当前位置:首页>文档>2019年高考化学试卷(新课标Ⅱ)(解析卷)_历年高考真题合集_化学历年高考真题_新·PDF版2008-2025·高考化学真题_化学(按省份分类)2008-2025_2008-2025·(内蒙古)化学高考真题

2019年高考化学试卷(新课标Ⅱ)(解析卷)_历年高考真题合集_化学历年高考真题_新·PDF版2008-2025·高考化学真题_化学(按省份分类)2008-2025_2008-2025·(内蒙古)化学高考真题

  • 2026-04-09 22:17:53 2026-01-28 02:44:23

文档预览

2019年高考化学试卷(新课标Ⅱ)(解析卷)_历年高考真题合集_化学历年高考真题_新·PDF版2008-2025·高考化学真题_化学(按省份分类)2008-2025_2008-2025·(内蒙古)化学高考真题
2019年高考化学试卷(新课标Ⅱ)(解析卷)_历年高考真题合集_化学历年高考真题_新·PDF版2008-2025·高考化学真题_化学(按省份分类)2008-2025_2008-2025·(内蒙古)化学高考真题
2019年高考化学试卷(新课标Ⅱ)(解析卷)_历年高考真题合集_化学历年高考真题_新·PDF版2008-2025·高考化学真题_化学(按省份分类)2008-2025_2008-2025·(内蒙古)化学高考真题
2019年高考化学试卷(新课标Ⅱ)(解析卷)_历年高考真题合集_化学历年高考真题_新·PDF版2008-2025·高考化学真题_化学(按省份分类)2008-2025_2008-2025·(内蒙古)化学高考真题
2019年高考化学试卷(新课标Ⅱ)(解析卷)_历年高考真题合集_化学历年高考真题_新·PDF版2008-2025·高考化学真题_化学(按省份分类)2008-2025_2008-2025·(内蒙古)化学高考真题
2019年高考化学试卷(新课标Ⅱ)(解析卷)_历年高考真题合集_化学历年高考真题_新·PDF版2008-2025·高考化学真题_化学(按省份分类)2008-2025_2008-2025·(内蒙古)化学高考真题
2019年高考化学试卷(新课标Ⅱ)(解析卷)_历年高考真题合集_化学历年高考真题_新·PDF版2008-2025·高考化学真题_化学(按省份分类)2008-2025_2008-2025·(内蒙古)化学高考真题
2019年高考化学试卷(新课标Ⅱ)(解析卷)_历年高考真题合集_化学历年高考真题_新·PDF版2008-2025·高考化学真题_化学(按省份分类)2008-2025_2008-2025·(内蒙古)化学高考真题
2019年高考化学试卷(新课标Ⅱ)(解析卷)_历年高考真题合集_化学历年高考真题_新·PDF版2008-2025·高考化学真题_化学(按省份分类)2008-2025_2008-2025·(内蒙古)化学高考真题
2019年高考化学试卷(新课标Ⅱ)(解析卷)_历年高考真题合集_化学历年高考真题_新·PDF版2008-2025·高考化学真题_化学(按省份分类)2008-2025_2008-2025·(内蒙古)化学高考真题
2019年高考化学试卷(新课标Ⅱ)(解析卷)_历年高考真题合集_化学历年高考真题_新·PDF版2008-2025·高考化学真题_化学(按省份分类)2008-2025_2008-2025·(内蒙古)化学高考真题
2019年高考化学试卷(新课标Ⅱ)(解析卷)_历年高考真题合集_化学历年高考真题_新·PDF版2008-2025·高考化学真题_化学(按省份分类)2008-2025_2008-2025·(内蒙古)化学高考真题
2019年高考化学试卷(新课标Ⅱ)(解析卷)_历年高考真题合集_化学历年高考真题_新·PDF版2008-2025·高考化学真题_化学(按省份分类)2008-2025_2008-2025·(内蒙古)化学高考真题
2019年高考化学试卷(新课标Ⅱ)(解析卷)_历年高考真题合集_化学历年高考真题_新·PDF版2008-2025·高考化学真题_化学(按省份分类)2008-2025_2008-2025·(内蒙古)化学高考真题
2019年高考化学试卷(新课标Ⅱ)(解析卷)_历年高考真题合集_化学历年高考真题_新·PDF版2008-2025·高考化学真题_化学(按省份分类)2008-2025_2008-2025·(内蒙古)化学高考真题
2019年高考化学试卷(新课标Ⅱ)(解析卷)_历年高考真题合集_化学历年高考真题_新·PDF版2008-2025·高考化学真题_化学(按省份分类)2008-2025_2008-2025·(内蒙古)化学高考真题
2019年高考化学试卷(新课标Ⅱ)(解析卷)_历年高考真题合集_化学历年高考真题_新·PDF版2008-2025·高考化学真题_化学(按省份分类)2008-2025_2008-2025·(内蒙古)化学高考真题
2019年高考化学试卷(新课标Ⅱ)(解析卷)_历年高考真题合集_化学历年高考真题_新·PDF版2008-2025·高考化学真题_化学(按省份分类)2008-2025_2008-2025·(内蒙古)化学高考真题
