当前位置:首页>文档>模块检测卷11世界现代史(16+4模式)(原卷版)_07高考历史_2025年新高考资料_一轮复习_2025年高考历史一轮复习讲练测(新教材新高考)(完结)_模块检测卷

模块检测卷11世界现代史(16+4模式)(原卷版)_07高考历史_2025年新高考资料_一轮复习_2025年高考历史一轮复习讲练测(新教材新高考)(完结)_模块检测卷

  • 2026-04-16 03:09:58 2026-04-16 03:09:05

文档预览

模块检测卷11世界现代史(16+4模式)(原卷版)_07高考历史_2025年新高考资料_一轮复习_2025年高考历史一轮复习讲练测(新教材新高考)(完结)_模块检测卷
模块检测卷11世界现代史(16+4模式)(原卷版)_07高考历史_2025年新高考资料_一轮复习_2025年高考历史一轮复习讲练测(新教材新高考)(完结)_模块检测卷
模块检测卷11世界现代史(16+4模式)(原卷版)_07高考历史_2025年新高考资料_一轮复习_2025年高考历史一轮复习讲练测(新教材新高考)(完结)_模块检测卷
模块检测卷11世界现代史(16+4模式)(原卷版)_07高考历史_2025年新高考资料_一轮复习_2025年高考历史一轮复习讲练测(新教材新高考)(完结)_模块检测卷
模块检测卷11世界现代史(16+4模式)(原卷版)_07高考历史_2025年新高考资料_一轮复习_2025年高考历史一轮复习讲练测(新教材新高考)(完结)_模块检测卷
模块检测卷11世界现代史(16+4模式)(原卷版)_07高考历史_2025年新高考资料_一轮复习_2025年高考历史一轮复习讲练测(新教材新高考)(完结)_模块检测卷
模块检测卷11世界现代史(16+4模式)(原卷版)_07高考历史_2025年新高考资料_一轮复习_2025年高考历史一轮复习讲练测(新教材新高考)(完结)_模块检测卷
模块检测卷11世界现代史(16+4模式)(原卷版)_07高考历史_2025年新高考资料_一轮复习_2025年高考历史一轮复习讲练测(新教材新高考)(完结)_模块检测卷

