当前位置:首页>文档>专题08细胞呼吸(串讲)(原卷版)_2024年新高考资料_1.2024一轮复习_备战2024年高考生物一轮复习串讲精练(新高考专用)

专题08细胞呼吸(串讲)(原卷版)_2024年新高考资料_1.2024一轮复习_备战2024年高考生物一轮复习串讲精练(新高考专用)

  • 2026-04-27 14:51:30 2026-04-27 14:51:30

文档预览

专题08细胞呼吸(串讲)(原卷版)_2024年新高考资料_1.2024一轮复习_备战2024年高考生物一轮复习串讲精练(新高考专用)
专题08细胞呼吸(串讲)(原卷版)_2024年新高考资料_1.2024一轮复习_备战2024年高考生物一轮复习串讲精练(新高考专用)
专题08细胞呼吸(串讲)(原卷版)_2024年新高考资料_1.2024一轮复习_备战2024年高考生物一轮复习串讲精练(新高考专用)
专题08细胞呼吸(串讲)(原卷版)_2024年新高考资料_1.2024一轮复习_备战2024年高考生物一轮复习串讲精练(新高考专用)
专题08细胞呼吸(串讲)(原卷版)_2024年新高考资料_1.2024一轮复习_备战2024年高考生物一轮复习串讲精练(新高考专用)
专题08细胞呼吸(串讲)(原卷版)_2024年新高考资料_1.2024一轮复习_备战2024年高考生物一轮复习串讲精练(新高考专用)
专题08细胞呼吸(串讲)(原卷版)_2024年新高考资料_1.2024一轮复习_备战2024年高考生物一轮复习串讲精练(新高考专用)
专题08细胞呼吸(串讲)(原卷版)_2024年新高考资料_1.2024一轮复习_备战2024年高考生物一轮复习串讲精练(新高考专用)
专题08细胞呼吸(串讲)(原卷版)_2024年新高考资料_1.2024一轮复习_备战2024年高考生物一轮复习串讲精练(新高考专用)
专题08细胞呼吸(串讲)(原卷版)_2024年新高考资料_1.2024一轮复习_备战2024年高考生物一轮复习串讲精练(新高考专用)
专题08细胞呼吸(串讲)(原卷版)_2024年新高考资料_1.2024一轮复习_备战2024年高考生物一轮复习串讲精练(新高考专用)
专题08细胞呼吸(串讲)(原卷版)_2024年新高考资料_1.2024一轮复习_备战2024年高考生物一轮复习串讲精练(新高考专用)
专题08细胞呼吸(串讲)(原卷版)_2024年新高考资料_1.2024一轮复习_备战2024年高考生物一轮复习串讲精练(新高考专用)
专题08细胞呼吸(串讲)(原卷版)_2024年新高考资料_1.2024一轮复习_备战2024年高考生物一轮复习串讲精练(新高考专用)
专题08细胞呼吸(串讲)(原卷版)_2024年新高考资料_1.2024一轮复习_备战2024年高考生物一轮复习串讲精练(新高考专用)
专题08细胞呼吸(串讲)(原卷版)_2024年新高考资料_1.2024一轮复习_备战2024年高考生物一轮复习串讲精练(新高考专用)
专题08细胞呼吸(串讲)(原卷版)_2024年新高考资料_1.2024一轮复习_备战2024年高考生物一轮复习串讲精练(新高考专用)

文档信息

文档格式
docx
文档大小
0.884 MB
文档页数
13 页
上传时间
2026-04-27 14:51:30

文档内容

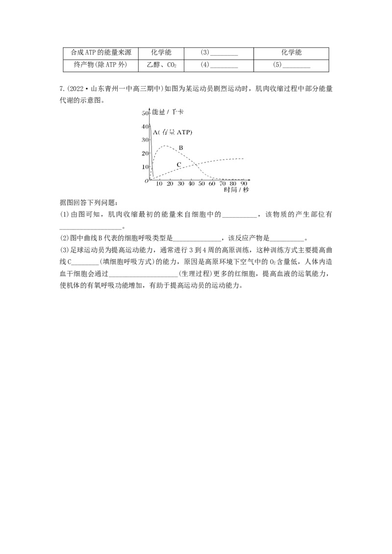
