当前位置:首页>文档>空间向量与立体几何——2025届高考数学二轮复习易错重难提升新高考版(含解析)_02高考数学_2025年新高考资料_二轮复习

空间向量与立体几何——2025届高考数学二轮复习易错重难提升新高考版(含解析)_02高考数学_2025年新高考资料_二轮复习

  • 2026-04-16 06:07:29 2026-04-16 06:02:18

文档预览

空间向量与立体几何——2025届高考数学二轮复习易错重难提升新高考版(含解析)_02高考数学_2025年新高考资料_二轮复习
空间向量与立体几何——2025届高考数学二轮复习易错重难提升新高考版(含解析)_02高考数学_2025年新高考资料_二轮复习
空间向量与立体几何——2025届高考数学二轮复习易错重难提升新高考版(含解析)_02高考数学_2025年新高考资料_二轮复习
空间向量与立体几何——2025届高考数学二轮复习易错重难提升新高考版(含解析)_02高考数学_2025年新高考资料_二轮复习
空间向量与立体几何——2025届高考数学二轮复习易错重难提升新高考版(含解析)_02高考数学_2025年新高考资料_二轮复习
空间向量与立体几何——2025届高考数学二轮复习易错重难提升新高考版(含解析)_02高考数学_2025年新高考资料_二轮复习
空间向量与立体几何——2025届高考数学二轮复习易错重难提升新高考版(含解析)_02高考数学_2025年新高考资料_二轮复习
空间向量与立体几何——2025届高考数学二轮复习易错重难提升新高考版(含解析)_02高考数学_2025年新高考资料_二轮复习
空间向量与立体几何——2025届高考数学二轮复习易错重难提升新高考版(含解析)_02高考数学_2025年新高考资料_二轮复习
空间向量与立体几何——2025届高考数学二轮复习易错重难提升新高考版(含解析)_02高考数学_2025年新高考资料_二轮复习
空间向量与立体几何——2025届高考数学二轮复习易错重难提升新高考版(含解析)_02高考数学_2025年新高考资料_二轮复习
空间向量与立体几何——2025届高考数学二轮复习易错重难提升新高考版(含解析)_02高考数学_2025年新高考资料_二轮复习
空间向量与立体几何——2025届高考数学二轮复习易错重难提升新高考版(含解析)_02高考数学_2025年新高考资料_二轮复习
空间向量与立体几何——2025届高考数学二轮复习易错重难提升新高考版(含解析)_02高考数学_2025年新高考资料_二轮复习
空间向量与立体几何——2025届高考数学二轮复习易错重难提升新高考版(含解析)_02高考数学_2025年新高考资料_二轮复习
空间向量与立体几何——2025届高考数学二轮复习易错重难提升新高考版(含解析)_02高考数学_2025年新高考资料_二轮复习
空间向量与立体几何——2025届高考数学二轮复习易错重难提升新高考版(含解析)_02高考数学_2025年新高考资料_二轮复习
空间向量与立体几何——2025届高考数学二轮复习易错重难提升新高考版(含解析)_02高考数学_2025年新高考资料_二轮复习
空间向量与立体几何——2025届高考数学二轮复习易错重难提升新高考版(含解析)_02高考数学_2025年新高考资料_二轮复习
空间向量与立体几何——2025届高考数学二轮复习易错重难提升新高考版(含解析)_02高考数学_2025年新高考资料_二轮复习
