当前位置:首页>文档>冲刺2024年高考—专题五解析几何多选题专练六十题(解析版)_02高考数学_2024年新高考资料_3.2024专项复习_满分冲刺2024年高考数学多选题分类必刷题(新高考专用)

冲刺2024年高考—专题五解析几何多选题专练六十题(解析版)_02高考数学_2024年新高考资料_3.2024专项复习_满分冲刺2024年高考数学多选题分类必刷题(新高考专用)

  • 2026-04-15 01:53:30 2026-04-15 01:41:05

文档预览

冲刺2024年高考—专题五解析几何多选题专练六十题(解析版)_02高考数学_2024年新高考资料_3.2024专项复习_满分冲刺2024年高考数学多选题分类必刷题(新高考专用)
冲刺2024年高考—专题五解析几何多选题专练六十题(解析版)_02高考数学_2024年新高考资料_3.2024专项复习_满分冲刺2024年高考数学多选题分类必刷题(新高考专用)
冲刺2024年高考—专题五解析几何多选题专练六十题(解析版)_02高考数学_2024年新高考资料_3.2024专项复习_满分冲刺2024年高考数学多选题分类必刷题(新高考专用)
冲刺2024年高考—专题五解析几何多选题专练六十题(解析版)_02高考数学_2024年新高考资料_3.2024专项复习_满分冲刺2024年高考数学多选题分类必刷题(新高考专用)
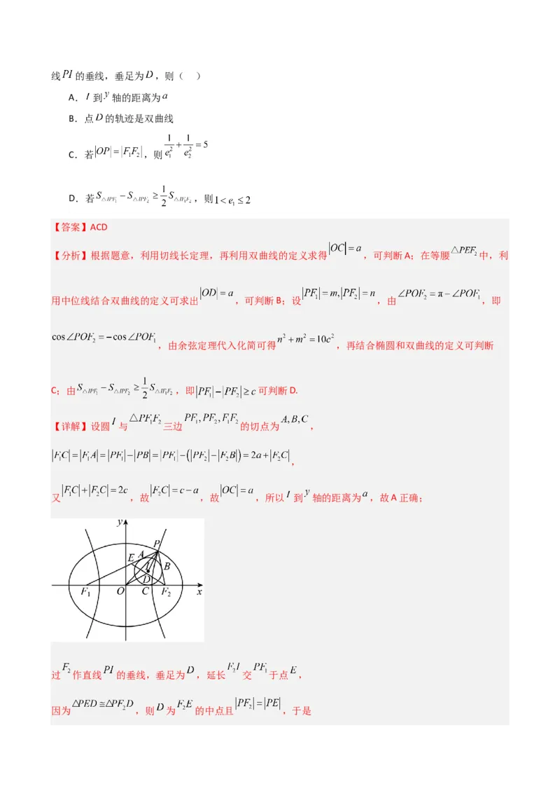
冲刺2024年高考—专题五解析几何多选题专练六十题(解析版)_02高考数学_2024年新高考资料_3.2024专项复习_满分冲刺2024年高考数学多选题分类必刷题(新高考专用)
冲刺2024年高考—专题五解析几何多选题专练六十题(解析版)_02高考数学_2024年新高考资料_3.2024专项复习_满分冲刺2024年高考数学多选题分类必刷题(新高考专用)
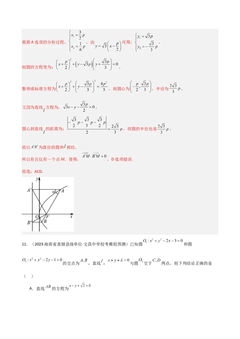
冲刺2024年高考—专题五解析几何多选题专练六十题(解析版)_02高考数学_2024年新高考资料_3.2024专项复习_满分冲刺2024年高考数学多选题分类必刷题(新高考专用)
冲刺2024年高考—专题五解析几何多选题专练六十题(解析版)_02高考数学_2024年新高考资料_3.2024专项复习_满分冲刺2024年高考数学多选题分类必刷题(新高考专用)
冲刺2024年高考—专题五解析几何多选题专练六十题(解析版)_02高考数学_2024年新高考资料_3.2024专项复习_满分冲刺2024年高考数学多选题分类必刷题(新高考专用)
冲刺2024年高考—专题五解析几何多选题专练六十题(解析版)_02高考数学_2024年新高考资料_3.2024专项复习_满分冲刺2024年高考数学多选题分类必刷题(新高考专用)
冲刺2024年高考—专题五解析几何多选题专练六十题(解析版)_02高考数学_2024年新高考资料_3.2024专项复习_满分冲刺2024年高考数学多选题分类必刷题(新高考专用)
冲刺2024年高考—专题五解析几何多选题专练六十题(解析版)_02高考数学_2024年新高考资料_3.2024专项复习_满分冲刺2024年高考数学多选题分类必刷题(新高考专用)
冲刺2024年高考—专题五解析几何多选题专练六十题(解析版)_02高考数学_2024年新高考资料_3.2024专项复习_满分冲刺2024年高考数学多选题分类必刷题(新高考专用)
冲刺2024年高考—专题五解析几何多选题专练六十题(解析版)_02高考数学_2024年新高考资料_3.2024专项复习_满分冲刺2024年高考数学多选题分类必刷题(新高考专用)
冲刺2024年高考—专题五解析几何多选题专练六十题(解析版)_02高考数学_2024年新高考资料_3.2024专项复习_满分冲刺2024年高考数学多选题分类必刷题(新高考专用)
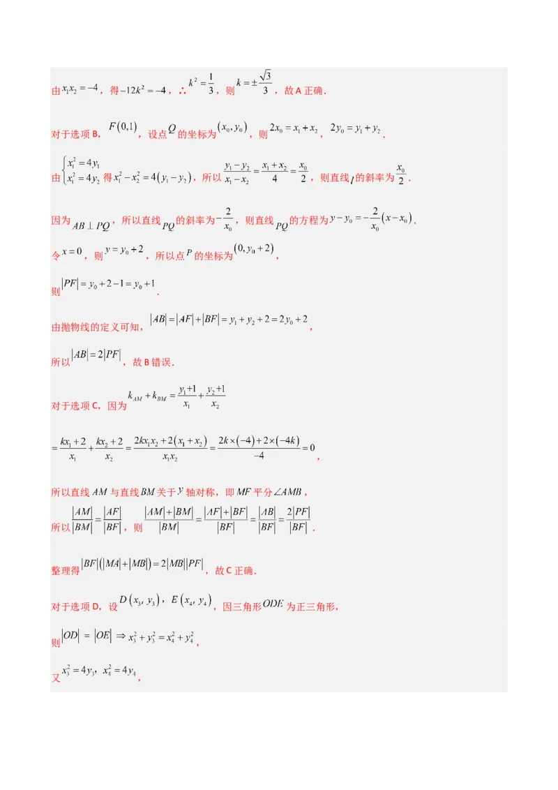
冲刺2024年高考—专题五解析几何多选题专练六十题(解析版)_02高考数学_2024年新高考资料_3.2024专项复习_满分冲刺2024年高考数学多选题分类必刷题(新高考专用)
冲刺2024年高考—专题五解析几何多选题专练六十题(解析版)_02高考数学_2024年新高考资料_3.2024专项复习_满分冲刺2024年高考数学多选题分类必刷题(新高考专用)
冲刺2024年高考—专题五解析几何多选题专练六十题(解析版)_02高考数学_2024年新高考资料_3.2024专项复习_满分冲刺2024年高考数学多选题分类必刷题(新高考专用)
冲刺2024年高考—专题五解析几何多选题专练六十题(解析版)_02高考数学_2024年新高考资料_3.2024专项复习_满分冲刺2024年高考数学多选题分类必刷题(新高考专用)
冲刺2024年高考—专题五解析几何多选题专练六十题(解析版)_02高考数学_2024年新高考资料_3.2024专项复习_满分冲刺2024年高考数学多选题分类必刷题(新高考专用)
冲刺2024年高考—专题五解析几何多选题专练六十题(解析版)_02高考数学_2024年新高考资料_3.2024专项复习_满分冲刺2024年高考数学多选题分类必刷题(新高考专用)
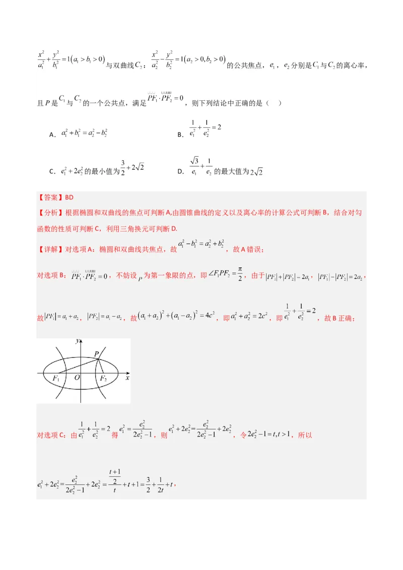
冲刺2024年高考—专题五解析几何多选题专练六十题(解析版)_02高考数学_2024年新高考资料_3.2024专项复习_满分冲刺2024年高考数学多选题分类必刷题(新高考专用)
冲刺2024年高考—专题五解析几何多选题专练六十题(解析版)_02高考数学_2024年新高考资料_3.2024专项复习_满分冲刺2024年高考数学多选题分类必刷题(新高考专用)
冲刺2024年高考—专题五解析几何多选题专练六十题(解析版)_02高考数学_2024年新高考资料_3.2024专项复习_满分冲刺2024年高考数学多选题分类必刷题(新高考专用)
冲刺2024年高考—专题五解析几何多选题专练六十题(解析版)_02高考数学_2024年新高考资料_3.2024专项复习_满分冲刺2024年高考数学多选题分类必刷题(新高考专用)
冲刺2024年高考—专题五解析几何多选题专练六十题(解析版)_02高考数学_2024年新高考资料_3.2024专项复习_满分冲刺2024年高考数学多选题分类必刷题(新高考专用)
冲刺2024年高考—专题五解析几何多选题专练六十题(解析版)_02高考数学_2024年新高考资料_3.2024专项复习_满分冲刺2024年高考数学多选题分类必刷题(新高考专用)
冲刺2024年高考—专题五解析几何多选题专练六十题(解析版)_02高考数学_2024年新高考资料_3.2024专项复习_满分冲刺2024年高考数学多选题分类必刷题(新高考专用)
冲刺2024年高考—专题五解析几何多选题专练六十题(解析版)_02高考数学_2024年新高考资料_3.2024专项复习_满分冲刺2024年高考数学多选题分类必刷题(新高考专用)
冲刺2024年高考—专题五解析几何多选题专练六十题(解析版)_02高考数学_2024年新高考资料_3.2024专项复习_满分冲刺2024年高考数学多选题分类必刷题(新高考专用)
冲刺2024年高考—专题五解析几何多选题专练六十题(解析版)_02高考数学_2024年新高考资料_3.2024专项复习_满分冲刺2024年高考数学多选题分类必刷题(新高考专用)
冲刺2024年高考—专题五解析几何多选题专练六十题(解析版)_02高考数学_2024年新高考资料_3.2024专项复习_满分冲刺2024年高考数学多选题分类必刷题(新高考专用)
冲刺2024年高考—专题五解析几何多选题专练六十题(解析版)_02高考数学_2024年新高考资料_3.2024专项复习_满分冲刺2024年高考数学多选题分类必刷题(新高考专用)
冲刺2024年高考—专题五解析几何多选题专练六十题(解析版)_02高考数学_2024年新高考资料_3.2024专项复习_满分冲刺2024年高考数学多选题分类必刷题(新高考专用)
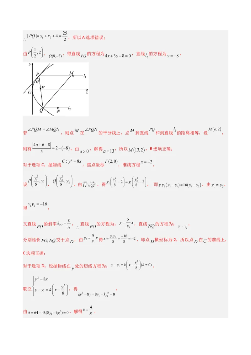
冲刺2024年高考—专题五解析几何多选题专练六十题(解析版)_02高考数学_2024年新高考资料_3.2024专项复习_满分冲刺2024年高考数学多选题分类必刷题(新高考专用)
冲刺2024年高考—专题五解析几何多选题专练六十题(解析版)_02高考数学_2024年新高考资料_3.2024专项复习_满分冲刺2024年高考数学多选题分类必刷题(新高考专用)
冲刺2024年高考—专题五解析几何多选题专练六十题(解析版)_02高考数学_2024年新高考资料_3.2024专项复习_满分冲刺2024年高考数学多选题分类必刷题(新高考专用)
冲刺2024年高考—专题五解析几何多选题专练六十题(解析版)_02高考数学_2024年新高考资料_3.2024专项复习_满分冲刺2024年高考数学多选题分类必刷题(新高考专用)
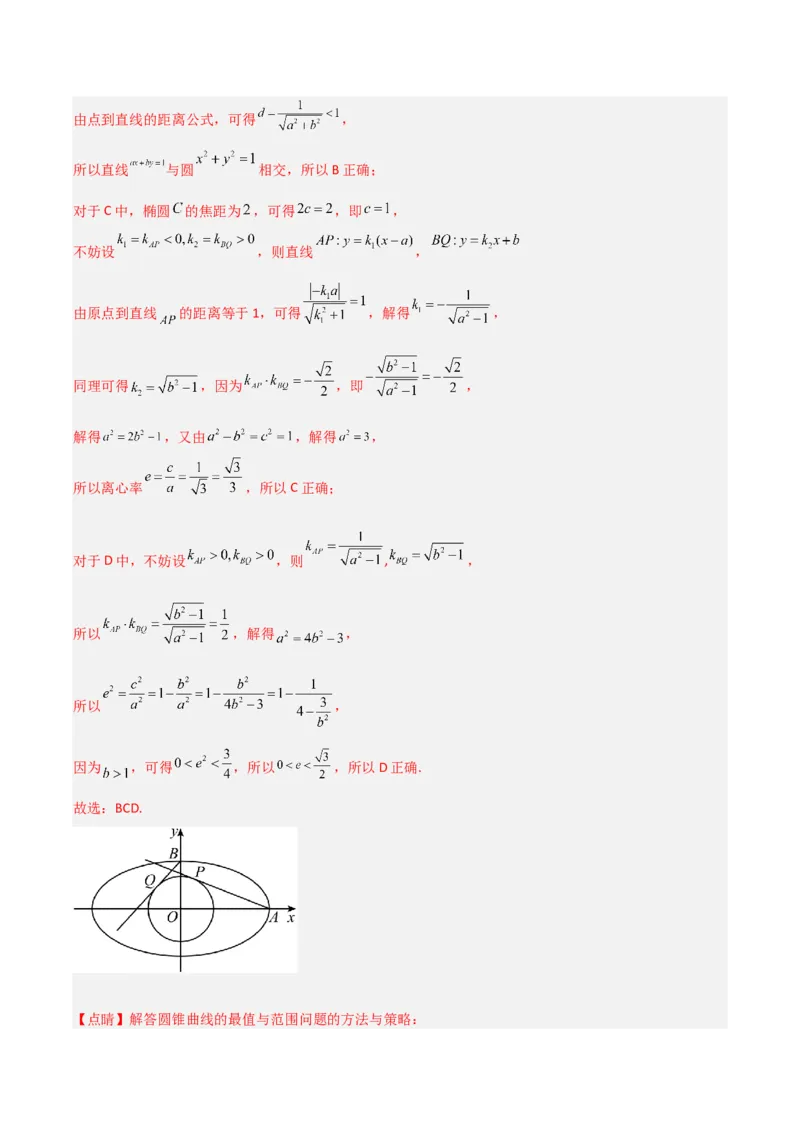
冲刺2024年高考—专题五解析几何多选题专练六十题(解析版)_02高考数学_2024年新高考资料_3.2024专项复习_满分冲刺2024年高考数学多选题分类必刷题(新高考专用)
冲刺2024年高考—专题五解析几何多选题专练六十题(解析版)_02高考数学_2024年新高考资料_3.2024专项复习_满分冲刺2024年高考数学多选题分类必刷题(新高考专用)
冲刺2024年高考—专题五解析几何多选题专练六十题(解析版)_02高考数学_2024年新高考资料_3.2024专项复习_满分冲刺2024年高考数学多选题分类必刷题(新高考专用)
冲刺2024年高考—专题五解析几何多选题专练六十题(解析版)_02高考数学_2024年新高考资料_3.2024专项复习_满分冲刺2024年高考数学多选题分类必刷题(新高考专用)
冲刺2024年高考—专题五解析几何多选题专练六十题(解析版)_02高考数学_2024年新高考资料_3.2024专项复习_满分冲刺2024年高考数学多选题分类必刷题(新高考专用)
冲刺2024年高考—专题五解析几何多选题专练六十题(解析版)_02高考数学_2024年新高考资料_3.2024专项复习_满分冲刺2024年高考数学多选题分类必刷题(新高考专用)
冲刺2024年高考—专题五解析几何多选题专练六十题(解析版)_02高考数学_2024年新高考资料_3.2024专项复习_满分冲刺2024年高考数学多选题分类必刷题(新高考专用)
冲刺2024年高考—专题五解析几何多选题专练六十题(解析版)_02高考数学_2024年新高考资料_3.2024专项复习_满分冲刺2024年高考数学多选题分类必刷题(新高考专用)
冲刺2024年高考—专题五解析几何多选题专练六十题(解析版)_02高考数学_2024年新高考资料_3.2024专项复习_满分冲刺2024年高考数学多选题分类必刷题(新高考专用)
冲刺2024年高考—专题五解析几何多选题专练六十题(解析版)_02高考数学_2024年新高考资料_3.2024专项复习_满分冲刺2024年高考数学多选题分类必刷题(新高考专用)
冲刺2024年高考—专题五解析几何多选题专练六十题(解析版)_02高考数学_2024年新高考资料_3.2024专项复习_满分冲刺2024年高考数学多选题分类必刷题(新高考专用)
冲刺2024年高考—专题五解析几何多选题专练六十题(解析版)_02高考数学_2024年新高考资料_3.2024专项复习_满分冲刺2024年高考数学多选题分类必刷题(新高考专用)
冲刺2024年高考—专题五解析几何多选题专练六十题(解析版)_02高考数学_2024年新高考资料_3.2024专项复习_满分冲刺2024年高考数学多选题分类必刷题(新高考专用)
冲刺2024年高考—专题五解析几何多选题专练六十题(解析版)_02高考数学_2024年新高考资料_3.2024专项复习_满分冲刺2024年高考数学多选题分类必刷题(新高考专用)
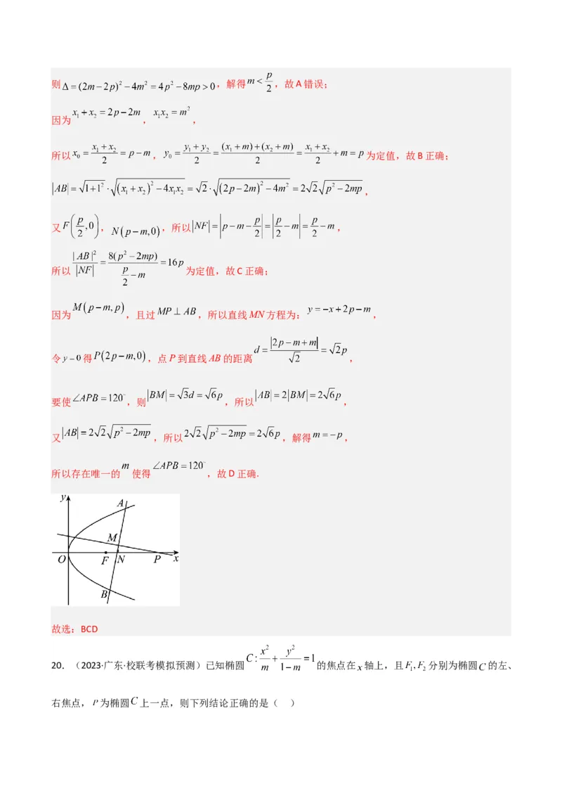
冲刺2024年高考—专题五解析几何多选题专练六十题(解析版)_02高考数学_2024年新高考资料_3.2024专项复习_满分冲刺2024年高考数学多选题分类必刷题(新高考专用)
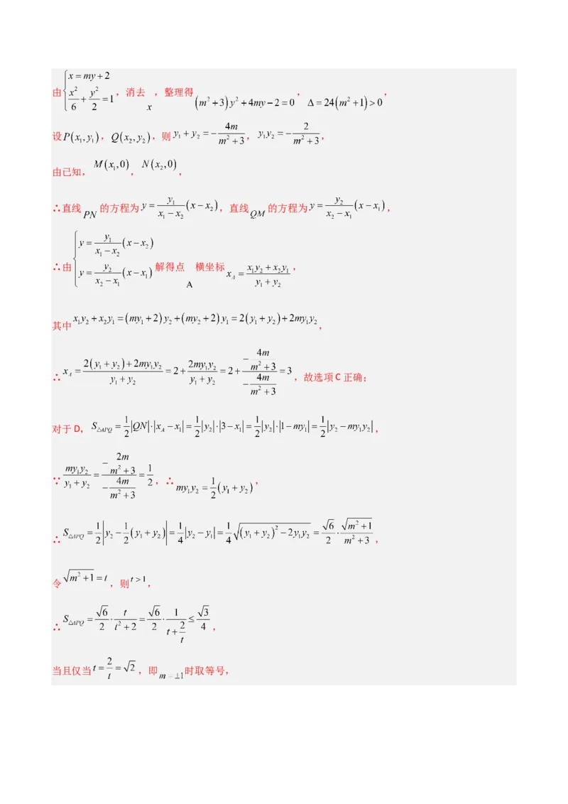
冲刺2024年高考—专题五解析几何多选题专练六十题(解析版)_02高考数学_2024年新高考资料_3.2024专项复习_满分冲刺2024年高考数学多选题分类必刷题(新高考专用)
冲刺2024年高考—专题五解析几何多选题专练六十题(解析版)_02高考数学_2024年新高考资料_3.2024专项复习_满分冲刺2024年高考数学多选题分类必刷题(新高考专用)
冲刺2024年高考—专题五解析几何多选题专练六十题(解析版)_02高考数学_2024年新高考资料_3.2024专项复习_满分冲刺2024年高考数学多选题分类必刷题(新高考专用)