2019年高考化学试卷(新课标Ⅱ)(解析卷)_历年高考真题合集_化学历年高考真题_新·PDF版2008-2025·高考化学真题_化学(按省份分类)2008-2025_2008-2025·(内蒙古)化学高考真题
2019年高考化学试卷(新课标Ⅱ)(解析卷)_历年高考真题合集_化学历年高考真题_新·PDF版2008-2025·高考化学真题_化学(按省份分类)2008-2025_2008-2025·(内蒙古)化学高考真题
2019年高考化学试卷(新课标Ⅱ)(解析卷)_历年高考真题合集_化学历年高考真题_新·PDF版2008-2025·高考化学真题_化学(按省份分类)2008-2025_2008-2025·(内蒙古)化学高考真题
2019年高考化学试卷(新课标Ⅱ)(解析卷)_历年高考真题合集_化学历年高考真题_新·PDF版2008-2025·高考化学真题_化学(按省份分类)2008-2025_2008-2025·(内蒙古)化学高考真题
2019年高考化学试卷(新课标Ⅱ)(解析卷)_历年高考真题合集_化学历年高考真题_新·PDF版2008-2025·高考化学真题_化学(按省份分类)2008-2025_2008-2025·(内蒙古)化学高考真题
2019年高考化学试卷(新课标Ⅱ)(解析卷)_历年高考真题合集_化学历年高考真题_新·PDF版2008-2025·高考化学真题_化学(按省份分类)2008-2025_2008-2025·(内蒙古)化学高考真题

文档信息

文档格式
pdf
文档大小
0.465 MB
文档页数
20 页
上传时间
2026-01-28 02:44:23

文档内容

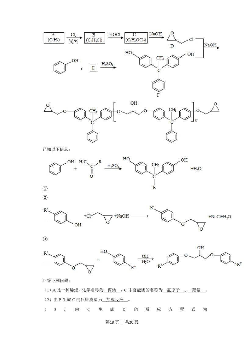
2019 年全国统一高考化学试卷(新课标Ⅱ) 参考答案与试题解析 一、选择题:共7小题,每小题6分,满分42分。在每小题给出的四个选项中,只有一项 是符合题目要求的。 1.(6分)“春蚕到死丝方尽,蜡炬成灰泪始干”是唐代诗人李商隐的著名诗句。下列关于 该诗句中所涉及物质的说法错误的是( ) A.蚕丝的主要成分是蛋白质 B.蚕丝属于天然高分子材料 C.“蜡炬成灰”过程中发生了氧化反应 D.古代的蜡是高级脂肪酸脂,属于高分子聚合物 【分析】A.蚕丝成分为蛋白质; B.天然高分子材料是自然界中存在的物质; C.石蜡空气中燃烧生成二氧化碳和水; D.高级脂肪酸脂是酯类化合物,属于高级脂肪酸甘油酯。 【解答】解:A.蚕丝的主要成分是蛋白质,故A正确; B.蚕丝是天然蛋白质,属于天然高分子材料,故B正确; C.“蜡炬成灰”过程中是石蜡燃烧发生了氧化反应,故C正确; D.古代的蜡是高级脂肪酸脂,是一种酯类物质,不属于高分子聚合物,故D错误; 故选:D。 【点评】本题考查了高分子材料的分析判断,主要是油脂、蛋白质成分的分析判断,掌 握基础是解题关键,题目难度不大。 2.(6分)已知N 是阿伏加德罗常数的值,下列说法错误的是( ) A A.3g3He含有的中子数为1N A B.1L0.1mol•L﹣1磷酸钠溶液含有的PO 3﹣数目为0.1N 4 A C.1molK Cr O 被还原为Cr3+转移的电子数为6N 2 2 7 A D.48g正丁烷和10g异丁烷的混合物中共价键数目为13N A 【分析】A、3g3He的物质的量为1mol; B、磷酸钠是强碱弱酸盐,弱离子磷酸根离子会发生水解; 第1页 | 共20页C、K Cr O 中铬由+6价变成+3价; 2 2 7 D、正丁烷和异丁烷只是碳架不同,含有的共价键数均为13条。 【解答】解:A、3g3He的物质的量为1mol,而1mol3He中子的物质的量为1mol,所以 3g3He含有的中子数为1N ,故A正确; A B、磷酸钠是强碱弱酸盐,弱离子磷酸根离子会发生水解,所以1L0.1mol•﹣1L磷酸钠溶 液含有的PO 3﹣数目小于0.1N ,故B错误; 4 A C、K Cr O 中铬由+6价变成+3价,所以1 mol K Cr O 被还原为Cr3+转移的电子数为 2 2 7 2 2 7 6N ,故C正确; A D、正丁烷和异丁烷只是碳架不同,含有的共价键数均为13条,所以48g正丁烷和10g 异丁烷,即混合物的物质的量为 =1mol,所以48g正丁烷和10g异丁烷的混合 物中共价键数目为13N ,故D正确; A 故选:B。 【点评】本题考查了阿伏伽德罗常数的有关计算,熟练掌握公式的使用和物质的结构是 解题关键,难度不大。 3.(6分)今年是门捷列夫发现元素周期律150周年。下表是元素周期表的一部分,W、X、 Y、Z为短周期主族元素,W与X的最高化合价之和为8.下列说法错误的是( ) W X Y Z A.原子半径:W<X B.常温常压下,Y单质为固态 C.气态氢化物热稳定性:Z<W D.X的最高价氧化物的水化物是强碱 【分析】W、X、Y、Z为短周期主族元素,根据图示可知,W位于第二周期,X、Y、Z 位于第三周期,设W的最外层电子数为x,则X的最外层电子数为x﹣2,W、X的最高 价分别为x、x﹣2,W与X 的最高化合价之和为8,则x+x﹣2=8,解得:x=5,则W 为N元素,结合各元素在周期表中相对位置可知,X为Al,Y为Si,Z为P元素,据此 解答。 