当前位置:首页>文档>2025考研数学(一)真题试卷及解析详细版_27考研真题_考研数学一、二、三历年真题+考研数学资料(1994-2026)_考研数学真题(1987-2026)_考研数学真题(1987-2026)_数学一

2025考研数学(一)真题试卷及解析详细版_27考研真题_考研数学一、二、三历年真题+考研数学资料(1994-2026)_考研数学真题(1987-2026)_考研数学真题(1987-2026)_数学一

  • 2026-04-16 23:05:20 2026-04-16 14:44:22

文档预览

2025考研数学(一)真题试卷及解析详细版_27考研真题_考研数学一、二、三历年真题+考研数学资料(1994-2026)_考研数学真题(1987-2026)_考研数学真题(1987-2026)_数学一
2025考研数学(一)真题试卷及解析详细版_27考研真题_考研数学一、二、三历年真题+考研数学资料(1994-2026)_考研数学真题(1987-2026)_考研数学真题(1987-2026)_数学一
2025考研数学(一)真题试卷及解析详细版_27考研真题_考研数学一、二、三历年真题+考研数学资料(1994-2026)_考研数学真题(1987-2026)_考研数学真题(1987-2026)_数学一
2025考研数学(一)真题试卷及解析详细版_27考研真题_考研数学一、二、三历年真题+考研数学资料(1994-2026)_考研数学真题(1987-2026)_考研数学真题(1987-2026)_数学一
2025考研数学(一)真题试卷及解析详细版_27考研真题_考研数学一、二、三历年真题+考研数学资料(1994-2026)_考研数学真题(1987-2026)_考研数学真题(1987-2026)_数学一
2025考研数学(一)真题试卷及解析详细版_27考研真题_考研数学一、二、三历年真题+考研数学资料(1994-2026)_考研数学真题(1987-2026)_考研数学真题(1987-2026)_数学一
2025考研数学(一)真题试卷及解析详细版_27考研真题_考研数学一、二、三历年真题+考研数学资料(1994-2026)_考研数学真题(1987-2026)_考研数学真题(1987-2026)_数学一
2025考研数学(一)真题试卷及解析详细版_27考研真题_考研数学一、二、三历年真题+考研数学资料(1994-2026)_考研数学真题(1987-2026)_考研数学真题(1987-2026)_数学一
2025考研数学(一)真题试卷及解析详细版_27考研真题_考研数学一、二、三历年真题+考研数学资料(1994-2026)_考研数学真题(1987-2026)_考研数学真题(1987-2026)_数学一
2025考研数学(一)真题试卷及解析详细版_27考研真题_考研数学一、二、三历年真题+考研数学资料(1994-2026)_考研数学真题(1987-2026)_考研数学真题(1987-2026)_数学一
2025考研数学(一)真题试卷及解析详细版_27考研真题_考研数学一、二、三历年真题+考研数学资料(1994-2026)_考研数学真题(1987-2026)_考研数学真题(1987-2026)_数学一
2025考研数学(一)真题试卷及解析详细版_27考研真题_考研数学一、二、三历年真题+考研数学资料(1994-2026)_考研数学真题(1987-2026)_考研数学真题(1987-2026)_数学一
2025考研数学(一)真题试卷及解析详细版_27考研真题_考研数学一、二、三历年真题+考研数学资料(1994-2026)_考研数学真题(1987-2026)_考研数学真题(1987-2026)_数学一
2025考研数学(一)真题试卷及解析详细版_27考研真题_考研数学一、二、三历年真题+考研数学资料(1994-2026)_考研数学真题(1987-2026)_考研数学真题(1987-2026)_数学一
2025考研数学(一)真题试卷及解析详细版_27考研真题_考研数学一、二、三历年真题+考研数学资料(1994-2026)_考研数学真题(1987-2026)_考研数学真题(1987-2026)_数学一
2025考研数学(一)真题试卷及解析详细版_27考研真题_考研数学一、二、三历年真题+考研数学资料(1994-2026)_考研数学真题(1987-2026)_考研数学真题(1987-2026)_数学一
2025考研数学(一)真题试卷及解析详细版_27考研真题_考研数学一、二、三历年真题+考研数学资料(1994-2026)_考研数学真题(1987-2026)_考研数学真题(1987-2026)_数学一