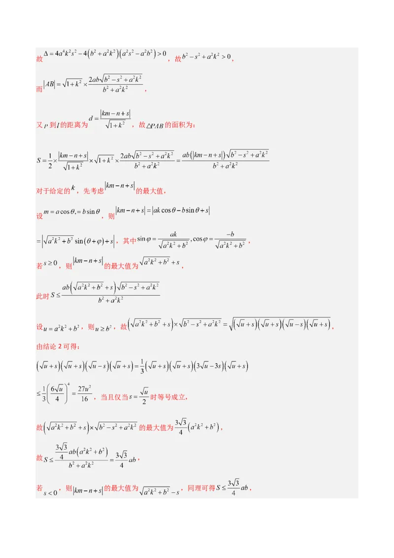
冲刺2024年高考—专题五解析几何多选题专练六十题(解析版)_02高考数学_2024年新高考资料_3.2024专项复习_满分冲刺2024年高考数学多选题分类必刷题(新高考专用)
冲刺2024年高考—专题五解析几何多选题专练六十题(解析版)_02高考数学_2024年新高考资料_3.2024专项复习_满分冲刺2024年高考数学多选题分类必刷题(新高考专用)
冲刺2024年高考—专题五解析几何多选题专练六十题(解析版)_02高考数学_2024年新高考资料_3.2024专项复习_满分冲刺2024年高考数学多选题分类必刷题(新高考专用)
冲刺2024年高考—专题五解析几何多选题专练六十题(解析版)_02高考数学_2024年新高考资料_3.2024专项复习_满分冲刺2024年高考数学多选题分类必刷题(新高考专用)
冲刺2024年高考—专题五解析几何多选题专练六十题(解析版)_02高考数学_2024年新高考资料_3.2024专项复习_满分冲刺2024年高考数学多选题分类必刷题(新高考专用)
冲刺2024年高考—专题五解析几何多选题专练六十题(解析版)_02高考数学_2024年新高考资料_3.2024专项复习_满分冲刺2024年高考数学多选题分类必刷题(新高考专用)
冲刺2024年高考—专题五解析几何多选题专练六十题(解析版)_02高考数学_2024年新高考资料_3.2024专项复习_满分冲刺2024年高考数学多选题分类必刷题(新高考专用)
冲刺2024年高考—专题五解析几何多选题专练六十题(解析版)_02高考数学_2024年新高考资料_3.2024专项复习_满分冲刺2024年高考数学多选题分类必刷题(新高考专用)
冲刺2024年高考—专题五解析几何多选题专练六十题(解析版)_02高考数学_2024年新高考资料_3.2024专项复习_满分冲刺2024年高考数学多选题分类必刷题(新高考专用)
冲刺2024年高考—专题五解析几何多选题专练六十题(解析版)_02高考数学_2024年新高考资料_3.2024专项复习_满分冲刺2024年高考数学多选题分类必刷题(新高考专用)
冲刺2024年高考—专题五解析几何多选题专练六十题(解析版)_02高考数学_2024年新高考资料_3.2024专项复习_满分冲刺2024年高考数学多选题分类必刷题(新高考专用)
冲刺2024年高考—专题五解析几何多选题专练六十题(解析版)_02高考数学_2024年新高考资料_3.2024专项复习_满分冲刺2024年高考数学多选题分类必刷题(新高考专用)
冲刺2024年高考—专题五解析几何多选题专练六十题(解析版)_02高考数学_2024年新高考资料_3.2024专项复习_满分冲刺2024年高考数学多选题分类必刷题(新高考专用)
冲刺2024年高考—专题五解析几何多选题专练六十题(解析版)_02高考数学_2024年新高考资料_3.2024专项复习_满分冲刺2024年高考数学多选题分类必刷题(新高考专用)
冲刺2024年高考—专题五解析几何多选题专练六十题(解析版)_02高考数学_2024年新高考资料_3.2024专项复习_满分冲刺2024年高考数学多选题分类必刷题(新高考专用)
冲刺2024年高考—专题五解析几何多选题专练六十题(解析版)_02高考数学_2024年新高考资料_3.2024专项复习_满分冲刺2024年高考数学多选题分类必刷题(新高考专用)
冲刺2024年高考—专题五解析几何多选题专练六十题(解析版)_02高考数学_2024年新高考资料_3.2024专项复习_满分冲刺2024年高考数学多选题分类必刷题(新高考专用)
冲刺2024年高考—专题五解析几何多选题专练六十题(解析版)_02高考数学_2024年新高考资料_3.2024专项复习_满分冲刺2024年高考数学多选题分类必刷题(新高考专用)
冲刺2024年高考—专题五解析几何多选题专练六十题(解析版)_02高考数学_2024年新高考资料_3.2024专项复习_满分冲刺2024年高考数学多选题分类必刷题(新高考专用)
冲刺2024年高考—专题五解析几何多选题专练六十题(解析版)_02高考数学_2024年新高考资料_3.2024专项复习_满分冲刺2024年高考数学多选题分类必刷题(新高考专用)
冲刺2024年高考—专题五解析几何多选题专练六十题(解析版)_02高考数学_2024年新高考资料_3.2024专项复习_满分冲刺2024年高考数学多选题分类必刷题(新高考专用)
冲刺2024年高考—专题五解析几何多选题专练六十题(解析版)_02高考数学_2024年新高考资料_3.2024专项复习_满分冲刺2024年高考数学多选题分类必刷题(新高考专用)
冲刺2024年高考—专题五解析几何多选题专练六十题(解析版)_02高考数学_2024年新高考资料_3.2024专项复习_满分冲刺2024年高考数学多选题分类必刷题(新高考专用)
冲刺2024年高考—专题五解析几何多选题专练六十题(解析版)_02高考数学_2024年新高考资料_3.2024专项复习_满分冲刺2024年高考数学多选题分类必刷题(新高考专用)
冲刺2024年高考—专题五解析几何多选题专练六十题(解析版)_02高考数学_2024年新高考资料_3.2024专项复习_满分冲刺2024年高考数学多选题分类必刷题(新高考专用)
冲刺2024年高考—专题五解析几何多选题专练六十题(解析版)_02高考数学_2024年新高考资料_3.2024专项复习_满分冲刺2024年高考数学多选题分类必刷题(新高考专用)
冲刺2024年高考—专题五解析几何多选题专练六十题(解析版)_02高考数学_2024年新高考资料_3.2024专项复习_满分冲刺2024年高考数学多选题分类必刷题(新高考专用)
冲刺2024年高考—专题五解析几何多选题专练六十题(解析版)_02高考数学_2024年新高考资料_3.2024专项复习_满分冲刺2024年高考数学多选题分类必刷题(新高考专用)
冲刺2024年高考—专题五解析几何多选题专练六十题(解析版)_02高考数学_2024年新高考资料_3.2024专项复习_满分冲刺2024年高考数学多选题分类必刷题(新高考专用)
冲刺2024年高考—专题五解析几何多选题专练六十题(解析版)_02高考数学_2024年新高考资料_3.2024专项复习_满分冲刺2024年高考数学多选题分类必刷题(新高考专用)
冲刺2024年高考—专题五解析几何多选题专练六十题(解析版)_02高考数学_2024年新高考资料_3.2024专项复习_满分冲刺2024年高考数学多选题分类必刷题(新高考专用)
冲刺2024年高考—专题五解析几何多选题专练六十题(解析版)_02高考数学_2024年新高考资料_3.2024专项复习_满分冲刺2024年高考数学多选题分类必刷题(新高考专用)
冲刺2024年高考—专题五解析几何多选题专练六十题(解析版)_02高考数学_2024年新高考资料_3.2024专项复习_满分冲刺2024年高考数学多选题分类必刷题(新高考专用)
冲刺2024年高考—专题五解析几何多选题专练六十题(解析版)_02高考数学_2024年新高考资料_3.2024专项复习_满分冲刺2024年高考数学多选题分类必刷题(新高考专用)
冲刺2024年高考—专题五解析几何多选题专练六十题(解析版)_02高考数学_2024年新高考资料_3.2024专项复习_满分冲刺2024年高考数学多选题分类必刷题(新高考专用)
冲刺2024年高考—专题五解析几何多选题专练六十题(解析版)_02高考数学_2024年新高考资料_3.2024专项复习_满分冲刺2024年高考数学多选题分类必刷题(新高考专用)
冲刺2024年高考—专题五解析几何多选题专练六十题(解析版)_02高考数学_2024年新高考资料_3.2024专项复习_满分冲刺2024年高考数学多选题分类必刷题(新高考专用)
冲刺2024年高考—专题五解析几何多选题专练六十题(解析版)_02高考数学_2024年新高考资料_3.2024专项复习_满分冲刺2024年高考数学多选题分类必刷题(新高考专用)
冲刺2024年高考—专题五解析几何多选题专练六十题(解析版)_02高考数学_2024年新高考资料_3.2024专项复习_满分冲刺2024年高考数学多选题分类必刷题(新高考专用)
冲刺2024年高考—专题五解析几何多选题专练六十题(解析版)_02高考数学_2024年新高考资料_3.2024专项复习_满分冲刺2024年高考数学多选题分类必刷题(新高考专用)
冲刺2024年高考—专题五解析几何多选题专练六十题(解析版)_02高考数学_2024年新高考资料_3.2024专项复习_满分冲刺2024年高考数学多选题分类必刷题(新高考专用)
冲刺2024年高考—专题五解析几何多选题专练六十题(解析版)_02高考数学_2024年新高考资料_3.2024专项复习_满分冲刺2024年高考数学多选题分类必刷题(新高考专用)
冲刺2024年高考—专题五解析几何多选题专练六十题(解析版)_02高考数学_2024年新高考资料_3.2024专项复习_满分冲刺2024年高考数学多选题分类必刷题(新高考专用)
冲刺2024年高考—专题五解析几何多选题专练六十题(解析版)_02高考数学_2024年新高考资料_3.2024专项复习_满分冲刺2024年高考数学多选题分类必刷题(新高考专用)
冲刺2024年高考—专题五解析几何多选题专练六十题(解析版)_02高考数学_2024年新高考资料_3.2024专项复习_满分冲刺2024年高考数学多选题分类必刷题(新高考专用)
冲刺2024年高考—专题五解析几何多选题专练六十题(解析版)_02高考数学_2024年新高考资料_3.2024专项复习_满分冲刺2024年高考数学多选题分类必刷题(新高考专用)
冲刺2024年高考—专题五解析几何多选题专练六十题(解析版)_02高考数学_2024年新高考资料_3.2024专项复习_满分冲刺2024年高考数学多选题分类必刷题(新高考专用)
冲刺2024年高考—专题五解析几何多选题专练六十题(解析版)_02高考数学_2024年新高考资料_3.2024专项复习_满分冲刺2024年高考数学多选题分类必刷题(新高考专用)
冲刺2024年高考—专题五解析几何多选题专练六十题(解析版)_02高考数学_2024年新高考资料_3.2024专项复习_满分冲刺2024年高考数学多选题分类必刷题(新高考专用)
冲刺2024年高考—专题五解析几何多选题专练六十题(解析版)_02高考数学_2024年新高考资料_3.2024专项复习_满分冲刺2024年高考数学多选题分类必刷题(新高考专用)
冲刺2024年高考—专题五解析几何多选题专练六十题(解析版)_02高考数学_2024年新高考资料_3.2024专项复习_满分冲刺2024年高考数学多选题分类必刷题(新高考专用)
冲刺2024年高考—专题五解析几何多选题专练六十题(解析版)_02高考数学_2024年新高考资料_3.2024专项复习_满分冲刺2024年高考数学多选题分类必刷题(新高考专用)
冲刺2024年高考—专题五解析几何多选题专练六十题(解析版)_02高考数学_2024年新高考资料_3.2024专项复习_满分冲刺2024年高考数学多选题分类必刷题(新高考专用)
冲刺2024年高考—专题五解析几何多选题专练六十题(解析版)_02高考数学_2024年新高考资料_3.2024专项复习_满分冲刺2024年高考数学多选题分类必刷题(新高考专用)
冲刺2024年高考—专题五解析几何多选题专练六十题(解析版)_02高考数学_2024年新高考资料_3.2024专项复习_满分冲刺2024年高考数学多选题分类必刷题(新高考专用)
冲刺2024年高考—专题五解析几何多选题专练六十题(解析版)_02高考数学_2024年新高考资料_3.2024专项复习_满分冲刺2024年高考数学多选题分类必刷题(新高考专用)
冲刺2024年高考—专题五解析几何多选题专练六十题(解析版)_02高考数学_2024年新高考资料_3.2024专项复习_满分冲刺2024年高考数学多选题分类必刷题(新高考专用)
冲刺2024年高考—专题五解析几何多选题专练六十题(解析版)_02高考数学_2024年新高考资料_3.2024专项复习_满分冲刺2024年高考数学多选题分类必刷题(新高考专用)
冲刺2024年高考—专题五解析几何多选题专练六十题(解析版)_02高考数学_2024年新高考资料_3.2024专项复习_满分冲刺2024年高考数学多选题分类必刷题(新高考专用)
冲刺2024年高考—专题五解析几何多选题专练六十题(解析版)_02高考数学_2024年新高考资料_3.2024专项复习_满分冲刺2024年高考数学多选题分类必刷题(新高考专用)
冲刺2024年高考—专题五解析几何多选题专练六十题(解析版)_02高考数学_2024年新高考资料_3.2024专项复习_满分冲刺2024年高考数学多选题分类必刷题(新高考专用)
冲刺2024年高考—专题五解析几何多选题专练六十题(解析版)_02高考数学_2024年新高考资料_3.2024专项复习_满分冲刺2024年高考数学多选题分类必刷题(新高考专用)
