当前位置:首页>文档>专题07三角函数7.1任意角的三角函数题型归纳讲义-2022届高三数学一轮复习(解析版)_新高考复习资料_2022年新高考资料_2022届高三数学一轮复习:题型归纳讲义(原卷版+解析版)8.1更新

专题07三角函数7.1任意角的三角函数题型归纳讲义-2022届高三数学一轮复习(解析版)_新高考复习资料_2022年新高考资料_2022届高三数学一轮复习:题型归纳讲义(原卷版+解析版)8.1更新

  • 2026-04-21 01:52:29 2026-04-21 01:52:29

文档预览

专题07三角函数7.1任意角的三角函数题型归纳讲义-2022届高三数学一轮复习(解析版)_新高考复习资料_2022年新高考资料_2022届高三数学一轮复习:题型归纳讲义(原卷版+解析版)8.1更新
专题07三角函数7.1任意角的三角函数题型归纳讲义-2022届高三数学一轮复习(解析版)_新高考复习资料_2022年新高考资料_2022届高三数学一轮复习:题型归纳讲义(原卷版+解析版)8.1更新
专题07三角函数7.1任意角的三角函数题型归纳讲义-2022届高三数学一轮复习(解析版)_新高考复习资料_2022年新高考资料_2022届高三数学一轮复习:题型归纳讲义(原卷版+解析版)8.1更新
专题07三角函数7.1任意角的三角函数题型归纳讲义-2022届高三数学一轮复习(解析版)_新高考复习资料_2022年新高考资料_2022届高三数学一轮复习:题型归纳讲义(原卷版+解析版)8.1更新
专题07三角函数7.1任意角的三角函数题型归纳讲义-2022届高三数学一轮复习(解析版)_新高考复习资料_2022年新高考资料_2022届高三数学一轮复习:题型归纳讲义(原卷版+解析版)8.1更新
专题07三角函数7.1任意角的三角函数题型归纳讲义-2022届高三数学一轮复习(解析版)_新高考复习资料_2022年新高考资料_2022届高三数学一轮复习:题型归纳讲义(原卷版+解析版)8.1更新
专题07三角函数7.1任意角的三角函数题型归纳讲义-2022届高三数学一轮复习(解析版)_新高考复习资料_2022年新高考资料_2022届高三数学一轮复习:题型归纳讲义(原卷版+解析版)8.1更新
专题07三角函数7.1任意角的三角函数题型归纳讲义-2022届高三数学一轮复习(解析版)_新高考复习资料_2022年新高考资料_2022届高三数学一轮复习:题型归纳讲义(原卷版+解析版)8.1更新
专题07三角函数7.1任意角的三角函数题型归纳讲义-2022届高三数学一轮复习(解析版)_新高考复习资料_2022年新高考资料_2022届高三数学一轮复习:题型归纳讲义(原卷版+解析版)8.1更新
专题07三角函数7.1任意角的三角函数题型归纳讲义-2022届高三数学一轮复习(解析版)_新高考复习资料_2022年新高考资料_2022届高三数学一轮复习:题型归纳讲义(原卷版+解析版)8.1更新
专题07三角函数7.1任意角的三角函数题型归纳讲义-2022届高三数学一轮复习(解析版)_新高考复习资料_2022年新高考资料_2022届高三数学一轮复习:题型归纳讲义(原卷版+解析版)8.1更新
专题07三角函数7.1任意角的三角函数题型归纳讲义-2022届高三数学一轮复习(解析版)_新高考复习资料_2022年新高考资料_2022届高三数学一轮复习:题型归纳讲义(原卷版+解析版)8.1更新
专题07三角函数7.1任意角的三角函数题型归纳讲义-2022届高三数学一轮复习(解析版)_新高考复习资料_2022年新高考资料_2022届高三数学一轮复习:题型归纳讲义(原卷版+解析版)8.1更新

