当前位置:首页>文档>期末难点特训(四)选填压轴50道(解析版)_北师大初中数学_9下-北师大版初中数学_06专项讲练_微专题2022-2023学年九年级数学下册常考点微专题提分精练(北师大版)

期末难点特训(四)选填压轴50道(解析版)_北师大初中数学_9下-北师大版初中数学_06专项讲练_微专题2022-2023学年九年级数学下册常考点微专题提分精练(北师大版)

  • 2026-04-17 03:41:47 2026-04-17 02:21:18

文档预览

期末难点特训(四)选填压轴50道(解析版)_北师大初中数学_9下-北师大版初中数学_06专项讲练_微专题2022-2023学年九年级数学下册常考点微专题提分精练(北师大版)
期末难点特训(四)选填压轴50道(解析版)_北师大初中数学_9下-北师大版初中数学_06专项讲练_微专题2022-2023学年九年级数学下册常考点微专题提分精练(北师大版)
期末难点特训(四)选填压轴50道(解析版)_北师大初中数学_9下-北师大版初中数学_06专项讲练_微专题2022-2023学年九年级数学下册常考点微专题提分精练(北师大版)
期末难点特训(四)选填压轴50道(解析版)_北师大初中数学_9下-北师大版初中数学_06专项讲练_微专题2022-2023学年九年级数学下册常考点微专题提分精练(北师大版)
期末难点特训(四)选填压轴50道(解析版)_北师大初中数学_9下-北师大版初中数学_06专项讲练_微专题2022-2023学年九年级数学下册常考点微专题提分精练(北师大版)
期末难点特训(四)选填压轴50道(解析版)_北师大初中数学_9下-北师大版初中数学_06专项讲练_微专题2022-2023学年九年级数学下册常考点微专题提分精练(北师大版)
期末难点特训(四)选填压轴50道(解析版)_北师大初中数学_9下-北师大版初中数学_06专项讲练_微专题2022-2023学年九年级数学下册常考点微专题提分精练(北师大版)
期末难点特训(四)选填压轴50道(解析版)_北师大初中数学_9下-北师大版初中数学_06专项讲练_微专题2022-2023学年九年级数学下册常考点微专题提分精练(北师大版)
期末难点特训(四)选填压轴50道(解析版)_北师大初中数学_9下-北师大版初中数学_06专项讲练_微专题2022-2023学年九年级数学下册常考点微专题提分精练(北师大版)
期末难点特训(四)选填压轴50道(解析版)_北师大初中数学_9下-北师大版初中数学_06专项讲练_微专题2022-2023学年九年级数学下册常考点微专题提分精练(北师大版)
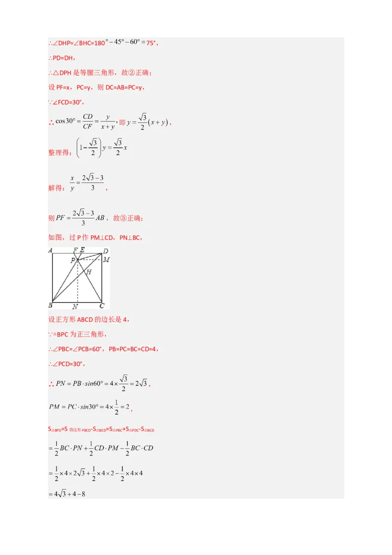
期末难点特训(四)选填压轴50道(解析版)_北师大初中数学_9下-北师大版初中数学_06专项讲练_微专题2022-2023学年九年级数学下册常考点微专题提分精练(北师大版)
期末难点特训(四)选填压轴50道(解析版)_北师大初中数学_9下-北师大版初中数学_06专项讲练_微专题2022-2023学年九年级数学下册常考点微专题提分精练(北师大版)
期末难点特训(四)选填压轴50道(解析版)_北师大初中数学_9下-北师大版初中数学_06专项讲练_微专题2022-2023学年九年级数学下册常考点微专题提分精练(北师大版)
期末难点特训(四)选填压轴50道(解析版)_北师大初中数学_9下-北师大版初中数学_06专项讲练_微专题2022-2023学年九年级数学下册常考点微专题提分精练(北师大版)
期末难点特训(四)选填压轴50道(解析版)_北师大初中数学_9下-北师大版初中数学_06专项讲练_微专题2022-2023学年九年级数学下册常考点微专题提分精练(北师大版)
期末难点特训(四)选填压轴50道(解析版)_北师大初中数学_9下-北师大版初中数学_06专项讲练_微专题2022-2023学年九年级数学下册常考点微专题提分精练(北师大版)
期末难点特训(四)选填压轴50道(解析版)_北师大初中数学_9下-北师大版初中数学_06专项讲练_微专题2022-2023学年九年级数学下册常考点微专题提分精练(北师大版)
期末难点特训(四)选填压轴50道(解析版)_北师大初中数学_9下-北师大版初中数学_06专项讲练_微专题2022-2023学年九年级数学下册常考点微专题提分精练(北师大版)
期末难点特训(四)选填压轴50道(解析版)_北师大初中数学_9下-北师大版初中数学_06专项讲练_微专题2022-2023学年九年级数学下册常考点微专题提分精练(北师大版)
期末难点特训(四)选填压轴50道(解析版)_北师大初中数学_9下-北师大版初中数学_06专项讲练_微专题2022-2023学年九年级数学下册常考点微专题提分精练(北师大版)
期末难点特训(四)选填压轴50道(解析版)_北师大初中数学_9下-北师大版初中数学_06专项讲练_微专题2022-2023学年九年级数学下册常考点微专题提分精练(北师大版)
期末难点特训(四)选填压轴50道(解析版)_北师大初中数学_9下-北师大版初中数学_06专项讲练_微专题2022-2023学年九年级数学下册常考点微专题提分精练(北师大版)
期末难点特训(四)选填压轴50道(解析版)_北师大初中数学_9下-北师大版初中数学_06专项讲练_微专题2022-2023学年九年级数学下册常考点微专题提分精练(北师大版)
期末难点特训(四)选填压轴50道(解析版)_北师大初中数学_9下-北师大版初中数学_06专项讲练_微专题2022-2023学年九年级数学下册常考点微专题提分精练(北师大版)
期末难点特训(四)选填压轴50道(解析版)_北师大初中数学_9下-北师大版初中数学_06专项讲练_微专题2022-2023学年九年级数学下册常考点微专题提分精练(北师大版)
期末难点特训(四)选填压轴50道(解析版)_北师大初中数学_9下-北师大版初中数学_06专项讲练_微专题2022-2023学年九年级数学下册常考点微专题提分精练(北师大版)
期末难点特训(四)选填压轴50道(解析版)_北师大初中数学_9下-北师大版初中数学_06专项讲练_微专题2022-2023学年九年级数学下册常考点微专题提分精练(北师大版)
期末难点特训(四)选填压轴50道(解析版)_北师大初中数学_9下-北师大版初中数学_06专项讲练_微专题2022-2023学年九年级数学下册常考点微专题提分精练(北师大版)
期末难点特训(四)选填压轴50道(解析版)_北师大初中数学_9下-北师大版初中数学_06专项讲练_微专题2022-2023学年九年级数学下册常考点微专题提分精练(北师大版)
期末难点特训(四)选填压轴50道(解析版)_北师大初中数学_9下-北师大版初中数学_06专项讲练_微专题2022-2023学年九年级数学下册常考点微专题提分精练(北师大版)
期末难点特训(四)选填压轴50道(解析版)_北师大初中数学_9下-北师大版初中数学_06专项讲练_微专题2022-2023学年九年级数学下册常考点微专题提分精练(北师大版)
期末难点特训(四)选填压轴50道(解析版)_北师大初中数学_9下-北师大版初中数学_06专项讲练_微专题2022-2023学年九年级数学下册常考点微专题提分精练(北师大版)
期末难点特训(四)选填压轴50道(解析版)_北师大初中数学_9下-北师大版初中数学_06专项讲练_微专题2022-2023学年九年级数学下册常考点微专题提分精练(北师大版)
期末难点特训(四)选填压轴50道(解析版)_北师大初中数学_9下-北师大版初中数学_06专项讲练_微专题2022-2023学年九年级数学下册常考点微专题提分精练(北师大版)
期末难点特训(四)选填压轴50道(解析版)_北师大初中数学_9下-北师大版初中数学_06专项讲练_微专题2022-2023学年九年级数学下册常考点微专题提分精练(北师大版)
期末难点特训(四)选填压轴50道(解析版)_北师大初中数学_9下-北师大版初中数学_06专项讲练_微专题2022-2023学年九年级数学下册常考点微专题提分精练(北师大版)
期末难点特训(四)选填压轴50道(解析版)_北师大初中数学_9下-北师大版初中数学_06专项讲练_微专题2022-2023学年九年级数学下册常考点微专题提分精练(北师大版)
期末难点特训(四)选填压轴50道(解析版)_北师大初中数学_9下-北师大版初中数学_06专项讲练_微专题2022-2023学年九年级数学下册常考点微专题提分精练(北师大版)
期末难点特训(四)选填压轴50道(解析版)_北师大初中数学_9下-北师大版初中数学_06专项讲练_微专题2022-2023学年九年级数学下册常考点微专题提分精练(北师大版)
期末难点特训(四)选填压轴50道(解析版)_北师大初中数学_9下-北师大版初中数学_06专项讲练_微专题2022-2023学年九年级数学下册常考点微专题提分精练(北师大版)
期末难点特训(四)选填压轴50道(解析版)_北师大初中数学_9下-北师大版初中数学_06专项讲练_微专题2022-2023学年九年级数学下册常考点微专题提分精练(北师大版)
期末难点特训(四)选填压轴50道(解析版)_北师大初中数学_9下-北师大版初中数学_06专项讲练_微专题2022-2023学年九年级数学下册常考点微专题提分精练(北师大版)
期末难点特训(四)选填压轴50道(解析版)_北师大初中数学_9下-北师大版初中数学_06专项讲练_微专题2022-2023学年九年级数学下册常考点微专题提分精练(北师大版)
期末难点特训(四)选填压轴50道(解析版)_北师大初中数学_9下-北师大版初中数学_06专项讲练_微专题2022-2023学年九年级数学下册常考点微专题提分精练(北师大版)
期末难点特训(四)选填压轴50道(解析版)_北师大初中数学_9下-北师大版初中数学_06专项讲练_微专题2022-2023学年九年级数学下册常考点微专题提分精练(北师大版)
期末难点特训(四)选填压轴50道(解析版)_北师大初中数学_9下-北师大版初中数学_06专项讲练_微专题2022-2023学年九年级数学下册常考点微专题提分精练(北师大版)
期末难点特训(四)选填压轴50道(解析版)_北师大初中数学_9下-北师大版初中数学_06专项讲练_微专题2022-2023学年九年级数学下册常考点微专题提分精练(北师大版)
期末难点特训(四)选填压轴50道(解析版)_北师大初中数学_9下-北师大版初中数学_06专项讲练_微专题2022-2023学年九年级数学下册常考点微专题提分精练(北师大版)
期末难点特训(四)选填压轴50道(解析版)_北师大初中数学_9下-北师大版初中数学_06专项讲练_微专题2022-2023学年九年级数学下册常考点微专题提分精练(北师大版)
期末难点特训(四)选填压轴50道(解析版)_北师大初中数学_9下-北师大版初中数学_06专项讲练_微专题2022-2023学年九年级数学下册常考点微专题提分精练(北师大版)
期末难点特训(四)选填压轴50道(解析版)_北师大初中数学_9下-北师大版初中数学_06专项讲练_微专题2022-2023学年九年级数学下册常考点微专题提分精练(北师大版)
期末难点特训(四)选填压轴50道(解析版)_北师大初中数学_9下-北师大版初中数学_06专项讲练_微专题2022-2023学年九年级数学下册常考点微专题提分精练(北师大版)