【解答】解:根据分析可知:W为N,X为Al,Y为Si,Z为P元素。 A.电子层越多原子半径越大,则原子半径W<X,故A正确; 第2页 | 共20页B.常温常压下单质硅为固态,故B正确; C.非金属性P<N,则气态氢化物热稳定性:Z(P)<W(N),故C正确; D.X的最高价氧化物的水化物为氢氧化铝,氢氧化铝为弱碱,故D错误; 故选:D。 【点评】本题考查位置结构性质的相互关系应用,题目难度中等,推断元素为解答关键, 注意掌握元素周期律内容及常见元素化合物性质,试题侧重考查学生的分析能力及逻辑 推理能力。 4.(6分)下列实验现象与实验操作不相匹配的是( ) 实验操作 实验现象 A向盛有高锰酸钾酸性溶液的试管中通入足量的乙烯 溶液的紫色逐渐褪去,静置后溶液 后静置 分层 B将镁条点燃后迅速伸入集满CO 的集气瓶 集气瓶中产生浓烟并有黑色颗粒 2 产生 C向盛有饱和硫代硫酸钠溶液的试管中滴加稀盐酸 有刺激性气味气体产生,溶液变浑 浊 D 向盛有FeCl 溶液的试管中加过量铁粉,充分振荡 黄色逐渐消失,加KSCN后溶液颜 3 后加1滴KSCN溶液 色不变 A.A B.B C.C D.D 【分析】A.酸性高锰酸钾将乙烯氧化成二氧化碳,同时生成硫酸钾、硫酸锰,混合液不 分层; B.镁条在二氧化碳中燃烧生成氧化镁和碳; C.硫代硫酸钠与氢离子反应生成二氧化硫和硫单质; D.氯化铁与铁反应生成氯化亚铁。 【解答】解:A.向盛有高锰酸钾酸性溶液的试管中通入足量的乙烯,反应生成二氧化碳、 硫酸钾、硫酸锰和水,静置后溶液不会分层,故A错误; B.将镁条点燃后迅速伸入集满CO 的集气瓶,镁条继续燃烧反应生成MgO和C,则集 2 气瓶中产生浓烟并有黑色颗粒产生,故B正确; C.向盛有饱和硫代硫酸钠溶液的试管中滴加稀盐酸,反应生成有刺激性气味的二氧化硫 气体,同时生成S单质,导致溶液变浑浊,故C正确; 第3页 | 共20页D.反应生成氯化亚铁,铁离子消失,则黄色逐渐消失,且加KSCN后溶液颜色不变, 故D正确; 故选:A。 【点评】本题考查化学实验方案的评价,题目难度中等,涉及离子检验、元素化合物性 质等知识,明确常见元素化合物性质为解答关键,试题侧重考查学生的分析能力及化学 实验能力。 5.(6分)下列化学方程式中,不能正确表达反应颜色变化的是( ) A.向CuSO 溶液中加入足量Zn粉,溶液蓝色消失Zn+CuSO ═Cu+ZnSO 4 4 4 B.澄清的石灰水久置后出现白色固体Ca(OH) +CO ═CaCO ↓+H O 2 2 3 2 C.Na O 在空气中放置后由淡黄色变为白色2Na O ═2Na O+O ↑ 2 2 2 2 2 2 D.向Mg(OH) 悬浊液中滴加足量FeCl 溶液出现红褐色沉淀3Mg(OH) +2FeCl ═ 2 3 2 3 2Fe(OH) +3MgCl 3 2 【分析】A.锌与硫酸铜发生置换反应生成硫酸锌和铜; B.氢氧化钙与二氧化碳反应生成碳酸钙沉淀和水; C.过氧化钠较稳定,不会分解; D.氢氧化铁更难溶,实现沉淀了转化。 【解答】解:A.向CuSO 溶液中加入足量Zn粉,反应生成硫酸锌和Cu,溶液蓝色消 4 失,发生反应为:Zn+CuSO ═Cu+ZnSO ,故A正确; 4 4 B.澄清的石灰水久置后生成碳酸钙沉淀,发生反应为:Ca(OH) +CO ═CaCO ↓ 2 2 3 +H O,故B正确; 2 C.过氧化钠在空气中与二氧化碳反应生成碳酸钠,由淡黄色变为白色,发生反应: 2Na O +2CO ═2Na CO +O ,故C错误; 2 2 2 2 3 2 D.向Mg(OH) 悬浊液中滴加足量FeCl 溶液,氢氧化镁转化成更难溶的氢氧化铁沉 2 3 淀,发生反应为:3Mg(OH) +2FeCl ═2Fe(OH) +3MgCl ,故D正确; 2 3 3 2 故选:C。 【点评】本题考查化学方程式的书写,题目难度不大,明确发生反应原理为解答关键, 注意掌握化学方程式的书写原则,试题侧重考查学生的分析能力及规范答题能力。 6.(6分)绚丽多彩的无机颜料的应用曾创造了古代绘画和彩陶的辉煌。硫化镉(CdS)是 一种难溶于水的黄色颜料,其在水中的沉淀溶解平衡曲线如图所示。下列说法错误的是 ( ) 第4页 | 共20页A.图中a和b分别为T 、T 温度下CdS在水中的溶解度 1 2 B.图中各点对应的K 的关系为:K (m)=K (n)<K (p)<K (q) sp sp sp sp sp C.向m点的溶液中加入少量Na S固体,溶液组成由m沿mpn线向p方向移动 2 D.温度降低时,q点的饱和溶液的组成由q沿qp线向p方向移动 【分析】A.难溶物质的沉淀溶解平衡中物质溶解度用离子浓度表示; B.溶度积常数随温度变化,温度不变溶度积常数不变,沉淀溶解是吸热过程,升温平衡 正向进行; C.温度不变溶度积常数不变,加入硫化钠溶液中硫离子浓度增大,镉离子浓度减小; D.