当前位置:首页>文档>第一章集合与常用逻辑用语、不等式(测试)(解析版)_02高考数学_新高考复习资料_2024年新高考资料_一轮复习资料_完2024年高考数学一轮复习讲练测(课件+讲义+练习)(新高考)

第一章集合与常用逻辑用语、不等式(测试)(解析版)_02高考数学_新高考复习资料_2024年新高考资料_一轮复习资料_完2024年高考数学一轮复习讲练测(课件+讲义+练习)(新高考)

  • 2026-04-19 06:47:45 2026-04-19 06:47:45

文档预览

第一章集合与常用逻辑用语、不等式(测试)(解析版)_02高考数学_新高考复习资料_2024年新高考资料_一轮复习资料_完2024年高考数学一轮复习讲练测(课件+讲义+练习)(新高考)
第一章集合与常用逻辑用语、不等式(测试)(解析版)_02高考数学_新高考复习资料_2024年新高考资料_一轮复习资料_完2024年高考数学一轮复习讲练测(课件+讲义+练习)(新高考)
第一章集合与常用逻辑用语、不等式(测试)(解析版)_02高考数学_新高考复习资料_2024年新高考资料_一轮复习资料_完2024年高考数学一轮复习讲练测(课件+讲义+练习)(新高考)
第一章集合与常用逻辑用语、不等式(测试)(解析版)_02高考数学_新高考复习资料_2024年新高考资料_一轮复习资料_完2024年高考数学一轮复习讲练测(课件+讲义+练习)(新高考)
第一章集合与常用逻辑用语、不等式(测试)(解析版)_02高考数学_新高考复习资料_2024年新高考资料_一轮复习资料_完2024年高考数学一轮复习讲练测(课件+讲义+练习)(新高考)
第一章集合与常用逻辑用语、不等式(测试)(解析版)_02高考数学_新高考复习资料_2024年新高考资料_一轮复习资料_完2024年高考数学一轮复习讲练测(课件+讲义+练习)(新高考)
第一章集合与常用逻辑用语、不等式(测试)(解析版)_02高考数学_新高考复习资料_2024年新高考资料_一轮复习资料_完2024年高考数学一轮复习讲练测(课件+讲义+练习)(新高考)
第一章集合与常用逻辑用语、不等式(测试)(解析版)_02高考数学_新高考复习资料_2024年新高考资料_一轮复习资料_完2024年高考数学一轮复习讲练测(课件+讲义+练习)(新高考)
第一章集合与常用逻辑用语、不等式(测试)(解析版)_02高考数学_新高考复习资料_2024年新高考资料_一轮复习资料_完2024年高考数学一轮复习讲练测(课件+讲义+练习)(新高考)
第一章集合与常用逻辑用语、不等式(测试)(解析版)_02高考数学_新高考复习资料_2024年新高考资料_一轮复习资料_完2024年高考数学一轮复习讲练测(课件+讲义+练习)(新高考)
第一章集合与常用逻辑用语、不等式(测试)(解析版)_02高考数学_新高考复习资料_2024年新高考资料_一轮复习资料_完2024年高考数学一轮复习讲练测(课件+讲义+练习)(新高考)
第一章集合与常用逻辑用语、不等式(测试)(解析版)_02高考数学_新高考复习资料_2024年新高考资料_一轮复习资料_完2024年高考数学一轮复习讲练测(课件+讲义+练习)(新高考)
第一章集合与常用逻辑用语、不等式(测试)(解析版)_02高考数学_新高考复习资料_2024年新高考资料_一轮复习资料_完2024年高考数学一轮复习讲练测(课件+讲义+练习)(新高考)
第一章集合与常用逻辑用语、不等式(测试)(解析版)_02高考数学_新高考复习资料_2024年新高考资料_一轮复习资料_完2024年高考数学一轮复习讲练测(课件+讲义+练习)(新高考)
第一章集合与常用逻辑用语、不等式(测试)(解析版)_02高考数学_新高考复习资料_2024年新高考资料_一轮复习资料_完2024年高考数学一轮复习讲练测(课件+讲义+练习)(新高考)
第一章集合与常用逻辑用语、不等式(测试)(解析版)_02高考数学_新高考复习资料_2024年新高考资料_一轮复习资料_完2024年高考数学一轮复习讲练测(课件+讲义+练习)(新高考)