空间向量与立体几何——2025届高考数学二轮复习易错重难提升新高考版(含解析)_02高考数学_2025年新高考资料_二轮复习
空间向量与立体几何——2025届高考数学二轮复习易错重难提升新高考版(含解析)_02高考数学_2025年新高考资料_二轮复习
空间向量与立体几何——2025届高考数学二轮复习易错重难提升新高考版(含解析)_02高考数学_2025年新高考资料_二轮复习
空间向量与立体几何——2025届高考数学二轮复习易错重难提升新高考版(含解析)_02高考数学_2025年新高考资料_二轮复习
空间向量与立体几何——2025届高考数学二轮复习易错重难提升新高考版(含解析)_02高考数学_2025年新高考资料_二轮复习
空间向量与立体几何——2025届高考数学二轮复习易错重难提升新高考版(含解析)_02高考数学_2025年新高考资料_二轮复习
空间向量与立体几何——2025届高考数学二轮复习易错重难提升新高考版(含解析)_02高考数学_2025年新高考资料_二轮复习
空间向量与立体几何——2025届高考数学二轮复习易错重难提升新高考版(含解析)_02高考数学_2025年新高考资料_二轮复习
空间向量与立体几何——2025届高考数学二轮复习易错重难提升新高考版(含解析)_02高考数学_2025年新高考资料_二轮复习
空间向量与立体几何——2025届高考数学二轮复习易错重难提升新高考版(含解析)_02高考数学_2025年新高考资料_二轮复习

文档信息

文档格式
docx
文档大小
2.460 MB
文档页数
26 页
上传时间
2026-04-16 06:02:18

文档内容

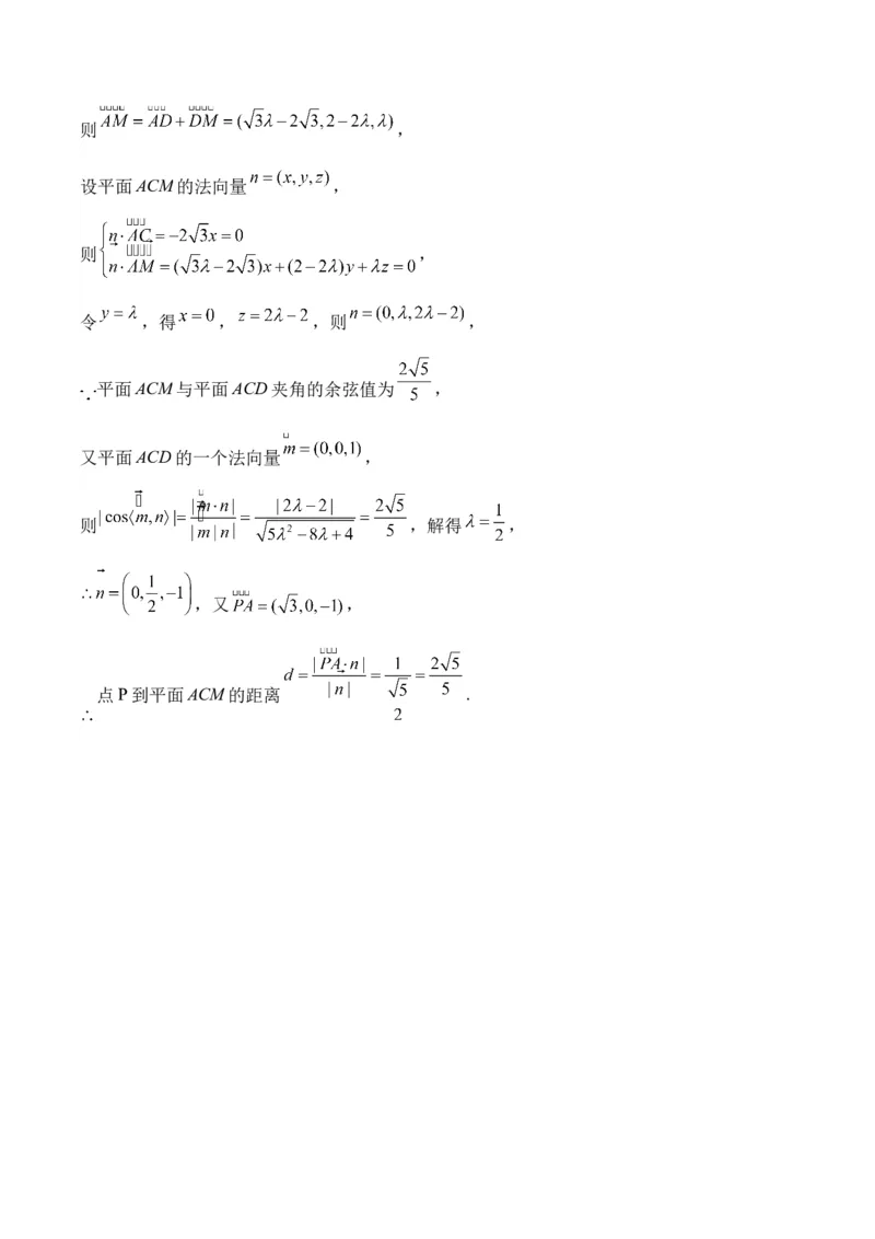
(7)空间向量与立体几何 ——2025 届高考数学二轮复习易错重难提升【新高考版】 易混重难知识 1.柱体、锥体、台体的体积 几何体 体积公式 ( 为底面面积, 为高), ( 为底面半径, 柱体 为高) 锥体 ( 为底面面积, 为高), ( 为底面半 径, 为高) ( 分别为上、下底面面积, 为高), 台体 ( 分别为上、下底面半径, 为高) 2.球的表面积和体积 (1)球的表面积:设球的半径为 ,则球的表面积为 ,即球的表面积等于它的大圆 面积的4倍. (2)球的体积:设球的半径为 ,则球的体积为 . 3.异面直线所成的角: (1)定义:已知两条异面直线 ,经过空间任一点 分别作直线 ,我们把 与 所成的角叫做异面直线 与 所成的角(或夹角). (2)异面直线所成的角 的取值范围: .(3)两条异面直线互相垂直:两条异面直线所成的角是直角,即 时, 与 互相垂直, 记作 . 4.直线和平面所成的角 有关概念 对应图形 一条直线 与一个平面 相交,但不与这个平面 斜线 垂直,图中直线 . l P 斜足 斜线和平面的交点,图中点 . A α O 过斜线上斜足以外的一点 向平面 引垂线 , 射影 过垂足 和斜足 的直线 叫做斜线在这个平面 内的射影. 定义:平面的一条斜线和它在平面上的射影所成的角; 直线与 平面所 规定:一条直线垂直于平面,它们所成的角是直角; 成的角 一条直线和平面平行或在平面内,它们所成的角是 的角. 取值范 围 5.二面角的概念 从一条直线出发的两个半平面所组成的图形叫做二面角.这条直线叫 概念 做二面角的棱,这两个半平面叫做二面角的面. 