当前位置:首页>文档>2025考研数学(三)真题及答案解析详细版_27考研真题_考研数学一、二、三历年真题+考研数学资料(1994-2026)_考研数学真题(1987-2026)_考研数学真题(1987-2026)_数学三

2025考研数学(三)真题及答案解析详细版_27考研真题_考研数学一、二、三历年真题+考研数学资料(1994-2026)_考研数学真题(1987-2026)_考研数学真题(1987-2026)_数学三

  • 2026-04-16 23:04:55 2026-04-16 14:44:35

文档预览

2025考研数学(三)真题及答案解析详细版_27考研真题_考研数学一、二、三历年真题+考研数学资料(1994-2026)_考研数学真题(1987-2026)_考研数学真题(1987-2026)_数学三
2025考研数学(三)真题及答案解析详细版_27考研真题_考研数学一、二、三历年真题+考研数学资料(1994-2026)_考研数学真题(1987-2026)_考研数学真题(1987-2026)_数学三
2025考研数学(三)真题及答案解析详细版_27考研真题_考研数学一、二、三历年真题+考研数学资料(1994-2026)_考研数学真题(1987-2026)_考研数学真题(1987-2026)_数学三
2025考研数学(三)真题及答案解析详细版_27考研真题_考研数学一、二、三历年真题+考研数学资料(1994-2026)_考研数学真题(1987-2026)_考研数学真题(1987-2026)_数学三
2025考研数学(三)真题及答案解析详细版_27考研真题_考研数学一、二、三历年真题+考研数学资料(1994-2026)_考研数学真题(1987-2026)_考研数学真题(1987-2026)_数学三
2025考研数学(三)真题及答案解析详细版_27考研真题_考研数学一、二、三历年真题+考研数学资料(1994-2026)_考研数学真题(1987-2026)_考研数学真题(1987-2026)_数学三
2025考研数学(三)真题及答案解析详细版_27考研真题_考研数学一、二、三历年真题+考研数学资料(1994-2026)_考研数学真题(1987-2026)_考研数学真题(1987-2026)_数学三
2025考研数学(三)真题及答案解析详细版_27考研真题_考研数学一、二、三历年真题+考研数学资料(1994-2026)_考研数学真题(1987-2026)_考研数学真题(1987-2026)_数学三
2025考研数学(三)真题及答案解析详细版_27考研真题_考研数学一、二、三历年真题+考研数学资料(1994-2026)_考研数学真题(1987-2026)_考研数学真题(1987-2026)_数学三
2025考研数学(三)真题及答案解析详细版_27考研真题_考研数学一、二、三历年真题+考研数学资料(1994-2026)_考研数学真题(1987-2026)_考研数学真题(1987-2026)_数学三
2025考研数学(三)真题及答案解析详细版_27考研真题_考研数学一、二、三历年真题+考研数学资料(1994-2026)_考研数学真题(1987-2026)_考研数学真题(1987-2026)_数学三
2025考研数学(三)真题及答案解析详细版_27考研真题_考研数学一、二、三历年真题+考研数学资料(1994-2026)_考研数学真题(1987-2026)_考研数学真题(1987-2026)_数学三
2025考研数学(三)真题及答案解析详细版_27考研真题_考研数学一、二、三历年真题+考研数学资料(1994-2026)_考研数学真题(1987-2026)_考研数学真题(1987-2026)_数学三
2025考研数学(三)真题及答案解析详细版_27考研真题_考研数学一、二、三历年真题+考研数学资料(1994-2026)_考研数学真题(1987-2026)_考研数学真题(1987-2026)_数学三
2025考研数学(三)真题及答案解析详细版_27考研真题_考研数学一、二、三历年真题+考研数学资料(1994-2026)_考研数学真题(1987-2026)_考研数学真题(1987-2026)_数学三

文档信息

文档格式
pdf
文档大小
0.850 MB
文档页数
11 页
上传时间
2026-04-16 14:44:35

文档内容

