当前位置:首页>文档>第01讲集合(练习)(原卷版)_02高考数学_新高考复习资料_2024年新高考资料_一轮复习资料_完2024年高考数学一轮复习讲练测(课件+讲义+练习)(新高考)

第01讲集合(练习)(原卷版)_02高考数学_新高考复习资料_2024年新高考资料_一轮复习资料_完2024年高考数学一轮复习讲练测(课件+讲义+练习)(新高考)

  • 2026-04-16 08:34:37 2026-04-16 07:39:52

文档预览

第01讲集合(练习)(原卷版)_02高考数学_新高考复习资料_2024年新高考资料_一轮复习资料_完2024年高考数学一轮复习讲练测(课件+讲义+练习)(新高考)
第01讲集合(练习)(原卷版)_02高考数学_新高考复习资料_2024年新高考资料_一轮复习资料_完2024年高考数学一轮复习讲练测(课件+讲义+练习)(新高考)
第01讲集合(练习)(原卷版)_02高考数学_新高考复习资料_2024年新高考资料_一轮复习资料_完2024年高考数学一轮复习讲练测(课件+讲义+练习)(新高考)
第01讲集合(练习)(原卷版)_02高考数学_新高考复习资料_2024年新高考资料_一轮复习资料_完2024年高考数学一轮复习讲练测(课件+讲义+练习)(新高考)
第01讲集合(练习)(原卷版)_02高考数学_新高考复习资料_2024年新高考资料_一轮复习资料_完2024年高考数学一轮复习讲练测(课件+讲义+练习)(新高考)
第01讲集合(练习)(原卷版)_02高考数学_新高考复习资料_2024年新高考资料_一轮复习资料_完2024年高考数学一轮复习讲练测(课件+讲义+练习)(新高考)
第01讲集合(练习)(原卷版)_02高考数学_新高考复习资料_2024年新高考资料_一轮复习资料_完2024年高考数学一轮复习讲练测(课件+讲义+练习)(新高考)
第01讲集合(练习)(原卷版)_02高考数学_新高考复习资料_2024年新高考资料_一轮复习资料_完2024年高考数学一轮复习讲练测(课件+讲义+练习)(新高考)

文档信息

文档格式
docx
文档大小
0.547 MB
文档页数
4 页
上传时间
2026-04-16 07:39:52

文档内容

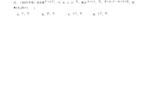
第 01 讲 集合 (模拟精练+真题演练) 1.(2023·甘肃张掖·统考模拟预测)设全集 ,若集合 ,则 ( ) A.{-2,0,2,3} B.{-2,2,3} C.{0,2,3} D.{-2,-1} 2.(2023·黑龙江齐齐哈尔·统考一模)设全集 ,集合 , ,则 =( ) A. B. C. D. 3.(2023·内蒙古包头·统考二模)设集合 , ,则 ( ) A. B. C. D. 4.(2023·内蒙古包头·二模)设集合 ,且 ,则 ( ) A. B. C.8 D.6 5.(2023·天津河东·一模)已知集合 , , ,则实数 的值为( ) A. B. C. D. 6.(2023·河北张家口·统考一模)已知集合 , , ,则 ( ) A. B. C. D. 7.(2023·辽宁大连·统考一模)如图所示的Venn图中, 、 是非空集合,定义集合 为阴影部分表 示的集合.若 , ,则 ( ) A. B. C. D. 8.(2023·江苏南通·模拟预测)已知P,Q为R的两个非空真子集,若  ,则下列结论正确的是 ( ) 学科网(北京)股份有限公司 1A. , B. , C. , D. , 9.(2023·广西南宁·统考二模)已知集合 , ,则 ( ) A. B. C. D. 10.(2023·广西南宁·统考二模)已知集合 , ,则 ( ) A. B. C. D. 11.(2023·陕西商洛·校考三模)设全集 ,集合 , ,则实数 的值为 ( ) A.0 B.-1 C.2 D.0或2 12.(2023·湖北武汉·华中师大一附中校联考模拟预测)已知集合 , ,若 中有且仅有三个整数,则正数a的取值范围是( ) A. B. C. D. 13.(2023·湖南怀化·统考二模)已知集合 ,则 的真子集共有 ( ) A.3个 B.6个 C.7个 D.8个 14.(2023·全国·本溪高中校联考模拟预测)对于集合A,B,定义集合 且 ,已知集 合 , , ,则 ( ) A. B. C. D. 15.(2023·全国·高三专题练习)建党百年之际,影片《 》《长津湖》《革命者》都已陆续上映,截 止 年 月底,《长津湖》票房收入已超 亿元,某市文化调查机构,在至少观看了这三部影片中的 其中一部影片的市民中随机抽取了 人进行调查,得知其中观看了《 》的有 人,观看了《长津 湖》的有 人,观看了《革命者》的有 人,数据如图,则图中 ___________; ___________; ___________. 学科网(北京)股份有限公司 21.(2023•北京)已知集合 , .则 A. B. C. D. 2.(2023•乙卷)设集合 ,集合 , ,则 A. B. C. D. 3.(2023•甲卷)设集合 , , , , 为整数集,则 A. , B. , C. , D. 4.(2023•新高考Ⅰ)已知集合 , ,0,1, , ,则 A. , ,0, B. ,1, C. D. 5.(2023•天津)已知集合 ,2,3,4, , , , ,2, ,则 A. ,3, B. , C. ,2, D. ,2,4, 6.(2023•新高考Ⅱ)设集合 , , , , ,若 ,则 A.2 B.1 C. D. 7.(2023•上海)已知 , , , ,若 , ,则 A. B. C. D. ,2, 8.(2022•天津)设全集 , ,0,1, ,集合 ,1, , , ,则 A. , B. ,1, C. ,1, D. , ,1, 学科网(北京)股份有限公司 39.(2022•新高考Ⅰ)若集合 , ,则 A. B. C. D. 10.(2022•乙卷)设全集 ,2,3,4, ,集合 满足 , ,则 A. B. C. D. 11.(2022•新高考Ⅱ)已知集合 ,1,2, , ,则 A. , B. , C. , D. , 12.(2022•甲卷)设全集 , ,0,1,2, ,集合 , , ,则 A. , B. , C. , D. , 学科网(北京)股份有限公司 4