冲刺2024年高考—专题五解析几何多选题专练六十题(解析版)_02高考数学_2024年新高考资料_3.2024专项复习_满分冲刺2024年高考数学多选题分类必刷题(新高考专用)
冲刺2024年高考—专题五解析几何多选题专练六十题(解析版)_02高考数学_2024年新高考资料_3.2024专项复习_满分冲刺2024年高考数学多选题分类必刷题(新高考专用)
冲刺2024年高考—专题五解析几何多选题专练六十题(解析版)_02高考数学_2024年新高考资料_3.2024专项复习_满分冲刺2024年高考数学多选题分类必刷题(新高考专用)

文档信息

文档格式
docx
文档大小
7.298 MB
文档页数
117 页
上传时间
2026-04-15 01:41:05

文档内容

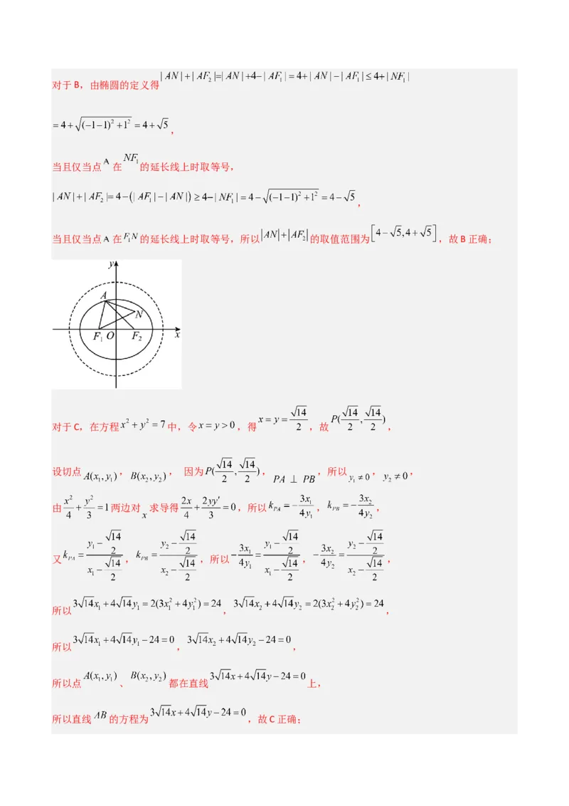
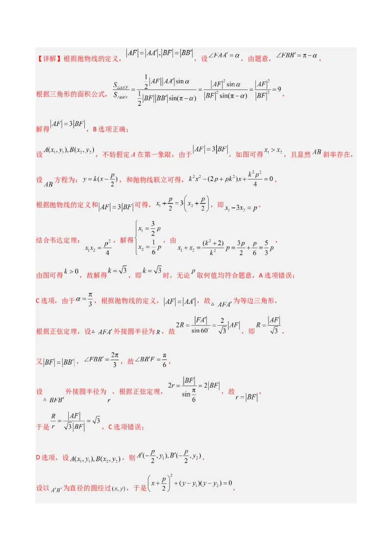
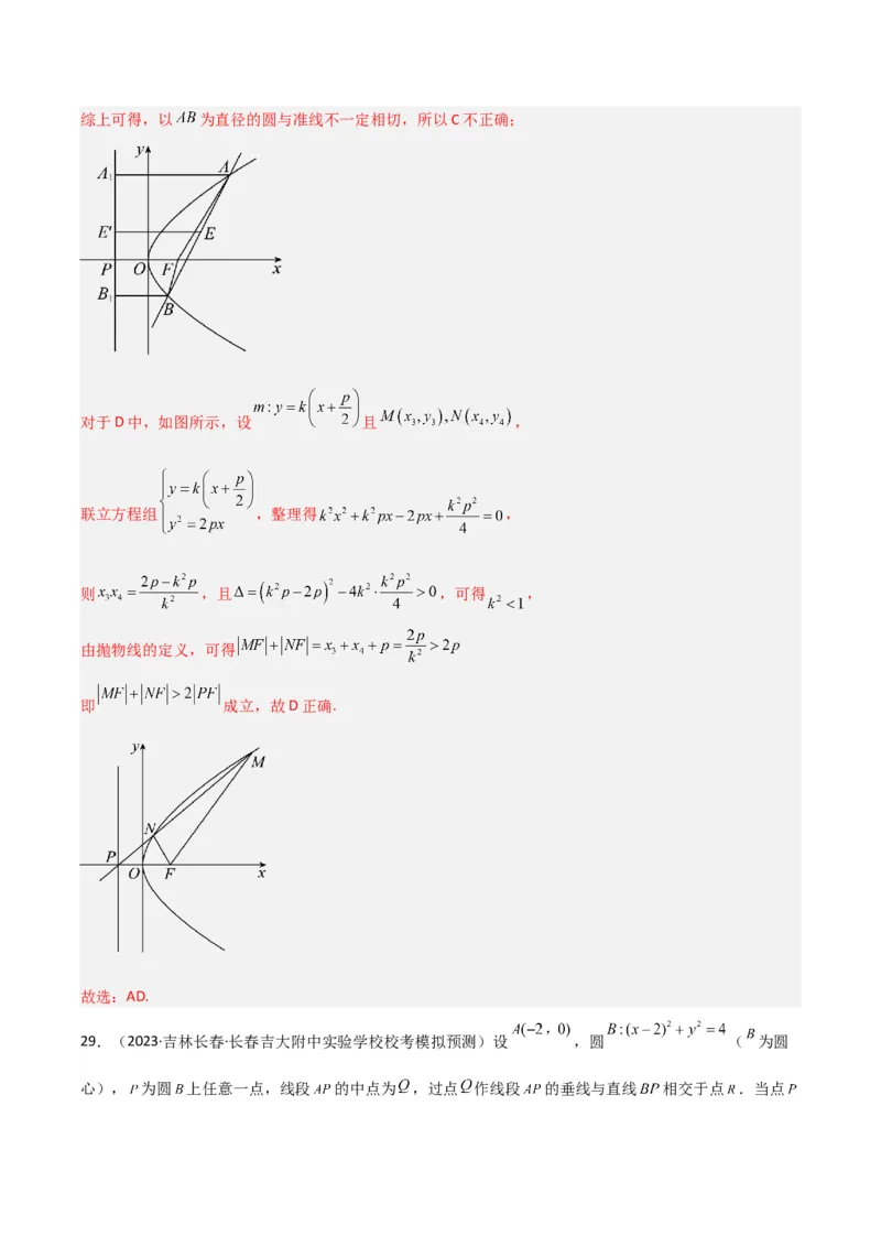
冲刺 2024 年高考—多选题专练六十题 专题五 解析几何(解析版) 第一部——高考真题练 1.(2023·全国·统考高考真题)设O为坐标原点,直线 过抛物线 的焦点, 且与C交于M,N两点,l为C的准线,则( ). A. B. C.以MN为直径的圆与l相切 D. 为等腰三角形 【答案】AC 【分析】先求得焦点坐标,从而求得 ,根据弦长公式求得 ,根据圆与等腰三角形的知识确定正确答 案. 【详解】A选项:直线 过点 ,所以抛物线 的焦点 , 所以 ,则A选项正确,且抛物线 的方程为 . B选项:设 , 由 消去 并化简得 , 解得 ,所以 ,B选项错误. C选项:设 的中点为 , 到直线 的距离分别为 , 因为 , 即 到直线 的距离等于 的一半,所以以 为直径的圆与直线 相切,C选项正确. D选项:直线 ,即 ,到直线 的距离为 , 所以三角形 的面积为 , 由上述分析可知 , 所以 , 所以三角形 不是等腰三角形,D选项错误. 故选:AC. 2.(2022·全国·统考高考真题)已知O为坐标原点,过抛物线 焦点F的直线与C交于 A,B两点,其中A在第一象限,点 ,若 ,则( ) A.直线 的斜率为 B. C. D. 【答案】ACD 【分析】由 及抛物线方程求得 ,再由斜率公式即可判断A选项;表示出直线 的方程,联立抛物线求得 ,即可求出 判断B选项;由抛物线的定义求出 即可判 断C选项;由 , 求得 , 为钝角即可判断D选项. 【详解】对于A,易得 ,由 可得点 在 的垂直平分线上,则 点横坐标为 , 代入抛物线可得 ,则 ,则直线 的斜率为 ,A正确; 对于B,由斜率为 可得直线 的方程为 ,联立抛物线方程得 , 设 ,则 ,则 ,代入抛物线得 ,解得 ,则 , 则 ,B错误; 对于C,由抛物线定义知: ,C正确; 对于D, ,则 为钝角, 又 ,则 为钝角, 又 ,则 ,D正确. 故选:ACD.3.(2022·全国·统考高考真题)双曲线C的两个焦点为 ,以C的实轴为直径的圆记为D,过 作D 的切线与C交于M,N两点,且 ,则C的离心率为( ) A. B. C. D. 【答案】AC 【分析】依题意不妨设双曲线焦点在 轴,设过 作圆 的切线切点为 ,利用正弦定理结合三角变换、 双曲线的定义得到 或 ,即可得解,注意就 在双支上还是在单支上分类讨论. 【详解】[方法一]:几何法,双曲线定义的应用 情况一 M、N在双曲线的同一支,依题意不妨设双曲线焦点在 轴,设过 作圆 的切线切点为B, 所以 ,因为 ,所以 在双曲线的左支,, , ,设 ,由即 ,则 , 选A 情况二 若M、N在双曲线的两支,因为 ,所以 在双曲线的右支, 所以 , , ,设 , 由 ,即 ,则 , 所以 ,即 ,所以双曲线的离心率 选C [方法二]:答案回代法 特值双曲线 , 过 且与圆相切的一条直线为 , 两交点都在左支, , , 则 , 特值双曲线 , 过 且与圆相切的一条直线为 , 两交点在左右两支, 在右支, , , 则 , [方法三]: 依题意不妨设双曲线焦点在 轴,设过 作圆 的切线切点为 , 若 分别在左右支,因为 ,且 ,所以 在双曲线的右支, 又 , , , 设 , , 在 中,有 , 故 即 , 所以 , 而 , , ,故 , 代入整理得到 ,即 , 所以双曲线的离心率 若 均在左支上,同理有 ,其中 为钝角,故 , 故 即 , 代入 , , ,整理得到: , 故 ,故 , 故选:AC. 4.(2022·全国·统考高考真题)已知O为坐标原点,点 在抛物线 上,过点 的直线交C于P,Q两点,则( ) A.C的准线为 B.直线AB与C相切 C. D. 【答案】BCD 【分析】求出抛物线方程可判断A,联立AB与抛物线的方程求交点可判断B,利用距离公式及弦长公式可 判断C、D. 【详解】将点 的代入抛物线方程得 ,所以抛物线方程为 ,故准线方程为 ,A错误; ,所以直线 的方程为 , 联立 ,可得 ,解得 ,故B正确; 设过 的直线为 ,若直线 与 轴重合,则直线 与抛物线 只有一个交点, 所以,直线 的斜率存在,设其方程为 , ,联立 ,得 , 所以 ,所以 或 , , 又 , , 所以 ,故C正确; 因为 , , 所以 ,而 ,故D正确. 故选:BCD 5.(2021·全国·统考高考真题)已知直线 与圆 ,点 ,则下列说法正 确的是( ) A.若点A在圆C上,则直线l与圆C相切B.若点A在圆C内,则直线l与圆C相离 C.若点A在圆C外,则直线l与圆C相离D.若点A在直线l上,则直线l与圆C相切 【答案】ABD 【分析】转化点与圆、点与直线的位置关系为 的大小关系,结合点到直线的距离及直线与圆的位 置关系即可得解. 【详解】圆心 到直线l的距离 , 若点 在圆C上,则 ,所以 , 则直线l与圆C相切,故A正确; 若点 在圆C内,则 ,所以 ,则直线l与圆C相离,故B正确; 若点 在圆C外,则 ,所以 , 则直线l与圆C相交,故C错误; 若点 在直线l上,则 即 , 所以 ,直线l与圆C相切,故D正确. 故选:ABD. 6.(2021·全国·统考高考真题)已知点 在圆 上,点 、 ,则( ) A.点 到直线 的距离小于 B.点 到直线 的距离大于 C.当 最小时, D.当 最大时, 【答案】ACD 【分析】计算出圆心到直线 的距离,可得出点 到直线 的距离的取值范围,可判断AB选项的正误; 分析可知,当 最大或最小时, 与圆 相切,利用勾股定理可判断CD选项的正误. 【详解】圆 的圆心为 ,半径为 , 直线 的方程为 ,即 , 圆心 到直线 的距离为 , 所以,点 到直线 的距离的最小值为 ,最大值为 ,A选项正确,B选项错误; 如下图所示:当 最大或最小时, 与圆 相切,连接 、 ,可知 , , ,由勾股定理可得 ,CD选项正确. 故选:ACD. 【点睛】结论点睛:若直线 与半径为 的圆 相离,圆心 到直线 的距离为 ,则圆 上一点 到直线 的距离的取值范围是 . 7.(2020·海南·高考真题)已知曲线 .( ) A.若m>n>0,则C是椭圆,其焦点在y轴上 B.若m=n>0,则C是圆,其半径为 C.若mn<0,则C是双曲线,其渐近线方程为 D.若m=0,n>0,则C是两条直线 【答案】ACD 【分析】结合选项进行逐项分析求解, 时表示椭圆, 时表示圆, 时表示双曲线, 时表示两条直线. 【详解】对于A,若 ,则 可化为 , 因为 ,所以 , 即曲线 表示焦点在 轴上的椭圆,故A正确; 对于B,若 ,则 可化为 ,此时曲线 表示圆心在原点,半径为 的圆,故B不正确; 对于C,若 ,则 可化为 , 此时曲线 表示双曲线, 由 可得 ,故C正确; 对于D,若 ,则 可化为 , ,此时曲线 表示平行于 轴的两条直线,故D正确; 故选:ACD. 【点睛】本题主要考查曲线方程的特征,熟知常见曲线方程之间的区别是求解的关键,侧重考查数学运算 的核心素养. 第二部——基础模拟题 8.(2023·海南海口·海南华侨中学校考二模)已知椭圆 的上顶点为 ,两个焦 点为 ,离心率为 .过 且垂直于 的直线与 交于 两点,若 的周长是26,则( ) A. B. C.直线 的斜率为 D. 【答案】ACD 【分析】根据离心率为 ,得到 为等边三角形,再由过 且垂直于直线 的,得到 , 为等腰三角形,再根据 的周长,得到a,进而得到b,c,然后设DE所在直线方程,与椭圆方程联立,利用弦长公式验证D选项. 【详解】解:如图所示: ∵椭圆 的离心率为 , ∴不妨设椭圆 . ∵ 的上顶点为 ,两个焦点为 , ∴ 为等边三角形, ∵过 且垂直于 的直线与 交于 两点, ∴ .故C项正确. 由等腰三角形的性质可得 . 由椭圆的定义可得 的周长为 , ∴ .故A项正确,B项错误. 对于D项,设 ,联立 , 消去y得: ,则 , 由韦达定理得 , 所以 ,故D项正确. 故选:ACD 9.(2023·广东深圳·统考二模)如图,双曲线 的左、右焦点分别为 ,过 向圆 作一条切线 与渐近线 和 分别交于点 ( 恰好为切点,且是渐近线与圆的 交点),设双曲线的离心率为 .当 时,下列结论正确的是( ) A. B. C.当点 在第一象限时, D.当点 在第三象限时, 【答案】BC 【分析】依据题意确定切点 不在双曲线上,根据勾股定理可计算 ,故可判断出 不正确, 正 确;画出图象,根据图象观察可求出渐进性的斜率,进一步计算离心率即可判断出 【详解】因为 且 ,所以 ,切点 不在双曲线上, 不正确, 正确; 若 ,在 中, ,当 分别在一二象限时(如图1), ,设 的倾斜角为 , 则 ; 当 分别在二、三象限时(如图2),设 的倾斜角为 , 则 , 正确, 错误. 故选: 10.(2023·福建福州·福建省福州第一中学校考模拟预测)已知抛物线 的焦点为 ,直线 过 交 于 两点, 在抛物线 的准线上的投影分别为 ,若 与 的面积比为 ,则 下列说法错误的是( ) A. B. C. 与 的外接圆半径之比为 D.直线 上存在两个点 使得 【答案】ACD 【分析】利用三角形的面积公式,可先推出B选项是正确的,对于AC选项,结合抛物线焦点弦的性质, 可算出直线的倾斜角,从而发现 与 均是含有特殊角的等腰三角形,可用正弦定理解决C选项, 对于D选项,可以表示出圆的方程,检验直线 和圆的位置关系.【详解】根据抛物线的定义, ,设 ,由题意, , 根据三角形的面积公式, , 解得 ,B选项正确; 设 ,不妨假定A在第一象限,由于 ,如图可得 ,且显然 斜率存在, 设 方程为: ,和抛物线联立可得, , 根据抛物线的定义和 可得, ,即 , 结合韦达定理: ,解得 ,由 , 由图可得 ,故解得 ,即 时,无论 取何值均符合题意,A选项错误; C选项,由于 ,根据抛物线的定义, ,故 为等边三角形, 根据正弦定理,设 外接圆半径为 ,故 ,即 , 又 , ,故 , 设 外接圆半径为 ,根据正弦定理, ,故 , 于是 ,C选项错误; D选项,设 ,则 , 设以 为直径的圆经过 ,于是 ,根据A选项的分析过程, ,由 可得, , 则圆的方程变为: , 整理成标准方程为 ,则圆心为 ,半径为 , 又因为直线 方程为, , 圆心到直线 的距离为: ,而圆的半径也是 , 故以 为直径的圆和 相切, 所以有且仅有一个点M,使得, ,D选项错误. 故选:ACD. 11.(2023·海南省直辖县级单位·文昌中学校考模拟预测)已知圆 和圆 的交点为 ,直线 : 与圆 交于 两点,则下列结论正确的是 ( ) A.直线 的方程为B.圆 上存在两点 和 ,使得 C.圆 上的点到直线 的最大距离为 D.若 ,则 或 【答案】CD 【分析】将两圆方程化为标准式,即可得到圆心坐标与半径,从而判断两圆相交,将两圆方程作差得到公 共弦方程,即可判断A,再利用弦长公式判断B,求出 到 的距离,即可判断C,圆心 到直线 的 距离为 ,即可得到方程,判断D. 【详解】圆 的标准方程为 ,圆心为 ,半径为 , 圆 的标准方程为 ,圆心为 ,半径为 , 所以 , 所以两圆相交,所以将两圆的方程作差可得 , 即直线 的方程为 ,故A错误; 圆心 到直线 的距离为 ,所以 , 对于圆 上的任意两点 , ,故B错误; 圆 上的点到直线 的距离的最大值为 ,故C正确; 因为 ,所以圆心 到直线 的距离为 ,所以 , 故 或 ,故D正确.故选:CD 12.(2023·广东茂名·茂名市第一中学校考三模)我国首先研制成功的“双曲线新闻灯”,如图,利用了 双曲线的光学性质: , 是双曲线的左、右焦点,从 发出的光线 射在双曲线右支上一点 ,经点 反射后,反射光线的反向延长线过 ;当 异于双曲线顶点时,双曲线在点 处的切线平分 .若双 曲线 的方程为 ,则下列结论正确的是( ) A.射线 所在直线的斜率为 ,则 B.当 时, C.当 过点 时,光线由 到 再到 所经过的路程为13 D.若点 坐标为 ,直线 与 相切,则 【答案】ABD 【分析】A选项,根据直线与双曲线的交点位置可判断.B选项,利用双曲线定义和勾股定理化简可得. C选项,由双曲线定义可判断. D选项,利用角平分线性质,结合双曲线的定义可得. 