2025考研数学(一)真题试卷及解析详细版_27考研真题_考研数学一、二、三历年真题+考研数学资料(1994-2026)_考研数学真题(1987-2026)_考研数学真题(1987-2026)_数学一
2025考研数学(一)真题试卷及解析详细版_27考研真题_考研数学一、二、三历年真题+考研数学资料(1994-2026)_考研数学真题(1987-2026)_考研数学真题(1987-2026)_数学一
2025考研数学(一)真题试卷及解析详细版_27考研真题_考研数学一、二、三历年真题+考研数学资料(1994-2026)_考研数学真题(1987-2026)_考研数学真题(1987-2026)_数学一
2025考研数学(一)真题试卷及解析详细版_27考研真题_考研数学一、二、三历年真题+考研数学资料(1994-2026)_考研数学真题(1987-2026)_考研数学真题(1987-2026)_数学一

文档信息

文档格式
pdf
文档大小
1.472 MB
文档页数
17 页
上传时间
2026-04-16 14:44:22

文档内容

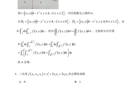
2025 考研数学(一) 真题 试卷及解析 一、选择题:1~10小题,每小题5分,共50分.下列每题给出的四个选项中,只有一个选 项是符合题目要求的. 1.已知函数 f  x   x et2 sintdt ,g  x   x et2 dtsin2x,则 0 0 A.x0是 f  x 的极值点,也是g  x 的极值点. B.x0是 f  x 的极值点, 0,0 是曲线y  g  x 的拐点. C.x0是 f  x 的极值点, 0,0 是曲线y  f  x 的拐点. D. 0,0 是曲线 y  f  x 的拐点, 0,0 也是曲线 y  g  x 的拐点. 【答案】B 【解析】 f(x)ex2 sinx, f(x)2xex2 sinxex2 cosx f(0)0, f(0)10. x0 是 f(x) 的极值点. g(x)ex2 sin2xsin2x x et2 dt , 0 g(x)ex2 sin2x2xex2 sin2xsin2xex2 2cos2x x et2 dt 0 g(0)0, g(0)0, g(0)0 . (0,0) 是 y  g(x) 的拐点. 数学试题及解析 第1页(共3页) 更多资料关注微信公众号:考研文库 n3π   1 1  2.已知级数:①sin ;②(1)n  tan ,则 n1 n2 1 n1  3 n2 3 n2  A.①与②均条件收敛. B.①条件收敛,②绝对收敛. C.①绝对收敛,②条件收敛. D.①与②均绝对收敛. 【答案】B 【解析】 n3  n3  n n 1 sin  sin n  sin   . n2 1 n2 1  n2 1 n2 1 n  1  发散 不是绝对收敛. n n1  n3   n3  n sin (1)nsin n(1)nsin ,为交错级数. n2 1 n2 1  n2 1 n sin 递减,条件收敛. n2 1   1 1  (1)n tan . n1  3 n2 3 n2   1 1  1 1  1  1 n  tan    o .  3 n2 3 n2  3n2 n2   1   1 1   收敛 (1)n tan  绝对收敛 n1 n2 n1  3 n2 3 n2  数学试题 第2页(共3页) 更多资料关注微信公众号:考研文库3.设函数 f(x)在区间 0,上可导,则 A.当 lim f  x  存在时, lim f x  存在. x x B.当 lim f x  存在时, lim f  x  存在. x x  x f  t  dt   C.当 lim 0 存在时, lim f x 存在. x x x    x f  t  dt D.当 lim f x 存在时, lim 0 存在. x x x 【答案】D 【解析】A错误,反例: sinx2 2x2cosx2 sinx2 f(x) , lim f(x)0, 但 lim f(x) lim ,极限不存在. x x x x x2 1 B错误,反例: f(x) x, f (x) , lim f(x)0,极限存在,但 lim f(x) 极限 2 x x x 不存在. C错误,反例: x  f(t)dt sinx f(x)cosx,则 lim 0  lim 存在,但 lim f(x)  lim cosx不存在. x x x x x x x  f(t)dt f(x) D正确,用 lim 0  lim A,故选D. x x x 1 4.设函数 f(x,y)连续,则 2 dx 4 f  x,y  dy  2 4x2 A. 4    4y f  x,y  dx 2 f  x,y  dx   dy . 