文档内容
军队文职人员招聘《物理》模拟试题二
即刻题库 www.jike.vip
1 、 单选题
A : 30°
B : 45°
C : 60°
D : 90°
2 、 单选题
A : 闭合而内的电荷代数和为零时,闭合而上各点场强一定为零
B : 闭合而内的电荷代数和不为零时,闭合而上各点场强一定处处不为零
C : 闭合而内的电荷代数和为零时,闭合而上各点场强不一定处处为零
D : 闭合而上各点场强均为零时,闭合而内一定处处无电荷
3 、 单选题
A : 曲而S的电场强度通量不变,曲而上各点场强不变
B : 曲而S的电场强度通量变化,曲面上各点场强不变
C : 曲而S的电场强度通量变化,曲面上各点场强变化
D : 曲而S的电场强度通量不变,曲而上各点场强变化
4 、 单选题A : 该处无穷小而元上电荷产生的场强
B : 该导体上全部电荷在该处产生的场强
C : 这一组导体的所有电荷在该处产生的场强
D : 以上说法都不对
5 、 单选题
A :
B : 实际测得的压强是p,体积是V
C : 实际测得的压强是p,V是1mol范氏气体的体积
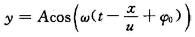
D :
6 、 单选题
A : 0
B :
C :
D :
7 、 单选题
有两个大小不相同的金属球,大球直径是小球的两倍,大球带电,小球不带电,两者相
距很远。今用细长导线将两者相连,在忽略导线的影响下,大球与小球的带电之比为
()。
A : 2
B : 1
C : 1/2
D : 0
8 、 单选题
A : 效率相等
B : 由高温热源处吸收的热量相等
C : 由低温热源处放出的热量相等
D : 在每次循环中对外作的净功相等
9 、 单选题
下而结论不属于波尔氢原子理论的基本假设的是()。
A : 氢原子由原子核和核外电子组成
B : 原于中的电子只能在一些特定圆轨道上运动,在这些轨道上电子具有一定能量并处
于稳定状态,不辐射电磁波
C :
D : 原于核外电子做圆轨道运动时,其角动量为h/(2π)的整数倍
10 、 单选题
下列说法正确是()。
A : 加速度恒定不变时,物体运动方向也不变
B : 平均速率等于平均速度的大小
C :
D : 运动物体速率不变,速度可以变化
11 、 单选题
在康普顿散射中,如果反冲电子的速度为光速的60%,则因散射使电子获得的能量是其
静止能量的()
A : 2
B : 15
C : 0.5
D : 1.25
12 、 单选题
A :
B :
C :
D : 无法确定
13 、 单选题
轮圈半径为R,其质量M均匀分布在轮缘上,长为R,质量为m的均质辐条固定在轮心和
轮缘间,辐条共有2N根。今若将辐条数减少N根,但保持轮对通过轮心、垂直于轮平而
轴的转动惯量保持不变,则轮罔的质量应为()。
A :
B :
C :
D :
14 、 单选题
在迈克尔逊干涉仪的一支光路中,放入一片折射率为n的透明介质薄膜后,测出两束光
的光程差的改变量为一个波长λ,则薄膜的厚度为()。
A :
B :
C :
D :
15 、 单选题
某种透明媒质对空气全反射的临界角为45°,则光从空气射向此媒质的布儒斯特角为
()。
A : 35.3°
B : 40.9°
C : 45°
D : 54.7°
16 、 单选题
A :
B :
C :
D :
17 、 单选题
A :
B :
C :
D :
18 、 单选题
在单缝夫琅和费衍射装置中,用波长为λ的单色光垂直入射在单缝上,若P点是衍射条纹
中的中央明纹旁第二个暗条纹的中心,则由单缝边缘衍射光束到达P点的衍射光线光程
差是()。
A : λ/2
B : λ
C : 2λ
D : 3λ
19 、 单选题A :
B :
C :
D :
20 、 单选题
A :
B :
C :
D :
21 、 单选题
宇甫飞船相对于地而以速度n作匀速直线飞行,某一时刻飞船头部的宇航员向飞船尾部