专题08 细胞呼吸 考点分布 重点难点 备考指南 1.有氧呼吸的过程及影响因素 1.细胞呼吸 理解并掌握有氧呼吸和无氧呼吸过程 2.无氧呼吸的过程及影响因素 2.实验:探究酵母菌的呼吸 和影响因素。 3.探究酵母菌的呼吸方式 方式。 理解酵母菌呼吸方式探究实验。 考点一 细胞呼吸的方式和过程 1.细胞呼吸 细胞呼吸:是指有机物在细胞内经过一系列的氧化分解,生成二氧化碳或其他产物,释放 出______并生成______的过程。 2.有氧呼吸 (1)概念:是指细胞在氧的参与下,通过多种酶的催化作用,把葡萄糖等有机物彻底氧化 分解,产生______________,释放______,生成大量ATP的过程。 (2)有氧呼吸过程分为三个阶段: 第一阶段:场所是______________。 CH O→2CHO(丙酮酸)+4[H]+少量能量 (2ATP) 6 12 6 3 4 3 第二阶段:场所是______________。 2CHO(丙酮酸)+6HO→20[H]+6CO+少量能量 (2ATP) 3 4 3 2 2 第三阶段:场所是______________。 24[H]+6O→12HO+大量能量(34ATP) 2 2 (3)写出有氧呼吸总反应式: (4)1 mol葡萄糖释放的能量中有 1 161 kJ左右的能量转移至 ATP中,其余能量则以 ______形式散失。 (5)与有机物在生物体外燃烧相比,有氧呼吸是在______的条件下进行的;有机物中的能 量是逐步释放的;一部分能量储存在ATP中。 3.无氧呼吸:细胞在______条件下,通过多种酶的催化作用,把葡萄糖等有机物不彻底地 氧化分解,产生_____________________________________,释放出少量能量,生成少量 ATP的过程。 ①第一阶段场所:______________。 过程:一分子葡萄糖分解成2分子______________,产生少量[H],并释放少量能量。②第二阶段场所:______________。 过程:第一阶段产生的丙酮酸在不同酶的催化作用下,分别生成______________,或转化 成______________,_____ATP形成。 ③总反应式 产生酒精:CH O――→2CHOH+2CO+少量能量。 6 12 6 2 5 2 产生乳酸:CH O――→2CHO+少量能量。 6 12 6 3 6 3 ④放能:1 mol葡萄糖释放196.65 kJ(生成乳酸)或225.94 kJ(生成酒精)的能量,其中 均有61.08 kJ左右转移至_____中。 1.有氧呼吸和无氧呼吸的过程图解 2.有氧呼吸和无氧呼吸的比较 项目 有氧呼吸 无氧呼吸 条件 需氧 无氧 细胞质基质(第一阶段)、线粒体 不 场所 细胞质基质 (第二、三阶段) 同 分解程度 葡萄糖被彻底分解 葡萄糖分解不彻底 点 产物 CO、HO 乳酸或酒精和CO 2 2 2 能量释放 大量 少量 反应条件 需酶和适宜温度 相 本质 氧化分解有机物,释放能量,生成ATP供生命活动所需 同 过程 第一阶段从葡萄糖到丙酮酸完全相同 点 意义 为生物体的各项生命活动提供能量 2.细胞呼吸反应式中相关物质间量的比例关系①有氧呼吸:CH O∶O∶CO=1∶6∶6。 6 12 6 2 2 ②无氧呼吸:CH O∶CO∶CHOH=1∶2∶2或CH O∶CHO=1∶2。 