期末难点特训(四)选填压轴50道(解析版)_北师大初中数学_9下-北师大版初中数学_06专项讲练_微专题2022-2023学年九年级数学下册常考点微专题提分精练(北师大版)
期末难点特训(四)选填压轴50道(解析版)_北师大初中数学_9下-北师大版初中数学_06专项讲练_微专题2022-2023学年九年级数学下册常考点微专题提分精练(北师大版)
期末难点特训(四)选填压轴50道(解析版)_北师大初中数学_9下-北师大版初中数学_06专项讲练_微专题2022-2023学年九年级数学下册常考点微专题提分精练(北师大版)
期末难点特训(四)选填压轴50道(解析版)_北师大初中数学_9下-北师大版初中数学_06专项讲练_微专题2022-2023学年九年级数学下册常考点微专题提分精练(北师大版)
期末难点特训(四)选填压轴50道(解析版)_北师大初中数学_9下-北师大版初中数学_06专项讲练_微专题2022-2023学年九年级数学下册常考点微专题提分精练(北师大版)
期末难点特训(四)选填压轴50道(解析版)_北师大初中数学_9下-北师大版初中数学_06专项讲练_微专题2022-2023学年九年级数学下册常考点微专题提分精练(北师大版)
期末难点特训(四)选填压轴50道(解析版)_北师大初中数学_9下-北师大版初中数学_06专项讲练_微专题2022-2023学年九年级数学下册常考点微专题提分精练(北师大版)
期末难点特训(四)选填压轴50道(解析版)_北师大初中数学_9下-北师大版初中数学_06专项讲练_微专题2022-2023学年九年级数学下册常考点微专题提分精练(北师大版)
期末难点特训(四)选填压轴50道(解析版)_北师大初中数学_9下-北师大版初中数学_06专项讲练_微专题2022-2023学年九年级数学下册常考点微专题提分精练(北师大版)
期末难点特训(四)选填压轴50道(解析版)_北师大初中数学_9下-北师大版初中数学_06专项讲练_微专题2022-2023学年九年级数学下册常考点微专题提分精练(北师大版)
期末难点特训(四)选填压轴50道(解析版)_北师大初中数学_9下-北师大版初中数学_06专项讲练_微专题2022-2023学年九年级数学下册常考点微专题提分精练(北师大版)
期末难点特训(四)选填压轴50道(解析版)_北师大初中数学_9下-北师大版初中数学_06专项讲练_微专题2022-2023学年九年级数学下册常考点微专题提分精练(北师大版)
期末难点特训(四)选填压轴50道(解析版)_北师大初中数学_9下-北师大版初中数学_06专项讲练_微专题2022-2023学年九年级数学下册常考点微专题提分精练(北师大版)
期末难点特训(四)选填压轴50道(解析版)_北师大初中数学_9下-北师大版初中数学_06专项讲练_微专题2022-2023学年九年级数学下册常考点微专题提分精练(北师大版)
期末难点特训(四)选填压轴50道(解析版)_北师大初中数学_9下-北师大版初中数学_06专项讲练_微专题2022-2023学年九年级数学下册常考点微专题提分精练(北师大版)
期末难点特训(四)选填压轴50道(解析版)_北师大初中数学_9下-北师大版初中数学_06专项讲练_微专题2022-2023学年九年级数学下册常考点微专题提分精练(北师大版)
期末难点特训(四)选填压轴50道(解析版)_北师大初中数学_9下-北师大版初中数学_06专项讲练_微专题2022-2023学年九年级数学下册常考点微专题提分精练(北师大版)
期末难点特训(四)选填压轴50道(解析版)_北师大初中数学_9下-北师大版初中数学_06专项讲练_微专题2022-2023学年九年级数学下册常考点微专题提分精练(北师大版)
期末难点特训(四)选填压轴50道(解析版)_北师大初中数学_9下-北师大版初中数学_06专项讲练_微专题2022-2023学年九年级数学下册常考点微专题提分精练(北师大版)
期末难点特训(四)选填压轴50道(解析版)_北师大初中数学_9下-北师大版初中数学_06专项讲练_微专题2022-2023学年九年级数学下册常考点微专题提分精练(北师大版)
期末难点特训(四)选填压轴50道(解析版)_北师大初中数学_9下-北师大版初中数学_06专项讲练_微专题2022-2023学年九年级数学下册常考点微专题提分精练(北师大版)
期末难点特训(四)选填压轴50道(解析版)_北师大初中数学_9下-北师大版初中数学_06专项讲练_微专题2022-2023学年九年级数学下册常考点微专题提分精练(北师大版)
期末难点特训(四)选填压轴50道(解析版)_北师大初中数学_9下-北师大版初中数学_06专项讲练_微专题2022-2023学年九年级数学下册常考点微专题提分精练(北师大版)
期末难点特训(四)选填压轴50道(解析版)_北师大初中数学_9下-北师大版初中数学_06专项讲练_微专题2022-2023学年九年级数学下册常考点微专题提分精练(北师大版)
期末难点特训(四)选填压轴50道(解析版)_北师大初中数学_9下-北师大版初中数学_06专项讲练_微专题2022-2023学年九年级数学下册常考点微专题提分精练(北师大版)
期末难点特训(四)选填压轴50道(解析版)_北师大初中数学_9下-北师大版初中数学_06专项讲练_微专题2022-2023学年九年级数学下册常考点微专题提分精练(北师大版)
期末难点特训(四)选填压轴50道(解析版)_北师大初中数学_9下-北师大版初中数学_06专项讲练_微专题2022-2023学年九年级数学下册常考点微专题提分精练(北师大版)
期末难点特训(四)选填压轴50道(解析版)_北师大初中数学_9下-北师大版初中数学_06专项讲练_微专题2022-2023学年九年级数学下册常考点微专题提分精练(北师大版)
期末难点特训(四)选填压轴50道(解析版)_北师大初中数学_9下-北师大版初中数学_06专项讲练_微专题2022-2023学年九年级数学下册常考点微专题提分精练(北师大版)
期末难点特训(四)选填压轴50道(解析版)_北师大初中数学_9下-北师大版初中数学_06专项讲练_微专题2022-2023学年九年级数学下册常考点微专题提分精练(北师大版)
期末难点特训(四)选填压轴50道(解析版)_北师大初中数学_9下-北师大版初中数学_06专项讲练_微专题2022-2023学年九年级数学下册常考点微专题提分精练(北师大版)
期末难点特训(四)选填压轴50道(解析版)_北师大初中数学_9下-北师大版初中数学_06专项讲练_微专题2022-2023学年九年级数学下册常考点微专题提分精练(北师大版)
期末难点特训(四)选填压轴50道(解析版)_北师大初中数学_9下-北师大版初中数学_06专项讲练_微专题2022-2023学年九年级数学下册常考点微专题提分精练(北师大版)
期末难点特训(四)选填压轴50道(解析版)_北师大初中数学_9下-北师大版初中数学_06专项讲练_微专题2022-2023学年九年级数学下册常考点微专题提分精练(北师大版)
期末难点特训(四)选填压轴50道(解析版)_北师大初中数学_9下-北师大版初中数学_06专项讲练_微专题2022-2023学年九年级数学下册常考点微专题提分精练(北师大版)
期末难点特训(四)选填压轴50道(解析版)_北师大初中数学_9下-北师大版初中数学_06专项讲练_微专题2022-2023学年九年级数学下册常考点微专题提分精练(北师大版)
期末难点特训(四)选填压轴50道(解析版)_北师大初中数学_9下-北师大版初中数学_06专项讲练_微专题2022-2023学年九年级数学下册常考点微专题提分精练(北师大版)
期末难点特训(四)选填压轴50道(解析版)_北师大初中数学_9下-北师大版初中数学_06专项讲练_微专题2022-2023学年九年级数学下册常考点微专题提分精练(北师大版)
期末难点特训(四)选填压轴50道(解析版)_北师大初中数学_9下-北师大版初中数学_06专项讲练_微专题2022-2023学年九年级数学下册常考点微专题提分精练(北师大版)

文档信息

文档格式
docx
文档大小
2.318 MB
文档页数
87 页
上传时间
2026-04-17 02:21:18

文档内容

期末难点特训四(选填压轴50道) 1.如图,已知E是正方形 中 边延长线上一点,且 ,连接 、 , 与 交于点N,F是 的中点,连接 交 于点M,连接 .有如下结论:① ;② ;③ ;④ ,其中正确的是( ) A.①②③ B.①②④ C.②③④ D.①②③④ 【答案】D 【分析】(1)证明△NCD∽△NBE,根据相似三角形的性质列出比例式,得到DN=EN,判断①; 根据两边对应成比例、夹角相等的两个三角形相似判断②;FG⊥AE于G,根据等腰直角三角形 的性质、正切的定义求出tan∠FAG,根据相似三角形的性质判断③;根据三角形的面积公式计算, 判断④. 【详解】解:∵四边形ABCD为正方形,AB=BE, ∴AB=CD=BE,AB∥CD, ∴△NCD∽△NBE, ∴ 1, ∴DN=EN,故①结论正确; ∵∠CBE=90°,BC=BE,F是CE的中点, ∴∠BCE=45°,BF CE BE,FB=FE,BF⊥EC, ∴∠DCE=90°+45°=135°,∠FBE=45°, ∴∠ABF=135°, ∴∠ABF=∠ECD, ∵ , ,∴ , ∴△ABF∽△ECD,故②结论正确; 作FG⊥AE于G,则FG=BG=GE, ∴ , ∴tan∠FAG , ∵△ABF∽△ECD, ∴∠CED=∠FAG, ∴tan∠CED ,故③结论正确; ∵tan∠FAG , ∴ , ∴ , ∴S△FBM S△FCM, ∵F是CE的中点, ∴S△FBC=S△FBE, ∴S四边形BEFM=2S△CMF,故④结论正确; 故选:D. 【点睛】本题考查的是相似三角形的判定和性质、三角形的面积计算,掌握相似三角形的判定定 理和性质定理、三角形的面积公式是解题的关键. 2.如图为二次函数y=ax2+bx+c的图象,则下列说法中错误的是( )A.ac<0 B.2a+b=0 C.4a+2b+c>0 D.对于任意x均有ax2+bx≥a+b 【答案】C 【详解】试题分析:A、∵抛物线开口向下,∴a>0;∵抛物线与y轴的交点在x轴下方,∴c< 0,所以ac<0,所以A选项的说法正确; B、∵抛物线与x轴两交点坐标为(-1,0)、(3,0),∴抛物线的对称轴为直线x=-2=1,所以 2a+b=0,所以B选项的说法正确; C、∵x=2时,y<0,∴4a+2b+c<0,所以C选项的说法错误; D、∵抛物线的对称轴为直线x=1,∴当x=1时,y的最小值为a+b+c,∴对于任意x均有 ax2+bx+c≥a+b+c,即ax2+bx≥a+b,所以D选项的说法正确. 故选C. 考点: 二次函数图象与系数的关系. 3.如图,矩形ABCD中,点E,点F分别是BC,CD的中点,AE交对角线BD于点G,BF交AE 于点H.则 的值是( ) A. B. C. D. 【答案】B 【分析】取 的中点 ,连接 ,交 于点 ,则 , ,由,得 ,由 ,得 , ,则 , ,从而解决问题. 【详解】解: 矩形 中,点 ,点 分别是 , 的中点, , , , 取 的中点 ,连接 ,交 于点 ,如图, 则 是 的中位线, , , , , , , , , , , , , , , , , ,故选:B. 【点睛】本题主要考查了矩形的性质,相似三角形的判定与性质,利用相似三角形的性质表示出 和 的长是解题的关键. 4.