发出一个光讯号,经过Δt(飞船上的钟)时间后,被尾部的接收器收到,则由此可知飞船
的固有长度为(c表示真空中的光速)()。
A :
B :
C :
D :
22 、 单选题
A :
B :
C :
D :
23 、 单选题
用波长4000A-7000A的白光垂直照射光栅,在它的衍射光谱中,第二级光谱被第三级光
谱重迭部分的波长范围是()。
A : 4000A-4667A
B : 6000A-7000A
C : 4667A-7000A
D : 4000A-6000A
24 、 单选题A :
B :
C :
D :
25 、 单选题
光电效应和康普顿效应都包含有电子与光子的相互作用过程。对此,在以下几种理解中,
正确的是()。
A : 两种效应中电子与光子组成的系统都服从动量守恒定律和能量守恒定律
B : 两种效应都相当于电子与光子的弹性碰撞过程
C : 两种效应都属于电子吸收光子的过程
D : 光电效应是吸收光子的过程,而康普顿效应相当于光子和电子的弹性碰撞的过程
26 、 单选题
一平面简谐波沿x轴负方向传播,其振幅A=0.01m,频率v=550Hz,波速u=330m/s。
若t=0时,坐标原点处的质点达到负的最大位移,则此波的波函数为()。
A :
B :
C :
D :
27 、 单选题
在迈克尔孙干涉仪的一条光路中,放入一折射率为n,厚度为d的透明薄片,放入后,这
条光路的光程差改变了()。
A : 2(n-1)d
B : 2nd
C : nd
D : (n-1)d
28 、 单选题
两艘相向飞行的飞船原长都是L,地面观测者测得飞船的长度为L/2,则两艘飞船相对地
面的速度多大?()
A : c
B : c/2
C :
D : 2c
29 、 单选题
A : 0.20
B : 0.25
C : 0.30
D : 0.35
30 、 单选题
顺磁物质的磁导率()。
A : 比真空的磁导率略小
B : 比真空的磁导率略大
C : 远小于真空的磁导率
D : 远大于真空的磁导率
31 、 单选题
一点电荷,放在球形高斯面的中心处。下列哪一种情况,通过高斯面的电场强度通量发
生变化?()
A : 将另一点电荷放在高斯而外
B : 将另一点电荷放进高斯而内C : 将球心处的点电荷移开,但仍在高斯而内
D : 将高斯面半径缩小
32 、 单选题
A : 振幅会逐渐增大
B : 振幅会逐渐减小
C : 振幅不变
D : 振幅先减小后增大
33 、 单选题
A :
B :
C :
D :
34 、 单选题
将波函数在空间各点的振幅同时增大D倍,则粒子在空间的分布几率将()。A :
B : 增大D倍
C : 增大2D倍
D : 不变
35 、 单选题
A : 等温过程
B : 等压过程
C : 等体过程
D : 绝热过程
36 、 单选题
A :
B :
C :
D :
37 、 单选题
要使处于基态的氢原子受激后辐射出可见光谱线,最少应供给氢原子的能量为()。A : 12.09ev
B : 10.20ev
C : 1.89ev
D : 1.51ev
38 、 单选题
A : 振幅为1,初相为π
B :
C :
D :
39 、 单选题
A : 1000m/s,4000m/s
B : 4000m/s,1000m/s
C : 250m/s,1000mm/s
D : 1000m/s.250m/s
40 、 单选题
一质点从静止出发,绕半径为R的圆周做匀变速圆周运动,角加速度为β,当该质点走完
一周回到出发点时,所经历的时间()
A :
B :
C :
D :
41 、 单选题
A : 1和2
B : 1和1
C : 2和2
D : 2和1
42 、 单选题
已知弹簧的劲度系数为1.3N/cm,振幅为2.4cm,这一弹簧振子的机械能为()。
A :
B :
C :
D :
43 、 单选题
在所给出的四个图象中,哪个图象能够描述一定质量的理想气体,在可逆绝热过程中,
密度随压强的变化?()A :
B :