文档信息

文档格式
docx
文档大小
0.755 MB
文档页数
12 页
上传时间
2026-04-19 06:47:45

文档内容

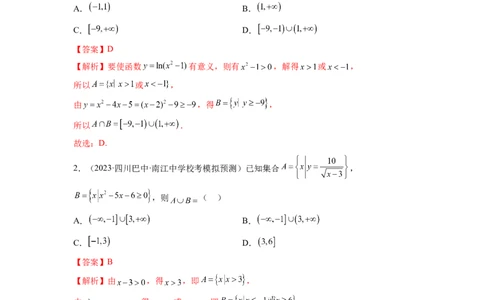
第一章 集合与常用逻辑用语、不等式 时间:120分钟 分值:150分 第Ⅰ卷 一、选择题:本题共8小题,每小题5分,共40分。在每小题给出的四个选项中,只有一 项是符合题目要求的。 1.(2023·全国·校联考模拟预测)已知集合 , , 则 ( ) A. B. C. D. 【答案】D 【解析】要使函数 有意义,则有 ,解得 或 , 所以 或 , 由 ,得 , 所以 . 故选:D. 2.(2023·四川巴中·南江中学校考模拟预测)已知集合 , ,则 ( ) A. B. C. D. 【答案】B 【解析】由 ,得 ,即 , 由 ,得 或 ,即 , 所以 . 故选:B. 3.(2023·湖北·统考二模)已知集合 , ,且全集 ,则 ( ) A. B. C. D. 【答案】D 资料收集整理【淘宝店铺:向阳百分百】 1 / 12 学学科科网网((北北京京))股股份份有有限限公公司司【解析】由已知得集合 表示的区间为 ,集合 表示的区间为 , 则 , , , , 故选: . 4.(2023·青海西宁·统考一模)已知命题 , ,则p的否定为 ( ) A. B. C. D. 【答案】A 【解析】由存在量词命题的否定为全称量词命题, 得p的否定为 . 故选:A. 5.(2023·江西·校联考二模)“ ”的一个充分条件可以是( ) A. B. C. D. 【答案】D 【解析】由 ,即 ,所以 对选项A,当 , 时, ,但 不满足,故A不正确, 选项B,由 ,则 , 则 或 ,故B项不正确, 选项C, , 则 或 ,故C不正确, 选项D,由 知 , 所以 ,成立,故D正确, 故选:D. 6.(2023·全国·高三专题练习)某小学对小学生的课外活动进行了调查.调查结果显示:参 加舞蹈课外活动的有63人,参加唱歌课外活动的有89人,参加体育课外活动的有47人, 资料收集整理【淘宝店铺:向阳百分百】 2 / 12 学学科科网网((北北京京))股股份份有有限限公公司司三种课外活动都参加的有24人,只选择两种课外活动参加的有46人,不参加其中任何一 种课外活动的有15人.问接受调查的小学生共有多少人?( ) A.120 B.144 C.177 D.192 【答案】A 【解析】 如图所示,用韦恩图表示题设中的集合关系,不妨将参加舞蹈、唱歌、体育课外活动的小 学生分别用集合 表示, 则 不妨设总人数为 ,韦恩图中三块区域的人数分别为 即 由容斥原理: 解得: 故选:A 7.(2023·广西南宁·南宁三中校考模拟预测)已知实数 , 满足 ,则 的最小值为( ) A. B. C. D. 【答案】A 【解析】 , 当且仅当 时等号成立, 所以 的最小值为 . 故选:A. 资料收集整理【淘宝店铺:向阳百分百】 3 / 12 学学科科网网((北北京京))股股份份有有限限公公司司8.(2023·宁夏中卫·统考二模)已知点 在直线 上,若关于 的 不等式 恒成立,则实数 的取值范围为( ) A. B. C. D. 【答案】A 【解析】因为点 在直线 上, 所以 , 故 , 当且仅当 且 ,即 时等号成立, 因为关于 的不等式 恒成立, 所以 ,解得 , 所以 . 故选:A 二、选择题:本题共4小题,每小题5分,共20分。在每小题给出的选项中,有多项符合 题目要求。全部选对的得5分,部分选对的得2分,有选错的得0分。 9.(2023·广东深圳·高三深圳外国语学校校考阶段练习)已知 : , 恒成立; : , 恒成立.则( ) A.“ ”是 的充分不必要条件 B.