如图,二次函数 的图象与 轴正半轴相交于 , 两点,与 轴相交于点 ,对称轴为直线 ,且 ,则下列结论:① ; ② ; ③ ; ④关于 的方程 有一个根为 . 其中正确的结论个数有( ) A.1个 B.2个 C.3个 D.4个 【答案】C 【分析】由二次函数图象的开口方向、对称轴及与y轴的交点可分别判断出a、b、c的符号,从而 可判断①;由图象可知当x=3时,y>0,可判断②;由OA=OC,且OA<1,可判断③;把- 代 入方程整理可得ac2-bc+c=0,结合③可判断④;从而可得出答案. 【详解】解: 由图象开口向下,可知a<0, 与y轴的交点在x轴的下方,可知c<0, 又对称轴方程为x=2, 所以 >0, 所以b>0, ∴abc>0, 故①正确; 由图象可知当x=3时,y>0, ∴9a+3b+c>0,故②错误; 由图象可知OA<1, ∵OA=OC, ∴OC<1,即-c<1, ∴c>-1, 故③正确; 假设方程的一个根为x= , 把x= 代入方程可得 , 整理可得ac-b+1=0, 两边同时乘c可得ac2-bc+c=0, 即方程有一个根为x=-c, 由②可知-c=OA,而当x=OA是方程的根, ∴x=-c是方程的根,即假设成立, 故④正确; 综上可知正确的结论有三个, 故选C. 【点睛】本题主要考查二次函数的图象和性质.熟练掌握图象与系数的关系以及二次函数与方程、 不等式的关系是解题的关键. 5.如图,正方形ABCD中,AB=4,点E是BA延长线上一点,点M、N分别为边AB、BC上的点, 且AM=BN=1,连接CM、ND,过点M作MF∥ND与∠EAD的平分线交于点F,连接CF分别与AD、 ND交于点G、H,连接MH,则下列结论正确的有( )个 ①MC⊥ND;②sin∠MFC= ;③(BM+DG)²=AM²+AG²;④S = HMF △A.1 B.2 C.3 D.4 【答案】D 【分析】①设MC与DN交点是P,通过证明△MBC≌△NCD得到∠PNC=∠CMB,又证明则∠PNC +∠PCN =90°求出∠NPC=90°,则MC⊥ND,即可得到答案. 故①MC⊥ND正确. ②延长AE,作FQ⊥AF于点Q,利用勾股定理求出MC=5,再通过△MBC∽△FQM得到 即 ,又因为QA=QF,则可以求得QA=QF =3,进而求得 ,在Rt△FMC中,利用勾股 定理得 则可以求得sin∠MFC的值. ③设(BM+DG)²=AM²+AG²存在,利用边与边的关系可以求出DG,符合题意,即可求出答案. ④作HI⊥MF于点I,先证△CPN∽△CBM,求出PC,MP=MC-PC=5- ,再通过证 四边形MPHI是矩形,求得IH= MP ,知道 HMF的底和高,即可求出答案. △ 【详解】(1) 设MC与ND交于点P,如图所示. ∵四边形ABCD是正方形 ∴CD=BC=AB=4 ∠MBC=∠NCD=90° ∵AM=BN=1 ∴NC=BC-BN=4-1=3MB=AB-AM=4-1=3 ∴NC=MB 在△MBC与△NCD中, ∴△MBC≌△NCD ∴∠PNC=∠CMB ∵∠MBC =90° ∴∠CMB+∠PCN =90° 则∠PNC +∠PCN =90° ∴∠NPC=180°-(∠PNC +∠PCN)=90° ∴MC⊥ND 故①MC⊥ND正确. (2) 延长AE,作FQ⊥AF于点Q ∵MB=3,BC=4.∠B=90° ∴在Rt△MBC中,利用勾股定理得 ∠BCM+∠BMC =90° ∵MC⊥ND,MF∥ND ∴∠FMC=90°∴∠QMF+∠BMC=180°-∠FMC=90° ∴∠QMF=∠BCM ∵FQ⊥AF ∠B=90° ∴∠FQM=∠B ∴△MBC∽△FQM ∴ 即 ∵四边形ABCD是正方形,AF平分∠QAG ∴∠QAF= 又∵∠FQM=90° ∴∠QFA=∠QAF ∴QA=QF ∴ 变形为 解得QA=QF =3 ∴QM=QA+AM=4 ∴在Rt△QMF中,利用勾股定理得 ∴在Rt△FMC中,利用勾股定理得 ∴sin∠MFC= 故②正确 (3)设(BM+DG)²=AM²+AG²存在 由上述可知BM=3,AM=1,AG=AD-GD=4-DG, 将其代入(BM+DG)²=AM²+AG² 得:(3+DG)²=1²+(4-DG)² 解得DG= ,符合题意,故③正确. (4)作HI⊥MF于点I ∵∠PCN=∠PCN,∠NPC=∠B=90° ∴△CPN∽△CBM ∴ 则 即 解得 ∴MP=MC-PC=5- ∵∠IMP=∠MPH=∠MIH=90° ∴四边形MPHI是矩形 ∴IH= MP ∴S = 故④正确 HMF △ 综上所述四项全部正确,答案选D 【点睛】本题是考查了全等、相似、勾股定理的综合性题目,难度较大,合适选择辅助线是解答 此题的关键. 6.在正方形ABCD中,AB=3,点E在边CD上,且DE=1,将△ADE沿AE对折到△AFE,延长 EF交边BC于点G,连接AG,CF.下列结论,其中正确的有( )个. (1)CG=FG;(2)∠EAG=45°;(3)S EFC= ;(4)CF= GE △A.1 B.2 C.3 D.4 【答案】C 【分析】(1)根据翻折可得AD=AF=AB=3,进而可以证明△ABG≌△AFG,再设CG=x,利用 勾股定理可求得x的值,即可证明CG=FG; (2)由(1)△ABG≌△AFG,可得∠BAG=∠FAG,进而可得∠EAG=45°; (3)过点F作FH⊥CE于点H,可得FH∥CG,通过对应边成比例可求得FH的长,进而可求得 S EFC= ; △ (4)根据(1)求得的x的长与EF不相等,进而可以判断CF≠ GE. 【详解】解:如图所示: (1)∵四边形ABCD为正方形, ∴AD=AB=BC=CD=3,∠BAD=∠B=∠BCD=∠D=90°, 由折叠可知: AF=AD=3,∠AFE=∠D=90°,DE=EF=1,则CE=2, ∴AB=AF=3,AG=AG, ∴Rt△ABG≌Rt△AFG(HL), ∴BG=FG, 设CG=x,则BG=FG=3﹣x, ∴EG=4﹣x,EC=2, 根据勾股定理,得 在Rt△EGC中,(4﹣x)2=x2+4, 解得x= ,则3﹣x= , ∴CG=FG, 所以(1)正确; (2)由(1)中Rt△ABG≌Rt△AFG(HL), ∴∠BAG=∠FAG, 又∠DAE=∠FAE, ∴∠BAG+∠FAG+∠DAE+∠FAE=90°, ∴∠EAG=45°, 所以(2)正确; (3)过点F作FH⊥CE于点H,∴FH∥BC, ∴ , 即1:( +1)=FH:( ), ∴FH= , ∴S EFC= ×2× = , △ 所以(3)正确; (4)∵GF= ,EF=1, 点F不是EG的中点,CF≠ GE, 所以(4)错误. 所以(1)、(2)、(3)正确. 故选:C. 【点睛】此题考查正方形的性质,翻折的性质,全等三角形的判定及性质,勾股定理求线段长度, 平行线分线段成比例,正确掌握各知识点并运用解题是关键. 7.如图,正方形ABCD和正方形CGFE的顶点C,D,E在同一条直线上,顶点B,C,G在同一 条直线上.O是EG的中点,∠EGC的平分线GH过点D,交BE于点H,连接FH交EG于点M, 连接OH.以下四个结论: GH⊥BE; △EHM∽△GHF; ﹣1; =2﹣ ① ② ③ ④ ,其中正确的结论是( )A. B. C. D. 【答①案②】③A ①②④ ①③④ ②③④ 【分析】由四边形ABCD和四边形CGFE是正方形,得出△BCE≌△DCG,推出∠BEC+∠HDE=90°,从 而得GH⊥BE;由GH是∠EGC的平分线,得出△BGH≌△EGH,再由O是EG的中点,利用中位线定 理,得HO∥BG且HO= BG;由△EHG是直角三角形,因为O为EG的中点,所以OH=OG=OE,得 出点H在正方形CGFE的外接圆上,根据圆周角定理得出∠FHG=∠EHF=∠EGF=45°,∠HEG=∠HFG, 从而证得△EHM∽△GHF;设HN=a,则BC=2a,设正方形ECGF的边长是2b,则NC=b,CD=2a,由 HO∥BG,得出△DHN∽△DGC,即可得出 ,得到 ,即a2+2ab-b2=0,从而求得 ,设正方形ECGF的边长是2b,则EG=2 b,得到HO= b,通过证得 △MHO∽△MFE,得到 ,进而得到 ,进一 步得到 . 【详解】解:如图, ∵四边形ABCD和四边形CGFE是正方形, ∴BC=CD,CE=CG,∠BCE=∠DCG,在△BCE和△DCG中, ∴△BCE≌△DCG(SAS), ∴∠BEC=∠BGH, ∵∠BGH+∠CDG=90°,∠CDG=∠HDE, ∴∠BEC+∠HDE=90°, ∴GH⊥BE. 故①正确; ∵△EHG是直角三角形,O为EG的中点, ∴OH=OG=OE, ∴点H在正方形CGFE的外接圆上, ∵EF=FG, ∴∠FHG=∠EHF=∠EGF=45°,∠HEG=∠HFG, ∴△EHM∽△GHF, 故②正确; ∵△BGH≌△EGH, ∴BH=EH, 又∵O是EG的中点, ∴HO∥BG, ∴△DHN∽△DGC, 设EC和OH相交于点N. 设HN=a,则BC=2a,设正方形ECGF的边长是2b,则NC=b,CD=2a, 即a2+2ab﹣b2=0, 解得:a=b=(﹣1+ )b,或a=(﹣1﹣ )b(舍去),故③正确; ∵△BGH≌△EGH, ∴EG=BG, ∵HO是△EBG的中位线, ∴HO= BG, ∴HO= EG, 设正方形ECGF的边长是2b, ∴EG=2 b, ∴HO= b, ∵OH∥BG,CG∥EF, ∴OH∥EF, ∴△MHO△MFE, ∴ , ∴EM= OM, ∴ , ∴ ∵EO=GO, ∴S =S , HOE HOG △ △ ∴ 故④错误, 故选A. 【点睛】本题考查了正方形的性质,以及全等三角形的判定与性质,相似三角形的判定与性质, 正确求得两个三角形的边长的比是解决本题的关键. 8.如图,正方形ABCD中,AB=6,点E在边CD上,且CD=3DE.将△ADE沿AE对折至△AFE,延长EF交边BC于点G,连结AG、CF.下列结论:①△ABG≌△AFG;②BG=GC; ③AG∥CF;④S FGC= .其中正确结论的个数是( ) △ A.1 B.2 C.3 D.4 【答案】D 【分析】由正方形和折叠的性质得出AF=AB,∠B=∠AFG=90°,由HL即可证明 Rt△ABG≌Rt△AFG,得出①正确; 设BG=x,则CG=BC−BG=6−x,GE=GF+EF=BG+DE=x+2,由勾股定理求出x=3,得出②正 确; 由等腰三角形的性质和外角关系得出∠AGB=∠FCG,证出平行线,得出③正确; 根据三角形的特点及面积公式求出△FGC的面积= ,得出④正确. 【详解】∵四边形ABCD是正方形, ∴AB=AD=DC=6,∠B=D=90°, ∵CD=3DE, ∴DE=2, ∵△ADE沿AE折叠得到△AFE, ∴DE=EF=2,AD=AF,∠D=∠AFE=∠AFG=90°, ∴AF=AB, ∵在Rt△ABG和Rt△AFG中, , ∴Rt△ABG≌Rt△AFG(HL), ∴①正确; ∵Rt△ABG≌Rt△AFG, ∴BG=FG,∠AGB=∠AGF,设BG=x,则CG=BC−BG=6−x,GE=GF+EF=BG+DE=x+2, 在Rt△ECG中,由勾股定理得:CG2+CE2=EG2, ∵CG=6−x,CE=4,EG=x+2 ∴(6−x)2+42=(x+2)2 解得:x=3, ∴BG=GF=CG=3, ∴②正确; ∵CG=GF, ∴∠CFG=∠FCG, ∵∠BGF=∠CFG+∠FCG, 又∵∠BGF=∠AGB+∠AGF, ∴∠CFG+∠FCG=∠AGB+∠AGF, ∵∠AGB=∠AGF,∠CFG=∠FCG, ∴∠AGB=∠FCG, ∴AG∥CF, ∴③正确; ∵△CFG和△CEG中,分别把FG和GE看作底边, 则这两个三角形的高相同. ∴ , ∵ = ×3×4=6, S GCE △ ∴S = ×6= , CFG △ ∴④正确; 正确的结论有4个, 故选:D. 