饱和溶液中降低温度向沉淀方向进行,溶液中离子浓度减小,溶度积常数减小。 【解答】解:A.难溶物质的沉淀溶解平衡中物质溶解度用离子浓度表示,图中a和b分 别为T 、T 温度下CdS在水中的溶解度,故A正确; 1 2 B.温度升高Ksp增大,则T >T ,图中各点对应的K 的关系为:K (m)=K (n)= 2 1 sp sp sp K (p)<K (q),故B错误; sp sp C.Ksp=c(Cd2+)c(S2﹣),向m点的溶液中加入少量Na S固体,温度不变Ksp不变, 2 硫离子浓度增大,镉离子浓度减小,溶液组成由m沿mpn线向p方向移动,故C正确; D.Ksp=c(Cd2+)c(S2﹣),是吸热过程,降低温度平衡逆向进行,饱和溶液中离子浓 度减小,Ksp减小,温度降低时,q点的饱和溶液的组成由qp线向p方向移动,故D正 确; 故选:B。 【点评】本题考查了沉淀溶解平衡的影响因素分析判断、溶度积常数随温度变化的理解 应用、图象变化的分析判断等知识点,掌握基础是解题 关键,题目难度中等。 7.(6分)分子式为C H BrCl的有机物共有(不含立体异构)( ) 4 8 A.8种 B.10种 C.12种 D.14种 【分析】C H BrCl 可以看作 C H 中 2 个 H 原子被 Cl、Br 原子取代,而丁烷有 4 8 4 10 第5页 | 共20页CH CH CH CH 、CH CH(CH ) 两种结构,据此分析。 3 2 2 3 3 3 2 【解答】解:C H BrCl可以看作C H 中2个H原子被Cl、Br原子取代,而丁烷有 4 8 4 10 CH CH CH CH 、CH CH(CH ) 两种, 3 2 2 3 3 3 2 先分析碳骨架异构,分别为 C﹣C﹣C﹣C 与 2种情况,然后分别对2 种碳骨 架采用“定一移一”的方法分析,其中骨架 C﹣C﹣C﹣C 有 、 共 8 种, 骨架 有 、 ,共 4 种,总共12种, 故选:C。 【点评】本题考查同分异构体的书写,题目难度中等,注意氯原子或溴原子取代中间碳 原子上的氢原子结构不同,侧重于考查学生的分析能力及灵活运用能力。 二、非选择题:共43分。第8~10题为必考题,每个试题考生都必须作答。第11~12为选 考题,考生根据要求作答。(一)必考题: 8.(13分)立德粉ZnS•BaSO (也称锌钡白),是一种常用白色颜料。回答下列问题: 4 (1)利用焰色反应的原理既可制作五彩缤纷的节日烟花,亦可定性鉴别某些金属盐。灼 烧立德粉样品时,钡的焰色为 D (填标号)。 A.黄色 B.红色 C.紫色 D.绿色 (2)以重晶石(BaSO )为原料,可按如图工艺生产立德粉: 4 ①在回转炉中重晶石被过量焦炭还原为可溶性硫化钡,该过程的化学方程式为 BaSO +4C BaS+4CO↑ 。回转炉尾气中含有有毒气体,生产上可通过 4 水蒸气变换反应将其转化为CO 和一种清洁能源气体,该反应的化学方程式为 CO+H O 2 2 =CO +H 。 2 2 ②在潮湿空气中长期放置的“还原料”,会逸出臭鸡蛋气味的气体,且水溶性变差,其原 第6页 | 共20页因是“还原料”表面生成了难溶于水的 BaCO (填化学式)。 3 ③沉淀器中反应的离子方程式为 Ba2++S2﹣+Zn2++SO 2﹣=ZnS•BaSO ↓ 。 4 4 (3)成品中S2﹣的含量可以用“碘量法”测得。称取mg样品,置于碘量瓶中,移取 25.00mL0.1000mol•L﹣1的 I ﹣KI 溶液于其中,并加入乙酸溶液,密闭,置暗处反应 2 5min,有单质硫析出。以淀粉为指示剂,过量的I 用0.1000mol•L﹣1Na S O 溶液滴定, 2 2 2 3 反应式为I +2S O 2﹣═2I﹣+S O 2﹣.测定时消耗Na S O 溶液体积VmL.终点颜色变化 2 2 3 4 6 2 2 3 为 浅蓝色至无色 ,样品中 S2﹣的含量为 ×100% (写出表达式)。 【分析】(1)Ba元素的焰色为绿色; (2)重晶石和焦炭混料研细后在回转炉中高温加热得到还原料,在回转炉中重晶石被过 量焦炭还原为可溶性硫化钡,则C被氧化生成CO;还原料在浸出槽中加入水过滤得到 净化的BaS溶液,滤去未反应的重晶石和C,在沉淀器中加入硫酸锌得到沉淀,然后分 离、洗涤、干燥、粉碎得到立德粉ZnS•BaSO (也称锌钡白), 4 ①在回转炉中重晶石被过量焦炭还原为可溶性硫化钡,同时生成CO; 回转炉尾气中含有有毒气体为CO,生产上可通过水蒸气变换反应将其转化为CO 和一 2 种清洁能源气体,根据元素守恒知清洁能源为氢气; ②在潮湿空气中长期放置的“还原料”,会逸出臭鸡蛋气味的气体,说明有H S生成, 2 且水溶性变差,说明有难溶性物质生成,硫离子水解生成硫化氢,同时钡离子和二氧化 碳、水反应生成碳酸钡沉淀; ③沉淀器中BaS和硫酸锌反应生成沉淀ZnS•BaSO ; 4 (3)碘遇淀粉变蓝色,当滴定终点时碘完全被消耗,溶液变为无色;与Na S O 反应消 2 2 3 耗的n(I )= n(Na S O )= ×0.1000mol•L﹣1×V×10﹣3 L,则与硫离子反应的n 2 2 2 3 (I )=25×10﹣3 L×0.1000mol•L﹣1﹣ ×0.1000mol•L﹣1×V×10﹣3 L,根据转移电子守 2 恒知关系式S2﹣~I ,所以n(S2﹣)=25×10﹣3 L×0.1000mol•L﹣1﹣ ×0.1000mol•L﹣1× 2 V×10﹣3 L,m(S2﹣)=[25×10﹣3 L×0.1000mol•L﹣1﹣ ×0.1000mol•L﹣1×V×10﹣3 L] ×32g/mol,其质量分数= ×100%。 