面 β 棱 β 面 Q α 图示 l B A l α P 棱为 ,面分别为 的二面角记为 . 记法 也可在 内(棱以外的半平面部分)分别取点 ,记作二面角 . 在二面角 的棱 上任取一点 ,以点 为垂足,在 文字 半平面 和 内分别作垂直于棱 的射线 和 ,则这两 条射线构成的角 叫做这个二面角的平面角. 平面角 β 图示 B α A O l 符号 , , , , , ,是二面角 的平面角. 范围 二面角的大小可以用它的平面角来度量,二面角的平面角 是多少度,就说这个二面角是多少度. 规定 平面角是直角的二面角叫做直二面角. 6.空间中直线、平面的平行 ①直线与直线平行:设 , 分别是直线 , 的方向向量,由方向向量的定义可知,如果 两条直线平行,那么它们的方向向量一定平行;反过来,如果两条直线的方向向量平行,那 么这两条直线也平行,所以l l u u R,使得 . 1 2 1 2 ②直线与平面平行:设u是直线l的方向向量,n是平面 的法向量, ,则 . ③平面与平面平行:设 , 分别是平面 , 的法向量,则 , 使得 . 7.空间中直线、平面的垂直 ①直线与直线垂直:设直线 , 的方向向量分别为 , ,则 . ②直线与平面垂直:直线l的方向向量为u,平面 的法向量为n,则 ,使得 . ③平面与平面垂直:设平面 , 的法向量分别为 , ,则 . 8.点到直线的距离 如图,向量 在直线l上的投影向量为 ,设 ,则向量 在直线l上的投影向量 . 在 中,由勾股定理,得 .9.点到平面的距离 如图,已知平面 的法向量为n,A是平面 内的定点,P是平面 外一点. 过点P作平面 的垂线l,交平面 于点Q,则n是直线l的方向向量,且点P到平面 的距离就是 在直 线l上的投影向量 的长度. 因此 . 10.异面直线所成的角 若异面直线 , 所成的角为 ,其方向向量分别是u,v,则 . 11.直线与平面所成的角 直线AB与平面 相交于点B,设直线AB与平面 所成的角为 ,直线AB的方向向量为u, 平面 的法向量为n,则 . 12.二面角 若平面 , 的法向量分别是 和 ,则平面 与平面 的夹角即为向量 和 的夹角或其 补角.设平面 与平面 的夹角为 ,则 . 易错试题提升 1.已知圆锥的母线为6,底面半径为1,把该圆锥截成圆台,使圆台的下底面与该圆锥的底面重合,圆台的上底面半径为 ,则圆台的侧面积为( ) A. B. C. D. 2.设m,n是不同的直线, , 是不同的平面,则下列命题正确的是( ) A.若 , , ,则 B.若 , , ,则 C.若 , , ,则 D.若 , , ,则 3.如图是一款多功能粉碎机的实物图,它的进物仓可看作正四棱台,已知该四棱台的上底面 边长为 ,下底面边长为 ,侧棱长为 ,则该款粉碎机进物仓的容积为( ) A. B. C. D. 4.如图,将正四棱柱 斜立在平面 上,顶点 在平面 内, 平面 , .点P在平面 内,且 .若将该正四棱柱绕 旋转,则PC的最大值为 ( )A. B. C. D. ABCABC 5.如图,在直三棱柱 1 1 1中,所有棱长都相等,D,E,F分别是棱AB, , 的中点,则异面直线DF与 所成角的余弦值是( ) A. B. C. D. 6.在三棱锥P ABC 中, ,E为线段AP上更靠近P的三等分点,过点E作平行 于AB,PC的平面,则该平面截三棱锥P ABC 所得截面的周长为( ) A.5 B.6 C.8 D.9 7.