【详解】解:因为双曲线 的方程为 ,所以 ,渐近线方程为 , 选项A,因为直线 与双曲线有两个交点,所以 ,即A正确; 选项B,由双曲线的定义知, , 若 ,则 , 因为 , 所以 , 解得 ,即B正确; 选项C: ,即C错误; 选项D,因为 平分 ,由角分线定理知, , 所以 , 又 , 所以 ,解得 ,即D正确. 故选:ABD. 13.(2023·河北衡水·衡水市第二中学校考三模)已知曲线 是顶点分别为 的双曲线, 点 (异于 )在 上,则( ) A.B. 的焦点为 C. 的渐近线可能互相垂直 D.当 时,直线 的斜率之积为1 【答案】ACD 【分析】根据双曲线方程的形式特征判断A、B;求出渐近线,利用渐近线互相垂直求解即可判断C;设点 的坐标,求解斜率之积即可判断D. 【详解】若 是双曲线,则 ,解得 , 此时曲线 表示焦点在 轴上的双曲线, 其焦点为 , ,故选项A正确、选项B错误; 的渐近线方程为 ,当 时, 的渐近线的斜率为 ,此时两条渐近线互相垂直, 满足题意,故选项C正确; 当 时, ,其顶点坐标分别为 , , 设 ,则 ,故选项D正确. 故选:ACD. 14.(2023·山东菏泽·山东省鄄城县第一中学校考三模)已知点 , 动点 满足 ,则 下面结论正确的为( ) A.点 的轨迹方程为 B.点 到原点 的距离的最大值为5 C. 面积的最大值为4 D. 的最大值为18 【答案】ABD 【分析】设动点 ,根据两点之间的距离公式结合条件化简即可判断A选项,再由圆外一点到圆上一点的距离范围判断B和C选项,利用向量的数量积公式和代入消元法即可判断D选项. 【详解】设动点 ,则由 得: , 即 , 化简得: ,即 ,所以A选项正确; 所以点 轨迹是圆心为 ,半径为 的圆, 则点 到原点 的距离最大值为 ,所以B选项正确; 又 , 和点 轨迹的圆心都在 轴上,且 , 所以当圆的半径垂直于 轴时, 面积取得最大值 ,所以C选项错误; 又 , 因为 ( ), 所以 ( ), 则 ,所以D选项正确; 故选:ABD. 15.(2023·广东佛山·统考模拟预测)已知双曲线 : 上、下焦点分别为 , , 虚轴长为 , 是双曲线上支上任意一点, 的最小值为 .设 , , 是直线 上的动点,直线 , 分别与E的上支交于点 , ,设直线 , 的斜率分别为 , .下 列说法中正确的是( ) A.双曲线 的方程为 B.C.以 为直径的圆经过 点 D.当 时, 平行于 轴 【答案】ACD 【分析】根据题意,得出 , ,即可求出双曲线标准方程判断A;设 ,表示出 , ,即可判断B;利用直线与双曲线相交得出 坐标,即可判断C;利用 ,得出 的值,即可判断 D. 【详解】由题知, , , ,解得 ,所以双曲线方程为 ,A正确; 由A知, , ,设 ,则 , , 所以 ,B错; 由上述知,直线 方程为 ,直线 方程为 , 联立 ,得 ,因点 是异于 的上支点, 所以 ,代入直线 方程得 ,即 , 联立 ,得 ,因点 是异于 的上支点, 所以 ,代入直线 方程得 ,即 , 则 , ,所以 ,即 ,所以以 为直径的圆经过 点,C正确; 当 时,即 , ,所以代入 坐标得 , 所以 平行于 轴,D正确. 故选:ACD 16.(2023·广东广州·广州市从化区从化中学校考模拟预测)设 ,过定点 的直线 与过定点 的直线 相交于点 ,线段 是圆 的一条动弦,且 ,给出下列四个结论:其中所有正确结论的序号是 ( ) A. 一定垂直 B. 的最大值为4 C.点 的轨迹方程为 D. 的最小值为 【答案】AB 【分析】A选项,根据两直线垂直满足的关系式进行判断;B选项,求出 和 ,由 ⊥ ,得到 ,再结合基本不等式得到答案;C选项,分析得到,点 的轨迹为以 为直径的圆, 求出轨迹方程;D选项,设 的中点为 ,求出 ,得到 点轨迹方程,进而得到 的最小值 为圆心距减去两半径,结合 求出答案. 【详解】A选项,因为 ,所以 一定垂直 ,A正确; B选项, 变形得到 ,从而 , 变形得到 ,从而 , 由 ⊥ ,由勾股定理得 , 由基本不等式可得 ,故 , 当且仅当 时,等号成立,故B正确; C选项,由B可知,点 的轨迹为以 为直径的圆,其中线段 的中点坐标为 ,半 径为 , 故轨迹方程为 ,C错误; D选项, 的圆心为 ,半径为2, 设 的中点为 ,由垂径定理得 ,故 点的轨迹方程为 , 因为 点轨迹方程为 , 则 的最小值为圆心距减去两半径,即 , 其中 , 所以 的最小值为 ,D错误. 故选:AB 17.(2023·河北沧州·校考模拟预测)已知抛物线 的焦点为 ,过点 的直线 与该抛物线 交于 两点,且 的最小值为4, 为坐标原点,则( ) A. B.存在直线 ,使得 的面积为1 C.对于任意的直线 ,都有 D.当 时,直线 的倾斜角为 或 【答案】AC 【分析】设直线 : ,代入 ,得 、 、 ,根据 的最小值为4,求出 ,故A正确;根据 ,得B错误;根据平面向量数量积的坐标表 示得C正确;根据弦长公式计算得D错误.【详解】设直线 : ,代入 ,得 , 恒成立, 设 , , 则 , , , 所以 ,当且仅当 时,等号成立, 所以 , ,故A正确; 由A知, , , , 所以 ,当且仅当 时,等号成立,故B错误; 因为 ,所以 ,故C正确; 因为 , 当 时, ,得 ,得 , 由 ,得直线 的斜率为 ,倾斜角为 ; 由 ,得直线 的斜率为 ,倾斜角为 , 所以当 时,直线 的倾斜角为 或 ,故D错误. 故选:AC. 18.(2023·福建福州·福建省福州第一中学校考模拟预测)抛物线有如下光学性质:从焦点发出的光线经 抛物线反射后,沿平行于抛物线对称轴的方向射出;反之,平行于抛物线对称轴的入射光线经抛物线反射 后,必过抛物线的焦点.已知平行于 轴的光线 从点 射入,经过抛物线 上的点 反射,再经过 上另一点 反射后,沿直线 射出,经过点 ,则( ) A.若 的方程为 ,则 B.若 的方程为 ,且 ,则 C.分别延长 交于点 ,则点 在 的准线上 D.抛物线 在点 处的切线分别与直线 , 所成角相等 【答案】BCD 【分析】分别求出 、 的坐标,利用焦点弦公式求出弦长可判断选项A;利用角平分线的性质求点 的 坐标,判断选项B;联立方程组求点 的坐标,可判断选项B;求出抛物线在 处的切线方程及其斜率, 再求出切线与直线 及直线 所成角的正切值,可判断选项D. 【详解】对于选项A、B: 若 的方程为 ,则 ,又 , 直线 的斜率 , 直线 的方程为: , 联立 ,得 , , , ,,所以A选项错误; 由 , ,得直线 的方程为 ,直线 的方程为 , 若 ,则点 在 的平分线上,点 到直线 和到直线 的距离相等,设 , 则有 ,由 ,解得 ,所以 ,B选项正确; 对于选项C:抛物线 ,焦点坐标 ,准线方程 , 设 , ,由 ,得 , 即 ,由 , 得 , 又直线 的斜率 , 直线 的方程为: ,直线 的方程为: , 分别延长 交于点 ,由 得 ,即点 横坐标为-2,所以点 在 的准线上, C选项正确; 对于选项D:设抛物线在 处的切线方程为: , 联立 ,得 , 由 ,解得 .该切线与直线 所成角的正切值为 . 设该切线与直线 所成角为 , 则 , 该切线与直线 所成角的正切值与该切线与直线 所成角的正切值相同, 即抛物线 在点 处的切线分别与直线 、 所成角相等,D选项正确. 故选:BCD. 19.(2023·福建福州·福建省福州第一中学校考二模)抛物线 为定值 焦点为 , 与 直线 相交于 两点, 为 中点.过 作 轴的垂线,垂足为 ,过 作 的垂线,交 轴于 ,则( ) A. B. 的纵坐标是定值 C. 为定值 D.存在唯一的 使得 【答案】BCD 【分析】联立直线与抛物线方程,判别式法可判断A;韦达定理得 , ,进而求解中点M的纵坐 标可判断B;结合弦长公式可判断C;结合点到直线距离公式及弦长公式,利用几何法可判断D. 【详解】设 , , ,则 , 联立 ,整理得 ,则 ,解得 ,故A错误; 因为 , , 所以 , 为定值,故B正确; , 又 , ,所以 , 所以 为定值,故C正确; 因为 ,且过 ,所以直线MN方程为: , 令 得 ,点P到直线AB的距离 , 要使 ,则 ,所以 , 又 ,所以 ,解得 , 所以存在唯一的 使得 ,故D正确. 故选:BCD 20.(2023·广东·校联考模拟预测)已知椭圆 的焦点在 轴上,且 分别为椭圆 的左、 右焦点, 为椭圆 上一点,则下列结论正确的是( )A. B. 的离心率为 C.存在 ,使得 D. 面积的最大值为 【答案】ACD 【分析】A选项,根据焦点在在 轴上,列出不等式,求出答案;B选项,求出 ,进而求出离心 率;C选项,写出以 为直径的圆的方程,联立椭圆方程,得到当 时,方程有解,故C正确;D 选项,由几何性质得到当 点位于上顶点或下顶点时, 面积取得最大值,表达出最大面积,配方 后求出最值. 【详解】A选项,椭圆 的焦点在 轴上,故 ,解得 ,A正确; B选项,设 ,则 , 故 的离心率为 ,B错误; C选项,以 为直径的圆的方程为 ,与椭圆 联立得, , 整理得 , 因为 ,所以 , 当 时, ,故 ,满足要求,故存在 ,使得 ,C正确; D选项,因为 ,故当 点位于上顶点或下顶点时, 面积取得最大值, 故最大面积为 , 因为 ,所以当 时, 面积取得最大值,最大值为 ,D正确. 故选:ACD 21.(2023·福建漳州·统考模拟预测)上甘岭战役是抗美援朝中中国人民志愿军进行的最著名的山地防御 战役.在这场战役中,我军使用了反斜面阵地防御战术.反斜面是山地攻防战斗中背向敌方、面向我方的一 侧山坡.反斜面阵地的构建,是为了规避敌方重火力输出.某反斜面阵地如图所示,山脚 , 两点和敌方 阵地 点在同一条直线上,某炮弹的弹道 是抛物线 的一部分,其中 在直线 上,抛物线的顶点 到直线 的距离为100米, 长为400米, , ,建立适当的坐标系使得抛物线 的方程为 ,则( ) A. B. 的准线方程为 C. 的焦点坐标为 D.弹道 上的点到直线 的距离的最大值为 【答案】ABD 【分析】根据题意,建立以 为坐标原点, 轴平行于 , 轴垂直于 ,结合图像,求出抛物线方程, 准线方程,焦点坐标,即可判断ABC;根据题意,求出直线 的方程,不妨设 CE上一点为 ,判断 出当 该点处的切线与直线 平行时,其到直线 的距离最大,求解最大值即可.【详解】如图所示,建立以 为坐标原点, 轴平行于 , 轴垂直于 . 此时 , , , 抛物线 的方程为 ,即 , 解得 ,故A正确; 抛物线 的方程为 ,准线方程为 ,焦点坐标为 , 故B正确,C错误; 因为 , ,故 , 所以直线 的方程为 即 , 不妨设 上一点为 , , 当 该点处的切线与直线 平行时,其到直线 的距离最大. 由 可得 ,故 , 解得 , 此时 点到直线 的距离为 ,故D正确. 故选:ABD. 22.(2023·重庆·统考模拟预测)已知双曲线 的左、右焦点分别为 ,过点 作x轴 的垂线与双曲线交于A,B两点,若 为直角三角形,则( )A. B.双曲线的离心率 C.双曲线的焦距为 D. 的面积为 【答案】BD 【分析】画图分析,由双曲线的相关性质计算判断即可. 【详解】如图所示: 若 为直角三角形,由双曲线的对称性可知: ,且 . 设 ,则由双曲线的定义得: , . 所以在直角三角形 中,由勾股定理得: . 解得: ,所以 , 所以 的面积为: .故D正确; ,所以 ,故C不正确; 由 可知, , , 所以 ,故A不正确;,故B正确. 故选:BD. 23.(2023·辽宁·辽宁实验中学校考模拟预测)已知点M,N在圆O: 上运动,点 ,且 ,Q为线段M,N的中点,则( ) A.过点P有且只有一条直线与圆O相切 B. C.点Q在直线 上运动 D. 的最大值为 【答案】BD 【分析】首先判断 与圆 的位置关系,数形结合判断A、B;再应用两点距离、中点公式及已知求得 在 直线 上判断C;由几何法求得 ,结合点线距离求 的最大值. 【详解】由 ,故 在圆 外,故过点P有两条直线与圆O相切,A错; 由 为线段 的中点, 为圆 的弦,故 ,B对; 由 ,又 都在圆上, 所以 ,即 ,而 , ,所以 ,即点 在直线 上,C错; 由 ,当 最小时, 最大, 而 最小值为 到 的距离为 ,此时Q在圆的内部, 所以 ,D对. 故选:BD 24.(2023·广东广州·华南师大附中校考三模)在平面直角坐标系 中,双曲线 : 的下、上焦点分别是 , ,渐近线方程为 , 为双曲线 上任意一点, 平分 ,且 , ,则( ) A.双曲线 的离心率为 B.双曲线 的方程为 C.若直线 与双曲线 的另一个交点为 , 为 的中点,则 D.点 到两条渐近线的距离之积为 【答案】AD 【分析】延长 , 交于点 , 平分 ,且 ,则 为 的中点,可得 , 渐近线方程为 ,得 ,可得双曲线方程,逐个验证选项即可. 