C :
D :
44 、 单选题
A :
B :
C :
D :
45 、 单选题
A : a′=aB : a′>a
C : a′<a
D : 不能确定
46 、 单选题
两种不同的理想气体,若它们的最概然速率相等,则它们的()。
A : 平均速率相等,方均根速率相等
B : 平均速率相等,方均根速率不相等
C : 平均速率不相等,方均根速率相等
D : 平均速率不相等,方均根速率不相等
47 、 单选题
A :
B :
C :
D :
48 、 单选题
A :
B :
C : I=OD :
49 、 单选题
A : 10.4m
B : 6.28m
C : 21.7m
D : 4.68m
50 、 单选题
按照经典的能均分定理,由刚性双原子分子组成的理想气体的定体摩尔热容量是理想气
体常数R的()。
A : 1倍
B : 1.5倍
C : 2倍
D : 2.5倍
51 、 单选题
A :
B :
C :
D :
52 、 单选题A : P点处仍为明条纹
B : P点处为暗条纹
C : 不能确定P点处是明条纹还是暗条纹
D : 无干涉条纹
53 、 单选题
A :
B :
C :
D :
54 、 单选题
一个半径为r的圆线圈置于均匀磁场中,线圈平而与磁场方向垂直,线圈电阻为R。当线
圈转过30°时,以下各量中,与线圈转动快慢无关的量是()。
A : 线圈中的感应电动势
B : 线圈中的感应电流
C : 通过线圈的感应电荷量
D : 线圈到路上的感应电场55 、 单选题
A :
B :
C :
D :
56 、 单选题
A :
B :
C :
D :
57 、 单选题
关于机械能守恒条件和动量守恒条件有以下几种说法,其中正确的是()。
A : 不受力作用的系统,其动量和机械能必然守恒
B : 所受合外力为零、内力都是保守力的系统,其机械能必然守恒
C : 不受外力,而内力都是保守力的系统,其动量和机械能必然同时守恒
D : 外力对一个系统做的功为零,则该系统的机械能和动量必然同时守恒
58 、 单选题
静止时正立方体的边长为a,当它以0.8c,的速率沿与它的一边平行的方向运动时,观察
者测得它的体积是()。
A :
B :
C :
D :
59 、 单选题
一束波长为λ的单色光由空气垂直入射到直射率为n的透明薄膜上,透明薄膜放在空气中,
要使反射光得到干涉加强,则薄膜的最小厚度为()。
A : λ/4
B : λ/4n
C : λ/2
D : λ/2n60 、 单选题
A :
B :
C :
D :
B : 实际测得的压强是p,体积是V
C : 实际测得的压强是p,V是1mol范氏气体的体积
D :
6 、 单选题
A : 0
B :
C :
D :
7 、 单选题
有两个大小不相同的金属球,大球直径是小球的两倍,大球带电,小球不带电,两者相
距很远。今用细长导线将两者相连,在忽略导线的影响下,大球与小球的带电之比为
()。
A : 2
B : 1
C : 1/2
D : 0
8 、 单选题
A : 效率相等
B : 由高温热源处吸收的热量相等
C : 由低温热源处放出的热量相等
D : 在每次循环中对外作的净功相等
9 、 单选题
下而结论不属于波尔氢原子理论的基本假设的是()。
A : 氢原子由原子核和核外电子组成
B : 原于中的电子只能在一些特定圆轨道上运动,在这些轨道上电子具有一定能量并处
于稳定状态,不辐射电磁波
C :
D : 原于核外电子做圆轨道运动时,其角动量为h/(2π)的整数倍
10 、 单选题
下列说法正确是()。
A : 加速度恒定不变时,物体运动方向也不变
B : 平均速率等于平均速度的大小
C :
D : 运动物体速率不变,速度可以变化
11 、 单选题
在康普顿散射中,如果反冲电子的速度为光速的60%,则因散射使电子获得的能量是其
静止能量的()
A : 2
B : 15
C : 0.5
D : 1.25
12 、 单选题
A :
B :