6 12 6 2 2 5 6 12 6 3 6 3 ③有氧呼吸和无氧呼吸消耗等量的葡萄糖时需要的 O 和产生的CO 的物质的量之比为有氧 2 2 呼吸需要的O∶有氧呼吸和无氧呼吸产生的CO 之和=3∶4。 2 2 ④产生等量的CO 时消耗的葡萄糖的物质的量之比为无氧呼吸∶有氧呼吸=3∶1。 2 1.不同生物细胞无氧呼吸的产物 生物 无氧呼吸产物 大多数植物细胞,如根细胞 酒精和CO 2 植物 马铃薯块茎、甜菜块根、玉米胚等 乳酸 动物 骨骼肌细胞、哺乳动物成熟的红细胞等 乳酸 乳酸菌等 乳酸 微生物 酵母菌等 酒精和CO 2 2.细胞呼吸中能量的释放与去向 判断细胞呼吸方式的三大依据典例1.如图是某动物体的细胞呼吸过程。下列有关叙述不正确的是( ) A.4、6分别是水和氧气 B.3产生于线粒体基质 C.产生的8主要用于合成ATP D.植物细胞也能进行该过程 典例2.细胞呼吸过程中,线粒体内膜上的质子泵能将NADH(即[H])分解产生的H+转运到膜 间隙,使膜间隙中H+浓度增大,大部分H+通过结构①回流至线粒体基质,同时驱动ATP的 合成,主要过程如下图所示。下列有关叙述不正确的是( ) A.乳酸菌不可能发生上述过程 B.该过程发生于有氧呼吸第二阶段 C.图中①是具有ATP合成酶活性的通道蛋白 D.H+由膜间隙向线粒体基质的跨膜运输属于协助扩散 典例3.下表是某种植物种子在甲、乙、丙三种不同的条件下萌发,测得的气体量(相对值) 的变化结果(假设细胞呼吸的底物都是葡萄糖)。下列说法正确的是( )项目 CO 释放量 O 吸收量 2 2 甲 12 0 乙 8 6 丙 10 10 A.在甲条件下进行的是产生CO 和乳酸的无氧呼吸 2 B.在乙条件下有氧呼吸消耗的葡萄糖比无氧呼吸多 C.在丙条件下有氧呼吸强度达到了最大值 D.在乙条件下释放的CO 来自细胞质基质和线粒体 2 考点二 影响细胞呼吸的因素及其应用 1.温度 细胞呼吸是一系列酶促反应,温度通过影响酶的活性进而影响细胞呼吸速率。 实践应用:在大棚蔬菜栽培过程中,适当增加昼夜温差以减少_____的消耗,提高产量。储 存水果、蔬菜时应选取__________。 2.O 浓度 2 O 是有氧呼吸的反应物,O 促进有氧呼吸,对无氧呼吸过程有_____作用。 2 2 实践应用:选用透气的消毒纱布包扎伤口,抑制破伤风杆菌等厌氧细菌的无氧呼吸。作物 栽培中及时松土,保证根的正常细胞呼吸。提倡慢跑,防止肌细胞无氧呼吸产生_____。稻 田定期排水,抑制无氧呼吸产生_____,防止_____中毒,烂根死亡。 曲线解读: a.b.O 浓度低时,_____呼吸占优势。 2 c.随着O 浓度增大,_____呼吸逐渐被抑制,有氧呼吸不断加强。 2d.当O 浓度达到一定值后,随着O 浓度增大,有氧呼吸不再加强(受呼吸酶数量等因素的 2 2 影响)。 3.CO 浓度 2 CO 是细胞呼吸的最终产物,积累过多会_____细胞呼吸的进行。 2 实践应用:在蔬菜和水果保鲜中,增加CO 浓度可抑制细胞呼吸,减少有机物的消耗。 2 4.水分 一定范围内,细胞中自由水含量越多,代谢越_____,细胞呼吸越强。 实践应用:浸泡种子有利于种子萌发,粮食储存前要进行晒干处理,目的是降低粮食中的 _____含量,降低细胞呼吸强度,减少储存时有机物的消耗。 影响细胞呼吸的外界因素主要有温度、氧气浓度和二氧化碳浓度,除了记住其原理外, 还应注意外部因素在影响呼吸作用时是综合起作用的,有时在其他因素满足的情况下,某 一因素成为限制因素。