当前位置:首页>文档>第一章 3 乘法公式 第1课时_北师大初中数学_7下-北师大版初中数学_7下-初中数学北师大版(2025春季新版)持续更新_3导学案(齐全)

第一章 3 乘法公式 第1课时_北师大初中数学_7下-北师大版初中数学_7下-初中数学北师大版(2025春季新版)持续更新_3导学案(齐全)

  • 2026-05-20 16:26:06 2026-04-14 17:33:02

文档预览

第一章 3 乘法公式 第1课时_北师大初中数学_7下-北师大版初中数学_7下-初中数学北师大版(2025春季新版)持续更新_3导学案(齐全)
第一章 3 乘法公式 第1课时_北师大初中数学_7下-北师大版初中数学_7下-初中数学北师大版(2025春季新版)持续更新_3导学案(齐全)
第一章 3 乘法公式 第1课时_北师大初中数学_7下-北师大版初中数学_7下-初中数学北师大版(2025春季新版)持续更新_3导学案(齐全)
第一章 3 乘法公式 第1课时_北师大初中数学_7下-北师大版初中数学_7下-初中数学北师大版(2025春季新版)持续更新_3导学案(齐全)
第一章 3 乘法公式 第1课时_北师大初中数学_7下-北师大版初中数学_7下-初中数学北师大版(2025春季新版)持续更新_3导学案(齐全)
第一章 3 乘法公式 第1课时_北师大初中数学_7下-北师大版初中数学_7下-初中数学北师大版(2025春季新版)持续更新_3导学案(齐全)
第一章 3 乘法公式 第1课时_北师大初中数学_7下-北师大版初中数学_7下-初中数学北师大版(2025春季新版)持续更新_3导学案(齐全)
第一章 3 乘法公式 第1课时_北师大初中数学_7下-北师大版初中数学_7下-初中数学北师大版(2025春季新版)持续更新_3导学案(齐全)

文档信息

文档格式
docx
文档大小
0.056 MB
文档页数
4 页
上传时间
2026-04-14 17:33:02

文档内容

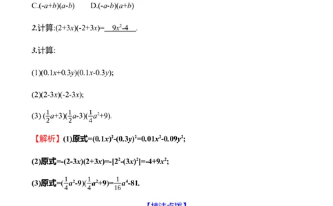
3 乘法公式 第 1 课时 课时学习目标 素养目标达成 1.在推导平方差公式数学活动中建立平方 抽象能力、推理能力、模型观念 差公式模型,感受数学公式的意义和作用 2.能运用平方差公式进行简单的计算 运算能力、推理能力 基础主干落实 夯基筑本 积厚成势 新知要点 对点小练 1.计算(a-3b)(a+3b)的正确结果是(B) A.a2+9b2 B.a2-9b2 C.a2+6ab+9b2 D.4a2-6ab+9b2 2.计算(a-2)(a+2)的结果等于 a 2 - 4 . 重点典例研析 纵横捭阖 挥斥方遒 重点 应用平方差公式进行计算(运算能力、模型观念) 【典例】(教材再开发·P18例2补充)计算: (1)(3m-n)(-n-3m); (2)(3x-y)(9x2+y2)(3x+y). 【自主解答】(1)原式=(-n+3m)(-n-3m)=(-n)2-(3m)2=n2-9m2. (2)原式=(3x-y)(3x+y)(9x2+y2)=(9x2-y2)(9x2+y2)=81x4-y4.【举一反三】 1.(2024·天津期末)下列各式能用平方差公式计算的是(A) A.(-a+b)(-a-b) B.(a+b)(a-2b) C.(-a+b)(a-b) D.(-a-b)(a+b) 2.计算:(2+3x)(-2+3x)= 9 x 2 - 4 . 3.计算: (1)(0.1x+0.3y)(0.1x-0.3y); (2)(2-3x)(-2-3x); 1 1 1 (3) ( a+3)( a-3)( a2+9). 2 2 4 【解析】(1)原式=(0.1x)2-(0.3y)2=0.01x2-0.09y2; (2)原式=-(2-3x)(2+3x)=-[22-(3x)2]=-4+9x2; 1 1 1 (3)原式=( a2-9)( a2+9)= a4-81. 4 4 16 【技法点拨】 运用平方差公式计算的三个步骤 1.找出一同一反:一相同项,一对互为相反数的项; 2.套用公式,相同项为a,互为相反数的项为b;3.计算两项的平方差. 特别提醒 相同项前的符号可以为“-”. 素养当堂测评 (10分钟·20分) 1.(3分·模型观念)下列能使用平方差公式的是(D) A.(x+3)(3+x) B.(-x+y)(x-y) C.(5m+n)(-5m-n) D.(3m+n)(3m-n) 2.(3分·运算能力、推理能力)计算下列各式,其结果是4y2-1的是(A) A.(-2y-1)(-2y+1) B.(2y-1)2 C.(4y-1)2 D.(2y+1)(-2y+1) 3.(4分·运算能力、模型观念)已知(3x+2)(ax+b)=9x2-4,则a+b的值是(C) A.-5 B.-1 C.1 D.5 4.(4分·运算能力)计算(2m+1)(2m-1)-4m2的结果等于 - 1 . 5.(6分·运算能力、应用意识)计算:1 1 1 (1) ( x+y)( x-y)( x2+y2). 3 3 9 (2)2(a-2b)(2a+b)-(2a+b)(2a-b). 1 1 1 1 1 1 【解析】(1)原式=[( x)2-y2]( x2+y2)=( x2-y2)( x2+y2)=( x2)2-(y2)2= x4-y4. 3 9 9 9 9 81 (2)原式=2(2a2+ab-4ab-2b2)-(4a2-b2)=4a2+2ab-8ab-4b2-4a2+b2=-6ab-3b2.