【点睛】本题考查了正方形性质、折叠性质、全等三角形的性质和判定、等腰三角形的性质和判 定、平行线的判定等知识点的运用;主要考查学生综合运用性质进行推理论证与计算的能力,有 一定难度. 9.在边长为3的正方形ABCD中,点E、F、G、H分别在AB、BC、CD、DA边上,且满足 EB=FC=GD=HA=1,BD分别与HG、HF、EF相交于M、O、N给出以下结论:①HO=OF;②OF2=ON•OB;③HM=2MG;④S△HOM= ,其中正确的个数有( ) A.1 B.2 C.3 D.4 【答案】D 【分析】根据正方形的性质、全等三角形的判定和性质、角平分线的性质定理一一判断即可. 【详解】作MP⊥AD于P,MQ⊥CD于Q.连接OG. ∵四边形ABCD是正方形,∴AD∥BC,AD=BC. ∵AH=CF,∴DH=BF,∠ODH=∠OBF. ∵∠DOH=∠BOF,∴△DOH≌△BOF,∴OH=OF,故①正确. ∵∠FON=∠FOB,∠OFN=∠OBF=45°,∴△OFN∽△OBF,∴OF2=ON•OB,故②正确. ∵∠MDH=∠MDG,MP⊥AD于P,MQ⊥CD于Q,∴MP=MQ. ∵ 2,∴HM=2MG,故③正确. ∵正方形EFGH的面积=5,∴S OHG的面积 ,∴S OMH ,故④正确. △ △ 故选D. 【点睛】本题考查了相似三角形的判定和性质、正方形的性质、角平分线的性质定理、勾股定理 等知识,解题的关键是灵活运用所学知识解决问题,属于中考常考题型. 10.二次函数y=ax2+bx+c(a≠0)的部分图象如图所示,图象过点(﹣1,0),对称轴为直线 x=2,下列结论:(1)4a+b=0;(2)9a+c>﹣3b;(3)7a﹣3b+2c>0;(4)若点A(﹣3, y)、点B(﹣ ,y)、点C(7,y)在该函数图象上,则y<y<y;(5)若方程a(x+1) 1 2 3 1 3 2(x﹣5)=﹣3的两根为x 和x,且x<x,则x<﹣1<5<x.其中正确的结论有( ) 1 2 1 2 1 2 A.2个 B.3个 C.4个 D.5个 【答案】B 【详解】∵抛物线的对称轴为直线x=- =2,即b=-4a, ∴4a+b=0,故(1)正确; ∵由x=-3时,y>0, ∴9a+3b+c>0, ∴9a+c>-3c,故(2)正确; ∵抛物线与x轴的一个交点为(-1,0) ∴a-b+c=0, ∵b=-4a, ∴a+4a+c=0,即c=-5a. 代入可得7a﹣3b+2c=7a+12a-10a=9a, ∵函数的图像开口向下, ∴a<0, ∴7a﹣3b+2c<0,故(3)不正确; ∵当x<2时,y随x增大而增大,当x>2时,y随x增大而减小, ∴若点A(﹣3,y)、点B(﹣ ,y)、点C(7,y)在该函数图象上,则y=y<y,故(4) 1 2 3 1 3 2 不正确; 根据函数的对称性可知函数与x轴的另一交点坐标为(5,0), ∴若方程a(x+1)(x﹣5)=﹣3的两根为x 和x,且x<x,则x<﹣1<x,故(5)正确. 1 2 1 2 1 2 正确的共有3个. 故选:B. 【点睛】本题考查了二次函数图象与系数的关系:二次函数y=ax2+bx+c(a≠0),二次项系数a决 定抛物线的开口方向和大小,当a>0时,抛物线向上开口;当a<0时,抛物线向下开口;一次项 系数b和二次项系数a共同决定对称轴的位置,当a与b同号时(即ab>0),对称轴在y轴左;当a与b异号时(即ab<0),对称轴在y轴右;常数项c决定抛物线与y轴交点.抛物线与y轴 交于(0,c);抛物线与x轴交点个数由△决定,△=b2﹣4ac>0时,抛物线与x轴有2个交点; △=b2﹣4ac=0时,抛物线与x轴有1个交点;△=b2﹣4ac<0时,抛物线与x轴没有交点. 11.如图,在正方形ABCD中,对角线AC,BD相交于点O,点E在DC边上,且CE=2DE,连 接AE交BD于点G,过点D作DF⊥AE,连接OF并延长,交DC于点P,过点O作OQ⊥OP分别 交AE、AD于点N、H,交BA的延长线于点Q,现给出下列结论:①∠AFO=45°;②OG=DG; ③DP2=NH•OH;④sin∠AQO= ;其中正确的结论有( ) A.①②③ B.②③④ C.①②④ D.①②③④ 【答案】D 【分析】①由“ASA”可证△ANO≌△DFO,可得ON=OF,由等腰三角形的性质可求∠AFO=45°; ②由“AAS”可证△OKG≌△DFG,可得GO=DG; ③通过证明△AHN∽△OHA,可得 ,进而可得结论DP2=NH•OH; ④由外角的性质可求∠NAO=∠AQO,由勾股定理可求AG,即可求sin∠AQO= = . 【详解】∵四边形ABCD是正方形, ∴AO=DO=CO=BO,AC⊥BD, ∵∠AOD=∠NOF=90°, ∴∠AON=∠DOF, ∵∠OAD+∠ADO=90°=∠OAF+∠DAF+∠ADO, ∵DF⊥AE, ∴∠DAF+∠ADF=90°=∠DAF+∠ADO+∠ODF, ∴∠OAF=∠ODF, ∴△ANO≌△DFO(ASA), ∴ON=OF,∴∠AFO=45°,故①正确; 如图,过点O作OK⊥AE于K, ∵CE=2DE, ∴AD=3DE, ∵tan∠DAE= , ∴AF=3DF, ∵△ANO≌△DFO, ∴AN=DF, ∴NF=2DF, ∵ON=OF,∠NOF=90°, ∴OK=KN=KF= FN, ∴DF=OK, 又∵∠OGK=∠DGF,∠OKG=∠DFG=90°, ∴△OKG≌△DFG(AAS), ∴GO=DG,故②正确; ∵∠DAO=∠ODC=45°,OA=OD,∠AOH=∠DOP, ∴△AOH≌△DOP(ASA), ∴AH=DP, ∵∠ANH=∠FNO=45°=∠HAO,∠AHN=∠AHO, ∴△AHN∽△OHA, ∴ , ∴AH2=HO•HN, ∴DP2=NH•OH,故③正确;∵∠NAO+∠AON=∠ANQ=45°,∠AQO+∠AON=∠BAO=45°, ∴∠NAO=∠AQO, ∵OG=GD, ∴AO=2OG, ∴AG= = OG, ∴sin∠NAO=sin∠AQO= ,故④正确, 故选:D. 【点睛】本题考查了正方形的性质,全等三角形的判定和性质,锐角三角函数,等腰三角形的性 质,相似三角形的判定和性质,灵活运用这些性质是解题关键. 12.如图,抛物线y=ax2+bx+c(a≠0)与x轴交于点A( ,0),与y轴的交点B在(0,0)和 (0,﹣1)之间(不包括这两点),对称轴为直线x= .则下列结论:① x>3时,y<0;② 4a+b<0;③﹣ <a<0;④ 4ac+b2<4a.其中正确的是( ) A.②③④ B.①②③ C.①③④ D.①②④ 【答案】B 【分析】由已知可得a<0,对称轴为x= ,抛物线与x轴的两个交点为( ,0),( ,0), 可得b=﹣3a,所以① 当x>3时,y<0;② 4a+b=4a-3a=a<0;③ 又由c= a,﹣1<c<0, 可得﹣ <a<0;④ 因为将b=﹣3a,c= a代入4ac+b2﹣4a即可判断正误. 【详解】解:由图象可知,抛物线开口向下,则a<0,∵对称轴为直线x= , ∴x=0与x=3所对应的函数值相同, ∵当x=0时,y<0, ∴x=3时,y<0, ∴x>3时,y<0, ∴①正确; ∵x= =﹣ , ∴b=﹣3a, ∴4a+b=4a﹣3a=a<0, ∴②正确; ∵抛物线经过点A( ,0), ∴ a+ b+c=0, ∴c= a, ∵B在(0,0)和(0,﹣1)之间, ∴﹣1<c<0, ∴﹣1< a<0, ∴﹣ <a<0, ∴③正确; 4ac+b2﹣4a=4a× a+(﹣3a)2﹣4a=5a2+9a2-4a=14a2﹣4a=2a(7a﹣2), ∵a<0, ∴2a(7a﹣2)>0, ∴4ac+b2﹣4a>0, ∴④不正确; 故选:B. 【点睛】本题考查了二次函数的图象及性质,熟练掌握二次函数的图象及性质,能够从图像中获 取信息,并与二次函数的解析式结合是解题关键. 13.二次函数y=ax2+bx+c的图象如图所示,下列结论中正确的有①abc>0;②b2﹣4ac<0;③2a>b;④(a+c)2<b2;⑤a﹣2b+4c>0.( ) A.1个 B.2个 C.3个 D.4个 【答案】C 【分析】由函数图象可知a<0,对称轴﹣1<x<0,图象与y轴的交点c>0,函数与x轴有两个不 同的交点;即可得出b﹣2a>0,b<0;△=b2﹣4ac>0;再由图象可知当x=1时,y<0,即 a+b+c<0;当x=﹣1时,y>0,即a﹣b+c>0;当x=﹣ 时,y>0,即 a﹣ b+c>0,即可求 解. 【详解】解:由函数图象抛物线开口向下,对称轴﹣1<x<0,图象与y轴的交点c>0, ∴a<0, <0,c>0, ∴b<0, ∴abc>0,故①正确; ∵函数与x轴有两个不同的交点, ∴△=b2﹣4ac>0,故②错误; ∵ >﹣1, ∴2a<b,故③错误; 当x=1时,y<0,即a+b+c<0; 当x=﹣1时,y>0,即a﹣b+c>0; ∴(a+b+c)(a﹣b+c)<0,即(a+c)2<b2;故④正确; ∵x=﹣ 时,y>0, ∴ a﹣ b+c>0,即a﹣2b+4c>0,故⑤正确; 故选:C. 【点睛】此题考查二次函数的图象,根据图象确定式子的正负,正确理解函数图象,由图象得到 相关信息,掌握二次函数的性质,根的判别式与图象的关系是解题的关键.14.如图,在正方形 中, 是等边三角形, 的延长线分别交 于点 , 连结 与 相交于点H.给出下列结论, ①△ABE≌△DCF;②△DPH是等腰三角形;③ ;④ , 其中正确结论的个数是( ) A. B. C. D. 【答案】A 【分析】①利用等边三角形的性质以及正方形的性质得出∠ABE=∠DCF=30°,再直接利用全等三角 形的判定方法得出答案; ②利用等边三角形的性质结合正方形的性质得出∠DHP=∠BHC=75°,进而得出答案; ③利用相似三角形的判定与性质结合锐角三角函数关系得出答案; ④根据三角形面积计算公式,结合图形得到△BPD的面积=△BCP的面积+△CDP面积-△BCD的面积, 得出答案. 【详解】∵△BPC是等边三角形, ∴BP=PC=BC,∠PBC=∠PCB=∠BPC=60°, 在正方形ABCD中, ∵AB=BC=CD,∠A=∠ADC=∠BCD=90° ∴∠ABE=∠DCF=30°, 在△ABE与△CDF中, , ∴△ABE≌△DCF,故①正确; ∵PC=BC=DC,∠PCD=30°, ∴∠CPD=75°, ∵∠DBC=45°,∠BCF=60°,∴∠DHP=∠BHC=180 75°, ∴PD=DH, ∴△DPH是等腰三角形,故②正确; 设PF=x,PC=y,则DC=AB=PC=y, ∵∠FCD=30°, ∴ 即 , 整理得: 解得: , 则 ,故③正确; 如图,过P作PM⊥CD,PN⊥BC, 设正方形ABCD的边长是4, ∵△BPC为正三角形, ∴∠PBC=∠PCB=60°,PB=PC=BC=CD=4, ∴∠PCD=30°, ∴ , , S =S -S =S +S -S BPD 四边形PBCD BCD PBC PDC BCD △ △ △ △ △, ∴ ,故④正确; 故正确的有4个, 故选:A. 