【详解】不妨设 为双曲线 的下支上一点,延长 , 交于点 ,如图,因为 ,因为 平分 ,所以 , 所以 ,所以 为等腰三角形, 则 为 中点,又 为 中点,所以 , 根据双曲线的定义得, ,所以, , 因为双曲线 的渐近线方程为 ,所以 ,得 , , , 所以双曲线 的标准方程为 ,离心率为 ,所以A正确,B不正确; 设 , , ,因为 , 在双曲线 上,所以 ①, ②, ① ②并整理得, ,因为 , , 所以, ,所以C不正确. 由 ,代入 ,即 ,即 , 所以点 到两条渐近线的距离之积为 ,所以D正确; 故选:AD. 25.(2023·辽宁锦州·渤海大学附属高级中学校考模拟预测)已知 , 是椭圆 :与双曲线 : 的公共焦点, , 分别是 与 的离心率, 且P是 与 的一个公共点,满足 ,则下列结论中正确的是( ) A. B. C. 的最小值为 D. 的最大值为 【答案】BD 【分析】根据椭圆和双曲线的焦点可判断A,由圆锥曲线的定义以及离心率的计算公式可判断B,结合对勾 函数的性质可判断C,利用三角换元可判断D. 【详解】对选项A:椭圆和双曲线共焦点,故 ,故A错误; 对选项B: ,不妨设 为第一象限的点,即 ,由于 , , 故 , ,故 ,即 ,即 ,故B正确; 对选项C:由 得 ,则 ,令 ,所以 ,由于 ,所以对勾函数 在 单调递增,故 , 没有最小值,故C错误, 对选项D:设 , , , ,若最大值为 ,则 , , ,即 , , ,成立,故D正确; 故选:BD 26.(2023·山东泰安·统考模拟预测)已知抛物线 : 的焦点为 ,过 的直线交抛物线于 、 两点, ,直线 左边的抛物线上存在一点 ,则( ) A. B. C.若点 ,则 D.当 的面积最大时,面积为 【答案】ACD 【分析】设直线 的方程为 ,联立抛物线方程联立,由韦达定理可判断A;利用弦长公式求出 可判断B;根据 是焦点弦,可以得以 为直径的圆与准线相切,求出圆与准线的切点可判断点 在圆外,可判断C正确;当过点 的切线与直线 平行时,点 到直线 的距离最大,设 , 结合导数可得 点坐标,再求 点到正弦 的距离 ,再利用 可得答案.【详解】对于A,设直线 的方程为 , 联立抛物线方程 ,消去x化简得: , ∴ ,代入抛物线方程得: ,A正确; 对于B,∵ ,解得 ,所 以 ,B错误; 对于C:分别做 、 于 、 点,弦 的中点 于 , 所以 , , , ,所以 ,所以以 为直径的圆 与准线相切, 由选项B得, 时, ,得 , 时, ,得 ,所以圆心 , 所以与准线的切点为 ,所以点 在圆外,所以 是锐角,即 ,C正确; 对于D:直线 方程为 ,斜率为 , 当过点 的切线与直线 平行时,点 到直线 的距离最大, 当 时, ,所以 ,设 ,所以 ,得 ,所以点 ,此时 ,所以 面积的最大值为 ,当斜率为 时,同理求得面积为 , D正确. 故选:ACD. 27.(2023·吉林·长春吉大附中实验学校校考模拟预测)如图,双曲线E: 的左右焦 点分别为 , ,过 的直线l与其右支交于P,Q两点,已知 且 ,则下列 说法正确的是( ) A. B.双曲线的离心率为2 C. D. 的面积为 【答案】ABD 【分析】根据双曲线定义及性质,结合余弦定理和面积公式逐个选项判断即可. 【详解】如图所示:对于A, 且 ,所以 ,故A正确; 对于B, , ,所以 ,又由相似可得: , , , ,所以离心率 ,故B正确;对于C, 中,由余弦定理可得 ,故C错误; 对于D,由C可知, ,则其面积 ,故D正确. 故选:ABD. 28.(2023·吉林通化·梅河口市第五中学校考模拟预测)已知点 是抛物线 的焦点, 为坐标原点,直线 与抛物线交于 两点,抛物线 的准线与 轴交于点 ,下列说法正确的是( ) A.若 过抛物线 的焦点 ,则直线 斜率之积为定值 B.若抛物线上的点 到点 的距离为4,则抛物线的方程为 C.以 为直径的圆与准线相切 D.直线 过点 且交 于不同的 两点,则 【答案】AD 【分析】设 ,联立方程组求得 ,结合斜率公式,可判定A正确;由抛物 线的定义得到 ,求得抛物线的方程,可判定B不正确;设 为 的中点,结合直线过焦点和不过焦点,利用抛物线的定义,可判定C不正确;设 ,联立方程组,由 ,求得 ,结合 抛物线的定义得到 ,可判定D正确. 【详解】对于A中,设 且 , 联立方程组 ,可得 ,则 则 ,故A正确; 对于B中,若抛物线上一点 到焦点 的距离等于4, 由抛物线的定义可得 ,解得 ,则抛物线的方程为 ,故B不正确; 对于C中,如图所示,当 过抛物线 的焦点 时, 设 为 的中点,分布过点 作 ,垂足分别为 , 可得 ,由抛物线的定义,可得 , 所以 ,此时以 为直径的圆与准线相切, 当直线 不过抛物线 的焦点 时,此时 , 此时以 为直径的圆与准线不相切,综上可得,以 为直径的圆与准线不一定相切,所以C不正确; 对于D中,如图所示,设 且 , 联立方程组 ,整理得 , 则 ,且 ,可得 , 由抛物线的定义,可得 即 成立,故D正确. 故选:AD. 29.(2023·吉林长春·长春吉大附中实验学校校考模拟预测)设 ,圆 ( 为圆 心), 为圆 上任意一点,线段 的中点为 ,过点 作线段 的垂线与直线 相交于点 .当点在圆 上运动时,点 的轨迹为曲线 ,点 的轨迹为曲线 ,则下列说法正确的有( ) A.曲线 的方程为 B.当点 在圆 上时,点 的横坐标为 C.曲线 的方程为 D. 与 无公共点 【答案】ABC 【分析】对于A,连接OQ,则可得 ,从而可得曲线 的方程;对于B,圆B的方程与曲线 的方程联立求解即可;对于C,连接AR,则可得 ,从而可得点R的轨迹为双曲线;对于 D,求出曲线 的方程,然后判断. 【详解】如图1、图2,连接OQ. 因为点Q为线段AP的中点,O为线段AB的中点,所以 ,所以点Q的轨迹为以O为圆心, 1为半径的圆,即曲线 的方程为 ,故A正确; 当点Q在圆B上时,圆B的方程与曲线 的方程联立,可得 ,故B正确; 连接AR,由于直线QR为线段AP的中垂线,所以 ,所以 ,所 以点R的轨迹为以 为焦点,2为实轴的双曲线,所以曲线 的方程为 ,故C正确; 由选项C可知,所以曲线 的方程为 ,所以 与 有两个公共点,故D错误. 故选:ABC.30.(2023·浙江·校联考模拟预测)抛物线 的准线方程为 ,过焦点 的直线 交抛 物线 于 , 两点,则( ) A. 的方程为 B. 的最小值为 C.过点 且与抛物线仅有一个公共点的直线有且仅有2条 D.过点 分别作 的切线,交于点 ,则直线 的斜率满足 【答案】BD 【分析】求出抛物线方程判断A;设出直线 的方程并与抛物线方程联立,结合抛物线定义及均值不等式计 算判断B;设出过点M的直线方程,与抛物线方程联立求解判断C;求导并结合选项B的信息求解判断D 作答. 【详解】对于A;依题意, ,解得 , 的方程为 ,A错误; 对于B,由选项A知, ,设直线 的方程为 ,由 消去y得 , 设 ,则有 , ,当且仅当 时取等号,B正确;对于C,过点 且与抛物线仅有一个公共点的直线不垂直于y轴,设此直线方程为 , 由 消去y得: ,当 时, ,直线与抛物线仅只一个交点, 当 时, ,解得 ,即过点 且与抛物线相切的直线有2条, 所以过点 且与抛物线仅有一个公共点的直线有3条,C错误; 对于D,由 求导得 ,由选项B知, , , ,由 两式相减得: ,即 ,则 , 于是 , ,即点 , 所以 ,D正确. 故选:BD 31.(2023·浙江·校联考模拟预测)双曲线 的左、右焦点分别 ,具有公共焦点的椭圆与双 曲线在第一象限的交点为 ,双曲线和椭圆的离心率分别为 的内切圆的圆心为 ,过 作直线 的垂线,垂足为 ,则( ) A. 到 轴的距离为 B.点 的轨迹是双曲线 C.若 ,则 D.若 ,则 【答案】ACD 【分析】根据题意,利用切线长定理,再利用双曲线的定义求得 ,可判断A;在等腰 中,利 用中位线结合双曲线的定义可求出 ,可判断B;设 ,由 ,即 ,由余弦定理代入化简可得 ,再结合椭圆和双曲线的定义可判断 C;由 ,即 可判断D. 【详解】设圆 与 三边 的切点为 , , 又 ,故 ,故 ,所以 到 轴的距离为 ,故A正确; 过 作直线 的垂线,垂足为 ,延长 交 于点 , 因为 ,则 为 的中点且 ,于是, 故点 的轨迹是在以 为圆心,半径为 的圆上,故B不正确; 设椭圆的长半轴长为 ,它们的半焦距为 ,并设 , 根据椭圆和双曲线的定义可得: ,所以 , 在 中,由余弦定理得: , 即 , 在 中,由余弦定理得: , 即 ,由 , 两式相加,则 ,又 ,所以 , 所以 ,所以 ,即 ,故C正确; ,即 ,所以 ,即 ,故D正确. 故选:ACD. 32.(2023·江苏苏州·模拟预测)在平面直角坐标系 中,已知双曲线 的右焦点为 ,过 且倾斜角为 的直线 分别交 的左、右两支于点 , ,直线 交 于另一点 ,连接 , , ,则( ) A. B. C. D. 【答案】ABD 【分析】确定直线方程,计算交点坐标,得到 ,A正确,根据两点间距离公式得到 , B正确,计算 ,C错误,计算 到两直线的距离不相等,正确,得到答案.【详解】双曲线 的右焦点为 ,直线 , ,解得 或 , 即 , ,根据对称性知 . 对选项A: ,故 ,正确; 对选项B: , ,故 ,正确; 对选项C: , , , ,错误; 对选项D:直线 , 到 的距离为 , 到 的距离为 ,两者不相等, ,正确; 故选:ABD. 33.(2023·湖南·校联考模拟预测)已知直线 : , : ,圆C: ,下列说法正确的是( ) A.若 经过圆心C,则B.直线 与圆C相离 C.若 ,且它们之间的距离为 ,则 D.若 , 与圆C相交于M,N,则 【答案】AC 【分析】将圆心 代入直线 的方程,求得k,判断A;求得直线 过圆内一定点,判断B;利用平行 线间的距离公式可判断C;根据圆的几何性质可求得 ,判断D. 【详解】对于A,因为圆心 在直线 上,所以 ,解得 ,A正确; 对于B,因为直线 恒过点 ,且 , 即点 在圆C内,所以 与圆C相交,B错误; 对于C,因为 ,则 , 故 与 之间的距离 ,所以 ,C正确; 对于D, 时,直线 : ,即 , 因为圆心 到直线 的距离 , 所以 ,D错误, 故选:AC. 34.(2023·湖南邵阳·邵阳市第二中学校考模拟预测)已知圆 ,圆 , 直线 ,则下列说法正确的是( ) A.圆 的圆心为B.圆 与圆 有四条公切线 C.点 在圆 上,点 在圆 上,则线段 长的最大值为 D.直线 与圆 一定相交,且相交的弦长最小值为 【答案】ACD 【分析】将圆 的方程化为标准方程,可判断A选项;判断圆 与圆 的位置关系,可判断B选项;求出 圆心距,利用圆的几何性质可判断C选项;求出直线 所过定点 的坐标,分析出点 与圆 的位置关系, 并求出直线 截圆所得弦长的最小值,可判断D选项. 【详解】对于A选项,圆 的标准方程为 ,圆 的圆心为 ,故A正确; 对于B选项,圆 的圆心为 ,半径为 ,圆 的半径为 , 圆心距为 ,即 , 所以,圆 与圆 相交,故圆 与圆 有两条公切线,故B错误; 对于C选项,因为两圆圆心距为 , 又因为 在圆 上,点 在圆 上,则线段 长的最大值为 ,故C正确; 对于D选项,直线 的方程可化为 , 由 得 ,所以,直线 过定点 , 因为 ,故点 在圆 内,所以直线 与圆 相交, 当 时,圆心 到直线 的距离取得最大值,且最大值为 , 此时,直线 截圆 所得弦长最小,且最小值为 ,故D正确. 故选:ACD. 35.(2023·黑龙江哈尔滨·哈尔滨市第六中学校校考三模)在平面直角坐标系xOy中,已知定点 ,,动点P满足 ,记动点P的轨迹为曲线C,直线l: ,则下列结 论中正确的是( ) A.曲线C的方程为 B.直线l与曲线C相交 C.若直线l被曲线C截得的弦长为 ,则 D. 的最大值为3 【答案】ABD 【分析】设 ,代入 ,得曲线 的方程判断选项A;由直线 过的定点,判断直线 与曲线 的位置关系,验证选项B;由垂径定理求解k,验证选项C; 的最大值为B点到圆心距离加上半径, 计算验证选项D. 【详解】对A,设动点 ,由 ,则 ,化简得 , A选项正确; 对B,直线 过定点 ,点 在圆 内,直线 与曲线 相交,B选项正确; 对C,弦长为 ,半径为2,故圆心 到直线的距离 ,即 ,即 ,解得 ,C选项错误; 对D,由 ,圆心 ,半径为2, , D选项正确. 故选:ABD 36.(2023·山东烟台·统考三模)在正四棱柱 中, ,点 满足, ,则( ) A.当 时,直线 与 所成角为 B.当 时, 的最小值为 C.若 与平面 所成角为 ,则 点的轨迹长为 D.当 时,平面 截此正四棱柱所得截面的最大面积为 【答案】ACD 【分析】对于A,当 时可知点 为 的中点,从而可以判断 为等边三角形,即可判断; 对于B,当 时可得点 在 上,此时把正四棱柱 的后面和右面展开,从而可判断; 对于C,连接 ,可得 即为 与平面 所成角,从而可得点 的轨迹是以 为圆心,以1 为半径的 个圆,即可判断;对于D,过点 作 交 于点Q,可得四边形 为平面 截 此正四棱柱所得截面,建立空间直角坐标系,利用向量法求得点 到直线 的距离,结合函数的单调性 即可判断. 