“ ”是 的必要不充分条件 C.“ ”是 的充分不必要条件 D.“ ”是 的必要不充分条件 【答案】BC 【解析】已知 : , 恒成立,则方程 无实根, 所以 恒成立,即 ,故“ ”是 的必要不充分条件,故A错误, B正确; 又 : , 恒成立,所以 在 时恒成立, 又函数 的最大值为 , 所以 ,故“ ”是 的充分不必要条件,故C正确,D错误. 故选:BC. 10.(2023·全国·高三专题练习)图中阴影部分用集合符号可以表示为( ) 资料收集整理【淘宝店铺:向阳百分百】 4 / 12 学学科科网网((北北京京))股股份份有有限限公公司司A. B. C. D. 【答案】AD 【解析】如图,在阴影部分区域内任取一个元素 ,则 或 ,所以阴影部 分所表示的集合为 ,再根据集合的运算可知,阴影部分所表示的集合也 可表示为 , 所以选项AD正确,选项CD不正确, 故选:AD. 11.(2023·全国·高三专题练习)已知集合 有且仅有两个子集,则 下面正确的是( ) A. B. C.若不等式 的解集为 ,则 D.若不等式 的解集为 ,且 ,则 【答案】ABD 【解析】由于集合 有且仅有两个子集,所以 , 由于 ,所以 . A, ,当 时等号成立,故A正确. B, ,当且仅当 时等号成立,故B正确. C,不等式 的解集为 , ,故C错误. D,不等式 的解集为 ,即不等式 的解集为 ,且 资料收集整理【淘宝店铺:向阳百分百】 5 / 12 学学科科网网((北北京京))股股份份有有限限公公司司,则 , 则 , ,故D正确, 故选:ABD 12.(2023·重庆九龙坡·统考二模)若a,b,c都是正数,且 则( ) A. B. C. D. 【答案】BCD 【解析】设 , 则 , , , , , , 所以 , ,因为 ,所以 ,则等号不成立, 所以 ,则 , 因为 ,所以 , 故选:BCD 第Ⅱ卷 三、填空题:本题共4小题,每小题5分,共20分。 13.(2023·上海浦东新·高三上海市进才中学校考阶段练习)已知集合 , 集合 .如果 ,则实数 的取值范围是___________. 【答案】 【解析】由 解得 ,所以 , 所以 , 由于 ,所以 . 资料收集整理【淘宝店铺:向阳百分百】 6 / 12 学学科科网网((北北京京))股股份份有有限限公公司司故答案为: . 14.(2023·山西运城·统考三模)若命题“ , ”为真命题,则实数 的取 值范围为___________.(用区间表示) 【答案】 【解析】因为 ,即函数 的值域为 , 所以实数 的取值范围为 . 故答案为: 15.(2023·湖南长沙·高三校联考期中)若一个非空数集 满足:对任意 ,有 , , ,且当 时,有 ,则称 为一个数域,以下命题中: (1)0是任何数域的元素;(2)若数域 有非零元素,则 ; (3)集合 为数域;(4)有理数集为数域; 真命题的个数为________ 【答案】3 【解析】(1)当 时, 属于数域,故(1)正确, (2)若数域 有非零元素,则 , 从而 ,故(2)正确; (3)由集合 的表示可知得 是3的倍数,当 时, ,故(3)错误, (4)若 是有理数集,则当 , ,则 , , ,且当 时, ” 都成立,故(4)正确, 故真命题的个数是3. 故答案为:3 16.(2023·全国·高三专题练习)设 且 , ,则 的范围 为______________. 【答案】 【解析】由 且 ,得 , ,且 ①, 又因为 ,可得 ②, 由①②可知: , 是方程 的两个不等的实根, 资料收集整理【淘宝店铺:向阳百分百】 7 / 12 学学科科网网((北北京京))股股份份有有限限公公司司于是 ,解得: , 且 ,则 , 则 , 所以 的范围为 . 故答案为: . 