【点睛】本题考查了正方形的性质以及全等三角形的判定等知识,解答此题的关键是作出辅助线, 利用锐角三角函数的定义表示出出FE及PC的长是解题关键. 15.如图,抛物线与x轴交于A(﹣2,0),B(4,0)两点,点P从点A出发,沿线段AB向点B 匀速运动,到达点B停止,PQ⊥x轴,交抛物线于点Q(m,n),设点P的运动时间为t秒,当t =3和t=9时,n的值相等.下列结论: ①t=6时,n的值最大; ②t=10时,n=0; ③当t=5和t=7时,n的值不一定相等; ④t=4时,m=0. 其中正确的是( ) A.①④ B.②④ C.①③ D.②③ 【答案】A 【分析】根据题意首先求得抛物线的对称轴,然后由抛物线的轴对称性质和二次函数的性质解答. 【详解】解:根据题意知,该抛物线的对称轴是直线x= =1. 设点P的运动速度是每秒v个单位长度,则 ∵当t=3和t=9时,n的值相等,∴x= =1. ∴v= . ①当t=6时,AP=6× =3,此时点Q是抛物线顶点坐标,即n的值最大,故结论正确; ②当t=10时,AP=10× =5,此时点Q与点B不重合,即n≠0,故结论错误; ③当t=5时,AP= ,此时点P的坐标是( ,0);当t=7时,AP= ,此时点P的坐标是( , 0).因为点( ,0)与点( ,0)关于对称轴直线x=1对称,所以n的值一定相等,故结论错 误; ④t=4时,AP=4× =2,此时点P与原点重合,则m=0,故结论正确. 综上所述,正确的结论是①④. 故选:A. 【点睛】本题主要考查了抛物线与x轴的交点,二次函数的最值,二次函数图象上点的坐标特征, 根据题意求得对称轴和点P的运动速度是解题的关键. 16.如图,正方形ABCD中,O为BD中点,以BC为边向正方形内作等边 ,连接并延长AE 交CD于F,连接BD分别交CE、AF于G、H,下列结论: ; ; ; ; : ,其中正确的结论有 A. B. C. D. 【答案】D 【分析】 根据正方形的性质及等边三角形的性质就可以得出 .设 ,推出 , 由 可得 ,即 . 由条件就可以得出 , ,就可以得出 ≌ ,就可以 得出 ,就可以得出 ,得出 ,由 ,就可以得出 . 由O为BD中点可以得出, , ,得出 . 由 : :CG,由 设 ,就有 , ,由此即可解决问题. 【详解】解: 四边形ABCD是正方形, , , . 是等边三角形, , , , , , , , 故 正确; , , , . , , , . 在 和 中,, ≌ , . , , , , , 故 正确; 为BD中点, . , 故 错误; 作 于M, 于N, , , . 设 , , . ,即 故 错误; ,设 , , ., , . : :GC, : 故 正确. 综上所述,正确的有 , 故选D. 【点睛】本题考查了正方形的性质的运用,等边三角形的性质的运用,等腰三角形的判定及性质 的运用,三角形的面积公式的运用,平行线的判定的运用,解答时灵活运用正方形的性质求解是 关键. 17.如图,在矩形ABCD中,AB=12,P是AB上一点,将△PBC沿直线PC折叠,顶点B的对应 点是G,过点B作BE⊥CG,垂足为E,且在AD上,BE交PC于点F,则下列结论,其中正确的 结论有( ) ①BP=BF;②若点E是AD的中点,那么△AEB≌△DEC;③当AD=25,且AE<DE时,则DE= 16;④在③的条件下,可得sin∠PCB= ;⑤当BP=9时,BE•EF=108. A.2个 B.3个 C.4个 D.5个 【答案】C 【分析】①根据折叠的性质∠PGC=∠PBC=90°,∠BPC=∠GPC,从而证明BE⊥CG可得 BE∥PG,推出∠BPF=∠BFP,即可得到BP=BF;②利用矩形ABCD的性质得出AE=DE,即可利 用条件证明△ABE≌△DCE;③先根据题意证明△ABE∽△DEC,再利用对应边成比例求出DE即可; ④根据勾股定理和折叠的性质得出△ECF∽△GCP,再利用对应边成比例求出BP,即可;⑤连接FG,先证明平行四边形BPGF是菱形,再根据菱形的性质得出△GEF∽△EAB,再利用对应边成比 例求出BE·EF. 【详解】①在矩形ABCD,∠ABC=90°, ∵△BPC沿PC折叠得到△GPC, ∴∠PGC=∠PBC=90°,∠BPC=∠GPC, ∵BE⊥CG, ∴BE∥PG, ∴∠GPF=∠PFB, ∴∠BPF=∠BFP, ∴BP=BF; 故①正确; ②在矩形ABCD中,∠A=∠D=90°,AB=DC, ∵E是AD中点, ∴AE=DE, 在△ABE和△DCE中, , ∴△ABE≌△DCE(SAS); 故②正确; ③当AD=25时, ∵∠BEC=90°, ∴∠AEB+∠CED=90°, ∵∠AEB+∠ABE=90°, ∴∠CED=∠ABE, ∵∠A=∠D=90°, ∴△ABE∽△DEC, ∴ , 设AE=x, ∴DE=25﹣x, ∴ ,∴x=9或x=16, ∵AE<DE, ∴AE=9,DE=16; 故③正确; ④由③知:CE= ,BE= , 由折叠得,BP=PG, ∴BP=BF=PG, ∵BE∥PG, ∴△ECF∽△GCP, ∴ , 设BP=BF=PG=y, ∴ , ∴y= , ∴BP= , 在Rt△PBC中,PC= , ∴sin∠PCB= ; 故④不正确; ⑤如图,连接FG, 由①知BF∥PG, ∵BF=PG=PB, ∴平行四边形BPGF是菱形,∴BP∥GF,FG=PB=9, ∴∠GFE=∠ABE, ∴△GEF∽△EAB, ∴ , ∴BE•EF=AB•GF=12×9=108; 故⑤正确, 所以本题正确的有①②③⑤,4个, 故选:C. 【点睛】本题考查矩形与相似的结合、折叠的性质,关键在于通过基础知识证明出所需结论,重 点在于相似对应边成比例. 18.如图,已知矩形ABCD中,AB=2,BC=6,点E从点D出发,沿DA方向以每秒1个单位的速度 向点A运动,点F从点B出发,沿射线AB以每秒3个单位的速度运动,当点E运动到点A时,E、 F两点停止运动.连接BD,过点E作EH⊥BD,垂足为H,连接EF,交BD于点G,交BC于点M,连 接CF,给出下列结论:①△CDE∽△CBF;②∠DBC=∠EFC;③ ;④GH的值为定值 ; 上述结论中正确的个数为( ) A.1 B.2 C.3 D.4 【答案】C 【详解】试题分析:作CN⊥BD,连接AC.∵四边形ABCD是矩形,AD∥BC,AB=DC, ∴∠CDA=∠DCB=∠DAB=∠ABC=90°, 设E点和F点的运动时间为t,则CE=t,BF=3t, ∴ , , ∴ , 在 CDE和 CBF中, △ △ , ∴△CDE∽△CBF,故①正确, ∴∠DCE=∠BCF, ∵∠DCE+∠BCE=90°, ∴∠BCE+∠BCF=90°, ∴∠ECF=90°, ∵ , ∴ , ∵∠DCB=∠ECF, ∴△DCB∽△ECF, ∴∠DBC=∠EFC,故②正确; ∴∠CDB=∠CEF, ∵∠CDB+∠DCN=90°,∠DCN+∠NCB=90°, ∴∠DCB=∠NCB=∠CEF, ∵CN⊥BD,EH⊥DB, ∴CN∥EH, ∴∠NCE=∠CEH,∴∠ECB=∠HEG, ∵AD∥BC, ∴∠DEC=∠ECB, ∴∠DEC=∠HEG, ∵∠EDC=∠EHG=90°, ∴△EDC∽△EHG, ∴ , ∵AB=DC, ∴ ,故③错误; ∵AD=BC=6,AB=2, ∴BD= = , ∵∠EDH=∠ADB,∠EHD=∠DAB, ∴△DEH∽△DBA, ∴ , ∴ , ∴EH= , ∵ , ∴ , ∴HG= ,故④正确. 综上所述①②④正确. 故选C. 点睛:本题考查了相似三角形的判定和性质、矩形的性质、等腰三角形的性质和判定等知识,综 合性较强,利用同角的余角相等证明角相等是解题的关键,本题还用到比例式和勾股定理解决线 段的长度问题.19.如图,已知函数 的图象与 轴交于点A,与函数 的图象交于C、D两点, 以OC、OD为邻边作平行四边形OCED.下列结论中:①OC=OD;②若 ,则当 时, ;③若 ,则平行四边形OCED的面积为3;④若∠COD=45°,则 .其中正确的有 ( ) A.1个 B.2个 C.3个 D.4个 【答案】C 【分析】根据反比例函数与一次函数求出交点C、D的坐标,再根据长度公式,三角形面积进行计 算即可. 【详解】解:设直线AB解析式为 把A(3,0),B(0,3)代入得 ∴ ∴ 设 则 ∴ ∴∵ ∴ ∴ =0 ∴ ∴OC=OD,故①正确 当k=2时 ∵ ∴ ∴ ∴ ∴C(2,1),D(1,2) ∴当10,原方程有两个不相等的实数根;当△=0,原方程有两个相等的实数根;当△< 0,原 方程没有实数根;将代数式进行合理变形判断△的正负性是解题的关键. 23.如图,在边长4的正方形ABCD中,E是边BC的中点,将 CDE沿直线DE折叠后,点C落在 点F处,冉将其打开、展平,得折痕DE,连接CF、BF、EF,延△长BF交AD于点G,则下列结论: ①BG= DE;②CF⊥BG;③sin∠DFG= ;④S = .其中正确的有( ) DFG △ A.1个 B.2个 C.3个 D.4个 【答案】C 【分析】①证明BG∥ED可得平行四边形BEDG即可; ②根据直角三角形斜边上的中线是斜边的一半来求解; ③证明∠DFG=∠FCB即可;④求出sin∠GFD,用S DFG= sin∠GFD即可求解. △ 【详解】①由折叠可得CF⊥DE,EF=CE ∵E是边BC的中点 ∴EF=CE= ∴CF⊥BG ∴BG∥ED ∴四边形BEDG是平行四边形 ∴BG= DE ②由折叠可得EF=CE ∵E是边BC的中点 ∴EF=CE= ∴CF⊥BG ③由折叠可得DE垂直平分CF,∠EFD=90°, ∠EFC =∠FCB 由勾股定理可得DE= ,FC= BF= ∵CF⊥BG,∠EFD=90° ∴∠CFD+∠GFD=90°, ∠EFC+∠CFD==90° ∴∠EFC=∠GFD=∠FCB sin∠DFG= sin∠FCB= ∴③错误 ④由折叠可得FD=CD ∵BF= ,BG=DE=∴FG= ∴S DFG= sin∠GFD= △ 【点睛】本题考查的是正方形的综合运用,熟练掌握三角函数和折叠的性质是解题的关键. 24.如图,已知 , 分别为正方形 的边 , 的中点, 与 交于点 , 为 的中点,则下列结论:① ,② ,③ ,④ . 其中正确结论的有( ) A. 个 B. 个 C. 个 D. 个 【答案】B 【分析】根据正方形的性质可得 ,然后利用SAS即可证出 ,根据全 等三角形的性质可得: ,根据直角三角形的性质和三角形的内角和,即可判断①; 根据中线的定义即可判断②;设正方形 的边长为 ,根据相似三角形的判定证出 ,列出比例式,即可判断③;过点 作 于 ,易证△AMN∽△AFB,列出 比例式,利用勾股定理求出ME、MF和MB即可判断④. 【详解】解:在正方形 中, , , 、 分别为边 , 的中点, , 在 和 中, , ,, , , 故①正确; 是 的中线, , , 故②错误; 设正方形 的边长为 ,则 , 在 中, , , , , ,即 , 解得: , , , 故③正确; 如图,过点 作 于 , ∴ ∴△AMN∽△AFB ∴ , 即 , 解得 , ,根据勾股定理, , , ,故④正确. 综上所述,正确的结论有①③④共3个 故选:B. 【点睛】此题考查的是正方形的性质、全等三角形的判定及性质、相似三角形的判定及性质和勾 股定理,掌握正方形的性质、全等三角形的判定及性质、相似三角形的判定及性质和勾股定理是 解决此题的关键. 