在四边型ABCD中(如图1所示), , , ,将四边 形ABCD沿对角线BD折成四面体 (如图2所示),使得 ,则四面体 外接球的表面积为( )A. B. C. D. 8.已知四面体 的每个顶点都在球O(O为球心)的球面上, 为等边三角形, , ,且 ,则二面角 的正切值为( ) A. B. C. D. 9.(多选)如图,在棱长为2的正方体 中,Q为线段 的中点,P为线段 上的动点(含端点),则下列结论正确的有( ) A.P为中点时,过D,P,Q三点的平面截正方体 所得的截面的面积为 B.存在点P,使得平面 平面 C. 的最小值为D.三棱锥 外接球表面积最大值为 4 3 AB  10.(多选)如图1,在菱形ABCD中, 3 ,BAD60,沿对角线BD将△ABD折 起,使点A,C之间的距离为2 2,如图2,若P,Q分别为直线BD,CA上的动点,则下列 说法正确的是( ) A.平面 平面BCD 14 B.当 AQ QC , 时,点D到直线PQ的距离为 14 C.线段PQ的最小值为 6 D.当P,Q分别为线段BD,CA的中点时,PQ与AD所成角的余弦值为 4 11.已知向量 , ,且 与 平行,则 _________. 12.已知点S,A,B,C均在半径为2的球面上, 是边长为3的等边三角形, 平面 ABC,则 ______________. 13.在四棱锥 中,底面ABCD是边长为 的正方形,P在底面的射影为正方形的 中心O, ,Q点为AO中点.点T为该四棱锥表面上一个动点,满足PA、BD都平行于 过QT的四棱锥的截面,则动点T的轨迹围成的多边形的面积为__________________.14.如图,圆柱上,下底面圆的圆心分别为O, ,该圆柱的轴截面为正方形,三棱柱 的三条侧棱均为圆柱的母线,且 ,点P在轴 上运动. (1)证明:不论P在何处,总有 ; (2)当P为 的中点时,求平面 与平面 夹角的余弦值. 15.如图,等腰梯形ABCD中, , , ,现以AC为折痕把 折起,使点B到达点P的位置,且 . (1)证明:平面 平面ACD;(2)M为PD上的一点,若平面ACM与平面ACD的夹角的余弦值为 ,求点P到平面ACM 的距离.答案以及解析 1.答案:C 解析:假设圆锥半径R,母线为l,则 .设圆台上底面为r,母线为 ,则 由已知可 得, ,所以 . 如图,作出圆锥,圆台的轴截面则有 ,所以 . 所以圆台的侧面积为 , 故选:C. 2.答案:D 解析:对于A,若 , , ,则直线m与n可能相交,也可能平行,还可能是异 面直线,A错误; 对于B,若 ,则 ,B错误; 对于C,若 ,直线m与n可能平行, 如直线m,n都平行于 , 的交线,且 , ,满足条件,而 ,C错误; 对于D,若 , ,则 ,又 ,因此 ,D正确.故选:D 3.答案:C 解析:画出满足题意的正四棱台 ,如图所示, 则 , .过点D作 于点E,则 , ,所以该正四棱台的容积为 .故选C. 4.答案:D 解析:过点C作 ,垂足为E,连接AC,可知 平面 , 所以点C到平面 的距离为 , 由题意 , , , 过点C作 平面 ,垂足为 , 因为点P在平面 内,且 ,即点P在以 为圆心, 为半径的圆上, 当 , ,P三点共线时,且 时,PC取最大值,最大值为 . 故选:D. 5.