合的概念与运算-2024年高考数学一轮复习精品导学案(新高考)
第01讲集合的概念与运算(解析版)_2024年新高考资料_1.2024一轮复习_2024年高考数学一轮复习精品导学案(新高考)_第01讲+集合的概念与运算-2024年高考数学一轮复习精品导学案(新高考)
第01讲集合的概念与运算(解析版)_2024年新高考资料_1.2024一轮复习_2024年高考数学一轮复习精品导学案(新高考)_第01讲+集合的概念与运算-2024年高考数学一轮复习精品导学案(新高考)
第01讲集合的概念与运算(解析版)_2024年新高考资料_1.2024一轮复习_2024年高考数学一轮复习精品导学案(新高考)_第01讲+集合的概念与运算-2024年高考数学一轮复习精品导学案(新高考)
第01讲集合的概念与运算(解析版)_2024年新高考资料_1.2024一轮复习_2024年高考数学一轮复习精品导学案(新高考)_第01讲+集合的概念与运算-2024年高考数学一轮复习精品导学案(新高考)
第01讲集合的概念与运算(解析版)_2024年新高考资料_1.2024一轮复习_2024年高考数学一轮复习精品导学案(新高考)_第01讲+集合的概念与运算-2024年高考数学一轮复习精品导学案(新高考)
第01讲集合的概念与运算(解析版)_2024年新高考资料_1.2024一轮复习_2024年高考数学一轮复习精品导学案(新高考)_第01讲+集合的概念与运算-2024年高考数学一轮复习精品导学案(新高考)
第01讲集合的概念与运算(解析版)_2024年新高考资料_1.2024一轮复习_2024年高考数学一轮复习精品导学案(新高考)_第01讲+集合的概念与运算-2024年高考数学一轮复习精品导学案(新高考)
第01讲集合的概念与运算(解析版)_2024年新高考资料_1.2024一轮复习_2024年高考数学一轮复习精品导学案(新高考)_第01讲+集合的概念与运算-2024年高考数学一轮复习精品导学案(新高考)
第01讲集合的概念与运算(解析版)_2024年新高考资料_1.2024一轮复习_2024年高考数学一轮复习精品导学案(新高考)_第01讲+集合的概念与运算-2024年高考数学一轮复习精品导学案(新高考)
第01讲集合的概念与运算(解析版)_2024年新高考资料_1.2024一轮复习_2024年高考数学一轮复习精品导学案(新高考)_第01讲+集合的概念与运算-2024年高考数学一轮复习精品导学案(新高考)
第01讲集合的概念与运算(解析版)_2024年新高考资料_1.2024一轮复习_2024年高考数学一轮复习精品导学案(新高考)_第01讲+集合的概念与运算-2024年高考数学一轮复习精品导学案(新高考)
第01讲集合的概念与运算(解析版)_2024年新高考资料_1.2024一轮复习_2024年高考数学一轮复习精品导学案(新高考)_第01讲+集合的概念与运算-2024年高考数学一轮复习精品导学案(新高考)
第01讲集合的概念与运算(解析版)_2024年新高考资料_1.2024一轮复习_2024年高考数学一轮复习精品导学案(新高考)_第01讲+集合的概念与运算-2024年高考数学一轮复习精品导学案(新高考)
第01讲集合的概念与运算(解析版)_2024年新高考资料_1.2024一轮复习_2024年高考数学一轮复习精品导学案(新高考)_第01讲+集合的概念与运算-2024年高考数学一轮复习精品导学案(新高考)

文档信息

文档格式
docx
文档大小
0.617 MB
文档页数
16 页
上传时间
2026-04-14 00:18:48

文档内容

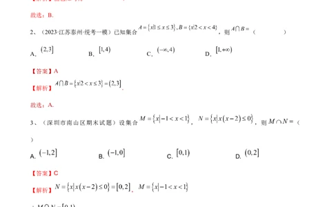