【解答】解:(1)Ba元素的焰色为绿色,Na元素焰色为黄色、K元素焰色为紫色、Ca 第7页 | 共20页元素焰色为砖红色, 故选D; (2)重晶石和焦炭混料研细后在回转炉中高温加热得到还原料,在回转炉中重晶石被过 量焦炭还原为可溶性硫化钡,则C被氧化生成CO;还原料在浸出槽中加入水过滤得到 净化的BaS溶液,滤去未反应的重晶石和C,在沉淀器中加入硫酸锌得到沉淀,然后分 离、洗涤、干燥、粉碎得到立德粉ZnS•BaSO (也称锌钡白), 4 ①在回转炉中重晶石被过量焦炭还原为可溶性硫化钡,同时生成CO,反应方程式为 BaSO +4C BaS+4CO↑; 4 回转炉尾气中含有有毒气体为CO,生产上可通过水蒸气变换反应将其转化为CO 和一 2 种清洁能源气体,根据元素守恒知清洁能源为氢气,反应方程式为CO+H O=CO +H , 2 2 2 故答案为:BaSO +4C BaS+4CO↑;CO+H O=CO +H ; 4 2 2 2 ②在潮湿空气中长期放置的“还原料”,会逸出臭鸡蛋气味的气体,说明有H S生成, 2 且水溶性变差,说明有难溶性物质生成,硫离子水解生成硫化氢,同时钡离子和二氧化 碳、水反应生成BaCO 沉淀,导致水溶性变差, 3 故答案为:BaCO ; 3 ③沉淀器中BaS和硫酸锌反应生成沉淀ZnS•BaSO ,离子方程式为Ba2++S2﹣+Zn2++SO 2 4 4 ﹣=ZnS•BaSO ↓, 4 故答案为:Ba2++S2﹣+Zn2++SO 2﹣=ZnS•BaSO ↓; 4 4 (3)碘遇淀粉变蓝色,当滴定终点时碘完全被消耗,溶液变为无色;与Na S O 反应消 2 2 3 耗的n(I )= n(Na S O )= ×0.1000mol•L﹣1×V×10﹣3 L,则与硫离子反应的n 2 2 2 3 (I )=25×10﹣3 L×0.1000mol•L﹣1﹣ ×0.1000mol•L﹣1×V×10﹣3 L,根据转移电子守 2 恒知关系式S2﹣~I ,所以n(S2﹣)=25×10﹣3 L×0.1000mol•L﹣1﹣ ×0.1000mol•L﹣1× 2 V×10﹣3 L,m(S2﹣)=[25×10﹣3 L×0.1000mol•L﹣1﹣ ×0.1000mol•L﹣1×V×10﹣3 L] × 32g/mol , 其 质 量 分 数 = × 100% = × 100% = × 100%, 第8页 | 共20页故答案为:浅蓝色至无色; ×100%。 【点评】本题考查制备方案设计,涉及方程式的计算、离子方程式书写、氧化还原反应 等知识点,明确流程图中各物质成分及其性质、发生的化学反应、滴定原理是解本题关 键,难点是(3)题计算,注意关系式及转移电子守恒的灵活运用,题目难度不大。 9.(15分)环戊二烯( )是重要的有机化工原料,广泛用于农药、橡胶、塑料等生产。 回答下列问题: (1)已知: (g)═ (g)+H (g)△H =100.3kJ•mol﹣1① 2 1 H (g)+I (g)═2HI(g)△H =﹣11.0kJ•mol﹣1 ② 2 2 2 对于反应: (g)+I (g)═ (g)+2HI(g) ③△H = +89.3 kJ•mol﹣1。 2 3 (2)某温度下,等物质的量的碘和环戊烯( )在刚性容器内发生反应③,起始总 压为105Pa,平衡时总压增加了20%,环戊烯的转化率为 40% ,该反应的平衡常数 K = 3.56×104 Pa.达到平衡后,欲增加环戊烯的平衡转化率,可采取的措施有 BD p (填标号)。 A.通入惰性气体 B.提高温度 C.增加环戊烯浓度 D.增加碘浓度 (3)环戊二烯容易发生聚合生成二聚体,该反应为可逆反应。不同温度下,溶液中环戊 二烯浓度与反应时间的关系如图所示,下列说法正确的是 CD (填标号)。 A.T >T 1 2 B.a点的反应速率小于c点的反应速率 C.a点的正反应速率大于b点的逆反应速率 D.b点时二聚体的浓度为0.45mol•L﹣1 第9页 | 共20页(4)环戊二烯可用于制备二茂铁(Fe(C H ) ,结构简式为 ),后者广泛应用 5 5 2 于航天、化工等领域中。二茂铁的电化学制备原理如图所示,其中电解液为溶解有溴化 钠(电解质)和环戊二烯的DMF溶液(DMF为惰性有机溶剂)。 该电解池的阳极为 Fe电极 ,总反应为 Fe+2 = +H ↑(或Fe+2C H 2 5 6 =Fe(C H ) +H ↑) 。电解制备需要在无水条件下进行,原因为 水会阻碍中间物 5 5 2 2 Na的生成;水会电解生成OH﹣,进一步与Fe2+反应生成Fe(OH) 。 