文档信息

文档格式
docx
文档大小
0.384 MB
文档页数
4 页
上传时间
2026-04-16 03:09:05

文档内容

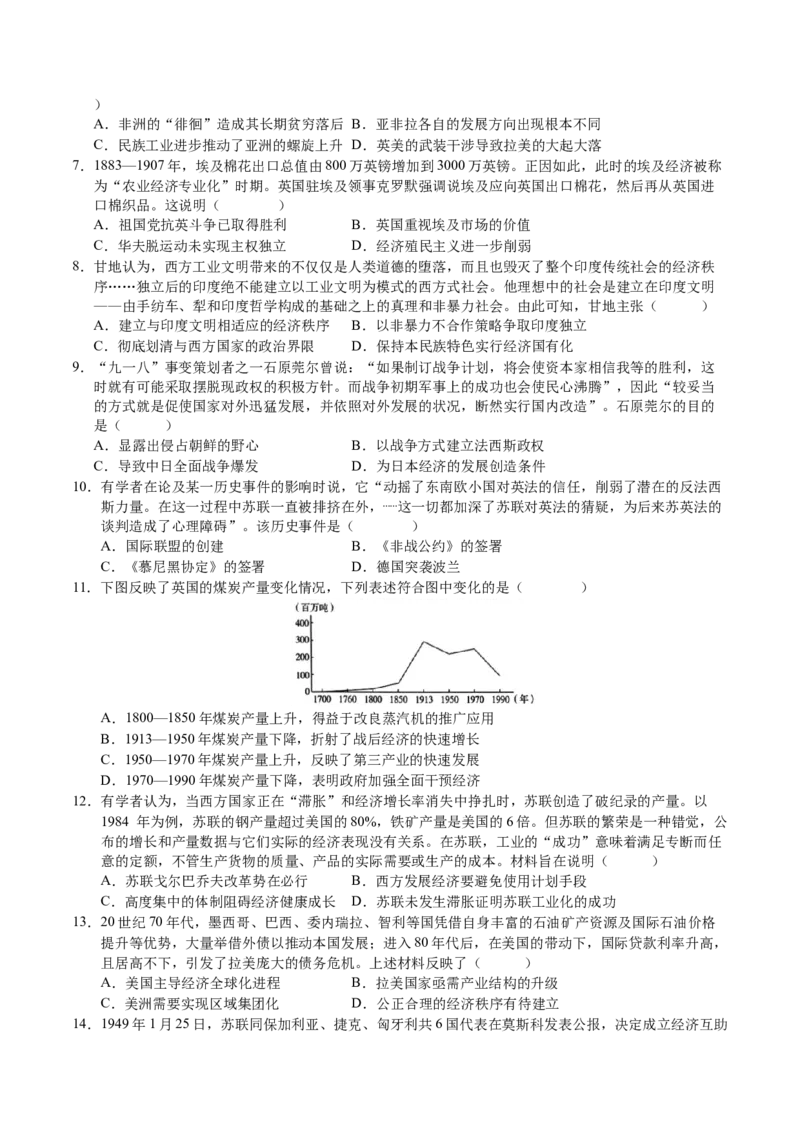
模块检测卷 11 世界现代史(16+4 模式) 考试范围:纲要下+选必一、二、三世界现代史部分;考试时间:100分钟; 注意事项: 1.答卷前,考生务必将自己的姓名、准考证号等填写在答题卡和试卷指定位置上。 2.回答选择题时,选出每小题答案后,用铅笔把答题卡上对应题目的答案标号涂黑。如需改动,用橡皮 擦干净后,再选涂其他答案标号。回答非选择题时,将答案写在答题卡上。写在本试卷上无效。 3.考试结束后,将本试卷和答题卡一并交回。 第 I 卷(选择题) 一、选择题:本题共16小题,每小题3分,共48分。 1.19世纪80年代以前,德国几乎没有取得任何海外殖民地。但在1884——1885年间,德国相继在西南 非洲、西非、东新几内亚的东北部、以及东非等地建立起德国的殖民地。到1912年,德国的殖民版图 已经扩张到了296万平方公里,成为仅次于英法的世界第三大殖民帝国。这一变化( ) A.导致帝国主义各国经济发展不平衡 B.体现了世界体系运行的周期性变化 C.从根本上改变了世界地缘政治版图 D.反映了资本主义殖民体系初步形成 2.下图为1903年俄国社会报刊所刊登的漫画。该漫画揭示出( ) (“法国高卢雄鸡一只爪子被绑在俄国熊身上,另一只被绑在英国狮子身上,为难地说道:“如果它 们同时朝不同方向移动,那该怎么办?”“没有英俄协约补充的《英法协约》是对俄法联盟的长期威 胁。”) A.俄国转移矛盾的紧迫性 B.帝国主义发展的不平衡性 C.近代国际关系的复杂性 D.西欧国家间同盟的脆弱性 3.斯大林的工业化计划是一项由国家来规划的努力,其募集资金的方法,则是将农场“集体化”,意味 着这些农场的产品属于国家,因此,政府能够更名正言顺地拿去外销。这说明苏联( ) A.扩大了企业的自主权 B.农民为实现工业化作出贡献 C.坚持优先发展重工业 D.注重农工业比例的协调发展 4.1921年苏维埃政府决定,允许私人经营零售业作为国营商业的补充;1922—1923年,私营贸易额占全 国贸易总额的44%,其中全国零售贸易额中私营占75%。这说明当时苏俄( ) A.社会主义过渡方式进行调整 B.国营商业企业缺乏竞争力 C.私营商业成为国家经济主体 D.政府对商业干预能力减弱 5.20世纪30年代初期,世界机器设备出口的大部分被苏联购买:1931年全球机器设备出口量的30%进入 苏联,1932年高达50%;有数据显示,从1929到1931年,苏联同外国签订的技术援助协定由70个增 至124个。这反映了当时( ) A.苏联工业化过程中优先发展重工业 B.苏联经济实力强大外汇储备充足 C.国际形势客观助推苏联工业化建设 D.国际上普遍与苏联建立经济联系 6.有学者认为,近代拉美民族解放运动的发展呈现出“大起大落”的特征,故称其为“起落型”;近代 亚洲的民族解放运动循序渐进,一浪高过一浪,故称之为“螺旋型”;非洲大部分地区的民族解放运 动长期徘徊不前,因此,非洲的民族解放运动可说是属于“徘徊型”的。对此解读合理的是() A.非洲的“徘徊”造成其长期贫穷落后 B.亚非拉各自的发展方向出现根本不同 C.民族工业进步推动了亚洲的螺旋上升 D.英美的武装干涉导致拉美的大起大落 7.1883—1907年,埃及棉花出口总值由800万英镑增加到3000万英镑。正因如此,此时的埃及经济被称 为“农业经济专业化”时期。英国驻埃及领事克罗默强调说埃及应向英国出口棉花,然后再从英国进 口棉织品。这说明( ) A.祖国党抗英斗争已取得胜利 B.英国重视埃及市场的价值 C.华夫脱运动未实现主权独立 D.经济殖民主义进一步削弱 8.甘地认为,西方工业文明带来的不仅仅是人类道德的堕落,而且也毁灭了整个印度传统社会的经济秩 序……独立后的印度绝不能建立以工业文明为模式的西方式社会。他理想中的社会是建立在印度文明 ——由手纺车、犁和印度哲学构成的基础之上的真理和非暴力社会。