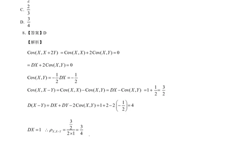
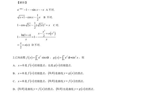
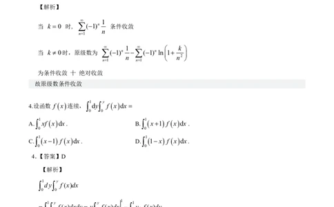
2025考研数学(三) 真题 一、选择题:1~10小题,每小题5分,共50分.下列每题给出的四个选项中,只有一个选项是符合题目 要求的. 1.在x 0 时,下列无穷小量中与x等价的是 ln  1x  A.e-sinx 1. B. x1cosx . C.1cos 2x . D.1 . x 1.【答案】C 【解析】 esinx 1~ sin x~ x A不对. 1 x1cosx ~ x B 不对. 2 1 1cos 2x ~ ( 2)2  x C对. 2 x x2 o  x2 ln(1x) 2 1 1 x x x  o(x) D不对. 2 2.已知函数 f  x   x et2 sintdt ,g  x   x et2 dtsin2x,则 0 0 A.x0是 f  x 的极值点,也是g  x 的极值点. B.x0是 f  x 的极值点, 0,0 是曲线y  g  x 的拐点. C.x0是 f  x 的极值点, 0,0 是曲线y  f  x 的拐点. D. 0,0 是曲线 y  f  x 的拐点, 0,0 也是曲线 y  g  x 的拐点. 【答案】B 【解析】 f(x)ex2 sinx, f(x)2xex2 sinxex2 cosx f(0)0, f(0)10. x0 是 f(x) 的极值点. g(x)ex2 sin2xsin2x x et2 dt , 0 数学试题及解析 第1页(共3页) 更多资料关注微信公众号:考研文库g(x)ex2 sin2x2xex2 sin2xsin2xex2 2cos2x x et2 dt 0 g(0)0, g(0)0, g(0)0 . (0,0) 是 y  g(x) 的拐点.  n 1  k  3.已知k为常数,则级数1   ln1  n  n2  n1 A.绝对收敛. B.条件收敛. C.发散. D.敛散性与k的取值有关. 3.【答案】B 【解析】  1 当 k 0 时, (1)n 条件收敛 n n1  1   k  当 k 0时,原级数为 (1)n (1)nln1  n  n2  n1 n1 为条件收敛 十 绝对收敛 故原级数条件收敛 4.设函数 f  x 连续, 1 dy y f  x  dx  0 0 A. 1 xf  x  dx. B. 1 x1  f  x  dx . 0 0 C. 1 x1  f  x  dx. D. 1 1x  f  x  dx. 0 0 4.【答案】D 【解析】 1 y  dy f (x)dx 0 0 1 1 y y 1    f(x)dxdy y f(x)dx  y f(x)dy 0 0 0 0 0 1 1   f(x)dx yf(y)dy 0 0 1 1 1   f(x)dx xf(x)dx   (1x)f (x)dx 0 0 0 5.A是mn矩阵,是m维非零列向量,若A有k阶非零子式,则 A. 当k m时,Ax 有解. B. 当k m时,Ax 无解. C. 当k m时,Ax 有解. D. 当k m时,Ax 无解. 数学试题 第2页(共3页) 更多资料关注微信公众号:考研文库5.【答案】A 【解析】 r(A)k 若k m. 则r(A)m r(A,B)m 故r(A)r(A,)m,则Ax 有解 6. 设A为3阶矩阵,则“A3 A2”可对角化是“A可对角化”的( ) A. 充分但不必要条件 B. 必要但不充分条件 C. 充分必要条件 D. 既不充分也不必要条件 6.【答案】B 【解析】 令 f(A) A3 A2, 若A可对角化,则A中有n个线性无关的特征向量,故 f(A)有n个线性无关的特征向量,故 f(A)可 0 0 1   对角化;若 f(A)可对角化,取A 0 0 0 , f(A) 可对角化,A不可对角化.综上为必要不充分条件,     0 0 0 选B。  1 2  1 0 7. 设矩阵A  ,B  ,若 f  x,y  xA yB 是正定二次型,则a的取值范围是( ) 2 a 1 a   A. 0,2 3   B. 2 3,2 3   C. 2 3,4   D. 0,4 7.