文档信息

文档格式
docx
文档大小
0.086 MB
文档页数
9 页
上传时间
2026-04-21 01:52:29

文档内容

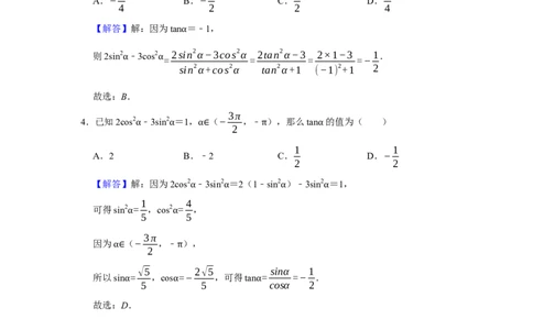
专题七 《三角函数》讲义 7.1 任意角的三角函数 知识梳理 . 任意角的三角函数 1.角的概念的推广 (1)定义:角可以看成平面内一条射线绕着端点从一个位置旋转到另一个位置所成的图 形. (2)分类 (3)终边相同的角:所有与角α终边相同的角,连同角α在内,可构成一个集合S={β|β =α+2kπ,k∈Z}. 2.弧度制的定义和公式 (1)定义:把长度等于半径长的弧所对的圆心角叫做1弧度的角,弧度记作rad. (2)公式: 角α的弧度数公式 |α|=(l表示弧长) 角度与弧度的换算 ①1°=rad;②1 rad=° 弧长公式 l=|α|r 扇形面积公式 S=lr=|α|r2 3.任意角的三角函数 (1)定义:设α是一个任意角,它的终边与单位圆交于点P(x,y),那么sin α=y,cos α=x,tan α=(x≠0). (2)几何表示:三角函数线可以看作是三角函数的几何表示.正弦线的起点都在x轴上, 余弦线的起点都是原点,正切线的起点都是(1,0).如图中有向线段MP,OM,AT分别叫 做角α的正弦线、余弦线和正切线. 4.同角三角函数的基本关系 (1)平方关系:sin2α+cos2α=1. (2)商数关系:=tan_α(α≠+kπ,k∈Z). 5.三角函数的诱导公式 公式 一 二 三 四 五 六 角 2kπ+α π+α -α π-α -α +α(k∈Z) 正弦 sin α -sin_α -sin_α sin_α cos_α cos_α 余弦 cos_α -cos_α cos_α -cos_α sin_α -sin_α 正切 tan α tan_α -tan_α -tan_α 函数名改变,符号看象 口诀 函数名不变,符号看象限 限 题型一 . 同角之间的关系 3√10 1.已知角 的终边经过点P(1,m),且sin =− ,则cos =( ) 10 α α α √10 √10 √10 1 A.± B.− C. D. 10 10 10 3 【解答】解:因为角a的终边经过点P(1,m),所以OP =√1+m2 因为sin 3√10,所以: m 3√10; =− =− 10 √1+m2 10 α 所以m=﹣3.(正值舍) 故cos 1 √10; = = √1+m2 10 α 故选:C. 1 2.已知a是第二象限角,tanα=− ,则cos =( ) 3 α 3√10 3√10 √10 √10 A. B.− C. D.− 10 10 10 10 1 【解答】解:∵ 为第二象限角,tan =− , 3 α α ∴cos √ 1 3√10. =− =− 1+tan2α 10 α 故选:B. π 3.已知α∈(0, ),tanα=√2cosα,则sin =( ) 2 α √3 √6 √2 √3 A. B. C. D. 3 3 2 2π 【解答】解:∵α∈(0, ),tanα=√2cosα, 2 sinα sinα ∴ =√2cos ,即cos2 = , cosα √2 α α 又∵sin2 +cos2 =1, αsinα α ∴sin2 + =1,即√2sin2 +sin −√2=0, √2 α α α √2 解得sin = ,负值舍去. 2 α 故选:C. 4 π √2 4.已知sin +cos = (0< < ),则sin ﹣cos 的值为 − . 3 4 3 θ θ θ θ θ 4 π 【解答】解:∵sin +cos = >0,0< < , 3 4 θ θ θ 16 ∴(sin +cos )2=sin2 +cos2 +2sin cos =1+2sin cos = ,sin ﹣cos <0, 9 θ θ θ θ θ θ θ θ θ θ 7 ∴2sin cos = , 9 θ θ 2 ∴(sin ﹣cos )2=sin2 +cos2 ﹣2sin cos =1﹣2sin cos = , 9 θ θ θ θ θ θ θ θ √2 则sin ﹣cos =− . 3 θ θ √2 故答案为:− . 3 题型二 . 齐次式 1.已知tan =2,则2sin2α+cos2α 的值为( ) sin2α−3cos2α α A.9 B.6 C.﹣2 D.﹣3 【解答】解:因为tan =2, α 则2sin2α+cos2α 2tan2α+1 2×4+1 9. = = = sin2α−3cos2α tan2α−3 4−3 故选:A. 1 1 2.已知tan =− ,则 =( ) 2 sin2α−cos2α α5 5 5 5 A.