C :
D : 无法确定
13 、 单选题
轮圈半径为R,其质量M均匀分布在轮缘上,长为R,质量为m的均质辐条固定在轮心和
轮缘间,辐条共有2N根。今若将辐条数减少N根,但保持轮对通过轮心、垂直于轮平而
轴的转动惯量保持不变,则轮罔的质量应为()。
A :
B :
C :
D :
14 、 单选题
在迈克尔逊干涉仪的一支光路中,放入一片折射率为n的透明介质薄膜后,测出两束光
的光程差的改变量为一个波长λ,则薄膜的厚度为()。
A :
B :
C :
D :
15 、 单选题
某种透明媒质对空气全反射的临界角为45°,则光从空气射向此媒质的布儒斯特角为
()。
A : 35.3°
B : 40.9°
C : 45°
D : 54.7°
16 、 单选题
A :
B :
C :
D :
17 、 单选题
A :
B :
C :
D :
18 、 单选题
在单缝夫琅和费衍射装置中,用波长为λ的单色光垂直入射在单缝上,若P点是衍射条纹
中的中央明纹旁第二个暗条纹的中心,则由单缝边缘衍射光束到达P点的衍射光线光程
差是()。
A : λ/2
B : λ
C : 2λ
D : 3λ
19 、 单选题A :
B :
C :
D :
20 、 单选题
A :
B :
C :
D :
21 、 单选题
宇甫飞船相对于地而以速度n作匀速直线飞行,某一时刻飞船头部的宇航员向飞船尾部
发出一个光讯号,经过Δt(飞船上的钟)时间后,被尾部的接收器收到,则由此可知飞船
的固有长度为(c表示真空中的光速)()。
A :
B :
C :
D :
22 、 单选题
A :
B :
C :
D :
23 、 单选题
用波长4000A-7000A的白光垂直照射光栅,在它的衍射光谱中,第二级光谱被第三级光
谱重迭部分的波长范围是()。
A : 4000A-4667A
B : 6000A-7000A
C : 4667A-7000A
D : 4000A-6000A
24 、 单选题A :
B :
C :
D :
25 、 单选题
光电效应和康普顿效应都包含有电子与光子的相互作用过程。对此,在以下几种理解中,
正确的是()。
A : 两种效应中电子与光子组成的系统都服从动量守恒定律和能量守恒定律
B : 两种效应都相当于电子与光子的弹性碰撞过程
C : 两种效应都属于电子吸收光子的过程
D : 光电效应是吸收光子的过程,而康普顿效应相当于光子和电子的弹性碰撞的过程
26 、 单选题
一平面简谐波沿x轴负方向传播,其振幅A=0.01m,频率v=550Hz,波速u=330m/s。
若t=0时,坐标原点处的质点达到负的最大位移,则此波的波函数为()。
A :
B :
C :
D :
27 、 单选题
在迈克尔孙干涉仪的一条光路中,放入一折射率为n,厚度为d的透明薄片,放入后,这
条光路的光程差改变了()。
A : 2(n-1)d
B : 2nd
C : nd
D : (n-1)d
28 、 单选题
两艘相向飞行的飞船原长都是L,地面观测者测得飞船的长度为L/2,则两艘飞船相对地
面的速度多大?()
A : c
B : c/2
C :
D : 2c
29 、 单选题
A : 0.20
B : 0.25
C : 0.30
D : 0.35
30 、 单选题
顺磁物质的磁导率()。
A : 比真空的磁导率略小
B : 比真空的磁导率略大
C : 远小于真空的磁导率
D : 远大于真空的磁导率
31 、 单选题
一点电荷,放在球形高斯面的中心处。下列哪一种情况,通过高斯面的电场强度通量发
生变化?()
A : 将另一点电荷放在高斯而外
B : 将另一点电荷放进高斯而内C : 将球心处的点电荷移开,但仍在高斯而内
D : 将高斯面半径缩小
32 、 单选题
A : 振幅会逐渐增大
B : 振幅会逐渐减小
C : 振幅不变
D : 振幅先减小后增大
33 、 单选题
A :
B :
C :
D :
34 、 单选题