。 2 【分析】解:(1)已知: (g)= (g)+H (g)△H =+100.3kJ•mol﹣1① 2 1 H (g)+I (g)=2HI(g)△H =﹣11.0kJ•mol﹣1 ② 2 2 2 根据盖斯定律,①+②得目标反应③ (g)+I (g)= (g)+2HI(g),据此 2 计算△H ; 3 (2)设碘和环戊烯( )的初始物质的量都为nmol,转化的物质的量为xmol, (g)+I (g)= (g)+2HI(g) 2 初始(mol)n n 0 0 转化(mol)x x x 2x 平衡(mol)n﹣x n﹣x x 2x 刚性容器内气体的压强与物质的量成正比,则: =1+20%,解得: x=0.4nmol,据此计算;达到平衡后,欲增加环戊烯的平衡转化率,需要使平衡向着正 向移动,结合平衡移动原理分析; 第10页 | 共20页(3)A.温度越高反应速率越快,结合图象分析T 、T 大小; 1 2 B.根据a、c点曲线斜率分析; C.b点没有达到平衡状态,则v(正)>v(逆),结合a到b的过程为正反应速率逐渐 减小分析; D.b点时环戊二烯的浓度变化为:1.5mol/L﹣0.6mol/L=0.9mol/L,环戊二烯的二聚体的 浓度为环戊二烯浓度变化的一半; (4)根据转化关系可知,需要获得Fe2+,则阳极为Fe电极,阴极为Ni,阴极上钠离子 先得到电子生成金属Na,然后钠与环戊二烯反应生成氢气,实质为氢离子得到电子,阳 极上Fe失去电子生成亚铁离子,据此书写电极总反应;中间产物Na与水反应,且水解 水时生成的氢氧根离子与亚铁离子反应,影响了反应产物。 【解答】解:(1)已知: (g)= (g)+H (g)△H =+100.3kJ•mol﹣1① 2 1 H (g)+I (g)=2HI(g)△H =﹣11.0kJ•mol﹣1 ② 2 2 2 根据盖斯定律,①+②得③ (g)+I (g)= (g)+2HI(g)△H =(+100.3kJ 2 3 •mol﹣1)+(﹣11.0kJ•mol﹣1)=+89.3kJ•mol﹣1, 故答案为:+89.3; (2)设碘和环戊烯( )的初始物质的量都为nmol,转化的物质的量为xmol, (g)+I (g)= (g)+2HI(g) 2 初始(mol)n n 0 0 转化(mol)x x x 2x 平衡(mol)n﹣x n﹣x x 2x 刚性容器内气体的压强与物质的量成正比,则: =1+20%,解得: x=0.4n, 平衡时环戊烯的转化率为: ×100%=40%; 平衡时混合气体的压强为:105Pa×(1+20%)=1.2×105Pa,混合气体总物质的量为: (n﹣0.4n+n﹣0.4n+0.4n+0.4n×2)mol=2.4nmol, 平衡时各组分所占压强分别为p( )=p(I )= ×1.2×105Pa=3× 2 第11页 | 共20页104Pa,p( )= ×1.2×105Pa=2×104Pa,p(HI)= ×1.2× 105Pa=4×104Pa,该反应的平衡常数 K = ≈3.56× p 104Pa; A.通入惰性气体,各组分浓度不变,平衡不移动,则环戊烯的转化率不变,故A错误; B.该反应为吸热反应,提高温度平衡向着正向移动,环戊烯的转化率增大,故B正确; C.增加环戊烯浓度,环戊烯的转化率减小,故C错误; D.增加碘浓度,反应物浓度增大,平衡向着正向移动,环戊烯的转化率增大,故D正 确; 故答案为:40%;3.56×104;BD; (3)A.温度越高反应速率越快,根据图示可知,在温度T (虚线)的反应速率较大, 2 则T <T ,故A错误; 1 2 B.根据图象可知,a点切线斜率的绝对值大于c点切线的绝对值,则a点速率大于c点, 故B错误; C.a到b的过程为正反应速率逐渐减小,且b点v(正)>v(逆),则a点的正反应速 率大于b点的逆反应速率,故C正确; D.b点时环戊二烯的浓度变化为:1.5mol/L﹣0.6mol/L=0.9mol/L,环戊二烯的二聚体的 浓度为环戊二烯浓度变化的 ,则b点时二聚体的浓度为0.9mol/L× =0.45mol•L﹣1, 故D正确; 故答案为:CD; (4)根据转化关系可知,需要获得Fe2+,则阳极为Fe电极,发生总反应为:Fe+2 = +H ↑或Fe+2C H =Fe(C H ) +H ↑); 2 5 6 5 5 2 2 中间产物有金属Na生成,水与Na反应,阻碍了中间物Na的生成,且水电解后生成的 OH﹣与Fe2+反应生成Fe(OH) ,所以电解制备需要在无水条件下进行, 2 故答案为:Fe电极;Fe+2 = +H ↑(或Fe+2C H =Fe(C H ) +H ↑); 2 5 6 5 5 2 2 第12页 | 共20页水会阻碍中间物Na的生成;水会电解生成OH﹣,进一步与Fe2+反应生成Fe(OH) 。 2 【点评】本题考查化学平衡金属、盖斯定律应用及电解原理,题目难度较大,明确盖斯 定律内容、化学平衡及其影响为解答关键,注意掌握三段式在化学平衡计算中的应用, 试题知识点较多、综合性较强,充分考查了学生的分析、理解能力及综合应用能力。 