25.如图,在正方形 中,点 为 边的中点,点 在 上, ,过点 作 交 于点 .下列结论:① ;② ;③ ;④ .正确 的是( ). A.①② B.①③ C.①③④ D.③④ 【答案】C 【分析】连接 .根据“HL”可证 ≌ ,利用全等三角形的对应边相等,可得 ,据此判断①;根据“ ”可证 ≌ ,可得 ,从而可得 ,据此判断②;由(2)知 ,可证 ,据此判断③;根据两角分 别相等的两个三角形相似,可证 ∽ ∽ ,可得 , 从而可得 ,据此判断④.【详解】解:(1)连接 . 如图所示: ∵四边形ABCD是正方形, ∴∠ADC=90°, ∵FG⊥FC, ∴∠GFC=90°, 在Rt CFG与Rt CDG中, △ △ ∴ ≌ . ∴ ...①正确. (2)由(1), 垂直平分 .∴∠EDC+∠2=90°, ∵∠1+∠EDC=90°, ∴ . ∵四边形ABCD是正方形, ∴AD=DC=AB,∠DAE=∠CDG=90°, ∴ ≌ . ∴ . ∵ 为 边的中点, ∴ 为 边的中点. ∴ .∴②错误. (3)由(2),得 . ∴ .③正确. (4)由(3),可得 ∽ ∽ . ∴ ∴ . ∴④正确. 故答案为C. 【点睛】本题考查正方形的性质、全等三角形的判定和性质、相似三角形的判定与性质、三角形 中位线定理、线段的垂直平分线的性质等知识,解题的关键是灵活运用所学知识解决问题. 26.如图,在矩形ABCD中,AB=12,P是边AB上一点,把△PBC沿直线PC折叠,得到△PGC,边CG交AD于点E,连接BE,∠BEC=90°,BE交PC于点F,那么下列选项正确的有( ) ①BP=BF;②若点E是AD的中点,则△AEB≌△DEC;③当AD=25,且AE<DE时,则DE=16;④在 ③的条件下,可得sin∠PCB= ;⑤当BP=9时,BE•EF=108. A.5个 B.4个 C.3个 D.2个 【答案】B 【分析】①利用折叠的性质,得出∠PGC=∠PBC=90°,∠BPC=∠GPC,进而判断出∠GPF=∠PFB即可 得出结论; ②先判断出∠A=∠D=90°,AB=DC再判断出AE=DE,即可得出结论; ③判断出△ABE∽△DEC,得出比例式建立方程求解即可得出AE=9,DE=16; ④再判断出△ECF∽△GCP,进而求出PC,即可得出结论; ⑤判断出四边形BPGF是菱形,即可得出结论. 【详解】①在矩形ABCD,∠ABC=90°, ∵△BPC沿PC折叠得到△GPC, ∴∠PGC=∠PBC=90°,∠BPC=∠GPC, ∵BE⊥CG, ∴BE∥PG, ∴∠GPF=∠PFB, ∴∠BPF=∠BFP, ∴BP=BF; 故①正确; ②在矩形ABCD中,∠A=∠D=90°,AB=DC, ∵E是AD中点, ∴AE=DE,在△ABE和△DCE中, , ∴△ABE≌△DCE(SAS); 故②正确; ③当AD=25时, ∵∠BEC=90°, ∴∠AEB+∠CED=90°, ∵∠AEB+∠ABE=90°, ∴∠CED=∠ABE, ∵∠A=∠D=90°, ∴△ABE∽△DEC, ∴ , 设AE= , ∴DE= , ∴ ∴ 或 , ∵AE<DE, ∴AE=9,DE=16; 故③正确; ④由③知:CE= , BE= , 由折叠得,BP=PG, ∴BP=BF=PG, ∵BE∥PG, ∴△ECF∽△GCP, ∴ , 设BP=BF=PG=y,∴ , ∴ , ∴BP , 在Rt△PBC中,PC= , ∴sin∠PCB= , 故④不正确; ⑤如图,连接FG, 由①知BF∥PG, ∵BF=PG=PB, ∴▱BPGF是菱形, ∴BP∥GF,GF=PB=9, ∴∠GFE=∠ABE, ∴Rt△GEF∽Rt△EAB, ∴ , ∴BE•EF=AB•GF=12×9=108; 故⑤正确, 所以本题正确的有①②③⑤,共4个, 故选:B. 【点睛】本题是四边形综合题,主要考查了矩形的性质,全等三角形的判定和性质,相似三角形 的判定和性质,折叠的性质,利用方程的思想解决问题是解本题的关键. 27.如图,已知二次函数y=ax2+bx+c(a≠0)的图象如图所示,对称轴为直线x=1.分析下列5个结论:①2c<3b;②若00;③ ;④ (k为实数);⑤ (m为实数).其中正确的结论个数有( ) A.1个 B.2个 C.3个 D.4个 【答案】B 【分析】根据题中条件可得: ,进而得出a、b之间的关系,根据其对称轴以及增减 性分别代入验证即可. 【详解】解:根据题中条件可得: , 即: , 把其代入二次函数得: , 对于①:因为当 时,y值小于0,即可得: , ,故①正确, 对于②:通过图像可得:当 位于2和3之间的时候y值有一段小于0的, ②错误, 对于③:当 时,y值小于0, 把其代入 中可得: ,即: , 两边同时平方得: ,故③正确, 对于④:观察图像可以知道,函数在 的时候是递减的, 而 , 把其代入 得: ,即: ,故④错误, 对于⑤:对于任意的 ,其代入二次函数表达式中所得y值永远小于 时的y值, 即: , 两边乘以a,不等号变号得: ,故⑤错, 故答案为:B. 【点睛】本题考查的是二次函数图像和性质的结合,解题关键在于搞懂题中的条件以及二次函数 的增减性. 第II卷(非选择题) 请点击修改第II卷的文字说明 二、填空题 28.如图,已知直线 与双曲线 交于A,B两点,将线段AB绕点A沿顺时针方向旋转 60°后,点B落在点C处,双曲线 经过点C,则 的值是_____. 【答案】 【分析】连接OC、BC,作BM⊥x轴于M,CN⊥x轴于N,根据旋转的性质得到△ABC是等边三角 形,根据反比例函数和正比例函数的对称性得出OA=OB,即可得出CO⊥AB,证得△BOM∽△OCN,得到 ,根据反比例函数系数k的几何意义即可求解. 【详解】解:连接OC、BC,作BM⊥x轴于M,CN⊥x轴于N, ∵AB=AC,∠BAC=60°, ∴△ABC是等边三角形, ∵直线 与双曲线 交于A,B两点, ∴OA=OB, ∴CO⊥AB,∠BCO= ∠ACB=30°, ∴ , ∵∠BOC=90°, ∴∠BOM+∠CON=90°, ∵∠BOM+∠MBO=90°, ∴∠CON=∠MBO, ∵∠BMO=∠ONC=90°, ∴△BOM∽△OCN, ∴ , ∵ , , ∴ ,∴ , 故答案为: . 【点睛】本题是反比例函数与一次函数的交点问题,考查了旋转的性质,反比例函数与正比例函 数的对称性,三角形相似的判定和性质,反比例函数系数k的几何意义,证得 是解题的关键. 29.如图,已知△ABC与△ADE均是等腰直角三角形,∠BAC=∠ADE=90°,AB=AC=1,AD= DE= ,点D在直线BC上,EA的延长线交直线BC于点F,则FB的长是 _____. 【答案】 【分析】过点A作AH⊥BC于点H,根据等腰直角三角形的性质可得DH= ,CD= ,再证明 ABF∽△DCA,进而对应边成比例即可求出FB的长. △【详解】解:如图,过点A作AH⊥BC于点H, ∵∠BAC=90°,AB=AC=1, ∴BC= , ∵AH⊥BC,∴BH=CH= , ∴AH= , ∵AD=DE= , ∴DH= , ∴CD=DH-CH= , ∵∠ABC=∠ACB=45°, ∴∠ABF=∠ACD=135°, ∵∠DAE=45°, ∴∠DAF=135°, ∵∠BAC=90°, ∴∠BAF+∠DAC=45°, ∵∠BAF+∠F=45°, ∴∠F=∠DAC, ∴△ABF∽△DCA, ∴ , ∴ , ∴BF= , 故答案为: . 【点睛】本题考查了相似三角形的判定与性质,等腰直角三角形,解决本题的关键是得到 ABF∽△DAC. △ 30.如图,已知直线 交 轴于点 ,交反比例函数 于点 ,过点 作 交反比例函数 于点 ,若 ,则 的值为___.【答案】4 【分析】证明△BMC∽△ANB,则 ,进而求解. 【详解】过点B作y轴的平行线交x轴于点N,交过点C与x轴的平行线于点M,设直线AB交y 轴于点D,如图. 令x=0, =1, ∴D(0,1), ∴OD=1, 令y=0, =0,解得x=-2, ∴A(-2,0), ∴OA=2, 在Rt△ANB中,tan∠BAN= = , 在Rt△ABN中,设BN=t,则AN=2t, ∵∠CBM+∠ABN=90°,∠ABN+∠BAN=90°, ∴∠CBM=∠BAN, 而∠BMC=∠ANB=90°,∴△BMC∽△ANB, ∵BC= AB, 则△BMC和△ANB相似比为1:2, 则 , 则CM= t,BM=t, 则点B、C的坐标分别为(−2+2t,t)、(−2+2t− t,2t), ∵点B、C在反比例函数上,故(−2+2t)×t=(−2+2t− t)×2t,解得t=2, 则点B的坐标为(2,2), 则k=2×2=4, 故答案为4. 【点睛】本题考查了反比例函数与一次函数的交点,涉及到三角形相似.当有两个函数的时候, 着重使用一次函数,体现了方程思想,综合性较强. 31.如图,点A(1,3)为双曲线 上的一点,连接AO并延长与双曲线在第三象限交于点B, M为 轴正半轴一上点,连接MA并延长与双曲线交于点N,连接BM、BN,已知 MBN的面积为 △ ,则点N的坐标为__________. 【答案】( , ) 【分析】根据待定系数法求得反比例函数与一次函数解析式,可得到A点坐标为(2,3),求出B 点坐标,设BN与y轴交点为D,设N点坐标为( , ),再利用待定系数法确定直线BM与BN的解析式,求出M、N、D坐标,然后利用S =S +S ,求出a的值即可得到C点坐标. MNB MND MBD △ △ △ 【详解】解:将点A的坐标为(1,3)代入双曲线表达式 ,一次函数表达式y=mx, 解得 k=3,m=3 所以双曲线表达式 ,一次函数表达式y=3x 两函数联立: ,解得 或 所以B(-1,-3) 设BN交y轴于D,如图,设N点坐标为( , ) 设BN为y=bx+c,将B(-1,-3),N( , )代入 解得 所以 当x=0时, 所以D(0, ) 设MN为y=px+q,将A(1,3),N( , )代入解得 所以 当x=0时, 所以M(0, ) 所以MN=( )-( )=6 ∵S =S +S , MNB MND MBD △ △ △ ∴ ,解得 , 又∵N( , ) ∴点N的坐标为( , ) 【点睛】本题考查了一次函数与反比例函数的综合性数形结合的题目,难度较大,能找到面积的 等量关系是解答此题的关键. 32.如图,在边长为2 的正方形ABCD中,点E为AD边的中点,将△ABE沿BE翻折,使点A落 在点A′处,作射线EA′,交BC的延长线于点F,则CF=____. 【答案】x= . 【详解】试题分析:先根据正方形的性质得AB=AD=BC=2 ,AD∥BC,得到∠AEB=∠EBF,再根据 折叠的性质得∠AEB=∠BEF,EA′=AE= ,∠BA′E=∠A=90°,A′B=AB=2 ,可推出∠BEF=∠EBF,证 得BF=EF,设CF=x,则BF=2 +x,A′F= +x,在Rt△A′BF中,由勾股定理得:(2 )2+(+x)2=(2 +x)2,解此方程即可求得结论. 解:∵正方形ABCD, ∴AB=AD=BC=2 ,AD∥BC, ∴∠AEB=∠EBF, ∵E为AD边的中点, ∴AE= , 由折叠的性质得∠AEB=∠BEF,EA′=AE= ,∠BA′E=∠A=90°,A′B=AB=2 , ∴∠BEF=∠EBF, ∴BF=EF, 设CF=x,则BF=2 +x,A′F= +x, 在Rt△A′BF中,(2 )2+( +x)2=(2 +x)2, 解得:x= . 