如动物冬眠时呼吸速率低的限制因素是温度,而夏季作物受涝死亡 其限制因素则是O 浓度。 2 典例1.如图是外界条件对植物细胞呼吸速率的影响曲线图,以下分析错误的是( ) A.从甲图可知细胞呼吸最旺盛时的温度是B点对应的温度 B.乙图中曲线Ⅰ表示有氧呼吸,曲线Ⅱ表示无氧呼吸 C.乙图中曲线Ⅰ表示的生理过程所利用的有机物主要是葡萄糖 D.乙图中曲线Ⅱ最终趋于平衡,可能是受到温度或呼吸酶数量的限制 典例2.下列有关细胞呼吸原理在生活、生产中的应用的叙述,正确的是( ) A.降低温度和氧浓度并保持干燥,有利于果蔬的储藏保鲜 B.给含有酵母菌的发酵液连续通气,可提高产酒量 C.大棚栽培蔬菜,遇到阴雨天气时,可适当降低温度 D.给稻田定期排水、晒田的主要目的是抑制水稻的生长考点三 探究酵母菌细胞呼吸的方式 1.探究酵母菌细胞呼吸的方式 检测CO 用澄清石灰水或________________。实验现象分别是石灰水________或溴麝香草 2 酚蓝________________。检测酒精用________________,实验现象是由________________。 2.实验现象 条件 澄清石灰水的变化/出现变化的快慢 重铬酸钾—浓硫酸溶液 有氧 变混浊程度高/快 无变化 无氧 变混浊程度低/慢 出现灰绿色 3.实验结论 (1)酵母菌在有氧和无氧条件下都能进行细胞呼吸。 (2)在有氧条件下产生CO 多而快,在无氧条件下进行细胞呼吸产生酒精和CO。 2 2 实验注意事项 (1)实验装置:甲组探究酵母菌的有氧呼吸,乙组探究酵母菌的无氧呼吸。甲、乙两组为对 比实验,设置的是有氧、无氧条件。 (2)变量控制 ①通入A瓶的空气中不能含有CO,以保证第三个锥形瓶中的澄清石灰水变混浊是由酵母菌 2 有氧呼吸产生的CO 所致。 2 ②B瓶应封口放置一段时间,待酵母菌将B瓶中的氧气消耗完,再连通盛有澄清石灰水的 锥形瓶,确保通入澄清石灰水中的CO 是由酵母菌无氧呼吸产生的。 2 液滴移动法探究细胞呼吸的方式 (1)探究装置:欲确认某生物的细胞呼吸方式,应设置两套实验装置,如图所示(以发芽 种子为例):(2)结果结论 实验结果 结论 装置一液滴 装置二液滴 不动 不动 只进行产生乳酸的无氧呼吸 不动 右移 只进行产生酒精的无氧呼吸 左移 右移 进行有氧呼吸和产生酒精的无氧呼吸 左移 不动 只进行有氧呼吸或进行有氧呼吸和产生乳酸的无氧呼吸 (3)误差校正:为使实验结果精确,除减少无关变量的干扰外,还应设置对照装置。对照 装置与装置二相比,不同点是用“煮熟的种子”代替“发芽种子”,其余均相同。 对比实验”:对比实验中两组都是实验组,两组之间相互对照。教材中对比实验的实例有: ①探究酵母菌细胞呼吸的方式;②鲁宾和卡门的同位素标记法实验;③赫尔希和蔡斯采用 放射性同位素标记T 噬菌体侵染细菌的实验等。 2 典例1.下表是某种植物种子在甲、乙、丙三种不同的条件下萌发,测得的气体量(相对 值)的变化结果(假设细胞呼吸的底物都是葡萄糖)。下列说法正确的是( ) 项目 CO 释放量 O 吸收量 2 2 甲 12 0 乙 8 6 丙 10 10 A.在甲条件下进行的是产生CO 和乳酸的无氧呼吸 2 B.在乙条件下有氧呼吸消耗的葡萄糖比无氧呼吸多 C.在丙条件下有氧呼吸强度达到了最大值 D.在乙条件下释放的CO 来自细胞质基质和线粒体 2典例2.