【答案】B 【解析】 4a 1x f(x,y)a  x2y2   2xy4x2 (4a)x2ay22xy (x,y)     1 a y 数学试题 第3页(共3页) 更多资料关注微信公众号:考研文库4a0   a4 4a 1  ,得a(2 3,2 3).选B  0 2 3  a2 3  1 a 8. 设随机变量X 服从正态分布N 1,1 ,Y 服从正态分布N  1,2 ,若X 与X 2Y 不相关,则X 与X Y 的相关系数为( ) 1 A. 3 1 B. 2 2 C. 3 3 D. 4 8.【答案】D 【解析】 Cov(X,X 2Y) Cov(X,X)2Cov(X,Y) 0  DX 2Cov(X,Y)0 1 1 Cov(X,Y)  DX  2 2 1 3 Cov(X,X Y) Cov(X,X)Cov(X,Y) DX Cov(X,Y) 1  2 2  1 D(X Y)DX DY 2Cov(X,Y)122   4  2 3 3 2 DX 1    X,XY 21 4 . 20 9. 设X ,X ,,X 是来自总体B  1,0.1 的简单随机样本.令T X ,利用泊松分布近似表示二项分布 1 2 20 i i1 的方法可得P  T 1  1 2 A. . B. . e2 e2 3 4 C. . D. . e2 e2 9.【答案】C 数学试题 第4页(共3页) 更多资料关注微信公众号:考研文库【解析】 由题意。可知 T ~ B(20.0.1),np 200.12 p{T1} p{T 0}{T 1} 20 21 3  e2 e2 e2 2e2  0! 1! e2 10. 设总体 X 的分布函数为F  x ,x ,x ,,x 为来自总体 X 的简单随机样本,样本的经验分布函数为 1 2 n F  x ,对于给定的X  0 F  x 1  ,D  F  x  ( ) n n A. F  x  1F  x    2 B. F x 1 C. F  x  1F  x  n 1   2 D. F x n 10.【答案】C 【解析】 F (x)为样本中  xx  发的概率。 A i 1 x  x I (x) i . Z (x)~ B[1.F(x)] i 0 x  x i i 1 n 1 n  1 1 F (x) I (x) D  F (x) D  Z (x)  nDZ (x) F(x)[1F(x)] n n i n n i  n2 i n i1 i1 二、填空题:11~16小题,每小题5分,共30分. 1 3x 11.设g  x 是函数 f  x  ln 的反函数,则曲线 y  g  x 的渐近线方程为______. 2 3x 【答案】 y 3 【解析】 1 3+x 3+x y= ln Þ2y=ln 2 3- x 3- x 令 3+x 6 Þe2y = = -1 3- x 3- x 6 Þx =3- e2y +1 数学试题 第5页(共3页) 更多资料关注微信公众号:考研文库6 (g x) =3- ,lim(g x) =3.lim g(x) = -3. e2y +1 x x 故 y = g(x)渐进线方程为 y 3  a 12.设 dx ln2,则a ______. 1 x  2xa  【答案】 2 1 2  x 【解析】   dx ln   ln2,解得a 2. 1  x 2xa 2xa 1 13.微分方程xy'  yx2ex  0满足条件 y  1 e的解为y ______. 【答案】 y = -xex 【解析】 y xy - y +x2ex = 0Þ y - = -xex x 1 1 Þ y = e x dx [òe - x dx (-xex)dx+C) = -x(ex +C) 代入 y(1) = -e,得C =0 故解y = -xex 14.已知函数z  z  x,y 由zlnz x xex2 dt 1确定,则 2z ______. y x2 1,1 1 【答案】 e2 8 z  x et2 dtxex2 e1 【解析】 |  y |  , x (1,1,1) 1 (1,1,1) 2 1 z  2ex2 xex2 (2x)  (1 1 ) 1 ( x et2 dtxex2 ) z 2z |    z z2 y x | 2x (1,1,1) 1 (1,1,1) (1 )2 z e1 e1 e2 2   . 4 8 数学试题 第6页(共3页) 更多资料关注微信公众号:考研文库2x1 3 2x1 1 2x1 1 2x1 3 2x 3 4x 2 5x1 2 4x 3 15.