考点:翻折变换(折叠问题). 33.已知在正方形ABCD中,点E、F分别为边BC与CD上的点,且∠EAF=45°,AE与AF分别交对 角线BD于点M、N,则下列结论正确的是_____. ①∠BAE+∠DAF=45°;②∠AEB=∠AEF=∠ANM;③BM+DN=MN;④BE+DF=EF 【答案】①②④ 【分析】由∠EAF=45°,可得∠BAE+∠DAF=45°,故①正确;如图,把△ADF绕点A顺时针旋转90° 得到△ABH,根据三角形的外角的性质得到∠ANM=∠AEB,于是得到∠AEB=∠AEF=∠ANM;故②正 确;由旋转的性质得,BH=DF,AH=AF,∠BAH=∠DAF,由已知条件得到∠EAH=∠EAF=45°,根据全 等三角形的性质得到EH=EF,∴∠AEB=∠AEF,求得BE+BH=BE+DF=EF,故④正确;BM、DN、MN 存在BM2+DN2=MN2的关系,故③错误.【详解】解:∵∠EAF=45°,∴∠BAE+∠DAF=45°,故①正确; 如图,把△ADF绕点A顺时针旋转90°得到△ABH, 由旋转的性质得,BH=DF,AH=AF,∠BAH=∠DAF, ∵∠EAF=45°, ∴∠EAH=∠BAH+∠BAE=∠DAF+∠BAE=90°-∠EAF=45°, ∴∠EAH=∠EAF=45°, 在△AEF和△AEH中, , ∴△AEF≌△AEH(SAS), ∴EH=EF, ∴∠AEB=∠AEF, ∴BE+BH=BE+DF=EF,故④正确; ∵∠ANM=∠ADB+∠DAN=45°+∠DAN, ∠AEB=90°-∠BAE=90°-(∠HAE-∠BAH)=90°-(45°-∠BAH)=45°+∠BAH, ∴∠ANM=∠AEB, ∴∠AEB=∠AEF=∠ANM;故②正确; BM、DN、MN满足等式BM2+DN2=MN2,而非BM+DN=MN,故③错误. 故答案为①②④. 【点睛】本题考查了正方形的性质,全等三角形的判定与性质,等腰直角三角形的性质,勾股定 理,熟记各性质并利用旋转变换作辅助线构造成全等三角形是解题的关键. 34.如图,在Rt△ABC中,∠B=90°,∠ACB=45°,∠D=30°,B、C、D在同一直线上,连接AD,若 AB= ,则sin∠CAD=____.【答案】 【详解】试题分析:先解等腰直角三角形ABC,得出BC=AB= ,AC= AB= .再解Rt△ABD, 得出AD=2AB=2 ,BD= AB=3,那么CD=BD﹣BC=3﹣ .过C点作CE⊥AD于E.根据S = ACD △ AD•CE= CD•AB,求出CE= ,然后在Rt△AEC中利用正弦函数的定义即可求出sin∠CAD的值. 解:∵在Rt△ABC中,∠B=90°,∠ACB=45°, ∴△ABC是等腰直角三角形, ∵AB= , ∴BC=AB= ,AC= AB= . ∵在Rt△ABD中,∠B=90°,∠D=30°,AB= , ∴AD=2AB=2 ,BD= AB=3, ∴CD=BD﹣BC=3﹣ . 过C点作CE⊥AD于E. ∵S = AD•CE= CD•AB, ACD △ ∴CE= = = , ∴sin∠CAD= = = . 故答案为 .考点:解直角三角形. 35.在正方形ABCD中,点E为BC边上一点且CE=2BE,点F为对角线BD上一点且BF=2DF, 连接AE交BD于点G,过点F作FH⊥AE于点H,连结CH、CF,若HG=2cm,则 CHF的面积是 ______cm2. △ 【答案】 【分析】如图,过F作FI⊥BC于I,连接FE,FA,得到FI∥CD,设BE=EI=IC=a,CE=FI=2a,AB=3a, 由勾股定理得到FE=FC=FA= a,推出HE= AE= a,根据正方形的性得到BG平分∠ABC,由 三角形角平分线定理得到 ,求得HG= AE= a=2,于是得到结论. 【详解】解:如图,过F作FI⊥BC于I,连接FE,FA, ∴FI∥CD, ∵CE=2BE,BF=2DF, ∴设BE=EI=IC=a,CE=FI=2a,AB=3a, ∴则FE=FC=FA= a, ∴H为AE的中点, ∴HE= AE= a, ∵四边形ABCD是正方形, ∴BG平分∠ABC,∴ ∴HG= AE= a=2, ∴a= , ∴S△CHF=S△HEF+S△CEF-S△CEH= ( a)2+ •2a•2a- •2a• a= a2= , 故答案为 . 【点睛】本题考查了正方形的性质,等腰三角形的判定和性质,平行线分线段成比例定理,难度 较大,正确的作出辅助线是解题的关键. 36.如图,直线y= x+4与x轴、y轴交于A、B两点,AC⊥AB,交双曲线y= (x<0)于C点, 且BC交x轴于M点,BM=2CM,则k=_____. 【答案】14 【分析】作CD⊥OA于D,先确定A点坐标为(-8,0),B点坐标为(0,4),得到OB=4, OA=8,易证得Rt△BMO∽Rt△CMD,则 ,而BM=2CM,OB=4,则可计算出CD=2,然后 再证明Rt△BAO∽Rt△ACD,利用相似比可计算出AD,于是可确定C点坐标,然后把C点坐标代入反比例函数解析式中即可得到k的值. 【详解】解:作CD⊥OA于D,如图, 把x=0代入 得y=4,把y=0代入 得 ,解得x=-8, ∴B点坐标为(0,4),A点坐标为(-8,0),即OB=4,OA=8, ∵CD⊥OA, ∴∠CDM=∠BOM=90°, 而∠CMD=∠BMO, ∴Rt△BMO∽Rt△CMD, ∴ , 而BM=2CM,OB=4, ∴CD=2, ∵AC⊥AB, ∴∠BAO+∠CAD=90°, 而∠CAD+∠ACD=90°, ∴∠BAO=∠ACD, ∴Rt△BAO∽Rt△ACD, ∴ ,即 , ∴AD=1, ∴OD=OA-DA=8-1=7, ∴C点坐标为(-7,-2), 把C(-7,-2)代入 得k=14. 故答案为14. 【点睛】本题考查了反比例函数的综合题:掌握反比例函数图象上点的坐标特征;熟练运用相似比进行几何计算. 37.如图,在平面直接坐标系中,将反比例函数 的图象绕坐标原点O逆时针旋转45° 得到的曲线l,过点 , 的直线与曲线l相交于点C、D,则sin∠COD=___ . 【答案】 . 【分析】由题 , ,可得OA⊥OB,建立如图新的坐标系,OB为x′轴,OA 为y′轴,利用方程组求出C、D的坐标,根据勾股定理求得OC、OD的长,根据S =S -S 计 OCD OBC OBD △ △ △ 算求得△OCD的面积,根据三角形面积公式求得CE的长,然后解直角三角形即可求得sin∠COD的 值. 【详解】∵ , ∴ , , , ∴ , ∴OA⊥OB, 建立如图新的坐标系,OB为x′轴,OA为y′轴.在新的坐标系中,A(0,2),B(4,0), ∴直线AB解析式为y′=- x′+2, 由 ,解得 或 , ∴C(1, ),D(3, ), ∴S =S -S = , OCD OBC OBD △ △ △ ∵C(1, ),D(3, ), ∴OC= = ,OD= = , 作CE⊥OD于E, ∵S = OD•CE=2, OCD △ ∴CE= , ∴sin∠COD= = , 故答案为 . 【点睛】本题考查坐标与图形的性质、反比例函数的性质等知识,解题的关键是学会建立新的坐 标系解决问题,属于中考填空题中的压轴题.38.在平面直角坐标系中,正方形ABCD的位置如图所示,点A的坐标为(1,0),点D的坐标为 (0,2).延长CB交x轴于点A ,作第1个正方形A B C C;延长C B 交x轴于点A ,作第2个正方形 1 1 1 1 1 1 2 A B C C ,…,按这样的规律进行下去,第2019个正方形的面积是_________. 2 2 2 1 【答案】 【分析】先利用勾股定理求出AB=BC=AD,再用三角形相似得出A B= ,A B =( ) ,找 1 2 2 出规律A B =( )2019 ,即可. 2019 2019 【详解】∵点A的坐标为(1,0),点D的坐标为(0,2), ∴OA=1,OD=2,BC=AB=AD= ∵正方形ABCD,正方形A B C C, 1 1 1 ∴∠OAD+∠A AB=90°,∠ADO+∠OAD=90°, 1 ∴∠A AB=∠ADO, 1 ∵∠AOD=∠A BA=90°, 1 ∴△AOD∽△A BA, 1 ∴ , ∴ , ∴ , ∴A B =A C=A B+BC= , 1 1 1 1 同理可得, , 同理可得, ,同理可得, , ∴S正方形 , 故答案为 . 【点睛】此题考查正方形的性质,坐标与图形性质,相似三角形的判定与性质,解题关键在于找 到规律. 39.如图,矩形ABCD中,AE= AD,将△ABE沿BE折叠后得到△GBE,延长BG交CD于F点, 若CF=FD=3,则BC的长为_____. 【答案】6 【分析】延长BF交AD的延长线于点H,证明△BCF≌△HDF(AAS),由全等三角形的性质得出BC =DH,由折叠的性质得出∠A=∠BGE=90°,AE=EG,设AE=EG=x,则AD=BC=DH=3x,得出 EH=5x,由锐角三角函数的定义及勾股定理可得出答案. 【详解】解:延长BF交AD的延长线于点H, ∵四边形ABCD是矩形, ∴AD=BC,AD∥BC,∠A=∠BCF=90°, ∴∠H=∠CBF, 在△BCF和△HDF中, , ∴△BCF≌△HDF(AAS), ∴BC=DH,∵将△ABE沿BE折叠后得到△GBE, ∴∠A=∠BGE=90°,AE=EG, ∴∠EGH=90°, ∵AE= AD, ∴设AE=EG=x,则AD=BC=DH=3x, ∴ED=2x, ∴EH=ED+DH=5x, 在Rt△EGH中,sin∠H= , ∴sin∠CBF= , ∴ , ∴BF=15, ∴BC= , 故答案为: . 【点睛】本题考查了折叠的性质,矩形的性质,全等三角形的判定及性质,要注意折叠的图形中 的相等的角和相等的线段,解题关键是利用倍长中线法正确作出辅助线证 BCF≌△HDF. △ 40.如图,已知直线l:y=﹣x+4分别与x轴、y轴交于点A,B,双曲线 (k>0,x>0)与直 线l不相交,E为双曲线上一动点,过点E作EG⊥x轴于点G,EF⊥y轴于点F,分别与直线l交于点 C,D,且∠COD=45°,则k=_____. 【答案】8 【分析】证明 ODA∽△CDO,则OD2=CD•DA,而则OD2=(4﹣n)2+n2=2n2﹣8n+16,CD= △(m+n﹣4),DA= n,即可求解. 【详解】解:点A、B的坐标分别为(4,0)、(0,4), 即:OA=OB,∴∠OAB=45°=∠COD, ∠ODA=∠ODA,∴△ODA∽△CDO, ∴OD2=CD•DA, 设点E(m,n),则点D(4﹣n,n),点C(m,4﹣m), 则OD2=(4﹣n)2+n2=2n2﹣8n+16, CD= (m+n﹣4),DA= n, 即2n2﹣8n+16= (m+n﹣4)× n, 解得:mn=8=k, 故答案为8. 【点睛】本题考查的是反比例函数与一次函数的交点问题,涉及到三角形相似、一次函数等知识 点,关键是通过设定点E的坐标,确定相关线段的长度,进而求解. 41.如图,在平面直角坐标系中,矩形OABC的顶点A、C分别在 轴的负半轴、 轴的正半轴上, 点B在第二象限.将矩形OABC绕点O顺时针旋转,使点B落在 轴上,得到矩形ODEF,BC与OD 相交于点M.