(2019·大连模拟)如图表示萌发的小麦种子中可能发生的相关生理过程,a~e表 示物质,①~④表示过程。下列有关叙述正确的是( ) A.催化反应②和④的酶都存在于细胞质基质中 B.图中物质c为[H],它只在有氧呼吸过程中产生 C.图中①②过程主要发生在小麦种子萌发早期,其中e为ATP D.①④③过程为有氧呼吸的三个阶段,其中物质a、d分别是丙酮酸和O 2 典例1.(2020·云南省曲靖市高三二模)某同学为了探究酵母菌的细胞呼吸方式,将少量的 酵母菌混入适量的面粉揉成光滑面粉团后均等分装在2个洁净的塑料袋中,一组充满空气 (甲组),一组则排净空气(乙组),扎紧袋口后放在相同且适宜的环境中观察 20~30 min。 下列叙述不正确的是( ) A.一段时间后甲组的塑料袋内壁有水珠出现,面团变湿润 B.该实验中甲组为实验组,乙组为对照组 C.若放置的时间足够长,甲组也会产生酒精 D.该实验应选择大小合适,气密性良好的塑料袋 典例2.如图为某生物小组探究酵母菌呼吸方式的实验设计装置。下列叙述错误的是( ) A.实验的自变量是有无氧气,因变量是甲、丁两试管中产生CO 的多少 2 B.乙、丙两试管中的液体应先煮沸,冷却后再加入酵母菌,以消除其他微生物对实验的影 响 C.该实验装置的设计不够严谨,通入乙试管中的空气必须除去CO 2 D.甲、丁两试管中的Ca(OH) 溶液可用酸性重铬酸钾溶液替代 2 1.关于细胞呼吸过程的5点说明 (1)有氧呼吸的场所并非只是线粒体:真核细胞有氧呼吸的场所是细胞质基质和线粒体; 原核细胞无线粒体,有氧呼吸在细胞质中和细胞膜上进行。 (2)葡萄糖分子不能直接进入线粒体被分解,必须在细胞质基质中分解为丙酮酸才能进入 线粒体被分解。(3)无氧呼吸只在第一阶段产生 ATP,第二阶段不产生ATP,还要消耗第一阶段产生的 [H]。 (4)人体内产生的CO 只能是有氧呼吸的产物,人体细胞无氧呼吸的产物是乳酸,无 2 CO。 2 (5)无氧呼吸有机物氧化分解不彻底,还有大量能量储存在乳酸或者酒精中。 2.细胞呼吸影响因素的4点注意 (1)O 浓度为零时,细胞呼吸强度并不为零,因为此时细胞进行无氧呼吸。 2 (2)影响细胞呼吸的因素并不是单一的。若需要增强相关植物或器官的细胞呼吸强度,可 采取供水、升温、增氧等措施;若需降低细胞呼吸强度,可以采取干燥、低温、低氧等措 施。 (3)储存蔬菜和水果的条件并不是无氧环境。蔬菜、水果在储存时都应在低温、低氧条件 下,低温以不破坏植物组织为标准,一般为零上低温;种子储存时应保持干燥,而蔬菜、 水果储存时应保持一定的湿度。 (4)内部因素也会影响细胞呼吸的强度,如生物的遗传特性、器官种类、生长时期等。 1.(2020·全国Ⅰ,2)种子贮藏中需要控制呼吸作用以减少有机物的消耗。若作物种子呼吸 作用所利用的物质是淀粉分解产生的葡萄糖,下列关于种子呼吸作用的叙述,错误的是( ) A.若产生的CO 与乙醇的分子数相等,则细胞只进行无氧呼吸 2 B.若细胞只进行有氧呼吸,则吸收O 的分子数与释放CO 的相等 2 2 C.若细胞只进行无氧呼吸且产物是乳酸,则无O 吸收也无CO 释放 2 2 D.若细胞同时进行有氧和无氧呼吸,则吸收O 的分子数比释放CO 的多 2 2 2.(2020·山东,2)癌细胞即使在氧气供应充足的条件下也主要依赖无氧呼吸产生ATP,这 种现象称为“瓦堡效应”。下列说法错误的是( ) A.“瓦堡效应”导致癌细胞需要大量吸收葡萄糖 B.