0  2 4y  B. 4    4y f  x,y  dx 2 f  x,y  dx   dy . 0  2 4y  C. 4     4y f  x,y  dx 4y f  x,y  dx   dy . 0  2 2  数学试题 第3页(共3页) 更多资料关注微信公众号:考研文库D.2 4 dy 2 f  x,y  dx. 0 4y 【答案】A 【解析】由题易知,此二重积分积分区域为   D (x,y) 4x2 y4,2 x2 ,对应图像为上图所示。     记D  (x,y) 4x2 y4,2 x0 ,D  (x,y) 4x2 y4,0 x2 ,且 1 2 I= 2 dx 4 f  x,y  dy ,则I= f  x,y  d f  x,y  d,交换积分次序得 2 4x2 D D 1 2 I= 4 dy  4y f  x,y  dx  4 dy 2 f  x,y  dx 0 2 0 4y   4   4y f  x,y  dx 2 f  x,y  dx  dy   0  2 4y  故A正确。 5.二次型 f  x ,x ,x x2 2x x 2x x 的正惯性指数 1 2 3 1 1 2 1 3 A.0. B.1. C.2. D.3. 【答案】B 【解析】 数学试题 第4页(共3页) 更多资料关注微信公众号:考研文库1 1 1   A= 1 0 0     1 0 0 1 1 1 1 1 1 1 1 1       EA  1  0  0    0 1 1              1 0    1 0    1 0   (1)11  (22) (2)(1) 解得  0, 2, 1 1 2 3 故正惯性指数为1,选B. 6.设,,, 是n维列向量,, 线性无关,,, 线性相关,且    0. 1 2 3 4 1 2 1 2 3 1 2 4 在空间直角坐标系Oxyz中,关于x,y,z的方程组x  y z  的几何图形是 1 2 3 4 A.过原点的一个平面. B.过原点的一条直线. C.不过原点的一个平面. D.不过原点的一条直线. 【答案】D 【解析】记A,, ,由, 线性无关,,,线性相关,可得r  A 2。记 1 2 3 1 2 1 2 3 A  A   ,,, ,再由    0,则r  A  2。于是Ax  有无穷 4 1 2 3 4 1 2 4 4 多解。则x  y z  等价于,,  x, y,z T  ,即A x,y,z T  。 1 2 3 4 1 2 3 4 4 若过原点,则 0与, 线性无关矛盾,故不过原点。 4 1 2 a xa ya z a 11 12 13 14  x  y z     a 21 xa 22 ya 23 z a 24 ,由上述分析可知r  A r  A   2,故 1 2 3 4    a xa ya z a n1 n2 n3 n4 两平面交于一条直线,且不过原点。故选D。 数学试题 第5页(共3页) 更多资料关注微信公众号:考研文库7.设n阶矩阵A,B,C 满足r  A r  B r  C r  ABC  2n ,给出下列四个结论: ①r  ABC n r  AB r  C  ; ②r  AB n r  A r  B  ; ③r  A r  B r  C n; ④r  AB r  BC n. 其中正确结论的序号是 A.①②. B.①③. C.②④. D.③④. 【答案】A 1 0 0 0 【解析】A  ,B   ,C  E ,满足r(A)r(B)r(C)r(ABC)2n ,则 0 0 0 1 r(A)1,r(B)1,r(C)2 ,排除结论③④,故选A. 8.设二维随机变量 X,Y 服从正态分布N  0,0;1,1;,其中1,1  .若a,b为满足 a2 b2 1的任意实数,则D  aX bY 的最大值为 A.1. B.2. C.1 . D.12. 【答案】C 【解析】 D(aX bY)a2DX b2DY 2ab11 a2b22ab12ab12a 1a2 f(a)  a   a2  f(a)2 1a2 2a  2 1a2  0  1a2   1a2  数学试题 第6页(共3页) 更多资料关注微信公众号:考研文库1a2a2 1 1 1 1 即2 0,2a2 1a2  ,b2  ,于是a  ,b 。所以最大 1a2 2 2 2 2 值为 1||,故选C。 20 9.设X ,X ,,X 是来自总体B  1,0.1 的简单随机样本.令T X ,利用泊松分布近 1 2 20 i i1 似表示二项分布的方法可得P  T 1  1 2 A. . B. . e2 e2 3 4 C. . D. . e2 e2 【答案】C 【解析】由题意可知T ~ B(20,0.1).np 200.12 20 21 3 P{T1}P{T 0}P{T 1} e2 e2e22e2 0! 