将波函数在空间各点的振幅同时增大D倍,则粒子在空间的分布几率将()。A :
B : 增大D倍
C : 增大2D倍
D : 不变
35 、 单选题
A : 等温过程
B : 等压过程
C : 等体过程
D : 绝热过程
36 、 单选题
A :
B :
C :
D :
37 、 单选题
要使处于基态的氢原子受激后辐射出可见光谱线,最少应供给氢原子的能量为()。A : 12.09ev
B : 10.20ev
C : 1.89ev
D : 1.51ev
38 、 单选题
A : 振幅为1,初相为π
B :
C :
D :
39 、 单选题
A : 1000m/s,4000m/s
B : 4000m/s,1000m/s
C : 250m/s,1000mm/s
D : 1000m/s.250m/s
40 、 单选题
一质点从静止出发,绕半径为R的圆周做匀变速圆周运动,角加速度为β,当该质点走完
一周回到出发点时,所经历的时间()
A :
B :
C :
D :
41 、 单选题
A : 1和2
B : 1和1
C : 2和2
D : 2和1
42 、 单选题
已知弹簧的劲度系数为1.3N/cm,振幅为2.4cm,这一弹簧振子的机械能为()。
A :
B :
C :
D :
43 、 单选题
在所给出的四个图象中,哪个图象能够描述一定质量的理想气体,在可逆绝热过程中,
密度随压强的变化?()A :
B :
C :
D :
44 、 单选题
A :
B :
C :
D :
45 、 单选题
A : a′=aB : a′>a
C : a′<a
D : 不能确定
46 、 单选题
两种不同的理想气体,若它们的最概然速率相等,则它们的()。
A : 平均速率相等,方均根速率相等
B : 平均速率相等,方均根速率不相等
C : 平均速率不相等,方均根速率相等
D : 平均速率不相等,方均根速率不相等
47 、 单选题
A :
B :
C :
D :
48 、 单选题
A :
B :
C : I=OD :
49 、 单选题
A : 10.4m
B : 6.28m
C : 21.7m
D : 4.68m
50 、 单选题
按照经典的能均分定理,由刚性双原子分子组成的理想气体的定体摩尔热容量是理想气
体常数R的()。
A : 1倍
B : 1.5倍
C : 2倍
D : 2.5倍
51 、 单选题
A :
B :
C :
D :
52 、 单选题A : P点处仍为明条纹
B : P点处为暗条纹
C : 不能确定P点处是明条纹还是暗条纹
D : 无干涉条纹
53 、 单选题
A :
B :
C :
D :
54 、 单选题
一个半径为r的圆线圈置于均匀磁场中,线圈平而与磁场方向垂直,线圈电阻为R。当线
圈转过30°时,以下各量中,与线圈转动快慢无关的量是()。
A : 线圈中的感应电动势
B : 线圈中的感应电流
C : 通过线圈的感应电荷量
D : 线圈到路上的感应电场55 、 单选题
A :
B :
C :
D :
56 、 单选题
A :
B :
C :
D :
57 、 单选题
关于机械能守恒条件和动量守恒条件有以下几种说法,其中正确的是()。
A : 不受力作用的系统,其动量和机械能必然守恒
B : 所受合外力为零、内力都是保守力的系统,其机械能必然守恒
C : 不受外力,而内力都是保守力的系统,其动量和机械能必然同时守恒
D : 外力对一个系统做的功为零,则该系统的机械能和动量必然同时守恒
58 、 单选题
静止时正立方体的边长为a,当它以0.8c,的速率沿与它的一边平行的方向运动时,观察
者测得它的体积是()。
A :
B :
C :
D :
59 、 单选题
一束波长为λ的单色光由空气垂直入射到直射率为n的透明薄膜上,透明薄膜放在空气中,
要使反射光得到干涉加强,则薄膜的最小厚度为()。
A : λ/4
B : λ/4n
C : λ/2
D : λ/2n60 、 单选题
A :
B :
C :
D :