第 01 讲 集合的概念与运算 1、集合与元素 (1)集合中元素的三个特性:确定性、互异性、无序性. (2)元素与集合的关系是属于或不属于,用符号∈或∉表示. (3)集合的表示法:列举法、描述法、图示法. (4)常见数集的记法 非负整数集 集合 正整数集 整数集 有理数集 实数集 (或自然数集) 符号 N N*(或N ) Z Q R + 2、集合的基本关系 (1)子集:一般地,对于两个集合A,B,如果集合A中任意一个元素都是集合B中的元素,就称集合A为 集合B的子集,记作 A ⊆ B (或B⊇A). (2)真子集:如果集合A⊆B,但存在元素x∈B,且 x ∉ A ,就称集合A是集合B的真子集,记作 A  B (或 BA). (3)相等:若A⊆B,且 B ⊆ A ,则A=B. (4)空集:不含任何元素的集合叫做空集,记为∅.空集是任何集合的子集,是任何非空集合的真子集. 3、集合的基本运算 表示 文字语言 集合语言 图形语言 记法 运算 所有属于集合A或属于集 并集 { x | x ∈ A ,或 x ∈ B } A ∪ B 合B的元素组成的集合 所有属于集合A且属于集 交集 { x | x ∈ A ,且 x ∈ B } A ∩ B 合B的元素组成的集合 全集U中不属于集合A 补集 { x | x ∈ U ,且 x ∉ A } ∁ A U 的所有元素组成的集合 { 5} 1、【2022年全国甲卷】设集合A={−2,−1,0,1,2},B= x∣0≤x< ,则A∩B=( ) 2 A.{0,1,2} B.{−2,−1,0} C.{0,1} D.{1,2} 【答案】A{ 5} 【解析】因为A={−2,−1,0,1,2},B= x∣0≤x< ,所以A∩B={0,1,2}. 2 故选:A. 2、【2022年全国甲卷】设全集U={−2,−1,0,1,2,3},集合A={−1,2},B={x∣x2−4x+3=0},则 ∁ (A∪B)=( ) U A.{1,3} B.{0,3} C.{−2,1} D.{−2,0} 【答案】D 【解析】由题意,B={x|x2−4x+3=0}={1,3},所以A∪B={−1,1,2,3}, 所以∁ (A∪B)={−2,0}. U 故选:D. 3、【2022年全国乙卷】集合M={2,4,6,8,10},N=¿,则M∩N=( ) A.{2,4} B.{2,4,6} C.{2,4,6,8} D.{2,4,6,8,10} 【答案】A 【解析】因为M={2,4,6,8,10},N={x|−1a+3时,解得a>3; ⊆ ②当A≠∅,即a≤3时, 有解得-≤a≤-1. 综上,实数a的取值范围是[-,-1]∪(3,+∞). 变式2、(2022·广东广州·三模)若 ,则 的可能取值有( ) A.0 B.0,1 C.0,3 D.0,1,3 【答案】C 【解析】 ,则 ,符合题设; 时,显然不满足集合中元素的互异性,不合题设; 时,则 ,符合题设; ∴ 或 均可以. 故选:C 方法总结:1.研究集合问题时,首先要明确构成集合的元素是什么,即弄清该集合是数集、点集,还 是其他集合;然后再看集合的构成元素满足的限制条件是什么,从而准确把握集合的含义。 2.利用集合元素的限制条件求参数的值或确定集合中元素的个数时,要注意检验集合中的元素是否满 足互异性。特别是含有字母的集合,在求出字母的值后,要注意检验集合中的元素是否满足互异性考向二 集合间的基本关系 例2、已知集合A={1,3,},B={2-x,1}. (1) 记集合M={1,4,y},若集合A=M,求实数x+y的值; (2) 是否存在实数x,使得B A?若存在,求出x的值;若不存在,请说明理由. 【解析】 (1) 因为A=M,A={1,3,},M={1,4,y}, ⊆ 所以解得 所以x+y=16+3=19. (2) 假设存在实数x,使得B A. ①当2-x=3,即x=-1时,不存在,不符合题意; ⊆ ②当2-x=时,解得x=1. 又≠1,所以不符合题意. 综上所述,不存在实数x,使得B A. 变式1、(2022·河北保定·高三期末)设⊆集合 均为非空集合.( ) A.若 ,则 B.若 ,则 C.若 ,则 D.若 ,则 【答案】C 【解析】对于A,, ,当 时,结论不成立,则A错误; 对于B, ,当 时,结论不成立,,则B错误; 对于C,因为 , ,所以 ,又 ,所以 ,则 ,则C正 确; 对于D, ,当 时,结论不成立,则D错误; 故选:C. 变式2、(2022·全国·模拟预测(文))如图,三个圆的内部区域分别代表集合 , , ,全集为 ,则 图中阴影部分的区域表示( )A. B. C. D. 【答案】B 【解析】:如图所示, A. 对应的是区域1; B. 对应的是区域2; C. 对应的是区域3; D. 对应的是区域4. 