由此可知,甘地主张( ) A.建立与印度文明相适应的经济秩序 B.以非暴力不合作策略争取印度独立 C.彻底划清与西方国家的政治界限 D.保持本民族特色实行经济国有化 9.“九一八”事变策划者之一石原莞尔曾说:“如果制订战争计划,将会使资本家相信我等的胜利,这 时就有可能采取摆脱现政权的积极方针。而战争初期军事上的成功也会使民心沸腾”,因此“较妥当 的方式就是促使国家对外迅猛发展,并依照对外发展的状况,断然实行国内改造”。石原莞尔的目的 是( ) A.显露出侵占朝鲜的野心 B.以战争方式建立法西斯政权 C.导致中日全面战争爆发 D.为日本经济的发展创造条件 10.有学者在论及某一历史事件的影响时说,它“动摇了东南欧小国对英法的信任,削弱了潜在的反法西 斯力量。在这一过程中苏联一直被排挤在外,⋯⋯这一切都加深了苏联对英法的猜疑,为后来苏英法的 谈判造成了心理障碍”。该历史事件是( ) A.国际联盟的创建 B.《非战公约》的签署 C.《慕尼黑协定》的签署 D.德国突袭波兰 11.下图反映了英国的煤炭产量变化情况,下列表述符合图中变化的是( ) A.1800—1850年煤炭产量上升,得益于改良蒸汽机的推广应用 B.1913—1950年煤炭产量下降,折射了战后经济的快速增长 C.1950—1970年煤炭产量上升,反映了第三产业的快速发展 D.1970—1990年煤炭产量下降,表明政府加强全面干预经济 12.有学者认为,当西方国家正在“滞胀”和经济增长率消失中挣扎时,苏联创造了破纪录的产量。以 1984 年为例,苏联的钢产量超过美国的80%,铁矿产量是美国的6倍。但苏联的繁荣是一种错觉,公 布的增长和产量数据与它们实际的经济表现没有关系。在苏联,工业的“成功”意味着满足专断而任 意的定额,不管生产货物的质量、产品的实际需要或生产的成本。材料旨在说明( ) A.苏联戈尔巴乔夫改革势在必行 B.西方发展经济要避免使用计划手段 C.高度集中的体制阻碍经济健康成长 D.苏联未发生滞胀证明苏联工业化的成功 13.20世纪70年代,墨西哥、巴西、委内瑞拉、智利等国凭借自身丰富的石油矿产资源及国际石油价格 提升等优势,大量举借外债以推动本国发展;进入80年代后,在美国的带动下,国际贷款利率升高, 且居高不下,引发了拉美庞大的债务危机。上述材料反映了( ) A.美国主导经济全球化进程 B.拉美国家亟需产业结构的升级 C.美洲需要实现区域集团化 D.公正合理的经济秩序有待建立 14.1949年1月25日,苏联同保加利亚、捷克、匈牙利共6国代表在莫斯科发表公报,决定成立经济互助委员会,提出在平等基础上,相互交流经济经验、给予技术援助,在原料、粮食、机器、装备等方面 提供协助。经济互助委员会的成立( ) A.刺激了马歇尔计划的出台与实施 B.推动了东欧国家经济的持续发展 C.有利于苏联计划经济模式的外溢 D.标志着美苏两极格局的最终形成 15.根据亚太经合组织的预测,从2020年到2030年,全球中产阶级人口将从33亿增长至49亿,这一增 长中的80%发生在亚洲。同时,有数据显示,自2013年以来,全球范围内签订的44个自由贸易协定 中,有28个涉及亚洲。这些数据说明( ) A.亚洲成为世界经济增长的重要动力 B.经济区域集团化优势明显 C.亚洲科技发展水平居于世界的前列 D.世界政治多极化格局巩固 16.20世纪60年代,东南亚国家在实现联盟的过程中,受国际背景影响,一度将对抗“共产主义”作为 其动机之一。1991年以来,东盟与中国开启对话进程,双方积极进行全方位的交流与合作,中国—东 盟经贸合作不断提质升级。这一变化主要得益于( ) A.域外大国的影响衰退 B.双方发展模式趋同 C.彼此睦邻互信的增强 D.双方分歧基本消弥 第 II 卷(非选择题) 二、非选择题:本题共4小题,共52分。 17.阅读材料,回答问题。