10.(15分)咖啡因是一种生物碱(易溶于水及乙醇,熔点234.5℃,100℃以上开始升华), 有兴奋大脑神经和利尿等作用。茶叶中含咖啡因约1%~5%、单宁酸(K 约为10﹣6,易 a 溶于水及乙醇)约3%~10%,还含有色素、纤维素等。实验室从茶叶中提取咖啡因的流 程如图所示。 索氏提取装置如图所示。实验时烧瓶中溶剂受热蒸发,蒸汽沿蒸汽导管2上升至球形冷 凝管,冷凝后滴入滤纸套筒1中,与茶叶末接触,进行萃取。萃取液液面达到虹吸管3 顶端时,经虹吸管3返回烧瓶,从而实现对茶叶末的连续萃取。回答下列问题: (1)实验时需将茶叶研细,放入滤纸套筒1中,研细的目的是 增加固液接触面积,提 取充分 。圆底烧瓶中加入95%乙醇为溶剂,加热前还要加几粒 沸石 。 (2)提取过程不可选用明火直接加热,原因是 乙醇易挥发,易燃 。与常规的萃取相 比,采用索氏提取器的优点是 使用溶剂少,可连续萃取 。 (3)提取液需经“蒸馏浓缩”除去大部分溶剂。与水相比,乙醇作为萃取剂的优点是 乙醇沸点低,易浓缩 。“蒸馏浓缩”需选用的仪器除了圆底烧瓶、蒸馏头、温度计、接 收管之外,还有 AC (填标号)。 第13页 | 共20页A.直形冷凝管 B.球形冷凝管 C.接收瓶 D.烧杯 (4)浓缩液加生石灰的作用是中和 单宁酸 和吸收 水 。 (5)可采用如图所示的简易装置分离提纯咖啡因。将粉状物放入蒸发皿中并小火加热, 咖啡因在扎有小孔的滤纸上凝结,该分离提纯方法的名称是 升华 。 【分析】实验室从茶叶中提取咖啡因的流程为:将茶叶末先进行索氏提取得到茶叶残渣 和提取液,对提取液蒸馏浓缩得到浓溶液,然后向浓溶液中加入生石灰除去单宁酸和水, 得到粉状物;由于咖啡因100℃以上开始升华,可通过加热升华的方法分离出咖啡因,据 此解答。 【解答】解:(1)将茶叶研细可增大接触面积,即可反应速率,使提取充分;蒸馏操作 中,为了避免混合液体爆沸,需要加入沸石, 故答案为:增加固液接触面积,提取充分;沸石; (2)该实验中的萃取剂为乙醇,乙醇易挥发,易燃,为了避免暴沸,提取过程不可选用 明火直接加热; 根据图示装置及题干描述可知,与常规的萃取相比,索氏提取器使用溶剂少,可连续萃 取, 故答案为:乙醇易挥发,易燃;使用溶剂少,可连续萃取; (3)提取液需经“蒸馏浓缩”除去大部分溶剂。乙醇易挥发,则与水相比,乙醇作为萃 取剂的优点是乙醇沸点低,易浓缩; 结合蒸馏操作方法可知,“蒸馏浓缩”需选用的仪器除了圆底烧瓶、蒸馏头、温度计、接 收管之外,还有冷凝管和接收器,其中蒸馏操作用直形冷凝管,回流时用球形冷凝管, 所以应选用直形冷凝管,即选AC, 故答案为:乙醇沸点低,易浓缩;AC; (4)生石灰为CaO,CaO为碱性氧化物,提取液中混有单宁酸,CaO能够中和单宁酸, 第14页 | 共20页还能够吸收水分, 故答案为:单宁酸;水; (5)根据咖啡因“100℃以上开始升华”可知,该分离提纯方法为升华, 故答案为:升华。 【点评】本题考查制备方案的设计,题目难度中等,明确实验目的、实验原理为解答关 键,注意掌握常见化学实验基本操作方法,试题侧重考查学生的分析、理解能力及化学 实验能力。 (二)选考题:共15分。请考生从2道化学题中任选一题作答。如果多做,则按所做的第 一题计分。[化学-选修3:物质结构与性质] 11.(15分)近年来我国科学家发现了一系列意义重大的铁系超导材料,其中一类为Fe﹣ Sm﹣As﹣F﹣O组成的化合物。回答下列问题: (1)元素As与N同族。预测As的氢化物分子的立体结构为 三角锥形 ,其沸点比 NH 的 低 (填“高”或“低”),其判断理由是 NH 分子间存在氢键 。 3 3 (2)Fe成为阳离子时首先失去 4s 轨道电子,Sm的价层电子排布式4f66s2,Sm3+价 层电子排布式为 4f5 。 (3)比较离子半径:F﹣ 小于 O2﹣(填“大于”“等于”或“小于”)。 (4)一种四方结构的超导化合物的晶胞如图1所示。晶胞中Sm和As原子的投影位置 如图2所示。 图中F﹣和O2﹣共同占据晶胞的上下底面位置,若两者的比例依次用x和1﹣x代表,则 该化合物的化学式表示为 SmFeAsO F ;通过测定密度ρ和晶胞参数,可以计算该 1﹣x x 物质的x值,完成它们关系表达式:ρ= g•cm﹣3。 以晶胞参数为单位长度建立的坐标系可以表示晶胞中各原子的位置,称作原子分数坐标, 例如图1中原子1的坐标为( , , ),则原子2和3的坐标分别为 ( , , 0) 、 (0,0, ) 。 第15页 | 共20页【分析】(1)等电子体结构相似,根据氨气分子空间构型判断AsH 空间构型;能形成分 3 子间氢键的氢化物熔沸点较高; (2)Fe失去电子生成阳离子时电子从外到内依次失去,Sm的价层电子排布式4f66s2, 该原子失去电子生成阳离子时应该先失去6s电子,后失去4f电子; (3)电子层结构相同的离子,离子半径随着原子序数增大而减小; (4)该晶胞中As原子个数=4× =2、Sm原子个数=4× =2、Fe原子个数=1+4× =2、F﹣和O2﹣离子总数=8× +2× =2,则该晶胞中As、Sm、Fe、F﹣和O2﹣离子 总数个数之比=2:2:2:2=1:1:1:1;该晶胞体积=(a×10﹣10×a×10﹣10×c×10﹣ 10)cm3=a2c×10﹣30cm3,晶体密度= = ; 图1中原子1的坐标为( , , ),则原子2在x、y、z轴上投影分别位于 、 、 0,原子3在x、y、z轴上的投影分别为0、0、 。 