故选:B 方法总结:(1)若B⊆A,应分B=∅和B≠∅两种情况讨论. (2)已知两个集合间的关系求参数时,关键是将两个集合间的关系转化为元素或区间端点间的关系,进而 转化为参数满足的关系.解决这类问题常常要合理利用数轴、Venn图,化抽象为直观进行求解. 考向三 集合的运算 例3、(2022·江苏·阜宁县东沟中学模拟预测)设集合 , ,则 ( )A. B. C. D. 【答案】D 【解析】集合 或 所以 故选:D 变式1、(2022·河北深州市中学高三期末)已知集合 , ,则 ( ) A. B. C. D. 【答案】B 【解析】由 单调递增, ,解得: ,所以 , 单调递增, ,解得: ,所以 ,即 . 故选:B 变式2、(2022·山东省淄博实验中学高三期末)已知集合 , ,则 ( ) A. B. C. D. 【答案】A【解析】 , , 或 , . 故选:A. 变式3、(2022·湖南湘潭·三模)已知集合 , ,若 ,则m的取 值范围为( ) A. B. C. D. 【答案】A 【分析】 先解出集合 ,再结合 得到关于m的不等式,求解即可. 【详解】 因为 ,所以 ,解得 . 故选:A. 方法总结:集合运算的常用方法 ①若集合中的元素是离散的,常用Venn图求解; ②若集合中的元素是连续的实数,则用数轴表示,此时要注意端点的情况. 利用集合的运算求参数的值或取值范围的方法 ①与不等式有关的集合,一般利用数轴解决,要注意端点值能否取到; ②若集合能一一列举,则一般先用观察法得到不同集合中元素之间的关系,再列方程(组)求解. 考向四 集合的新定义问题 例4、(2022·湖南·雅礼中学一模)已知集合 , ,定义集合 ,则 中元 素的个数为 A.77 B.49 C.45 D.30【答案】C 【详解】 因为集合 ,所以集合 中有5个元素(即5个点),即图中圆中的整点, 集合 中有25个元素(即25个点):即图中正方形 中的整点, 集合 的元素可看作正方形 中的整点(除去 四个顶点),即 个. 变式1、(2022·山东青岛·高三期末)定义集合运算: .若集合 ,则 ( ) A. B. C. D. 【答案】D 【解析】因为 , 所以 , 所以当 时, , 所以 , 所以 ,故选:D 变式2、(2022·湖南·岳阳一中一模)定义集合 的一种运算: ,若 , ,则 中的元素个数为( ) A. B. C. D. 【答案】C 【解析】因为 , , , 所以 , 故集合 中的元素个数为3, 故选:C. 变式3、(2022·湖南·长郡中学模拟预测)已知集合 ,则集合 中元素的个数 是( ) A.1个 B.2个 C.3个 D.4个 【答案】C 【解析】由集合 , , 根据 , 所以 , 所以 中元素的个数是3. 故选:C 方法总结:正确理解新定义:耐心阅读,分析含义,准确提取信息是解决这类问题的前提,剥去新定 义、新法则、新运算的外表,利用所学的集合性质等知识将陌生的集合转化为我们熟悉的集合,是解决这 类问题的突破口。 1、(深圳市高级中学集团期末试题) 设集合 , ,则 ( ) A. B. C. D.【答案】C 【解析】 【详解】因为 , 所以 , 又因为 , 所以则 , 故选:C 2、(清远市高三期末试题)已知集合 , , ,则( ) A. B. C. D. 【答案】B 【解析】 【详解】由 , 又 , 所以 , 所以 ,故选项A错误, ,故选项B正确, ,故选项C错误, ,故选项D错误, 故选:B. 3、(惠州市高三期末试题)已知集合 ,则 ( )A. B. C. D. 【答案】C 【 解 析 】 】 , 因 此 . 故选:C. 4、(华南师范大学附属中学高三期末试题)已知集合 ,则 ( ). A. {3} B. {1,3} C. {3,4} D. {1,3,4} 【答案】B 【解析】:因为 , , 所以 , 因为 , 所以 , 故选:B. 5、(东莞市高三期末试题) 设集合 , ,则 ( ) A. B. C. D. 【答案】A 【解析】由 , 得 ,得 即 ,则 故选:A. 6、(梅州市大埔县高三期末试题)已知集合 , ,则 等于( A={x|x2−x−2>0} B={x|00,所以x>2或x<−1,故集合A={x>2或x<−1}, 又因为集合B={x|0