【详解】 对于A,当 时,点 为 的中点, 所以 , , ,所以 为等边三角形,所以直线 与 所成角为 ,A对; 对于B,当 时,点 在 上,此时把正四棱柱 的后面和右面展开,如图: 的最小值为 ,B错; 对于C,因为点 满足 ,所以点 在平面 内, 平面 ,连接 ,则 即为 与平面 所成角, 若 与平面 所成角为 ,则 ,所以 , 即点 的轨迹是以 为圆心,以1为半径的 个圆,所以 点的轨迹长为 ,C正确; 对于D,当 时,点 在 上,且 , 过点 作 交 于点Q,则 ,所以 所以四边形 为平面 截此正四棱柱所得截面,建立如图所示的空间直角坐标系 ,则根据题意可得: , , 所以 , , 点 到直线 的距离为 所以四边形 的面积 令 , 所以 所以当 时, , 单调递增, 所以当 时 取得最大值, 此时截面面积最大为 ,D正确. 故选:ACD 【点睛】关键点点睛:本题的关键是根据 的本题取值得到点 的位置,进而结合选项转化相应问题, 然后利用相关知识解答即得. 37.(2023·山东烟台·统考三模)已知点 为直线 与 轴交点, 为圆 上的一动点,点 ,则( ) A. 取得最小值时, B. 与圆 相切时, C.当 时, D. 的最大值为 【答案】ABD 【分析】A: 取得最小值时 位于 即 轴上,根据三角形面积公式可得. B:直接在直角三角形 利用勾股定理可得. C:运用向量的坐标表示和对于坐标运算可得. D:根据正弦定理 ,将求 的最大值转化为求外接圆半径最小, 此时,外接圆与圆 相内切,根据内切半径差等于圆心距可得外接圆半径,进而可得. 【详解】因 ,令 ,得 , 故 , ,圆心 ,半径 选项A: 如图,根据圆的性质当 位于 轴上时, 取得最小值, 此时 ,故A正确; 选项B:当 与圆 相切时, , 故B正确; 选项C: 设 , 则 , , 当 时, , 故 , 又 , 得 , , ,若 ,则 , 又 得, , , 此时 , 这与点 在圆上矛盾,故C错误; 选项D: 设 外接圆圆心为 ,半径为 由题意可得 在 中垂线上,可设其坐标为 , 则 , , 由正弦定理知 ,所以 , 当 最小,即外接圆与圆 相内切时, 的最大值, 此时圆心距等于两圆半径之差,则 , 两边同时平方可得 , ,故D正确. 故选:ABD.38.(2023·广东深圳·校考二模)已知抛物线C的方程为 ,过C焦点F的直线与C交于M,N两点, 直线MO与C的准线交于Q点(其中O为坐标原点),P为C准线上的一个动点,下列选项正确的是( ) A.当直线MN垂直x轴时,弦MN的长度最短 B. 为定值 C.当PM与C的准线垂直时,必有 D.至少存在两个点P,使得 【答案】AB 【分析】设 ,直线 ,联立方程组求得 , ,利用抛物 线的焦点弦的性质和基本不等式,可判定A正确;利用向量的数量积的运算公式,结合抛物线的方程,可 判定B正确;由直线 的方程为 ,求得 ,得到 ,可判定C错误;由直角梯形 的中位线 ,得到以 为直径的圆与抛物线的准线相切于点 ,可判定D错误. 【详解】如图所示,由抛物线 ,可得焦点 ,准线方程为 , 设 ,直线 的方程为 , 联立方程组 ,整理得 ,可得 , , 对于A中,由 , 当且仅当 时,即 时,等号成立,此时 垂直于 轴,所以A正确; 对于B中,由 ,所以B正确; 对于C中,直线 的方程为 ,令 ,可得 ,所以 ,所以 ,所以C错误; 对于D中,由抛物线的定义知,直角梯形 的中位线 , 即以 为直径的圆与抛物线的准线相切于点 , 所以满足 的点恰好有一个,所以D错误. 故选:AB. 39.(2023·广东汕头·统考三模)椭圆 : 的左右焦点分别为 , ,过 , 分别作两条平 行的射线 , 交椭圆C于A,B两点,(A,B均在x轴上方),则( ) A.当 时, B. 的最小值为3 C.当 时,四边形 的面积为 D.四边形 面积的最大值为3 【答案】ABD 【分析】设直线 .把 代入椭圆方程得出 的一元二次方程,从而得两根和及两根积, 由弦长公式得 ,再根据对称性判断A,B,C选项;写出平行四边形 面积,应用导数 求得最小值可得出D选项.【详解】 设 , , : . 联立 ,得 . 由韦达定理有 , . 设 , ,由 ,得 : . 联立 ,得 . ∴ , . 而 , , 由对称性可知 , 当 时,∴ , . ,A选项正确; , , 的最小值为3,B选项正确;当 时, 四边形 的面积为 ,C选项错误. ,且 . 四边形 为平行四边形, , 设 ( ), , ∴ 在 上单调递增, ∴ . 故 的最大值为6,此时 . 四边形 面积的最大值为3,D选项正确. 故选:ABD. 40.(2023·浙江·校联考模拟预测)如图,已知抛物线 ,过抛物线焦点 的直线 自上而下,分别 交抛物线与圆 于 四点,则( ). A. B.C. D. 【答案】AB 【分析】由题知 ,设直线 为 , , ,联立方程 ,消去 得 ,根据韦达定理可得 , ,然后根据直线与抛物线的位置关系,焦点弦 性质,均值不等式,求导逐个计算即可. 【详解】由抛物线方程可知 , 设直线 为 , , , 联立方程 ,消去 得 , 所以 , , 由抛物线的定义可知 , , 又点 是圆 的圆心, 所以 , , 所以 ,选项A正确; 因为 , 由上述可知 , ,当且仅当 时等号成立, 所以 ,选项B正确; 因为 ,由上述可知 ,所以 , 所以 ,其中 , 令 ,则 , 当 时, , 单调递减, 当 时, , 单调递增, 所以 , 所以 ,选项C错误; 因为 , 由上述可知 , ,当且仅当 ,即 , 时等号成立, 所以 ,选项D错误; 故选:AB 第三部分 能力提升模拟题 41.(2024·江西·校联考模拟预测)加斯帕尔·蒙日(图1)是18~19世纪法国著名的几何学家,他在研究 圆锥曲线时发现:与椭圆相切的两条垂直切线的交点的轨迹是以椭圆中心为圆心的圆.我们通常把这个圆称 为该椭圆的蒙日圆(图2).已知椭圆 : 的左、右焦点分别为 , ,点 , 均在 的蒙日 圆 上, , 分别与 相切于 , ,则下列说法正确的是( )A. 的蒙日圆方程是 B.设 ,则 的取值范围为 C.若点 在第一象限的角平分线上,则直线 的方程为 D.若直线 过原点 ,且与 的一个交点为 , ,则 【答案】BC 【分析】对于A,根据椭圆的两条特殊切线的交点求出蒙日圆的半径,可得A错误;对于B,利用椭圆的 定义求出 的取值范围可得B正确;对于C,利用导数的几何意义求解可得C正确;对于D,根据 椭圆的定义以及平面向量数量积的运算律可求出 ,可得D错误. 【详解】对于A,分别过椭圆 的顶点 , 作椭圆 的切线,则两切线的交点 在椭圆 的蒙日圆上, 故该蒙日圆的半径 ,即椭圆 的蒙日圆的方程为 ,故A错误;对于B,由椭圆的定义得 , 当且仅当点 在 的延长线上时取等号, , 当且仅当点 在 的延长线上时取等号,所以 的取值范围为 ,故B正确; 对于C,在方程 中,令 ,得 ,故 , 设切点 , , 因为 , ,所以 , , 由 两边对 求导得 ,所以 , , 又 , ,所以 , , 所以 , , 所以 , , 所以点 、 都在直线 上, 所以直线 的方程为 ,故C正确;对于D, ,则 ,所以 , 由 得 ①, 由 得 ②, 则① ②得 ,解得 , 所以 ,故D错误. 故选:BC. 【点睛】关键点点睛:利用导数的几何意义求解椭圆的切线方程,利用平面向量数量积求解向量的长度是 解题关键. 42.(2023·河北张家口·统考三模)已知 是圆 上不同的两点,椭圆 的右顶点和上顶点分别为 ,直线 分别是圆 的两条切线, 为 椭圆 的离心率.下列选项正确的有( )A.直线 与椭圆 相交 B.直线 与圆 相交 C.若椭圆 的焦距为 两直线的斜率之积为 ,则 D.若 两直线的斜率之积为 ,则 【答案】BCD 【分析】由 时,点 时,得到直线方程 ,联立方程组,结合 ,可判定A 错误;由原点到直线 的距离为 ,可判定B正确;设 ,根据题意求得 ,进而得到 ,结合离心率的定义,可判定C正确;不妨设 ,根据得到 ,求得 ,结合离心率的定义,求得 ,可判定D正确. 【详解】对于A中,当 时,点 的坐标可以为 , 可得直线 为 ,即 , 由 ,整理得 ,此时 , 所以直线 与椭圆 无交点,所以A错误; 对于B中,因为 ,所以 ,设原点到直线 的距离为 ,由点到直线的距离公式,可得 , 所以直线 与圆 相交,所以B正确; 对于C中,椭圆 的焦距为 ,可得 ,即 , 不妨设 ,则直线 , 由原点到直线 的距离等于1,可得 ,解得 , 同理可得 ,因为 ,即 , 解得 ,又由 ,解得 , 所以离心率 ,所以C正确; 对于D中,不妨设 ,则 , , 所以 ,解得 , 所以 , 因为 ,可得 ,所以 ,所以D正确. 故选:BCD. 【点睛】解答圆锥曲线的最值与范围问题的方法与策略:(1)几何转化代数法:若题目的条件和结论能明显体现几何特征和意义,则考虑利用圆锥曲线的定义、 图形、几何性质来解决; (2)函数取值法:若题目的条件和结论的几何特征不明显,则可以建立目标函数,再求这个函数的最值 (或值域),常用方法:(1)配方法;(2)基本不等式法;(3)单调性法;(4)三角换元法;(5) 导数法等,要特别注意自变量的取值范围. 43.(2023·江苏扬州·统考模拟预测)圆柱 高为1,下底面圆 的直径 长为2, 是圆柱 的一 条母线,点 分别在上、下底面内(包含边界),下列说法正确的有( ). A.若 ,则 点的轨迹为圆 B.若直线 与直线 成 ,则 的轨迹是抛物线的一部分 C.存在唯一的一组点 ,使得 D. 的取值范围是 【答案】BC 【分析】建立空间直角坐标系,利用两点间距离公式以及向量夹角公式列式计算可得点 的轨迹方程判断 选项A和选项B,假设 ,根据勾股定理列式结合均值不等式计算最值,即可判断选项C,计算 的最大值 判断选项D. 【详解】对B,如图,不妨以 为原点,以 的垂直平分线, 分别为 轴建立空间直角坐标系,则 , ,设 ,则 , 由题意, ,化简得, , 由于 点在上底面内,所以 的轨迹是抛物线的一部分,故B正确;对A, ,化简得 ,即 点的轨迹为椭圆,故A 错误; 对C,设点 在下平面的投影为 ,若 , 则 ,则 , 当 在线段 上时, 可取最小值, 由均值不等式, , 当且仅当 时等号成立, 所以 ,即 , 而点 只有在与点 重合时, 才能取到 , 此时点 与点 重合,点 与点 重合,故C正确; 对D,当点 与点 ,点 与点 重合, 的值为 ,故D错误. 故选:BC 【点睛】判断本题选项B时,利用定义法计算线线所成的角不好计算时,可通过建立空间直角坐标系,利 用向量夹角的计算公式列式计算. 44.(2023·福建福州·福建省福州第一中学校考三模)抛物线C: ,AB是C的焦点弦( )A.点P在C的准线上,则 的最小值为0 B.以AB为直径的所有圆中,圆面积的最小值为9π C.若AB的斜率 ,则△ABO的面积 D.存在一个半径为 的定圆与以AB为直径的圆都内切 【答案】ABD 【分析】对于A:因为以AB为直径的圆与准线相切,结合圆的性质分析判断;对于B:根据抛物线的定义 结合韦达定理整理得 ,进而可得结果;对于C:根据题意求 ,进而可得结果;根据 两圆内切可得 ,列式分析求解即可. 【详解】由题意可知:抛物线C: 的焦点 ,准线 , 对于选项A:根据抛物线的性质可知:以AB为直径的圆与准线相切, 若点P是以AB为直径的圆与准线的切点,则 ,所以 ; 若点P不是以AB为直径的圆与准线的切点,则 为锐角,所以 ; 综上所述: 的最小值为0,故A正确; 对于选项B:设直线 , 联立方程 ,消去y得 , 则 , 可得 , 当 时, 取到最小值6,此时以AB为直径的圆的面积最小,最小值为 ,故B正确; 对于选项C:若AB的斜率 ,则 ,直线 ,即 , 由选项B可得: , 点 到直线直线 的距离 , 所以△ABO的面积 ,故C错误; 对于选项D:由选项B可知:以AB为直径的圆的圆心为 ,半径 , 设圆 的圆心为 ,半径 , 若圆 与圆 内切,则 ,即 , 整理得 , 因为对任意的 恒成立,则 ,解得 , 即圆心为 ,半径 的圆恒与以AB为直径的圆都内切,故D正确; 故选:ABD.45.(2023·广东汕头·金山中学校考三模)已知 , 分别为椭圆 的左、右焦点, 为椭圆 上任意一点(不在 轴上), 外接圆的圆心为 ,半径为 , 内切圆的圆心为 ,半径为 ,直线 交 轴于点 , 为坐标原点,则( ) A. 最大时, B. 的最小值为2 C.椭圆 的离心率等于 D. 的取值范围为 【答案】ABD 【分析】对于A,根据当 在短轴的端点时, 取得最大,且最大值为 ,再根据 ,代入进而即可求解; 对于B,根据 ,然后结合平面向量数量积的几何意义与基本不等式即可求解; 对于C,运用角平分线定理即可求解; 对于D,由正弦定理可得 ,再又结合A可得 ,从而得到 ,再根据题 意得到 ,进而即可求解.