已知 f  x  ,g  x  ,则方程 f  x  g  x 的不 2x1 2 2x1 1 0 1 2x1 2 2x 4 4x 2 2x 2 4x 4 同的根的个数为______. 【答案】 2 2x1 2x1 1 1 【解析】 f(x) 2x 4x 2 0,g(x) x(8x2)0 ,可得两个根x  ,x 0. 1 4 2 0 0 0 16.设 A, B ,C 为三个随机事件,且 A与 B 相互独立, B 与C 相互独立, A与C 互不相容,已知 1 1 P  A P  C  ,P  B  ,则在事件A,B,C至少有一个发生的事件下,A,B,C中恰有一个发生的 4 2 概率为______. 1 【答案】 3 【解析】 P(ABC)P(A)P(B)P(C)P(AB)P(BC) 1 1 1 1 1 3  p(A) p(B) p(c) p(A)p(B) p(D)p(c)       4 2 4 8 8 4 P(ABC) p(ABC)P(ABC) P(AB) p(BC) 1  P(A)P(B)P(B)P(C) 4 1 1 4 P   3 3 4 三、解答题:17~22小题,共70分.解答应写出文字说明、证明过程或演算步骤. 1 1 17.(本题满分10分)计算  0 x1  x2 2x2  dx. 17.解: 1 1 1 A BxC   dx    dx 0 (x1)  x22x2  0 x1 x22x2 数学试题 第7页(共3页) 更多资料关注微信公众号:考研文库 1 1 3   x   1 5 3 5     dx 0 x1 x22x2    1 1 1 1 1 2 3 1  ln|1x|  ln x22x2  arctan(x1)  ln2 π. 5 10 5 0 10 1 0 0 0 18.(本题满分12分) xf  x e2sinx 1 设函数 f  x  在x 0处连续,且lim 3. x0 ln  1x ln  1x  证明: f  x  在x 0处可导,并求 f 0  . 18 解: 已知ln(1x)ln(1x) x 1 x2o  x2 x 1 x2o  x2  x2o  x2  2 2 e2sinx 12sinx 1 (2sinx)2 o  x2  12sinx2sin2 xo  x2  2 xf(x)e2sinx 1 xf(x)  12sinx2sin2xo  x2 1 因此,3lim lim x0 x2 x0 x2 xf(x)2sinx 2sin2 x lim lim x0 x2 x0 x2 xf(x)2  x 1 x3o  x3  xf(x)2sinx  6  可以得出lim 5,lim 5 , x0 x2 x0 x2 xf(x)2x f(x)2 进一步可以得出lim 5,以及lim 5, x0 x2 x0 x f(x)2 lim[f(x)2]0,可得lim f(x)2 f(0),故 f(0)lim 5。 x0 x0 x0 x 19.(本题满分12分)已知平面有界区域D {(x,y) y2  x,x2  y},计算二重积分 (x y1)2dxdy . D 解: (x y1)2dxdy  (x y)2 2(x y)1  dxdy D D 数学试题 第8页(共3页) 更多资料关注微信公众号:考研文库由轮换对称性 (x y)dxdy (yx)dxdy 0. D D x 1 x 11 (x y)2dxdy  dx (x y)2dy  (yx)3 dx 0 x2 0 3 D x2  1  1 f  ( xx)3  x2x 3 dx 1  1  1 3 0   3 70 210 2 1 1 1dxdy = 1 dx x dy = 1 x - x2dx = - = 0 x2 0 3 3 3 D 1 1 71 则原积分= + = 210 3 210 20.(本题满分12分) 设函数 f  x  在区间  a,b  内可导.证明导函数 f x  在  a,b  内严格单调增加的充分必要条件是:对  a,b  内 f  x  f  x  f  x  f  x  任意的x ,x ,x ,当x  x  x 时 2 1  3 2 . 