答案:D 解析:连接BF,因为在直三棱柱 中,E,F分别是棱BC, 的中点, 故 , ,即四边形 为平行四边形, 所以 ,则 即为异面直线DF与 所成角或其补角; 直三棱柱 中,所有棱长都相等,设其棱长为2, 连接EF,DE,则 , ,而 平面ABC,故 平面ABC, 平面ABC,故 , D是棱AB的中点,故 ,则 , 而 ,又 ,故在 中, , 由于异面直线所成角的范围为大于 ,小于等于 , 故异面直线 与 所成角的余弦值是 , 故选:D 6.答案:B 解析:如图所示,在三棱锥 中,过点E分别作 ,EH//PC,再分别过点F, H作 ,FG//PC ,可得E,F,G,H四点共面,所以 ,EH//FG .因为 平面EFGH , 平面 ,所以 平面 .同理可证 平面 ,所以截 面即为平行四边形 .又因为E为线段AP上更靠近P的三等分点,且 ,所 以 , ,所以平行四边形 的周长为 .故选B. 7.答案:D解析: , , , 又 ,则 , , 可知 ,则 , 取 的中点O,连接BO,DO,则 , 所以点O为四面体 外接球的球心, 则外接球的半径为: , 所以四面体 外接球的表面积 . 故选:D. 8.答案:A 解析:取 的中点E,连接 , , 为等边三角形, , , , 平面 , 又 平面 , , 由题意得, , ,又 ,, , 又 , , 平面 , 平面 ,又 平面 , 平面 平面 , 易知 ,则 ,故 为等腰直角三角形, 综上,四面体 的球心O为 的中心,即点O是 上靠近E的三等分点. 以E为原点, , , 所在直线分别为x轴,y轴,z轴建立如图所示的空间直角坐标 系, 则 , , , , , , 设平面 的一个法向量为 , 则 即令 ,则 , , , 又平面 的一个法向量 , 二面角 的余弦值为 , 二面角 的正弦值为 ,故二面角 的正切值为 . 9.答案:AD 解析:A选项:连接 , , 由三角形中位线性质和正方体性质可知, ,且 ,所以过D,P,Q三点的截面为梯形 , 易知 , , 作 ,则 , , 所以梯形 的面积 ,A正确;B选项:若存在点P,使得平面 平面 ,则由平面 平面 , 平面 平面 可知 ,显然DQ, 不平行,故B错误; C选项:将侧面展开如图,显然当Q、P、D三点共线时, 取得最小值,最小值为 ,C错误; D选项:由题知, , , 两两垂直,所以三棱锥 外接球, 即为以 , , 为共顶点的三条棱的长方体的外接球,记其半径为R, 则 ,显然,当点P与C重合时,R取得最大值 ,此时外接球表面积取得最大值 ,D正 确. 故选:AD. 10.答案:ACD 解析:取BD的中点O,连接OA,OC,由题意可知 , ,因为 OA2 OC2  AC2 ,所以 ,又OA BD, ,所以OA平面BCD,因为 平面ABD,所以平面ABD平面BCD,故A正确; A(0,0,2) 以O为原点,建立如图所示的空间直角坐标系,则 , , , (cid:3)  3  PQ  ,1,1   ,当 AQ QC , 时, Q(0,1,1) , ,  3 , ,所以点D到直线PQ的距离为 , 故B错误; 设 ,由 ,得 ,则 , 故 , 当 , 时, ,故C正确; 当P,Q分别为线段BD,CA的中点时, , , ,,设PQ与AD所成的角为 ,则 , 即PQ与AD所成角的余弦值为 ,故D正确.故选ACD. 11.答案: 解析: , .因为 与 平行,所以当 时, ,解得 ;当 时, , .综上, . 