当前位置:首页>文档>2019年高考化学试卷(江苏)(空白卷)_历年高考真题合集_化学历年高考真题_新·PDF版2008-2025·高考化学真题_化学(按试卷类型分类)2008-2025_自主命题卷·化学(2008-2025)(1)

2019年高考化学试卷(江苏)(空白卷)_历年高考真题合集_化学历年高考真题_新·PDF版2008-2025·高考化学真题_化学(按试卷类型分类)2008-2025_自主命题卷·化学(2008-2025)(1)

  • 2026-03-30 14:33:55 2026-01-28 02:53:33

文档预览

2019年高考化学试卷(江苏)(空白卷)_历年高考真题合集_化学历年高考真题_新·PDF版2008-2025·高考化学真题_化学(按试卷类型分类)2008-2025_自主命题卷·化学(2008-2025)(1)
2019年高考化学试卷(江苏)(空白卷)_历年高考真题合集_化学历年高考真题_新·PDF版2008-2025·高考化学真题_化学(按试卷类型分类)2008-2025_自主命题卷·化学(2008-2025)(1)
2019年高考化学试卷(江苏)(空白卷)_历年高考真题合集_化学历年高考真题_新·PDF版2008-2025·高考化学真题_化学(按试卷类型分类)2008-2025_自主命题卷·化学(2008-2025)(1)
2019年高考化学试卷(江苏)(空白卷)_历年高考真题合集_化学历年高考真题_新·PDF版2008-2025·高考化学真题_化学(按试卷类型分类)2008-2025_自主命题卷·化学(2008-2025)(1)
2019年高考化学试卷(江苏)(空白卷)_历年高考真题合集_化学历年高考真题_新·PDF版2008-2025·高考化学真题_化学(按试卷类型分类)2008-2025_自主命题卷·化学(2008-2025)(1)
2019年高考化学试卷(江苏)(空白卷)_历年高考真题合集_化学历年高考真题_新·PDF版2008-2025·高考化学真题_化学(按试卷类型分类)2008-2025_自主命题卷·化学(2008-2025)(1)
2019年高考化学试卷(江苏)(空白卷)_历年高考真题合集_化学历年高考真题_新·PDF版2008-2025·高考化学真题_化学(按试卷类型分类)2008-2025_自主命题卷·化学(2008-2025)(1)
2019年高考化学试卷(江苏)(空白卷)_历年高考真题合集_化学历年高考真题_新·PDF版2008-2025·高考化学真题_化学(按试卷类型分类)2008-2025_自主命题卷·化学(2008-2025)(1)
2019年高考化学试卷(江苏)(空白卷)_历年高考真题合集_化学历年高考真题_新·PDF版2008-2025·高考化学真题_化学(按试卷类型分类)2008-2025_自主命题卷·化学(2008-2025)(1)
2019年高考化学试卷(江苏)(空白卷)_历年高考真题合集_化学历年高考真题_新·PDF版2008-2025·高考化学真题_化学(按试卷类型分类)2008-2025_自主命题卷·化学(2008-2025)(1)
2019年高考化学试卷(江苏)(空白卷)_历年高考真题合集_化学历年高考真题_新·PDF版2008-2025·高考化学真题_化学(按试卷类型分类)2008-2025_自主命题卷·化学(2008-2025)(1)
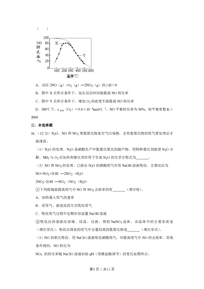
2019年高考化学试卷(江苏)(空白卷)_历年高考真题合集_化学历年高考真题_新·PDF版2008-2025·高考化学真题_化学(按试卷类型分类)2008-2025_自主命题卷·化学(2008-2025)(1)
2019年高考化学试卷(江苏)(空白卷)_历年高考真题合集_化学历年高考真题_新·PDF版2008-2025·高考化学真题_化学(按试卷类型分类)2008-2025_自主命题卷·化学(2008-2025)(1)
2019年高考化学试卷(江苏)(空白卷)_历年高考真题合集_化学历年高考真题_新·PDF版2008-2025·高考化学真题_化学(按试卷类型分类)2008-2025_自主命题卷·化学(2008-2025)(1)