1! e2 1 n 10.设X ,X ,,X 为来自正态总体N ,2 的简单随机样本.记X  X ,Z 表示标 1 2 n n i  i1 准正态分布的上侧分位数.假设检验问题:H :≤1,H:1的显著性水平为的检 0 1 验的拒绝域为  2  A.  X,X ,,X  X 1 Z .  1 2 n n      2  B.  X,X ,,X  X 1 Z .  1 2 n n    2  C.  X,X ,,X  X 1 Z . 1 2 n   n     2  D.  X,X ,,X  X 1 Z .  1 2 n n   数学试题 第7页(共3页) 更多资料关注微信公众号:考研文库【答案】D X  2 【解析】  z  X  z 1,故选D   / n n 二、填空题:11~16小题,每小题5分,共30分. xx 1 11.lim ______. x0 lnxln(1x) 【答案】1 【解析】 exlnx 1 xlnx lim  lim 1 x0 xlnx x0 xlnx  1 0, 0 x , 12.已知函数 f(x)    2 的傅里叶级数为  b sinnπx, S(x)为  b sinnπx 1 n n  x2,  x 1 n1 n1  2  7 的和函数,则S   ______.  2 1 【答案】 8 【解析】  7  7   1 1 s   s  4 s    2  2  2 8 . u 13.已知函数u(x,y,z) xy2z3,向量n(2,2,1),则 ______. n (1,1,1) 【答案】 1 数学试题 第8页(共3页) 更多资料关注微信公众号:考研文库u u u 【解析】由题易知,  y2z3,  2xyz3, 3xy2z2 x y z u u u 则在x1,y 1,z 1处有 , ,  (1,2,3) x y z    2 2 1 对于向量n (2,2,1),归一化可得n   , ,  0 3 3 3 u u u u   2 2 1 2 2  1 故    , ,  n (1,2,3)  , ,  1 2 3    1 n x y z  0 3 3 3 3 3  3 (1,1,1) 14.已知有向曲线 L 是沿抛物线 y 1x2 从点(1,0) 到点(1,0) 的一段,则曲线积分  (ycosx)dx(2xcosy)dy  ______. L 4 【答案】 2sin1 3 【解析】由题易知可作曲线如右图所示. 记L 是从x1到x1的直线, 0 并记曲线积I   (ycosx)dx(2xcosy)dy L 则在L 与L所围的封闭区域可用格林公式 0 即I   (ycosx)dx(2xcosy)dy 1 L L 0 1 1x2 1 4  21d  dx dy (1x2)dx 1 0 1 3 D 1 4 又I  (ycosx)dx(2xcosy)dy   cosxdx 2sin1,故I  2sin1 2 1 3 L 0 4 2 3   15.设矩阵A a 3 4 ,若方程组A2x 0与Ax 0不同解,则ab______.     b 5 7 【答案】4 数学试题 第9页(共3页) 更多资料关注微信公众号:考研文库4 2 3   【解析】由题知,A a 3 4 ,若A2x 0与Ax 0同解,则三秩相同,即     b 5 7  A  r  A r  A2  r 。如果A可逆,三秩显然相同,则A2x 0与Ax 0同解,于 A2  是要想A2x 0与Ax 0不同解,即A不可逆,于是 A 0。根据行列式的倍加性质易得 4 2 3 4 2 1 4 0 1       A  a 3 4  a 3 1  a 1 1  4 21   ab  ,令 A 0,             b 5 7 b 5 2 b 1 2 有ab4。 5 16.设 A,B为两个随机事件,且A与B相互独立,已知P(A)2P(B),P(AB) ,则在 8 事件A,B至少有一个发生的条件下,A,B中恰有一个发生的概率为______. 4 【答案】 5 【解析】P(AB)P(AB)P(A)P(AB)P(B)P(AB)  P(A)P(B)2P(A)P(B) 5 5 P(AB)P(A)P(B)P(AB) ,3P(B)2P2(B) 8 8 24P(B)16P2(B) 5,16P2(B)24P(B)50 (4P(B)1)(4P(B)5)0 1 1 P(B) ,P(A) 4 2 P(AB)P(AB)P(A)P(AB)P(B)P(AB)P(A)P(B)2P(A)P(B) 1 1 1 1 1   2   2 4 4 2 2 1 1 8 4 2 P     5 2 5 5 8 数学试题 第10页(共3页) 更多资料关注微信公众号:考研文库三、解答题:17~22小题,共70分.