【解答】解:(1)等电子体结构相似,AsH 和NH 为等电子体,二者结构相似,氨气分 3 3 子为三角锥形,根据氨气分子空间构型判断AsH 空间构型为三角锥形;能形成分子间氢 3 键的氢化物熔沸点较高,NH 分子间形成氢键、AsH 分子间不能形成氢键,所以熔沸点: 3 3 NH >AsH ,即AsH 沸点比NH 的低, 3 3 3 3 故答案为:三角锥形;低;NH 分子间存在氢键; 3 (2)Fe失去电子生成阳离子时电子从外到内依次失去,Fe原子最外层电子属于4s轨道, 所以成为阳离子时首先失去4s轨道电子,FeSm的价层电子排布式4f66s2,该原子失去电 子生成阳离子时应该先失去6s电子,后失去4f电子,Sm3+价层电子排布式为4f5, 第16页 | 共20页故答案为:4s;4f5; (3)电子层结构相同的离子,离子半径随着原子序数增大而减小,F﹣和O2﹣电子层结构 相同且原子序数F>O,则离子半径F﹣ 小于O2﹣,故答案为:小于; (4)该晶胞中As原子个数=4× =2、Sm原子个数=4× =2、Fe原子个数=1+4× =2、F﹣和O2﹣离子总数=8× +2× =2,则该晶胞中As、Sm、Fe、F﹣和O2﹣离子 总数个数之比=2:2:2:2=1:1:1:1,如果F﹣个数为x,则O2﹣个数为1﹣x,所以 该化合物化学式为SmFeAsO F ;该晶胞体积=(a×10﹣10×a×10﹣10×c×10﹣10)cm3 1﹣x x =a2c×10﹣30cm3,晶体密度= = = g/cm3= g/cm3, 图1中原子1的坐标为( , , ),则原子2在x、y、z轴上投影分别位于 、 、 0,原子3在x、y、z轴上的投影分别为0、0、 ,所以2、3原子晶胞参数分别为 ( , ,0), 故答案为:SmFeAsO F ; ; ( , ,0);(0,0, )。 1﹣x x 【点评】本题考查物质结构和性质,涉及晶胞计算、等电子体、氢键等知识点,侧重考 查基础知识掌握和运用、空间想像能力及计算能力,明确原子生成离子时失电子特点、 均摊法在晶胞计算中的正确运用是解本题关键,题目难度中等。 [化学--选修5:有机化学基础] 12.环氧树脂因其具有良好的机械性能、绝缘性能以及与各种材料的粘结性能,已广泛应用 于涂料和胶黏剂等领域。下面是制备一种新型环氧树脂G的合成路线: 第17页 | 共20页已知以下信息: ① ② ③ 回答下列问题: (1)A是一种烯烃,化学名称为 丙烯 ,C中官能团的名称为 氯原子 、 羟基 。 (2)由B生成C的反应类型为 加成反应 。 ( 3 ) 由 C 生 成 D 的 反 应 方 程 式 为 第18页 | 共20页。 (4)E的结构简式为 。 (5)E的二氯代物有多种同分异构体,请写出其中能同时满足以下条件的芳香化合物的 结构简式 、 。 ①能发生银镜反应; ②核磁共振氢谱有三组峰,且峰面积比为3:2:1。 (6)假设化合物D、F和NaOH恰好完全反应生成1mol单一聚合度的G,若生成的NaCl 和H O的总质量为765g,则G的n值理论上应等于 8 。 2 【分析】A是一种烯烃,应为CH CH=CH ,光照条件下发生取代反应生成B为ClCH CH 3 2 2 =CH ,与HOCl发生加成反应生成C为ClCH CHOHCH Cl或CH OHCHClCH Cl,由 2 2 2 2 2 信息①可知E应为 ,D、F发生缩聚反应生成G,以此解答该题。 【解答】解:(1)由以上分析可知 A 为丙烯,CC 为 ClCH CHOHCH Cl 或 2 2 CH OHCHClCH Cl,含有的官能团为氯原子、羟基,故答案为:丙烯;氯原子、羟基; 2 2 (2)B为ClCH CH=CH ,与HOCl发生加成反应生成C,故答案为:加成反应; 2 2 (3)由C生成D的反应方程式为 , 第19页 | 共20页故答案为: ; (4)E的结构简式为 ,故答案为: ; (5)E为 ,E的二氯代物有多种同分异构体,①能发生银镜反应,说明分 子中含有醛基;②核磁共振氢谱有三组峰,且峰面积比为3:2:1,则应含有1个甲基, 且结构对称,应为 、 , 故答案为: 、 ; (6)由方程式可知生成NaCl和H O的物质的量相等,若生成的NaCl和H O的总质量 2 2 为765g,则二者的物质的量分别为 =10,则需要9molF、10molD参加反应, 由G的结构简式可知n=8,故答案为:8。 【点评】本题考查有机物的合成与推断,为高频考点和常见题型,侧重考查学生的分析能力、 自学能力和计算能力,注意把握有机物官能团的变化以及题给信息,为解答该类题目的关键, 题目难度中等。 第20页 | 共20页