1 2 3 1 2 3 x x x x 2 1 3 2 解: 充分性:若对(a,b)内任意的x ,x ,x ,当x  x  x 时,都有 1 2 3 1 2 3 f  x  f  x  f  x  f  x  2 1  3 2 x x x x 2 1 3 2 则在(a,b)内取任意的x  x  x  x  x ,有 1 2 3 4 5 f  x  f  x  f  x  f  x  f  x  f  x  f  x  f  x  2 1  3 2  4 3  5 4 x x x x x x x x 2 1 3 2 4 3 5 4 f  x  f  x  f  x  f  x  在 2 1  3 2 两边同时令x  x,得 x x x x 2 1 2 1 3 2 数学试题 第9页(共3页) 更多资料关注微信公众号:考研文库f  x  f  x  f  x  f  x  f  x  3 1 ,两边同时令x  x ,得 3 1  f  x  ,即  1 x x 2 3 x x  3 3 1 3 1 f  x  f  x  f  x  f  x  f  x  3 1  f   x  ,同理可得 f  x  3 1  f   x  .因为  1 x x  3  3 x x  5 3 1 3 1 f  x  f  x  f  x  f  x  3 1  5 3 ,所以 f  x  f  x  .由x ,x 的任意性,可得 f x  在  a,b  内严格 x x x x  1  5 1 5 3 1 5 3 单调递增,充分性得证。 再证必要性,即已知 f x  单调递增,在  x ,x  ,  x ,x  上分别使用拉格朗日中值定理,知存在 1 2 2 3  x ,x  ,  x ,x  ,使 1 1 2 2 2 3 f  x  f  x  f  x  f  x  f 2 1 , f 3 2 , 1 x x 2 x x 2 1 3 2 又由 f x  单调递增,且  知, f f ,即 1 2 1 2 f  x  f  x  f  x  f  x  2 1  3 2 ,必要性得证。 x x x x 2 1 3 2 综上所述,充要条件得证。  1 1 3 0 1   21.(本题满分12分)设矩阵A= 1 0 2 a 1 的秩为2.     1 1 a 2 3   (1)求a的值; (2)求A的列向量组的一个极大线性无关组,,并求矩阵H ,使得A=GH ,其中G (,). 21. 解:  1 1 3 0 1 1 1 3 0 1     (1)因为r(A)2,A 1 0 2 a 1  0 1 1 a 2 ,故a 1时.          1 1 a 2 3  0 0 a 1 2a 2 0  1 1 3 0 1   (2)由(1)可知,A 0 1 1 1 2 ,令A(,,,,),   1 2 3 4 5   0 0 0 0 0  则, 为A的列向量组的一个极大线性无关组,, 且 2, , 1 2 1 2 3 1 2 4 1 2 1 0 2 1 1   2 ,由AGH ,解得H   . 5 1 2 0 1 1 1 2 数学试题 第10页(共3页) 更多资料关注微信公众号:考研文库22.(本题满分 12 分)投保人的损失事件发生时,保险公司的赔付额Y 与投保人的损失额 X 的关系为  21002 0,X 100,  ,x0, Y  设损失事件发生时,投保人的损失额X 的概率密度为 f(x)(100x)3 x100,X 100.  0,x0. (1)求P{Y 0}及EY . (2)这种损失事件在一年内发生的次数记为N ,保险公司在一年内就这种损失事件产生的理赔次数记为 M ,假设 N 服从参数为8的泊松分布,在 N n  n1  的条件下,M 服从二项分布 B(n,p) ,其中 p  P{Y 0},求M 的概率分布. 解: (1) P{Y >0}= P{X -100>0}= P{X >100}=ò+¥ 2´1002 dx = 1 100 (100+x)3 4 EY =ò+¥ (x-100) 2´1002 dx =50 100 (100+x)3 (2)  1 N ~ P(8) {M∣N n}~ Bn,   4  P{M m} P{N n}P{M m∣N n) nm  8n 1 m 3 nm   e8Cm      n! n 4 4 nm  8n n! 1  m 3 nm   e8      n! m!(nm)!4 4 nm 1 m 8m  8nm 3 nm    e8     4 m! (nm)! 4 nm 1 m 8m  6nm 2m    e8   e2 4 m! (nm)! m! nm 数学试题 第11页(共3页) 更多资料关注微信公众号:考研文库