− B.− C. D. 4 8 8 4 1 +1 1 sin2α+cos2α tan2α+1 4 5 【解答】解: = = = =− . sin2α−cos2α 2sinαcosα−cos2α 2tanα−1 1 8 2×(− )−1 2 故选:B. 3.已知tan =﹣1,则2sin2 ﹣3cos2 =( ) 7 α α 1 α 1 3 A.− B.− C. D. 4 2 2 4 【解答】解:因为tan =﹣1, 则2sin2 ﹣3cos2 2s α in2α−3cos2α 2tan2α−3 2×1−3 1. = = = =− sin2α+cos2α tan2α+1 (−1) 2+1 2 α α 故选:B. 3π 4.已知2cos2 ﹣3sin2 =1, (− ,﹣ ),那么tan 的值为( ) 2 α α α∈ π α 1 1 A.2 B.﹣2 C. D.− 2 2 【解答】解:因为2cos2 ﹣3sin2 =2(1﹣sin2 )﹣3sin2 =1, 1 4α α α α 可得sin2 = ,cos2 = , 5 5 α α 3π 因为 (− ,﹣ ), 2 α∈ π √5 2√5 sinα 1 所以sin = ,cos =− ,可得tan = =− . 5 5 cosα 2 α α α 故选:D. 题型三 . asinx±bcosx 2cosα−sinα 1.已知cos ﹣3sin =0,则 的值为( ) cosα+sinα α α 5 4 5 4 A.− B.− C. D. 4 5 4 5 【解答】解:因为cos ﹣3sin =0, α α所以cos =3sin , 2cosαα−sinαα 6sinα−sinα 5 则 = = . cosα+sinα 3sinα+sinα 4 故选:C. 4 2.已知sin +cos = ,则sin •cos =( ) 3 α α α α 7 7 7 7 A.− B.− C. D. 9 18 18 9 4 【解答】解:已知sin +cos = , 3 α α 16 16 两边平方可得:sin2 +cos2 +2sin cos = ,整理得:1+2sin •cos = , 9 9 α α α α α α 7 解得:sin •cos = . 18 α α 故选:C. √3 1 3.已知sinx+cosx= ,则tanx+ =( ) 2 tanx A.﹣6 B.﹣7 C.﹣8 D.﹣9 √3 3 【解答】解:由sinx+cosx= 得到:1+2sinxcosx= , 2 4 1 得sinxcosx=− , 8 1 sinx cosx 1 所以tanx+ = + = =−8. tanx cosx sinx sinxcosx 故选:C. π 3√5 4.若 ( , ),2sin +cos = ,则tan =( ) 2 5 α∈ π α α α 2 2 A.﹣2 B.2 C. D.− 11 11 3√5 【解答】解:由2sin +cos = , 5 α α 9 9 两边平方,可得:(2sin +cos )2= ,即4sin2 +4sin cos +cos2 = . 5 5 α α α α α α ∴4sin2α+4sinαcosα+cos2α 9, = sin2α+cos2α 5∴4tan2α+4tanα+1 9,则11tan2 +20tan ﹣4=0. = tan2α+1 5 α α 2 解得:tan =﹣2或tan = . 11 α α π ∵ ( , ), 2 α∈ π ∴tan =﹣2. 故选:αA. 题型四 . 诱导公式 sin(2π−α)cos(π−α) 3 = 1.已知sin( + )= ,则 π ( ) 5 sin( −α) 2 π α 4 4 3 3 A.− B. C.− D. 5 5 5 5 3 3 【解答】解:∵sin( + )= =−sin ,∴sin =− , 5 5 π α α α sin(2π−α)cos(π−α) −sinα⋅(−cosα) = = 3 ∴ π cosα sin =− , sin( −α) 5 2 α 故选:C. π 3 2.已知sin( − )= ,则cos( + )=( ) 2 5 α π α 3 3 4 4 A.− B. C. D. 5 5 5 5 π 3 【解答】解:∵sin( −α)= , 2 5 3 ∴cos = , 5 α 3 ∴cos( + )=﹣cos =− . 5 π α α 故选:A. π √3 3π √3 3.sin( +α)= ,则sin( −α)= . 