【详解】对于A,设 , ,则 ,且 , 所以 , 则当 在短轴的端点时, 取得最大,且最大值为 , 又 , 所以当 最大时, ,即 ,故A正确; 对于B,过点 作 ,垂足为点G, 又点 为 外接圆的圆心,即为 三条边的中垂线的交点,则点G为 的中点, 由 , 又 ,同理 , 所以 , 当且仅当 时等号成立,即 的最小值为2,故B正确; 对于C,由 内切圆的圆心为 ,则 , 分别是 , 的角平分线, 则由角平分线定理可得 ,即 ,故C错误; 对于D,设 , , , 由正弦定理可得 ,即 , 则 ,即 ,因为 , 又结合A有 ,所以 ,即 ,所以 , 又因为当 在短轴的端点时, 最大,此时 , , 所以 ,即 ,所以 , 故 ,故D正确. 故选:ABD. 【点睛】本题考查了椭圆的定义以及几何性质,明确外心的位置和内角平分线性质,灵活运用正弦定理和 等面积法是解答本题关键,考查了推理能力、运算求解能力,属于难题. 46.(2023·湖南·校联考模拟预测)已知点 在抛物线C: 上,过P作圆 的两条切线,分别交C于A,B两点,且直线AB的斜率为 ,若F为C的焦点, 为C上的动点,N是C的准线与坐标轴的交点,则( ) A. B.C. 的最大值是 D. 的最大值是 【答案】BC 【分析】根据题意可知,过P所作圆的两条切线关于直线 对称,即 ,结合 都在抛物 线上可得 ,所以A错误,B正确;根据抛物线定义可知 ,设 ,则 ,当直线 与抛物线相切时, 的最大值是 ,即C正确,D错误. 【详解】由题意可知,点 与圆心同在 上, 所以过P所作圆的两条切线关于直线 对称,所以 . 设 , , , 则 , 同理可得 , , 则 ,得 , 所以 , 由 ,得 . 将 代入抛物线C的方程,得 ,解得 , 故抛物线C的方程为 ,所以A错误,B正确. 设 ,作 垂直准线于 ,如下图所示:由抛物线的性质可得 , 所以 ,当 最小时, 的值最大, 所以当直线MN与抛物线C相切时,θ最大,即 最小. 由题意可得 ,设切线MN的方程为 , 联立方程组 ,消去x,得 , 由 ,可得 , 将 代入 ,可得 ,所以 ,即M的坐标为 , 所以 , , 所以 的最大值为 ,即C正确,D错误. 故选:BC 【点睛】方法点睛:求解抛物线最值问题时,往往利用抛物线定义和焦半径公式,将问题等价转化即可实 现求解. 47.(2023·山东泰安·统考模拟预测)已知抛物线 , 为坐标原点, 为抛物线 的焦点,准线 与 轴交于 点,过点 作不垂直于 轴的直线 与 交于 , 两点.设 为 轴上一动点, 为 的中点,且 ,则( ) A.当 时,直线 的斜率为 B. C. D.若正三角形 的三个顶点都在抛物线上,则 的周长为 【答案】AC 【分析】设直线 的方程为 ,联立方程,利用根与系数的关系及 求k,可判断A,由点 差法及垂直关系,抛物线的定义可得 判断B,由 可得 平分 ,据此可判 断C,根据正三角及抛物线的对称性求出DE坐标即可判断D. 【详解】如图, 对于选项A,设过焦点 的直线 的方程为 , , , 由 ,得 ,∴ , , 由 可知 ,代入 ,得 , ,由 ,得 ,∴ ,则 ,故A正确. 对于选项B, ,设点 的坐标为 ,则 , . 由 得 ,所以 ,则直线 的斜率为 . 因为 ,所以直线 的斜率为 ,则直线 的方程为 . 令 ,则 ,所以点 的坐标为 , 则 . 由抛物线的定义可知, , 所以 ,故B错误. 对于选项C,因为 , 所以直线 与直线 关于 轴对称,即 平分 , 所以 ,则 . 整理得 ,故C正确. 对于选项D,设 ,因三角形 为正三角形, 则 , 又 ,则 . 因 ,则 . 则 ,则 . 得 的周长为 ,故D错误. 故选:AC 【点睛】方法点睛:处理抛物线中焦点弦问题,根据抛物线的定义,转化为坐标问题是常用方法之一,涉 及处理中点弦问题,点差法是重要方法,恰当使用可快速得出直线斜率与中点的坐标关系,注意直线关于 y轴对称可转化为直线倾斜角互补即直线斜率互为相反数. 48.(2023·湖南郴州·校联考模拟预测)已知 , 分别为双曲线 : 的左、右焦点, 为双曲线 的渐近线在第一象限部分上的一点,线段 与双曲线交点为 ,且 , 为坐标原点,则下列结论正确的是( ) A. B.双曲线 的离心率 C. D.若 的内心的横坐标为3,则双曲线 的方程为 【答案】ACD 【分析】求点 到渐近线的距离,由条件结合等腰三角形的性质可得 ,判断A,设 , 求点 的坐标,根据 ,可得 的关系,由此可求离心率,判断B,由双曲线定义和余弦定理求,判断C,由双曲线定义和内切圆的性质可求 ,由此可求双曲线方程. 【详解】过点 作 , 设双曲线的半焦距为 , 则双曲线 的右焦点 的坐标为 ,渐近线方程为 , 点 到渐近线 的距离 ,故 , 在 中, , , , 所以 , 由已知, , ,又 , 所以 为 的中点,故 ,A正确; 设 ,则 , 所以 , ,又 , 所以点 的坐标为 ,又 , 所以 , 两边平方化简可得 , 所以 ,所以 ,B错误; 对于C,设 ,由双曲线定义可得 , 因为 ,所以 ,由余弦定理可得 , 所以 , 所以 ,又 , 所以 ,C正确; 设 的内心为 ,且内切圆 与 切与点 , 根据双曲线的定义及内切圆的性质,可得 ,又 , 所以 , 所以切点 为右顶点,又 的内心的横坐标为 , 所以 ,由 ,可得 , 所以 , 所以双曲线 的标准方程为 ,D正确. 故选:ACD. 【点睛】知识点点睛:本题考查的知识点有双曲线的基本性质,余弦定理,双曲线的定义,内切圆的性质, 属于综合题,考查学生的逻辑推理能力和运算求解能力,考查数形结合能力.49.(2023·河北沧州·沧县中学校考模拟预测)已知双曲线 的左、右焦点分别为 、 ,离心率为 ,焦点到渐近线的距离为 .过 作直线 交双曲线 的右支于 、 两点,若 、 分别为 与 的内心,则( ) A. 的渐近线方程为 B.点 与点 均在同一条定直线上 C.直线 不可能与 平行 D. 的取值范围为 【答案】ABD 【分析】根据题意求出 、 、 的值,可得出双曲线 的渐近线方程,可判断A选项;利用切线长定理以 及双曲线的定义可判断B选项;取 轴,可判断C选项;设直线 的倾斜角为 ,求出 , 求出 的取值范围,结合正弦函数的基本性质求出 的取值范围,可判断D选项. 【详解】设双曲线 半焦距为 ,双曲线 的渐近线方程为 ,即 , 双曲线 的右焦点 到渐近线的距离为 , 由题意知 , 所以 ,所以 ,故双曲线 的方程为 , 故渐近线方程为 ,故A正确; 对于B选项,记 的内切圆在边 、 、 上的切点分别为 、 、 ,由切线长定理可得 , , , 由 ,即 , 得 ,即 , 记 的横坐标为 ,则 ,于是 ,得 , 同理内心 的横坐标也为 ,故 轴,即 、 均在直线 上,故B正确; 对于C选项,当 与 轴垂直时, ,故C错误; 对于D选项,设直线 的倾斜角为 ,则 , ( 为坐标原点), 在 中, . , 由于直线 与 的右支交于两点,且 的一条渐近线的斜率为 ,倾斜角为 , 结合图形可知 ,即 ,所以, ,故D正确. 故选:ABD.【点睛】方法点睛:圆锥曲线中取值范围问题的五种求解策略: (1)利用圆锥曲线的几何性质或判别式构造不等关系,从而确定参数的取值范围; (2)利用已知参数的范围,求新的参数的范围,解这类问题的核心是建立两个参数之间的等量关系; (3)利用隐含的不等关系建立不等式,从而求出参数的取值范围; (4)利用已知的不等关系建立不等式,从而求出参数的取值范围; (5)利用求函数值域的方法将待求量表示为其他变量的函数,求其值域,从而确定参数的取值范围. 50.(2023·安徽合肥·合肥市第八中学校考模拟预测)如图, 为坐标原点, 分别为双曲线 的左、右焦点,过双曲线 右支上一点 作双曲线的切线 分别交两渐近线于 两点, 交 轴于点 ,则下列结论正确的是( ) A. B. C. D.若存在点 ,使得 ,且 ,则双曲线 的离心率为2或 【答案】AB 【分析】对于A,先证明双曲线 上一点 的切线方程为 ,与双曲线的渐近线 进行联立,可得 坐标,可得到 ,结合 即可判断;对于B,由A选项可得点 是线段 的中点,即可判断;对于C,由 即可判断;对于D,通过可得 ,则能算出 ,结合余弦定理即可求解 【详解】对于选项 ,先求双曲线 上一点 的切线方程, 不妨先探究双曲线在第一象限的部分(其他象限由对称性同理可得). 由 得: ,所以 , 则在点 的切线斜率为 , 所以在点 的切线方程为: , 又因为 ,所以在点 的切线方程为: , 当 为右顶点 时,切线方程为 ,易得也满足 , 不失一般性,设点 是双曲线在第一象限的一点或双曲线的右顶点, 是切线与渐近线在第 一象限的交点, 是切线与渐近线在第四象限的交点,双曲线的渐近线方程为 , 联立 , 所以点 ,同理可得: , 则 , 又因为 ,所以 ,即: ,故A项正确;对于选项B,由A项知, , 所以点 是线段 的中点,所以 ,故B项正确; 对于选项 ,因为在点 的切线方程为: , 令 得 ,所以点 , 则 , 当点 在顶点 时,仍然满足 ,故C项错误; 对于选项D,因为 ,所以 , 又因为 ,所以 ,解得: , 即: ,代入 得 , 所以 , , 因为 ,所以 ,所以 , 解得: 或6,所以离心率为 或 ,故D项错误. 故选:AB 【点睛】结论点睛:双曲线 上一点 的切线方程为 ,对椭圆、抛物线也有 类似结论. 51.(2023·广东·统考模拟预测)已知椭圆 的右焦点为 ,过点 作不与坐标 轴垂直的直线 与椭圆 交于 , 两点,点 , 在 轴上,其中 ( 为坐标原点), ,点 为直线 , 的交点,当点 为椭圆 的上顶点时,直线 与直线 垂直, 则下列说法正确的是( ) A.椭圆 的长轴长为 B.若点 ,则 的最大值为 C.点 的横坐标为 D.当 的面积取得最大值时,直线 的斜率为 【答案】AC 【分析】对于A,取 时,求出直线 斜率,使其与直线 的斜率相乘等于 即可;对于B, 取椭圆左焦点 ,根据椭圆定义,将 转化为 求解即可;对于C,设 方程并与椭 圆方程联立,由 , , , 坐标求得直线 , 方程,解得点 横坐标,结合韦达定理化简即可; 对于D,将 的面积看作 与 面积之和,即 ,结合韦达定理化简, 由基本不等式求解即可.【详解】 对于A,当点 为椭圆 的上顶点时,点 的坐标为 , ∵ ,∴直线 即直线 的斜率 , ∵直线 与直线 垂直,∴ ,解得 , ∴ ,∴长轴长 ,故选项A正确; 对于B,记椭圆 的左焦点为 ,则 , , 如图, , 当且仅当 三点共线时,取等号,故选项B错误; 对于C,易知直线 斜率不为 ,∴设直线 ,由 ,消去 ,整理得 , , 设 , ,则 , , 由已知, , , ∴直线 的方程为 ,直线 的方程为 , ∴由 解得点 横坐标 , 其中 , ∴ ,故选项C正确; 对于D, , ∵ ,∴ , ∴ , 令 ,则 , ∴ , 当且仅当 ,即 时取等号,∴当直线 的方程为 ,即直线 的斜率为 时, 的面积取得最大值 ,故选项D错误. 故选:AC. 【点睛】方法点睛:椭圆上的点到焦点与定点的距离和、差最值问题,通常需要借助椭圆的定义转化求解; 椭圆中的定值问题,需根据题目中的几何关系,列式运算,通常会借助韦达定理,化简为一个常数;椭圆 与直线位置关系中的面积最值问题,通常需要借助基本不等式进行求解. 52.(2023·山东·校联考模拟预测)已知点 ,若过点 的直线 交圆 于 两点, 是圆 上的动点,则( ) A. 的最小值为2 B. 的最大值为 C. 的最小值为 D.当 取最大值时,底边 上的高所在的直线方程为 【答案】ACD 【分析】直线与圆相交,由图分析计算即可. 【详解】如图: 对于A选项,当 时, 的值最小, , ,故选项A正确; 对于B选项,取 的中点 的中点 ,的轨迹方程为 , ,故选项B错误; 对于C选项,设 , ,故选项C正确; 对于D选项,当 时, 的面积最大, , 所以底边 上的高所在的直线方程为 ,故选项D正确. 故选:ACD. 53.(2023·广东深圳·深圳中学校联考模拟预测)已知 , 是椭圆 上两个不同 点,且满足 ,则下列说法正确的是( ) A. 的最大值为 B. 的最小值为 C. 的最大值为 D. 的最小值为 【答案】AD 【分析】设 ,设 ,可得 , ,可得 两点均在圆 的圆上,且 ,根据点到直线的距离公式及圆的性质可得及 的最值,可得答案. 【详解】由 ,可得 ,又 , 是椭圆 上两个不同点, 可得 ,设 ,则 , 设 ,O为坐标原点,可得 , , 可得 ,且 , 所以 , ,又 , 可得 两点均在圆 的圆上,且 , 设 的中点为 ,则 , 根据点到直线的距离公式可知: 为点 两点到 直线 的距离 之和, 设 到直线 的距离 ,由题可知圆心到直线 的距离为 , 则 , 可得 的最大值为 , 的最小值为 ;可得 ,可得 的最大值为 ,最小值为 ,故A正确,B错误; 同理, 为点 两点到直线 的距离 之和, 设 到直线 的距离 ,由题可知圆心到直线 的距离为 , 则 , , 可得 ,可得 的最大值为 ,最小值 为 ,故C错误,D正确. 故选:AD. 【点睛】关键点睛:本题的关键是把问题转化为圆上点到直线的距离问题,结合到直线的距离公式及圆的 性质即得. 54.