四、解答题:本题共6小题,共70分。解答应写出文字说明、证明过程或演算步棸。 17.(10分) (2023·河南许昌·高三校考期末)已知集合 , . (1)求A; (2)若“x∈A”是“x∈B”的充分不必要条件,求m的取值范围. 【解析】(1)由 ,可得 , 所以 ,所以集合 . (2)若“ ”是“ ”的充分不必要条件, 则集合 是集合 的真子集, 由集合 不是空集,故集合 也不是空集, 所以 , 当 时, 满足题意, 当 时, 满足题意, 故 ,即m的取值范围为 . 18.(12分) (2023·重庆酉阳·重庆市酉阳第一中学校校考一模)命题 :任意 , 成立;命题 :存在 , + 成立. (1)若命题 为假命题,求实数 的取值范围; (2)若命题 和 有且只有一个为真命题,求实数 的取值范围. 资料收集整理【淘宝店铺:向阳百分百】 8 / 12 学学科科网网((北北京京))股股份份有有限限公公司司【解析】(1)由q真: ,得 或 , 所以q假: ; (2)p真: 推出 , 由 和 有且只有一个为真命题, 真 假,或 假 真, 或 , 或 或 . 19.(12分) (2023·高一单元测试)已知集合 . (1)若集合 ,且 ,求 的值; (2)若集合 ,且 与 有包含关系,求 的取值范围. 【解析】(1)因为 ,且 , 所以 或 , 解得 或 , 故 . (2)因为A与C有包含关系, , 至多只有两个元素, 所以 . 当 时, ,满足题意; 当 时, 当 时, ,解得 ,满足题意; 当 时, 且 ,此时无解; 当 时, 且 ,此时无解; 当 时, 且 ,此时无解; 资料收集整理【淘宝店铺:向阳百分百】 9 / 12 学学科科网网((北北京京))股股份份有有限限公公司司综上,a的取值范围为 . 20.(12分) (2023·上海·高三专题练习)某研究所开发了一种抗病毒新药,用小白鼠进行抗病毒实验. 已知小白鼠服用1粒药后,每毫升血液含药量 (微克)随着时间 (小时)变化的函数 关系式近似为 .当每毫升血液含药量不低于4微克时,该药能起到有 效抗病毒的效果. (1)若小白鼠服用1粒药,多长时间后该药能起到有效抗病毒的效果? (2)某次实验:先给小白鼠服用1粒药,6小时后再服用1粒,请问这次实验该药能够有效 抗病毒的时间为多少小时? 【解析】(1)设服用1粒药,经过 小时能有效抗病毒, 即血液含药量须不低于4微克,可得 , 解得 , 所以 小时后该药能起到有效抗病毒的效果. (2)设经过 小时能有效抗病毒,即血液含药量须不低于4微克; 若 ,药物浓度 , 解得 , 若 ,药物浓度 , 化简得 ,所以 ; 若 ,药物浓度 , 解得 ,所以 ; 综上 , 所以这次实验该药能够有效抗病毒的时间为 小时. 21.(12分) (2023·江西吉安·统考一模)已 均为正数,且 ,证明: 资料收集整理【淘宝店铺:向阳百分百】 10 / 12 学学科科网网((北北京京))股股份份有有限限公公司司(1) ; (2) . 【解析】(1)证明:由柯西不等式可得 , 当且仅当 时取等号. 即 ,则原式成立; (2)证明: . 当且仅当 时取等号. 22.(12分) (2023·全国·高三专题练习)已知函数 ,当 时,设 的最大值为 ,求 的最小值. 【解析】令 ,分别取 ,1,2,可得 , , . 由 ,利用绝对值三角不等式可得 ,因此 当 , 时, ,当且仅当 时取等号,而 , 得 在 上的最大值为 ,说明等号能成立. 故 的最小值为 . 资料收集整理【淘宝店铺:向阳百分百】 11 / 12 学学科科网网((北北京京))股股份份有有限限公公司司资料收集整理【淘宝店铺:向阳百分百】 12 / 12 学学科科网网((北北京京))股股份份有有限限公公司司