若经过点M的反比例函数y= (x<0)的图象交AB于点N,的图象交AB于点N, S 矩形 =32,tan∠DOE= ,,则BN的长为______________. OABC 【答案】3 【详解】试题分析:利用矩形的面积公式得到AB•BC=32,再根据旋转的性质得AB=DE,OD=OA,接着利用正切的定义得到an∠DOE= ,所以DE•2DE=32,解得DE=4,于是得到AB=4, OA=8,同样在Rt△OCM中利用正切定义得到tan∠COM= ,由OC=AB=4,可求得MC=2, 则M(﹣2,4),易得反比例函数解析式为y=﹣ ,然后确定N点坐标(﹣8,1),可知BN=4﹣ 1=3. 故答案为3. 考点:1、坐标与图形变化﹣旋转;2、反比例函数系数k的几何意义;3、解直角三角形 42.如图1,在Rt△ABC中,∠C=90°,AB=10,AC=6.动点P,Q从点A同时出发,点P以每 秒5个单位长度的速度沿边AB向终点B匀速运动.点Q以每秒6个单位长度的速度沿边AC向终 点C匀速运动,连接PQ,以PQ为边作正方形PQMN,使得点M,C始终在PQ的同侧.设点P 运动的时间为ts. (1)PQ_____PA(填“>”“<“或“=”). (2)如图2,当点M落在边BC上时,t=_____s. 【答案】 【分析】(1)过点Q作 于点H,设 , ,证明 ,由 列式表示出AH和HQ的长,再用勾股定理表示出PQ的长,即可得到PQ和PA的 数量关系;(2)过点Q作 于点H,由(1)的结论,证明 ,得 ,即可求出t 的值. 【详解】解:(1)如图, 过点Q作 于点H, ∵∠C=90°,AB=10,AC=6, ∴ , 设 , , ∵ , , ∴ , ∴ , ∴ , 即 , , ∴ , ∵ , ∴ , 故答案是: ; (2)如图,过点Q作 于点H,由(1)知, , ∴ , ∵四边形QPNM是正方形, ∴ , ∵ , , ∴ , ∵ , ∴ , ∴ , ∴ ,解得 , 故答案是: . 【点睛】本题考查动点问题,解题的关键是掌握相似三角形的性质和判定. 43.如图,直线 与双曲线 交于A、B两点,与x轴、y轴分别交于E、F两点, 连接OA、OB,若 ,则 ______. 【答案】 【分析】根据直线解析式求出点E、F的坐标,过点O作OM⊥AB于点M,设A(x ,y )、B(x , 1 1 2 y ),联立两函数解析式求解可得y =x ,y =x ,从而判断出点A、B关于OM对称,并求出点A的 2 1 2 2 1 坐标,然后代入双曲线解析式计算即可得解. 【详解】解:令y=0,则﹣x+b=0, 解得x=b, 令x=0,则y=b,所以,点E(b,0)、F(0,b), 所以,OE=OF, 过点O作OM⊥AB于点M,则ME=MF, 设点A(x ,y )、B(x ,y ), 1 1 2 2 联立 , 消掉y得,x2﹣bx+1=0, 根据根与系数的关系,x •x =1, 1 2 所以y •y =1, 1 2 所以y =x ,y =x , 1 2 2 1 所以OA=OB, 所以AM=BM(等腰三角形三线合一), ∵S =S +S , AOB OBF OAE △ △ △ ∴FB=BM=AM=AE, 所以点A( b, b), ∵点A在双曲线y= 上, ∴ b× b=1, 解得b= . 故答案为 . 【点睛】本题考查了反比例函数与一次函数的交点问题,联立两函数解析式求解得到OA=OB,然 后根据三角形的面积求出点A、B、M是线段EF的四等分点,并求出点A的坐标是解题的关键. 44.如图,已知,在矩形AOBC中,OB=4,OA=3,分别以OB、OA所在直线为x轴和y轴,建立如图所示的平面直角坐标系,F是边BC上的一个动点(不与B、C重合),过F点的反比例函数y (k>0)的图象与AC边交于点E,将△CEF沿E对折后,C点恰好落在OB上的点D处,则k的 值为____. 【答案】 . 【分析】先证明Rt△MED∽Rt△BDF,则 ,而EM:DB=ED:DF=4:3,求出DB, 在Rt△DBF中,利用勾股定理即可求解. 【详解】如图,过点E作EM⊥x轴于点M, ∵将△CEF沿EF对折后,C点恰好落在OB上的D点处, ∴∠EDF=∠C=90°,EC=ED,CF=DF, ∴∠MDE+∠FDB=90°,而EM⊥OB, ∴∠MDE+∠MED=90°, ∴∠MED=∠FDB, ∴Rt△MED∽Rt△BDF, 又∵EC=AC﹣AE=4 ,CF=BC﹣BF=3 , ∴ED=4 ,DF=3 ,∴ , ∵EM:DB=ED:DF=4:3,而EM=3, ∴DB , 在Rt△DBF中,DF2=DB2+BF2,即(3 )2=( )2+( )2, 解得:k , 故答案为: . 【点睛】本题考查了反比例函数与矩形的综合,涉及到图形折叠的性质、勾股定理以及三角形相 似的判定与性质,综合性强,难度适中. 45.如图,已知正方形ABCD的边长为6,E为BC的中点,将 ABE沿直线AE折叠后,点B落在点 F处,AF交对角线BD于点G,则FG的长是___________. △ 【答案】 【分析】建立以B为原点的平面直角坐标系,运用勾股定理求出FM的长度,求出F点坐标,可求 得 及 ,联立可求得 ,利用长度公式即可求出FG的长度. 【详解】解:建立如图平面直角坐标系设延长EF交CD于M,连AM,过F作FH⊥BC于H 在正方形ABCD中∠ABC=∠ADC=90°,AB=AD 折叠可知△ABE≌△AFE ∴∠AFE=∠ABE=90°,AB=AF ∴∠AFM=∠ADM=90°,AF=AD 又∵AM=AM ∴△AFM≌△ADM ∴设FM=DM=x,MC=6-x 在Rt△ECM中, ∴ ∴x=2 ∵FH∥CM ∴ ∴ ∴ ∴ ∴∴ ∵B(0,0),D(6,6) ∴ ∴ ∴ ∴ 故答案为: 【点睛】本题考查了正方形的综合性题目,难度系数较大,建立恰当的平面直角坐标系是解题的 关键. 46.如图,已知点A(2,3)和点B(0,2),点A在反比例函数y= 的图象上.作射线AB,再将射线AB 绕点A按逆时针方向旋转45°,交反比例函数图象于点C,则点C的坐标为________. 【答案】(﹣1,﹣6). 【详解】如图所示,过A作AE⊥x轴于E,以AE为边在AE的左侧作正方形AEFG,交AB于P,根据点A(2,3)和点B(0,2),可得直线AB的解析式为 , 由A(2,3),可得OF=1, 当x=﹣1时,y=﹣ +2= ,即P(﹣1, ), ∴PF= , 将△AGP绕点A逆时针旋转90°得△AEH,则△ADP≌△ADH, ∴PD=HD,PG=EH= , 设DE=x,则DH=DP=x+ ,FD=1+2﹣x=3﹣x, 在Rt△PDF中,PF2+DF2=PD2,即 , 解得x=1, ∴OD=2﹣1=1, 即D(1,0), 根据点A(2,3)和点D(1,0), 可得直线AD的解析式为y=3x﹣3,解方程组: , 可得: 或 , ∴C(﹣1,﹣6), 故答案为(﹣1,﹣6). 47.如图,射线AM,BN都垂直于线段AB,点E为AM上一点,过点A作BE的垂线AC分别交BE,BN于点F,C,过点C作AM的垂线CD,垂足为D.若CD=CF,则 ______. 【答案】 【分析】由于AD∥BC,易得△AEF∽△CBF,那么AE:BC=AF:FC,因此只需求得AF、FC的比 例关系即可.可设AF=a,FC=b;证明△AFB∽△ABC,继而可得AB2=AF•AC,联立CD=CF=AB, 即可求得AF、FC的比例关系,由此得解. 【详解】设AF=a,FC=b; ∵AM⊥AB,BN⊥AB, ∴AM∥BN; ∴△AEF∽△CBF; ∴AE:BC=AF:FC=a:b; Rt△ABC中,BF⊥AC, ∴∠ABC=∠AFB=90°, 又∠BAC=∠FAB, ∴△AFB∽△ABC, ∴ , ∴AB2=AF•AC=a(a+b); ∵AM⊥AB,BN⊥AB,CD⊥AM, ∴四边形ABCD是矩形, ∴CD=AB=CF=b; ∴b2=a(a+b), 即a2+ab-b2=0, ( )2+( )-1=0 解得 = (负值舍去);∴ = . 故答案为: . 【点睛】此题主要考查了矩形的性质、直角三角形及相似三角形的性质.能够正确的在Rt△ABC 中求得AF、FC的比例关系是解答此题的关键. 48.如图,等边 的边 与 轴交于点 ,点 是反比例函数 图像上的一点, 且 ,则等边 的边长为______. 【答案】 【分析】设等边三角形的边长为b,过点A作x轴的平行线交y轴于点M,设AM=a 过点B作y轴的平行线交AM的延长线于点E,过点O作ON⊥AB与点N,AN= AB= b,ON= b,AN= b,AC= b,则CN=AN-AC= b,CM∥BE,则 ,则 ,则AE=3a,可 证 ONC∽△AEB, ,即 ,解得:BE= ,AB2=AE2+BE2,则b2= a2+9a2= △ a2,点A(a, ),则AB2=a2+ ,即可求解. 【详解】设等边三角形的边长为b,过点A作x轴的平行线交y轴于点M,设AM=a 过点B作y轴的平行线交AM的延长线于点E,过点O作ON⊥AB与点N,则AN= AB= b,ON= b,AC= b, 则CN=AN-AC= b, ∵CM∥BE, ∴ ,即 , ∴AE=3a, ∵∠OCN=∠ACM=∠ABE, ∴△ONC∽△AEB, ∴ ,即 , 解得:BE= ∵AB2=AE2+BE2,即b2= a2+9a2= a2, ∵点A(a, ), 则AB2=a2+ 解得:a2=3,则b=2 , 故答案为2 【点睛】本题为反比例函数综合运用,涉及到三角形相似、平行线分线段成比例、等腰三角形的 性质等,综合性很强,难度很大. 49.如图,OA在 x轴上,OB在y轴上,OA=8,AB=10,点C在边OA上,AC=2, P的圆心P 在线段BC上,且 P与边AB,AO都相切.若反比例函数 (k≠0)的图象经过圆心P,则 k=________________. 【答案】-5 【详解】方法1:作PD⊥OA于D,PE⊥AB于E,作CH⊥AB于H,如图,设⊙P的半径为r, ∵⊙P与边AB,AO都相切, ∴PD=PE=r,AD=AE,在Rt△OAB中, ∵OA=8,AB=10, ∴OB= =6, ∵AC=2, ∴OC=6, ∴△OBC为等腰直角三角形, ∴△PCD为等腰直角三角形, ∴PD=CD=r, ∴AE=AD=2+r, ∵∠CAH=∠BAO, ∴△ACH∽△ABO, ∴ ,即 ,解得CH= , ∴AH= = = ,∴BH= = , ∵PE∥CH, ∴△BEP∽△BHC, ∴ ,即 ,解得r=1,∴OD=OC﹣CD=6﹣1=5,∴P(5,﹣1),∴k=5×(﹣1)=﹣5.故答案为﹣5. 方法2 由 , , , 可得 ,故 .即点P的纵坐标为-1,又因为点P在直线BC: 上,所以点P的横坐 标为5,故 . 方法3 注意到AP平分 ,也可利用角平分线性质求解.由 ,可设 , . 于是 ,可得 . 又因为 ,所以 . 【点睛】本题考查了1.切线的性质;2.一次函数图象上点的坐标特征;3.反比例函数图象上点 的坐标特征;是综合运用题,解题的关键是合理作出辅助线。 50.如图,矩形ABCD中,AB=20,AD=30,点E,F分别是AB,BC边上的两个动点,且 EF=10,点G为EF的中点,点H为AD边上一动点,连接CH、GH,则GH+CH的最小值为 _______. 【答案】45 【分析】延长BA至点 使得 ,此时 三点共线, ,此时 为最小值. 【详解】解:如图所示:延长BA至点 使得 , 当 三点共线时, , 点G为EF中点,此时 ,即: , 此时 为最小值, 则: , 故答案为:45 【点睛】本题考查线段相加的最值问题,解题关键找对称点即可.