(2023·山东·沂水县第一中学校联考模拟预测)已知 , 是经过抛物线 焦点 的互相垂直 的两条弦,若 的倾斜角为锐角, , 两点在 轴上方,则下列结论中一定成立的是( ) A. 最小值为32 B.设 为抛物线上任意一点,则 的最小值为 C.若直线 的斜率为 ,则 D. 【答案】ACD【分析】选项AC:数形结合推导出 ,应用公式求解和判断; 选项B:根据抛物线定义和性质转化求解; 选项D:联立方程,应用韦达定理证得: 即可判断; 【详解】 设直线 的倾斜角为 . ,则 ,即 , 同理可得 . ,根据定义得: 焦点坐标 ; 选项A: (当且仅当 时等号成立), 因为 ,所以 故A正确; 选项B:令 , 转换成抛物线上的点到焦点的 距离, 故B错误; 选项C: 若直线 的斜率为 ,则直线CD的倾斜角为 ,直线AB的倾斜角为 所以 ,故C正确; 选项D: 因为 的斜率为 , ,所以 , 设 , , 的方程为 , 由 可得, , , 与 无关, 同理 ,故 即故D正确; 故选:ACD; 55.(2023·湖南岳阳·统考模拟预测)已知双曲线 与椭圆 的焦点相同, 双曲线 的左右焦点分别为 ,过点 的直线与双曲线 的右支交于 两点, 与 轴相交于点 , 的内切圆与边 相切于点 .若 ,则下列说法正确的有( ) A.双曲线 的渐近线方程为 B.过点 存在两条直线与双曲线 有且仅有一个交点 C.点 在变化过程中, 面积的取值范围是 D.若 ,则 的内切圆面积为 【答案】AC 【分析】结合双曲线的定义、圆的切线长定理求得 ,从而求得双曲线 的方程,结合双曲线的渐近线、 直线和双曲线的交点、焦点三角形的性质、三角形内切圆面积等知识对选项进行分析,从而确定正确答案. 【详解】由题可得 , 因为 的内切圆与边 相切于点 ,设 的内切圆与 分别切于 ,如图, 由切线长定理可知 , , 所以 , ,所以双曲线 的方程为 , 对A,由题可得双曲线 的渐近线方程为 ,故A正确; 对B,由双曲线的性质可知过点 的直线与渐近线平行时与双曲线有且仅有一个公共点, 又过点 的直线斜率不存在时,即 与双曲线 有且仅有一个公共点, 故过点 的直线存在三条直线与双曲线 有且仅有一个交点,故B错误. 对C,因为 面积为 ,因此只需求 的范围即可,可取临界位置, 当 与渐近线平行时,不妨设 ,令 可得 , 当 与另一条渐近线平行时,不妨设 ,联立双曲线方程 , 解得 ,即 ,所以 ,令 可得 , 所以 , ,故C正确; 对D,当 时,则 , ,解得 , 故 的内切圆的周长为 ,的面积为 , 由题可知 ,故 , ,即 , 所以 , ,设 的内切圆的 半径为 , 则 ,即 , 的内切圆的面积为 ,故D错误. 故选:AC. 【点睛】圆锥曲线中最值与范围问题的常见求法有: (1)几何法:若题目的条件和结论能明显体现几何特征和意义,则考虑利用图形性质来解决; (2)代数法:若题目的条件和结论能体现一种明确的函数关系,则可首先建立目标函数,再求这个函数 的最值.在利用代数法解决最值与范围问题时常从以下几个方面考虑:①利用判别式来构造不等关系,从 而确定参数的取值范围;②利用隐含或已知的不等关系建立不等式,从而求出参数的取值范围;③利用基 本不等式求出参数的取值范围;④利用函数的值域的求法,确定参数的取值范围. 56.(2023·浙江温州·乐清市知临中学校考二模)已知抛物线 的焦点为 ,准线交 轴于点 , 过点 作倾斜角为 ( 为锐角)的直线交抛物线于 两点(其中点A在第一象限).如图,把平面 沿 轴折起,使平面 平面 ,则以下选项正确的为( ) A.折叠前 的面积的最大值为 B.折叠前 平分C.折叠后三棱锥 体积为定值 D.折叠后异面直线 所成角随 的增大而增大 【答案】BCD 【分析】对于A:利用弦长公式结合点到直线的距离运算求解;对于B:利用韦达定理证明 , 即可得结果;对于C:根据面面垂直的性质结合锥体的体积公式运算求解;对于D:根据题意利用 结合空间向量可得 ,再根据复合函数单调性分 析判断. 【详解】由题意可得:抛物线 的焦点为 ,准线 ,则 , 设直线 , 联立方程 ,消去x得 , 可得 , 则 , 对于选项A:因为 , 点 到直线 的距离 , 可得折叠前 的面积 , 所以当 时,折叠前 的面积的最小值为 ,故A错误; 对于选项B:因为, 即折叠前直线 关于x轴对称,所以折叠前 平分 ,故B正确; 对于选项C:因为平面 平面 ,则可知点A到平面 的距离即为点A到x轴的距离 , 的面积 , 所以折叠后三棱锥体积 (定值),故C正确; 对于选项D:由抛物线的性质可知: , 可得 , , 根据题中所给的空间直角坐标系,可得 , 则 , 可得, 所以 , 即折叠后异面直线 所成角的余弦值为 , 因为 在 上单调递增,则 在 上单调递减, 且 在定义域内单调递增,则 在 上单调递减, 所以折叠后异面直线 所成角随 的增大而增大,故D增大; 故选:BCD. 【点睛】方法点睛:与圆锥曲线有关的最值问题的两种解法 (1)数形结合法:根据待求值的几何意义,充分利用平面图形的几何性质求解; (2)构建函数法:先引入变量,构建以待求量为因变量的函数,再求其最值,常用基本不等式或导数法 求最值(注意:有时需先换元后再求最值). 57.(2023·全国·校联考三模)已知直线 与椭圆 交于 两点,点 为椭圆 的 下焦点,则下列结论正确的是( ) A.当 时, ,使得 B.当 时, , C.当 时, ,使得 D.当 时, , 【答案】BC 【分析】对于A,将直线 的方程与椭圆方程联立,求出 的取值范围,可求得 的取值范围,可判断A选项;求出线段 中点的轨迹方程,可求得 的取值范围,可判断B选项;将直线 的方 程与椭圆方程联立,利用弦长公式结合 可求得 的取值范围,可判断C选项;求出线段 中 点的轨迹方程,可求得 的最小值,可判断D选项. 【详解】在椭圆 中, , , , 由题意可得 ,上焦点记为 , 对于A选项,设点 , , 联立 ,消去 得 , , 由韦达定理可得 , , , 所以, ,选项A错;对于B选项,设线段 的中点为 , 由题意可得 ,两式作差可得 , 因为直线 的斜率存在,则 ,所以, , 整理可得 ,又因为 ,消去 可得 ,其中 , 所以, , 所以, ,选项B对; 对于C选项,当 时,直线 的方程为 ,即 , 联立 可得 , ,解得 , 由韦达定理可得 , , , 同理 ,所以, , 因为 ,所以,当 时, ,使得 ,选项C对; 对于D选项,设线段 的中点为 , 由B选项可知, ,即 ,即 ,由 可得 ,故点 的横坐标的取值范围是 , 而点 到直线 的距离为 , 由 可得 ,当且仅当点 时, 取最小值 ,选项D错. 故选:BC. 【点睛】圆锥曲线中取值范围问题的五种求解策略: (1)利用圆锥曲线的几何性质或判别式构造不等关系,从而确定参数的取值范围; (2)利用已知参数的范围,求新的参数的范围,解这类问题的核心是建立两个参数之间的等量关系; (3)利用隐含的不等关系建立不等式,从而求出参数的取值范围; (4)利用已知的不等关系建立不等式,从而求出参数的取值范围; (5)利用求函数值域的方法将待求量表示为其他变量的函数,求其值域,从而确定参数的取值范围. 58.(2023·广东广州·广州市从化区从化中学校考模拟预测)已知抛物线 的焦点为F,过点 F的直线l与抛物线交于A,B两点,与其准线交于点D,F为AD的中点,且 ,点M是抛物线上 间不同于其顶点的任意一点,抛物线的准线与y轴交于点N,抛物线在A,B两点处的切线交于点T, 则下列说法正确的有( ) A.抛物线焦点F的坐标为 B.过点N作抛物线的切线,则切点坐标为 C.在△FMN中,若 , ,则t的最小值为 D.若抛物线在点M处的切线分别交BT,AT于H,G两点,则【答案】BCD 【分析】对于A项,利用抛物线定义即可判定; 对于B项,设切线方程联立抛物线解方程即可; 对于C项,利用抛物线的定义结合图象可知在MN与抛物线相切时t取最小值,计算即可; 对于D项,根据抛物线的切线方程用ABM的坐标来表示HGT的坐标,计算即可. 【详解】对于A项,如图所示,过A向准线作垂线,垂足为C,则由抛物线定义可得AF=AC=3, 又F为AD中点,则F到准线的距离为1.5,所以F ,故A错误; 对于B项,由上可得 ,即 ,抛物线方程为 , 设过N的切线方程为: ,联立可得 由相切可得 ,即切点横坐标 , 代入抛物线得切点坐标 ,故B正确; 对于C项,如图所示过M作准线的垂线垂足为E, , 根据正弦的单调性知 越小正弦值越小, 即MN与抛物线相切时此角最小,由上可知此时M , 易得 ,故C正确;对于D项,设 M , 由 得 ,则过M的切线方程为 , 化简得: , 同理可得,过A、B的切线方程分别为 、 ,联立可得 , 则 , ,故D正确. 故选:BCD 【点睛】本题考查直线与抛物线的位置关系,属于压轴题.关键在于积累二级结论:过抛物线 上一 点 的切线方程为 ,计算时注意技巧可简化计算量. 59.(2023·湖北·校联考模拟预测)已知椭圆: 的左、右焦点分别为 ,右顶点 为A,点M为椭圆 上一点,点I是 的内心,延长MI交线段 于N,抛物线 (其中c为椭圆下的半焦距)与椭圆 交于B,C两点,若四边形 是菱形,则下列结论正确的是( ) A. B.椭圆 的离心率是 C. 的最小值为 D. 的值为 【答案】ACD 【分析】对于A,利用椭圆与抛物线的对称性得到 ,从而将 代入抛物线方程得到 ,进而得以判断;对于B,将 代入椭圆 的方程得到 ,由此得以判断;对于C,利 用椭圆的定义与基本不等式“1”的妙用即可判断;对于D,利用三角形内心的性质与三角形角平分线的性 质,结合比例的性质即可判断. 【详解】对于A,因为椭圆 的左、右焦点分别为 ,右顶点为A,则 , , , , 因为抛物线 (其中c为椭圆下的半焦距)与椭圆 交于B,C两点, 所以由椭圆与抛物线的对称性可得, 两点关于 轴对称,不妨设 , , ,因为四边形 是菱形,所以 的中点是 的中点, 所以由中点坐标公式得 ,则 , 将 代入抛物线方程 得, , 所以 ,则 ,所以 ,故A正确; 对于B,由选项A得 ,再代入椭圆方程得 , 化简得 ,则 ,故 ,所以 ,故B错误; 对于C,由选项B得 ,所以 ,则 , 所以 ,不妨设 ,则 ,且 , 所以 , 当且仅当 且 ,即 ,即 时,等号成立, 所以 的最小值为 ,故C正确; 对于D,连接 和 ,如图,因为 的内心为 ,所以 为 的平分线,则有 , 同理: ,所以 , 所以 ,所以 ,故D正确. 故选:ACD. 【点睛】关键点睛:本题的关键点是利用椭圆与抛物线的对称性,可设 的坐标,再由菱形的性质与中 点坐标公式推得 ,从而求得 的值,由此得解. 60.(2023·河北衡水·河北衡水中学校考模拟预测)已知椭圆C: , 上有三点 、 、 , 、 分别为其左、右焦点.则下列说法中正确的有( ). A.若线段 、 、 的长度构成等差数列,则点 、 、 的横坐标一定构成等差数列. B.若直线 与直线 斜率之积为 ,则直线 过坐标原点. C.若 的重心在 轴上,则 D. 面积的最大值为 【答案】ABC 【分析】先证明两个结论,结论1为焦半径公式,利用该公式可判断AC的正误,利用同一法可判断B的正 误,结论2为均值不等式,利用该结论可求内接三角形面积的最大值,从而可判断D的正误. 【详解】结论1:若 为椭圆 上的的动点, 为其左焦点,则 . 证明: ,因为 ,故 ,故 . 结论2:若 ,则 . 证明:因为 , 故 ,当且仅当 时等号成立, 同理 ,当且仅当 时等号成立, 所以 , 当且仅当 时等号成立, 所以 ,当且仅当 时等号成立. 由结论2可得 ,当且仅当 时等号成立. 对于A、C,设 ,则 由结论1可得: , 因为 ,故 , 整理得到: ,故A正确. 因为 的重心在 轴上,故 , 故 ,故C正确. 对于B,设 关于原点的对称点为 ,则 , 故 ( ,否则 ,这与题设矛盾),故 , 但 所以 , 所以 ,而 ,故 , 因 均在椭圆上,故 重合即直线 过坐标原点,故B正确. 我们先证明一个命题 命题:设 为椭圆 上的点,直线 与椭圆交于不同的两点 ,则 面积的最大值 为 . 证明:当直线 的斜率不存在时,设直线 , , 则 的面积 , 若 ,则 , 因为 ,,故 ,即 , 当且仅当 , 时等号成立,故此时 . 同理可证:当 时, . 过当直线 的斜率存在,可设 , 由 可得 ,故 ,故 , 而 , 又 到 的距离为 ,故 的面积为: 对于给定的 ,先考虑 的最大值, 设 ,则 ,其中 , 若 ,则 的最大值为 , 此时 设 ,则 ,故 , 由结论2可得: ,当且仅当 时等号成立, 故 的最大值为 , 故 , 若 ,则 的最大值为 ,同理可得 ,综上, 面积的最大值为 . 对于D,考虑 为椭圆上的点,直线 为直线 , 由前述命题可得: 面积的最大值为 ,故D错误. 故选:ABC. 【点睛】思路点睛:椭圆上的动点到焦点的距离可以转化为动点的某坐标与离心率、半长轴的关系来处理, 而多变量的最值问题,往往是通过降低变元的个数逐步处理.