4 2 4 2 π 3π 【解答】解:∵ + + − = , 4 4 α α π3π π ∴ − = ﹣( + ), 4 4 α π α 3π π π √3 即sin( − )=sin[ ﹣( + )]=sin( + )= , 4 4 4 2 α π α α √3 故答案为: . 2 π 5π 2π 4.已知cos( −θ)=a(|a|≤1),则cos( +θ)+sin( −θ)= 0 . 6 6 3 5π 2π 3π 【解答】解:∵( + )+( − )= , 6 3 2 θ θ 2π 3π 5π ∴ − = −( + ), 3 2 6 θ θ 5π 2π ∴cos( + )+sin( − ) 6 3 θ θ 5π 3π 5π =cos( + )+sin[ −( + )] 6 2 6 θ θ 5π 5π =cos( + )﹣cos( + ) 6 6 θ θ =0. 故答案为:0. 课后作业 . 任意角的三角函数 1.已知角 的终边上有一点P(﹣4a,3a)(a≠0),则2sin +cos 的值是( ) 2 θ 2 2 2 θ θ A. B.− C. 或− D.不确定 5 5 5 5 【解答】解:角 的终边经过点P(﹣4a,3a),故|OP| 5|a|; =√(−4a)❑ 2+(3a)❑ 2= α 由三角函数的定义知 3 4 2 当a>0时,sin = ,cos =− ,得2sin +cos = ; 5 5 5 α α α α 3 4 2 当a<0时,sin =− ,cos = ,得2sin +cos =− . 5 5 5 α α α α故选:C. sin2A+cos2A 2.已知tanA=2,则 =( ) 1−cos2A 3 5 3 5 A. B. C. D. 2 2 8 8 【解答】解:因为tanA=2, 所以sin2A+cos2A 2sinAcosA+cos2A 2sinAcosA+cos2A 2tanA+1 5. = = = = 1−cos2A 1−(1−2sin2A) 2sin2A 2tan2A 8 故选:D. √5 3.已知A是三角形的内角,且sinA+cosA= ,则tanA等于 4±√15 . 2 √5 【解答】解:A是三角形的内角,sinA+cosA= ,又因为sin2A+cos2A=1, 2 1 所以2sinAcosA= ,A为锐角, 4 tanA 1 所以 = , tan2A+1 8 所以tan2A﹣8tanA+1=0, 所以tanA=4±√15. 故答案为:4±√15. sinθ+cosθ+1 4.已知2sin ﹣cos =1,则 的值为( ) sinθ−cosθ+1 θ θ 4 A. B.0 C.2 D.0或2 5 【解答】解:由题意可得2sin ﹣1=cos , 两边同时平方可得,4sin2 ﹣4θsin +1=cθos2 =1﹣sin2 , 则5sin2 ﹣4sin =0, θ θ θ θ θ θ 4 3 ∴sin =0,cos =﹣1或sinθ= ,cosθ= , 5 5 θ θ sinθ+cosθ+1 当sin =0,cos =﹣1时,则 =0, sinθ−cosθ+1 θ θ 4 3 sinθ+cosθ+1 或sinθ= ,cosθ= ,则 =2. 5 5 sinθ−cosθ+1 故选:D.π √3 π 5π 2+√3 5.已知:cos( −α)= ,则sin2 (α− )−cos( +α)的值为 . 6 3 6 6 3 【 解 答 】 解 : ∵ π π √3 2 5π π π √3 sin2 (α− )=1−cos2 ( −α)=1−( ) 2= ,cos( +α)=cos[π−( −α)]=−cos( −α)=− 6 6 3 3 6 6 6 3 π 5π π 5π 1 √3 2+√3 ∴sin2 (α− )−cos( +α)=1−cos2 ( −α)−cos( +α)=1− + = , 6 6 6 6 3 3 3 2+√3 故答案为 . 3 sin(α−5π)cos(8π−α)tan(−α−π) f(α)= 6.已知 π 3π ,其中 是第三象限角,且 sin(α− )cos( +α) 2 2 α 3π 1 √6 cos(α− )= ,则f( )= − . 2 5 12 α 【 解 答 】 解 : ∵ sin(α−5π)cos(8π−α)tan(−α−π) (−sinα)cosα(−tanα) f(α)= = =− π 3π (−cosα)sinα tan , sin(α− )cos( +α) 2 2 α 3π 1 又∵cos(α− )= , 2 5 1 ∴sin =− , 5 α ∵ 是第三象限角, ∴ α cos =−√1−sin2α=− 2√6 , 5 α sinα √6 ∴f( )=﹣tan =− =− . cosα 12 α α √6 故答案为:− . 12