12.答案:2 解析:如图,将三棱锥 转化为正三棱柱 ,设 的外接圆圆心为 ,半径为r, 则 ,可得 , 设三棱锥 的外接球球心为O,连接OA, ,则 , , 因为 ,即 ,解得 . 故答案为:2. 13.答案: 解析:取AD的中点E,PD的中点F,PO的中点R,PB的中点N, 连接QR延长交PC与点M,依次连接E,F,M,N,G, 可知 , , ,即 ,而 , 所以E,F,G,Q,N,R共面,所以E,F,M,N,G共面, 因为底面ABCD是边长为 的正方形, 所以对角线 , , 因为P在底面的射影为正方形的中心,可得 面ABCD, 因为 面ABCD,所以 ,因为 , ,所以 , 因为E、F分别为AD、PD的中点, 所以 ,且 , 因为 平面EFMG, 平面EFMG, 所以 平面EFMG,同理 平面EFMG, 所以平面EFMG即为所求截面. 又因为平面 平面 , 平面APC,所以 , 因为Q为AO的中点,可得 , 所以 , , , 因为N、F分别为PB、PD的中点,所以 , , 所以 , ,所以四边形EFNG是平行四边形, 因为 , , ,所以 平面APC, 因为 平面APC,可得 ,所以 , 所以四边形EFNG是矩形, 所以动点T的轨迹围成的多边形的面积为 . 故答案为: . 14.答案:(1)见解析(2) 解析:(1)证明:连接AO并延长,交BC于M,交圆柱侧面于 因为 , , ,所以 ,所以 , 因为 , ,所以 ,所以 ,即M为BC中点, 所以 又在圆柱 中, 平面ABC, 平面ABC,所以 , 因为 ,AO, 平面 ,所以 平面 因为不论P在何处,总有 平面 ,所以 (2)设 ,则 在 中, , 则 所以 如图,以 为原点,建立空间直角坐标系 ,其中 轴,y轴是 的垂直平分线,则 , , , , 所以 , , , . 设平面 的一个法向量为 ,  5 5 1 1 则 ax ayaz 0 ay az 0 ,取 ,得 (cid:3) .  6 6 2 2 x1 m(1, 5, 5) (cid:3) BPB nb,c,d 设平面 1 的一个法向量为 ,  5 1 1 则ad 0 ab ac ad 0 ,取 ,得 (cid:3)  .  6 3 2 b2 n 2, 5,0 APB BPB  设平面 1 与平面 1 的夹角为 , (cid:3) (cid:3) (cid:3) (cid:3) mn 11 (cid:3) cos cos m,n  (cid:3)  则 m n 11 , 所以平面 与面 夹角的余弦值为 . 15.答案:(1)证明见解析 (2) 解析:(1)在梯形ABCD中,取AD的中点N,连接CN,, , 四边形ABCN为平行四边形, , , , , ,PA, 平面PAC, 平面PAC, 平面ACD, 平面 平面ACD. (2)取AC中点O,连接PO, ,O为AC中点, , 又平面 平面ACD,平面 平面 , 平面PAC, 平面ACD, O,N分别为AC,AD中点, , 平面PAC, 以O为坐标原点,分别以OA,ON,OP所在直线为x,y,z轴,建立如图所示空间直角坐标 系, 则 , , , , , , , , 设 , ,则 , 设平面ACM的法向量 , 则 , 令 ,得 , ,则 , 平面ACM与平面ACD夹角的余弦值为 , 又平面ACD的一个法向量 , 则 ,解得 , ,又 , 点P到平面ACM的距离 .