解答应写出文字说明、证明过程或演算步骤. 17.(本题满分10分) 1 1 计算 dx. 0 x1  x2 2x2  17.解: 1 1 1 A BxC   dx    dx 0 (x1)  x22x2  0 x1 x22x2  1 1 3   x   1 5 3 5     dx 0 x1 x22x2    1 1 1 1 1 2 3 1  ln|1x|  ln x22x2  arctan(x1)  ln2 π. 5 10 5 0 10 1 0 0 0 18.(本题满分10分)  x 已知函数 f  u  在区间  0,  内具有2阶导数,记g  x,y   f    ,若g  x,y  满足  y 2g 2g 2g g 2 x2 xy  y2 1,且g(x,y)1,  ,求 f(u). x2 xy y2 x x,x x 解: x g 1 g  x  令u  ,则  f  u  ,  f  u     y x y y  y2   x g 1 2 又g  x,x  f   x    f  1 1, x (x,x)  f 1  x  x ,故f 1 2 数学试题 第11页(共3页) 更多资料关注微信公众号:考研文库2g  1 1 1   f u    f u  ......(1) x2  y y y2 2g  x  1  1  x 1  f u      f u      f u  f u  ..(2) xy  y2  y  y2  y3 y2 2g  x  x  2x x2 2x  f u      f u     f u  f u  ...(3) y2  y2  y  y2  y4 y3 2g 2g 2g 将(1)(2)(3)代入x2 xy  y2 1化简得: x2 xy y2 u2f u uf u 1,即 f u  1 f u  1 。 u2 u2 1 1 令p f u 则p p u u2 1 du  1 1 du  1  1  ln u C p e u   e u duC   duC     u2  u  u  u u 又 p C  2,故 lnu 2 u1 p   u u f lnu 2 lnu 2 1 因此,   ,积分得 f  u     du  ln2u2lnuC , u u u  u u 2 1 又 f  1 C 1,故 f  u  ln2u2lnu1。 2 19.(本题满分10分) 设函数 f  x 在区间 a,b 内可导.证明导函数 f x 在 a,b 内严格单调增加的充分必要条 f  x  f  x  f  x  f  x  件是:对 a,b 内任意的x ,x ,x ,当x  x  x 时 2 1  3 2 . 1 2 3 1 2 3 x x x x 2 1 3 2 解: 充分性:若对(a,b)内任意的x ,x ,x ,当x  x  x 时,都有 1 2 3 1 2 3 f  x  f  x  f  x  f  x  2 1  3 2 x x x x 2 1 3 2 数学试题 第12页(共3页) 更多资料关注微信公众号:考研文库(a,b)内取任意的x  x  x  x  x ,有 则在 1 2 3 4 5 f  x  f  x  f  x  f  x  f  x  f  x  f  x  f  x  2 1  3 2  4 3  5 4 x x x x x x x x 2 1 3 2 4 3 5 4 f  x  f  x  f  x  f  x  x  x,得 在 2 1  3 2 两边同时令 2 1 x x x x 2 1 3 2 f  x  f  x  x  x ,得 f  x  f  x  f  x  3 1 ,两边同时令 2 3 3 1  f  x  ,即  1 x x x x  3 3 1 3 1 f  x  f  x  f  x  f  x  f  x  3 1  f   x  ,同理可得 f  x  3 1  f   x  .因为  1 x x  3  3 x x  5 3 1 3 1 f  x  f  x  f  x  f  x  f  x  f  x  .由x ,x 的任意性,可得 f x 在 3 1  5 3 ,所以  1  5 1 5 x x x x 3 1 5 3   a,b 内严格单调递增,充分性得证。 f x  单调递增,在  x ,x  ,  x ,x  上分别使用拉格朗日中值定理, 再证必要性,即已知 1 2 2 3 知存在 x ,x  ,  x ,x  ,使 1 1 2 2 2 3 f  x  f  x  f  x  f  x  f 2 1 , f 3 2 , 1 x x 2 x x 2 1 3 2 f x  单调递增,且  知, f f ,即 又由 1 2 1 2 ,必要性得证。 