2019年高考化学试卷(江苏)(空白卷)_历年高考真题合集_化学历年高考真题_新·PDF版2008-2025·高考化学真题_化学(按试卷类型分类)2008-2025_自主命题卷·化学(2008-2025)(1)

文档信息

文档格式
pdf
文档大小
0.353 MB
文档页数
11 页
上传时间
2026-01-28 02:53:33

文档内容

2019 年江苏省高考化学试卷 一、单项选择题:本题包括10小题,每小题2分,共计20分。每小题只有一个选项符合 题意 1.(2分)糖类是人体所需的重要营养物质。淀粉分子中不含的元素是( ) A.氢 B.碳 C.氮 D.氧 2.(2分)反应NH Cl+NaNO ═NaCl+N ↑+2H O放热且产生气体,可用于冬天石油开采。 4 2 2 2 下列表示反应中相关微粒的化学用语正确的是( ) A.中子数为18的氯原子: Cl B.N 的结构式:N═N 2 C.Na+的结构示意图: D.H O的电子式: 2 3.(2分)下列有关物质的性质与用途具有对应关系的是( ) A.NH HCO 受热易分解,可用作化肥 4 3 B.稀硫酸具有酸性,可用于除去铁锈 C.SO 具有氧化性,可用于纸浆漂白 2 D.Al O 具有两性,可用于电解冶炼铝 2 3 4.(2分)室温下,下列各组离子在指定溶液中能大量共存的是( ) A.0.1mol•L﹣1NaOH溶液:Na+、K+、CO 2﹣、AlO ﹣ 3 2 B.0.1mol•L﹣1FeCl 溶液:K+、Mg2+、SO 2﹣、MnO ﹣ 2 4 4 C.0.1mol•L﹣1K CO 溶液:Na+、Ba2+、Cl﹣、OH﹣ 2 3 D.0.1mol•L﹣1H SO 溶液:K+、NH +、NO ﹣、HSO ﹣ 2 4 4 3 3 5.(2分)下列实验操作能达到实验目的是( ) 第1页 | 共11页A.用经水湿润的pH试纸测量溶液的pH B.将4.0gNaOH固体置于100mL容量瓶中,加水至刻度,配制1.000mol•L﹣1NaOH溶 液 C.用装置甲蒸干AlCl 溶液制无水AlCl 固体 3 3 D.用装置乙除去实验室所制乙烯中的少量SO 2 6.(2分)下列有关化学反应的叙述正确的是( ) A.Fe在稀硝酸中发生钝化 B.MnO 和稀盐酸反应制取Cl 2 2 C.SO 与过量氨水反应生成(NH ) SO 2 4 2 3 D.室温下Na与空气中O 反应制取Na O 2 2 2 7.(2分)下列指定反应的离子方程式正确的是( ) A.室温下用稀NaOH溶液吸收Cl :Cl +2OH﹣═ClO﹣+Cl﹣+H O 2 2 2 B.用铝粉和NaOH溶液反应制取少量H :Al+2OH﹣═AlO ﹣+H ↑ 2 2 2 C.室温下用稀HNO 溶解铜:Cu+2NO ﹣+2H+═Cu2++2NO ↑+H O 3 3 2 2 D.向Na SiO 溶液中滴加稀盐酸:Na SiO +2H+═H SiO ↓+2Na+ 2 3 2 3 2 3 8.(2分)短周期主族元素X、Y、Z、W的原子序数依次增大,X是地壳中含量最多的元 素,Y原子的最外层有2个电子,Z的单质晶体是应用最广泛的半导体材料,W与X位 于同一主族。下列说法正确的是( ) A.原子半径:r(W)>r(Z)>r(Y)>r(X) B.由X、Y组成的化合物是离子化合物 C.Z的最高价氧化物对应水化物的酸性比W的强 D.W的简单气态氢化物的热稳定性比X的强 9.(2分)在给定条件下,下列选项所示的物质间转化均能实现的是( ) A.NaCl(aq) Cl (g) FeCl (s) 2 2 B.MgCl (aq) Mg(OH) (s) MgO(s) 2 2 C.S(s) SO (g) H SO (aq) 3 2 4 第2页 | 共11页D.N (g) NH (g) Na CO (s) 2 3 2 3 10.(2分)将铁粉和活性炭的混合物用NaCl溶液湿润后,置于如图所示装置中,进行铁的 电化学腐蚀实验。下列有关该实验的说法正确的是( ) A.