(14分) 材料 年份 国防支出 邮政支出 教育支出 公路等支出 卫生和福利支出 行政和利息支出 1927 17.4 20.1 0.5 2.6 1.2 58.1 1932 19.2 18.6 0.6 5.6 1.2 57.6 1936 10.2 8.2 3.6 8.8 5.8 63.4 1940 15.8 8.0 3.4 7.9 7.1 57.7 1950 41.0 5.0 5.5 1.1 12.7 33.9 1960 50.3 3.8 1.1 3.1 16.1 24.9 1970 40.5 3.8 1.9 2.4 24.8 24.4 ——【美】斯坦利·L·恩格尔曼、罗伯特·E·高尔曼《剑桥美国经济史(第三卷)》 (1)指出美国国防开支的变化趋势,并简要说明成因。(8分) (2)以公路支出所占比重的变化为例。说明美国经济发展模式的调整轨迹。(6分) 18.阅读材料,完成下列要求。(14分) 中国对苏俄“新经济政策”的研究。苏俄实行“新经济政策”的第一时间,中国知识界就做了相关的 报道和研究。从那以后,就一直没有中断。至今已有100多年。这100多年的研究史出现了4个高潮 时期。第一次高潮出现在20世纪20年代,以孙中山为代表的国民党人,以民生主义来解读“新经济 政策”,弥合了双方的理论差异。以陈独秀、瞿秋白为代表的共产党人积极响应这一政策,指出其实 质是把马克思主义的抽象原理和俄国具体国情相结合。第二次高潮是20世纪50年代,毛泽东借鉴 “新经济政策”的经验,结合中国的实际,提出新民主主义理论。刘少奇提出过渡理论,指出在很长 一段时间内,要巩固新民主主义制度,不要急于过渡到社会主义。第三次高潮在20世纪80年代,以 杨承训为代表,紧紧抓住“社会主义商品经济理论”这条主线,分析了计划与市场的关系、多种分配 方式、多种经济成分、引进外国资本、改善上层建筑等一系列问题。第四次高潮是20世纪90年代以 来。国内对“新经济政策”的研究进一步向纵深发展,很多学者从现代化、俄国历史整体、国际共产 主义运动等角度来研究,视野更加宏大。——摘编自《苏俄“新经济政策”中国研究史》 (1)根据材料,结合所学,分析指出20世纪20年代,国民党人和共产党人对“新经济政策”形成两 种解读的出发点。(6分) (2)新中国建立后,中国学者对“新经济政策”研究的视角不断发生变化,根据材料并结合所学分 别分析导致这些变化的原因。(8分) 19.阅读材料,完成下列要求。(12分) 材料 时代主题说是新中国成立30周年前后由中国共产党概括的外交与国际关系理论,具体表现为邓 小平关于“和平与发展”两大问题的判断:一是世界大战在一个相当长的时期内打不起来,可以争取 和平;二是和平与发展是全球性的战略问题,两者相互促进。在中国综合国力跃升世界前列的情况下, 和平发展观把中国视为世界和平的力量,强调中国不以战争的方式进行发展。伙伴战略是和平与发展 时代主题之下中国处理与国际社会的关系的外交大战略。20世纪90年代中后期,中国与俄罗斯、法 国、美国、欧盟等各大政治力量确立了不同类型的伙伴关系目标,为和平发展的时代主题增添了大国 政治内容。2006年中央外事工作会议将和谐世界理念提升为国家战略,向世界宣布中国主张构建各国 人民携手努力推动建设持久和平、共同繁荣的和谐世界。 ——摘编自郭树勇《试论70年来新中国外交的主要特点》 (1)根据材料并结合所学知识,概括改革开放以来中国外交坚持和平发展道路的体现。(6分) (2)根据材料并结合所学知识,说明改革开放以来中国外交坚持和平发展道路的原因。(6分) 20.阅读材料,完成下列要求(12分) 材料 苏联的瓦解、东欧国家的剧变、南欧的政治发展,表明“普遍史”存在。现代科学技术对社会 历史的发展产生了巨大影响,使所有的社会渐渐趋向一致。人类社会渐渐趋向“均质化”,所有追求 经济现代化的国家均越来越相似,如建立中央政府、追求国家统一、推动都市化、建立合理的经济制 度、推广公民教育、形成大众消费文化等。西方式民主的意识形态已经成为压倒一切的意识形态,西 方式民主体制可能形成“人类意识形态进步的终点”和“人类统治的最后形态”,这就是“历史的终 结”,因为不再会有更新的形态出现。 ——摘编自[美]弗朗西斯·福山《历史的终结与最后的人》 结合所学世界近现代史的有关知识评析材料中的观点(任意一点或整体),得出结论。(要求:结论 不能重复材料中的观点,持论有据,论证充分,表述清晰。)