f  x  f  x  f  x  f  x  2 1  3 2 x x x x 2 1 3 2 综上所述,充要条件得证。 数学试题 第13页(共3页) 更多资料关注微信公众号:考研文库20.(本题满分10分) xt, x0,    设Σ 是由直线 绕直线y t, t为参数 旋转一周得到的曲面,Σ 是Σ 介于平面 y 0  1 z t x yz 0与平面x yz 1之间部分的外侧,计算曲面侧积分 I  xdydz(y1)dzdx(z2)dxdy. Σ 1 xt x0  解:由题意可知直线  , 记为 l ;y t , 记为 l ,则直线l 绕直线l 旋转所得曲 y 0 1  2 1 2 z t 面  为 (xt)2(yt)2(zt)2 3t2 。已知  是  介于平面 x yz 0 和平面 1 x yz 1之间的外侧,则补面 :x yz 1,方向指向外侧。则 与 所围为封闭 0 0 1 区域,则由高斯公式可知 I   xdydz(y1)dzdx(z2)dxdy 1   0 1 2 1  2   2  2  (111)dv3dv3 π    π (注:为圆锥体) 。     3 2 2 4       记D 为 在xoy面上的投影,D  (x,y∣)0x y1,x0,y 0  xy 0 xy 又I  xdydz(y1)dzdx(z2)dxdy 2  0  xdxdy(y1)dxdy(3x y)dxdy D xy 1  2dxdy2 111 2 D xy 数学试题 第14页(共3页) 更多资料关注微信公众号:考研文库2 故I  I I  π1. 1 2 4 21.(本题满分10分)  0 1 2   设矩阵A1 0 2,已知1是A的特征多项式的重根.    1 1 a (1)求a的值; (2)求所有满足A,A22的非零列向量,. 解:(1) f()| AE |(1)[(a)(1)4] 可得(1a)(11)40, a3  0 1 2   (2)由(1)可知A 1 0 2 ,|AE |0,得 A中   1,   1 2 3    1 1 3 Aα α β.A2α=α+2β (A-E)α β,  A2 -E  α= 2β = 2(A-E)α  AE 2 α0,其中(AE)2=0 ,故 α为任意的非零向量, α  a ,a ,a T ,aa a 0 1 2 3 1 2 3 1 1 2a  2a a a  1 3 1 2       β (AE)α 1 1 2 a  2a  a  a   2  3 1 2       1 1 2a  2a a a  3 3 1 2 其中a a  2a 1 2 3 a  2a a a  1 3 1 2     则综上α  a ,β  2a a a ,  aa a  0,a a  2a   2  3 1 2 1 2 3 1 2 3     a  2a a a  3 3 1 2 22.(本题满分12分) 数学试题 第15页(共3页) 更多资料关注微信公众号:考研文库投保人的损失事件发生时,保险公司的赔付额Y 与投保人的损失额 X 的关系为 0,X 100, Y  设定损事件发生时,投保人的损失额 X 的概率密度为 x100,X 100.  21002  ,x0, f(x)(100x)3  0,x0. (1)求P{Y 0}及EY . (2)这种损失事件在一年内发生的次数记为N ,保险公司在一年内就这种损失事件产生的   理赔次数记为M ,假设N 服从参数为8的泊松分布,在N n n1 的条件下,M 服从二 项分布B(n,p),其中 p  P{Y 0},求M 的概率分布. 解: (1) P{Y >0}= P{X -100>0}= P{X >100}=ò+¥ 2´1002 dx = 1 100 (100+x)3 4 EY =ò+¥ (x-100) 2´1002 dx =50 100 (100+x)3 (2)  1 N ~ P(8) {M∣N n}~ Bn,   4  P{M m} P{N n}P{M m∣N n) nm  8n 1 m 3 nm   e8Cm      n! n 4 4 nm  8n n! 1  m 3 nm   e8      n! m!(nm)!4 4 nm 1 m 8m  8nm 3 nm    e8     4 m! (nm)! 4 nm 1 m 8m  6nm 2m    e8   e2 4 m! (nm)! m! nm 数学试题 第16页(共3页) 更多资料关注微信公众号:考研文库数学试题 第17页(共3页) 更多资料关注微信公众号:考研文库