癌细胞中丙酮酸转化为乳酸的过程会生成少量ATP C.癌细胞呼吸作用过程中丙酮酸主要在细胞质基质中被利用 D.消耗等量的葡萄糖,癌细胞呼吸作用产生的NADH比正常细胞少 3.(2022·北京朝阳高三月考)将酵母菌破碎并进行差速离心处理,然后将得到的细胞质基 质和线粒体,与未经离心的酵母菌分别装入试管①~⑥中,然后加入不同的物质,进行如 下表所示的实验。下列有关叙述错误的是( ) 细胞质基质 线粒体 酵母菌 类别 ① ② ③ ④ ⑤ ⑥ 葡萄糖 - + - + + + 丙酮酸 + - + - - - 氧气 + - + - + -注:“+”表示加入了适量的相关物质,“-” 表示未加入相关物质。 A.会产生酒精和CO 的试管有②⑥ 2 B.会产生CO 和HO的试管有①③⑤ 2 2 C.根据试管②⑥的实验结果,不能判断酵母菌进行无氧呼吸的场所 D.根据试管①③⑤的实验结果,可以判断酵母菌进行有氧呼吸的场所 4.(2022·扬州中学高三月考)如图为研究人体运动强度与氧气消耗速率、血液中乳酸含量 的关系的研究结果,下列叙述正确的是( ) A.有氧呼吸时,葡萄糖所释放的能量主要储存在ATP中 B.整个ac运动阶段,产生的二氧化碳全部来自线粒体 C.运动强度为c时,机体产生较多乳酸会使内环境的pH明显下降 D.图中bc段,细胞无氧呼吸增强,此时人体获得能量的途径以无氧呼吸为主 5.(2019·淄博模拟)某同学用如图所示实验装置测定果蝇幼虫的呼吸速率。实验所用的 毛细管横截面积为1 mm2,实验开始时,打开软管夹,将装置放入25 ℃水浴中,10 min后 关闭软管夹,随后每隔5 min记录一次毛细管中液滴移动的位置,结果如下表所示。下列 分析正确的是 ( ) 实验时间(min) 10 15 20 25 30 35 液滴移动距离(mm) 0 32.5 65 100 130 162.5 A.图中X为NaOH溶液,软管夹关闭后液滴将向右移动 B.在20~30 min内氧气的平均吸收速率为6.5 mm3/min C.如将X换为清水,并向试管充入N 即可测定果蝇幼虫无氧呼吸速率 2 D.增设的对照实验只需将装置中的X换成清水,并将该装置置于相同的环境中 6.(2020·全国Ⅲ,29)参照表中内容,围绕真核细胞中ATP的合成来完成下表。 反应部位 (1)______ 叶绿体的类囊体薄膜 线粒体 反应物 葡萄糖 / 丙酮酸等 反应名称 (2)______ 光合作用的光反应 有氧呼吸的部分过程合成ATP的能量来源 化学能 (3)________ 化学能 终产物(除ATP外) 乙醇、CO (4)________ (5)________ 2 7.(2022·山东青州一中高三期中)如图为某运动员剧烈运动时,肌肉收缩过程中部分能量 代谢的示意图。 据图回答下列问题: (1)由图可知,肌肉收缩最初的能量来自细胞中的__________,该物质的产生部位有 __________________。 (2)图中曲线B代表的细胞呼吸类型是______________,该反应产物是__________。 (3)足球运动员为提高运动能力,通常进行3到4周的高原训练,这种训练方式主要提高曲 线C________(填细胞呼吸方式)的能力,原因是高原环境下空气中的O 含量低,人体内造 2 血干细胞会通过____________________(生理过程)更多的红细胞,提高血液的运氧能力, 使机体的有氧呼吸功能增加,有助于提高运动员的运动能力。