铁被氧化的电极反应式为Fe﹣3e﹣═Fe3+ B.铁腐蚀过程中化学能全部转化为电能 C.活性炭的存在会加速铁的腐蚀 D.以水代替NaCl溶液,铁不能发生吸氧腐蚀 二、不定项选择题:本题包括5小题,每小题4分,共计20分。每小题只有一个或两个选 项符合题意。若正确答案只包括一个选项,多选时,该小题得0分;若正确答案包括两个 选项,只选一个且正确的得2分,选两个且都正确的得满分,但只要选错一个,该小题就 得0分。 11.(4分)氢气与氧气生成水的反应是氢能源应用的重要途径。下列有关说法正确的是 ( ) A.一定温度下,反应2H (g)+O (g)═2H O(g)能自发进行,该反应的△H<0 2 2 2 B.氢氧燃料电池的负极反应为O +2H O+4e﹣═4OH﹣ 2 2 C.常温常压下,氢氧燃料电池放电过程中消耗11.2LH ,转移电子的数目为6.02×1023 2 D.反应2H (g)+O (g)═2H O(g)的△H可通过下式估算:△H=反应中形成新共价键的 2 2 2 键能之和﹣反应中断裂旧共价键的键能之和 12.(4分)化合物Y具有抗菌、消炎作用,可由X制得。 第3页 | 共11页下列有关化合物X、Y的说法正确的是( ) A.1molX最多能与2molNaOH反应 B.Y与乙醇发生酯化反应可得到X C.X、Y均能与酸性KMnO 溶液反应 4 D.室温下X、Y分别与足量Br 加成的产物分子中手性碳原子数目相等 2 13.(4分)室温下进行下列实验,根据实验操作和现象所得到的结论正确的是( ) 选项 实验操作和现象 结论 A 向 X 溶液中滴加几滴新制氯水,振荡,再加入少量 X溶液中一定含有Fe2+ KSCN溶液,溶液变为红色 B 向浓度均为0.05mol•L﹣1的NaI、NaCl混合溶液中滴加 K (AgI)>K (AgCl) sp sp 少量AgNO 溶液,有黄色沉淀生成 3 C 向3mLKI溶液中滴加几滴溴水,振荡,再滴加1mL淀Br 的氧化性比I 的强 2 2 粉溶液,溶液显蓝色 D 用pH试纸测得:CH COONa溶液的pH约为9,NaNO HNO 电离出H+的能力比 3 2 2 溶液的pH约为8 CH COOH的强 3 A.A B.B C.C D.D 14.(4分)室温下,反应HCO ﹣+H O⇌H CO +OH﹣的平衡常数K=2.2×10﹣8.将NH HCO 3 2 2 3 4 3 溶液和氨水按一定比例混合,可用于浸取废渣中的ZnO.若溶液混合引起的体积变化可 忽略,室温下下列指定溶液中微粒物质的量浓度关系正确的是( ) A.0.2mol•L﹣1氨水:c(NH •H O)>c(NH +)>c(OH﹣)>c(H+) 3 2 4 B.0.2mol•L﹣1NH HCO 溶液(pH>7):c(NH +)>c(HCO ﹣)>c(H CO )>c 4 3 4 3 2 3 (NH •H O) 3 2 C.0.2mol•L﹣1氨水和0.2mol•L﹣1NH HCO 溶液等体积混合:c(NH +)+c(NH •H O)= 4 3 4 3 2 c(H CO )+c(HCO ﹣)+c(CO 2﹣) 2 3 3 3 D.0.6mol•L﹣1氨水和0.2mol•L﹣1NH HCO 溶液等体积混合:c(NH •H O)+c(CO 2 4 3 3 2 3 ﹣)+c(OH﹣)=0.3mol•L﹣1+c(H CO )+c(H+) 2 3 15.(4分)在恒压、NO和O 的起始浓度一定的条件下,催化反应相同时间,测得不同温 2 度下NO转化为NO 的转化率如图中实线所示(图中虚线表示相同条件下NO的平衡转 2 化率随温度的变化)。下列说法正确的是 第4页 | 共11页( ) A.反应2NO(g)+O (g)═2NO (g)的△H>0 2 2 B.图中X点所示条件下,延长反应时间能提高NO转化率 C.图中Y点所示条件下,增加O 的浓度不能提高NO转化率 2 D.380℃下,c (O )=5.0×10﹣4mol•L﹣1,NO平衡转化率为50%,则平衡常数K> 起始 2 2000 三、非选择题 16.(12分)N O、NO和NO 等氮氧化物是空气污染物,含有氮氧化物的尾气需处理后才 2 2 能排放。 (1)N O的处理。N O是硝酸生产中氨催化氧化的副产物,用特种催化剂能使N O分 2 2 2 解。NH 与O 在加热和催化剂作用下生成N O的化学方程式为 。 3 2 2 (2)NO和NO 的处理。已除去N O的硝酸尾气可用NaOH溶液吸收,主要反应为 2 2 NO+NO +2OH﹣═2NO ﹣+H O 2 2 2 2NO +2OH﹣═NO ﹣+NO ﹣+H O 2 2 3 2 ①下列措施能提高尾气中NO和NO 去除率的有 (填字母)。 2 A.加快通入尾气的速率 B.采用气、液逆流的方式吸收尾气 C.吸收尾气过程中定期补加适量NaOH溶液 ②吸收后的溶液经浓缩、结晶、过滤,得到 NaNO 晶体,该晶体中的主要杂质是 2 (填化学式);吸收后排放的尾气中含量较高的氮氧化物是 (填化学式)。 (3)NO的氧化吸收。用NaClO溶液吸收硝酸尾气,可提高尾气中NO的去除率。其他 条件相同,NO转化为 NO ﹣的转化率随NaClO溶液初始pH(用稀盐酸调节)的变化如图所示。 3 第5页 | 共11页①在酸性NaClO溶液中,HClO氧化NO生成Cl﹣和NO ﹣,其离子方程式为 。 3 ②NaClO溶液的初始pH越小,NO转化率越高。其原因是 。 17.(15分)化合物F是合成一种天然茋类化合物的重要中间体,其合成路线如下: (1)A中含氧官能团的名称为 和 。 (2)A→B的反应类型为 。 (3)C→D 的反应中有副产物 X(分子式为 C H O Br)生成,写出 X 的结构简 12 15 6 式: 。 (4)C的一种同分异构体同时满足下列条件,写出该同分异构体的结构简式: 。 ①能与FeC1 溶液发生显色反应; 3 ②碱性水解后酸化,含苯环的产物分子中不同化学环境的氢原子数目比为1:1。 (5)已知: (R表示烃基,R′和R″表示烃基或氢) 第6页 | 共11页写出以 和CH CH CH OH为原料制备 的合成 3 2 2 路线流程图(无机试剂和有机溶剂任用,合成路线流程图示例见本题题干)。 18.(12分)聚合硫酸铁[Fe (OH) (SO ) ] 广泛用于水的净化。以FeSO •7H O为 2 6﹣2n 4 n m 4 2 原料,经溶解、氧化、水解聚合等步骤,可制备聚合硫酸铁。 (1)将一定量的FeSO •7H O溶于稀硫酸,在约70℃下边搅拌边缓慢加入一定量的H O 4 2 2 2 溶液,继续反应一段时间,得到红棕色粘稠液体。H O 氧化Fe2+的离子方程式为 ; 2 2 水解聚合反应会导致溶液的pH 。 (2)测定聚合硫酸铁样品中铁的质量分数:准确称取液态样品3.000g,置于250mL锥 形瓶中,加入适量稀盐酸,加热,滴加稍过量的SnCl 溶液(Sn2+将Fe3+还原为Fe2+), 2 充分反应后,除去过量的Sn2+.用5.000×10﹣2mol•L﹣1 K Cr O 溶液滴定至终点(滴定 2 2 7 过程中Cr O 2﹣与Fe2+反应生成Cr3+和Fe3+),消耗K Cr O 溶液22.00mL。 2 7 2 2 7 ①上述实验中若不除去过量的Sn2+,样品中铁的质量分数的测定结果将 (填“偏 大”或“偏小”或“无影响”)。 ②计算该样品中铁的质量分数(写出计算过程)。 19.(15分)实验室以工业废渣(主要含CaSO •2H O,还含少量SiO 、Al O 、Fe O )为 4 2 2 2 3 2 3 原料制取轻质CaCO 和(NH ) SO 晶体,其实验流程如图: 3 4 2 4 (1)室温下,反应CaSO (s)+CO 2﹣(aq)⇌CaCO (s)+SO 2﹣(aq)达到平衡,则 4 3 3 4 溶液中 [K (CaSO )=4.8×10﹣5,K (CaCO )=3×10﹣9]。 sp 4 sp 3 (2)将氨水和NH HCO 溶液混合,可制得(NH ) CO 溶液,其离子方程式为 ; 4 3 4 2 3 浸取废渣时,向(NH ) CO 溶液中加入适量浓氨水的目的是 。 4 2 3 (3)废渣浸取在如图所示的装置中进行。控制反应温度在60~70℃,搅拌,反应3小时。 温度过高将会导致CaSO 的转换率下降,其原因是 ;保持温度、反应时间、反应 4 物和溶剂的量不变,实验中提高CaSO 转化率的操作有 。 4 第7页 | 共11页(4)滤渣水洗后,经多步处理得到制备轻质CaCO 所需的CaCl 溶液。设计以水洗后的 3 2 滤渣为原料,制取 CaCl 溶液的实验方案: [已知 pH=5 时 Fe(OH) 和 Al 2 3 (OH) 沉淀完全;pH=8.5时Al(OH) 开始溶解。实验中必须使用的试剂:盐酸和 3 3 Ca(OH) ]。 2 20.(14分)CO 的资源化利用能有效减少CO 排放,充分利用碳资源。 2 2 (1)CaO可在较高温度下捕集CO ,在更高温度下将捕集的CO 释放利用。CaC O • 2 2 2 4 H O热分解可制备CaO,CaC O •H O加热升温过程中固体的质量变化如图。 2 2 4 2 ①写出400~600℃范围内分解反应的化学方程式: 。 ②与CaCO 热分解制备的CaO相比,CaC O •H O热分解制备的CaO具有更好的CO 3 2 4 2 2 捕集性能,其原因是 。 (2)电解法转化CO 可实现CO 资源化利用。电解CO 制HCOOH的原理示意图如图。 2 2 2 第8页 | 共11页①写出阴极CO 还原为HCOO﹣的电极反应式: 。 2 ②电解一段时间后,阳极区的KHCO 溶液浓度降低,其原因是 。 3 (3)CO 催化加氢合成二甲醚是一种CO 转化方法,其过程中主要发生下列反应: 2 2 反应Ⅰ:CO (g)+H (g)=CO(g)+H O(g)△H=41.2kJ•mol﹣1 2 2 2 反应Ⅱ:2CO (g)+6H (g)=CH OCH (g)+3H O(g)△H=﹣122.5kJ•mol﹣1 2 2 3 3 2 在恒压、CO 和H 的起始量一定的条件下,CO 平衡转化率和平衡时CH OCH 的选择 2 2 2 3 3 性随温度的变化如图。其中: CH OCH 的选择性 100% 3 3 ①温度高于300℃,CO 平衡转化率随温度升高而上升的原因是 。 2 ②220℃时,在催化剂作用下CO 与H 反应一段时间后,测得CH OCH 的选择性为48% 2 2 3 3 (图中A点)。不改变反应时间和温度,一定能提高CH OCH 选择性的措施有 。 3 3 【选做题】本题包括A、B两小题,请选定其中一小题,并在相应的答题区域内作答。若多 第9页 | 共11页做,则按A小题评分。A.[物质结构与性质] 21.(12分)Cu O广泛应用于太阳能电池领域。以CuSO 、NaOH和抗坏血酸为原料,可 2 4 制备Cu O。 2 (1)Cu2+基态核外电子排布式为 。 (2)SO 2﹣的空间构型为 (用文字描述);Cu2+与OH﹣反应能生成[Cu(OH) ]2 4 4 ﹣,[Cu(OH) ]2﹣中的配位原子为 (填元素符号)。 4 (3)抗坏血酸的分子结构如图1所示,分子中碳原子的轨道杂化类型为 ;推测 抗坏血酸在水中的溶解性: (填“难溶于水”或“易溶于水”)。 (4)一个Cu O晶胞(如图2)中,Cu原子的数目为 。 2 [实验化学] 22.丙炔酸甲酯(CH≡C﹣COOCH )是一种重要的有机化工原料,沸点为103﹣105℃.实 3 验室制备少量丙炔酸甲酯的反应为 CH≡C﹣COOH+CH OH CH≡C﹣ 3 COOCH +H O 3 2 实验步骤如下: 步骤1:在反应瓶中,加入14g丙炔酸、50mL甲醇和2mL浓硫酸,搅拌,加热回流一 段时间。 步骤2:蒸出过量的甲醇(装置如图)。 步骤3:反应液冷却后,依次用饱和NaCl溶液、5%Na CO 溶液、水洗涤。分离出有机 2 3 相。 步骤4:有机相经无水Na SO 干燥、过滤、蒸馏,得丙炔酸甲酯。 2 4 (1)步骤1中,加入过量甲醇的目的是 。 (2)步骤2中,如图所示的装置中仪器A的名称是 ;蒸馏烧瓶中加入碎瓷片的 目的是 。 第10页 | 共11页(3)步骤3中,用5%Na CO 溶液洗涤,主要除去的物质是 ;分离出有机相的 2 3 操作名称为 。 (4)步骤4中,蒸馏时不能用水浴加热的原因是 。 第11页 | 共11页