文档内容
军队文职人员招聘《物理》模拟试题一
即刻题库 www.jike.vip
1 、 单选题
A : 匀加速直线运动,加速度沿x轴正方向
B : 匀加速直线运动,加速度沿x轴负方向
C : 变加速直线运动,加速度沿x轴正方向
D : 变加速直线运动,加速度沿x轴负方向
2 、 单选题
A :
B :
C :
D :
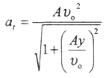
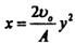
3 、 单选题A :
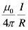
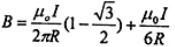
B :
C :
D :
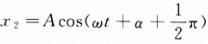
4 、 单选题
A :
B :
C :
D :
5 、 单选题A : 粒子的动量不能准确确定
B : 粒子的坐标不能准确确定
C : 粒子的动量和坐标不能同时准确确定
D : 不确定关系仅适用于电子和光子等微观粒子,不适用于宏观粒子
6 、 单选题
下列各组量子数中,那一组可以描述原子中电子的状态()。
A :
B :
C :
D :
7 、 单选题
A :
B :
C :
D :
8 、 单选题
在双缝干涉实验中,光的波长为600nm,双缝间距为2mm。双缝与屏的间距为300cm。
在屏上形成的干涉图样的条纹间距为()。
A : 0.45mm
B : 0.9mm
C : 1.2mm
D : 3.1mm
9 、 单选题
在下列给出的各种条件中,哪些是产生激光的条件()。(1)自发辐射(2)受激辐射(3)粒子
数反转(4)三能级系统(5)光学谐振腔
A : (1),(2),(3),(4)
B : (2),(3),(4),(5)
C : (1),(3),(4),(5)
D : (1),(2),(4),(5)
10 、 单选题
A :
B :
C :
D :
11 、 单选题
A :
B :
C :
D :
12 、 单选题
在光栅光谱中,假如所有偶数次级的主极大,都恰好在单缝衍射的暗纹方向上,因而实
际上不出现,那么此光栅每个透光缝宽度a和相邻两缝间不透光部分宽度b的关系为()。
A : a=b/2
B : a=b
C : a=2b
D : a=3b
13 、 单选题
A : 0.4kg
B : 0.8kg
C :
D :
14 、 单选题
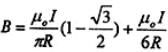
在真空中有一根半径为R的半圆形细导线,流过的电流为I,则圆心处的磁感强度为()。
A :
B :
C : 0
D :
15 、 单选题
如果两种不同质量的粒子,其德布罗意波长相同,则这两种粒子的()。
A : 动量相同
B : 能量相同
C : 速度相同
D : 动能相同
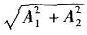
16 、 单选题
A :
B : |A1+A2|
C :
D :
17 、 单选题
A :
B :
C :
D : 2
18 、 单选题
A :
B :
C :
D :
19 、 单选题
A :
B :
C :
D :
20 、 单选题
一质量为m的质点,在半径为R的半球形容器中,由静止开始自边缘上的A点滑下,到达
最低点B时,它对容器的正压力为N。则质点自A滑到B的过程中,摩擦力对其做的功为
()。
A :
B :
C :
D :
21 、 单选题
速度为v的子弹,打穿一块不动的木板后速度为零。设木板对子弹的阻力是恒定的,当
子弹射入木板的深度等于其厚度的一半时,子弹的速度是()。A :
B :
C :
D :
22 、 单选题
A :
B :
C :
D :
23 、 单选题
在驻波中,两个相邻波节间各质点的振动为()。
A : 振幅相同,相位相同
B : 振幅不同,相位相同
C : 振幅相同,相位不同
D : 振幅不同,相位不同24 、 单选题
A :
B :
C :
D :
25 、 单选题
水蒸气分解成同温度的氢气和氧气,内能增加了百分之几(不计振动自由度和化学能)
()。
A : 66.7%
B : 50%
C : 25%
D : 0
26 、 单选题
一宇航员要到离地球为5光年的星球去旅行,如果宇航员希望把这路程缩短为3光年,则
他所乘的火箭相对于地球的速唐应是(c表示真空中光速)()。
A : v=(1/2)c
B : v=(3/5)c
C : v=(4/5)c
D : v=(9/10)c
27 、 单选题
一列高速火车以速度u驶过车站,固定在站台上的两个机械手在车厢上同时划出两个痕迹,静止在站台上的观察者同时测出两痕迹之间的距离为1m,则车厢上的观察者应测出
两个痕迹之间的距离为()。
A :
B :
C :
D :
28 、 单选题
A :
B :
C :
D :
29 、 单选题
A :
B :
C :
D :
30 、 单选题
A : (1,0,0,1/2)
B : (1,0,-1,1/2)
C : (1,1,0,-1/2)
D : (2,1,0,-1/2)
31 、 单选题
A :
B :
C :
D :
32 、 单选题
一电荷为q的粒子在均匀磁场中运动,下列哪种说法是正确的?()
A : 只要速度大小相同,粒子所受的洛伦兹力就相同B : 在速度不变的前提下,若电荷q变为-q,则粒子受力反向,数值不变
C : 粒子进入磁场后,其动能和动量都不变
D : 洛伦兹力与速度方向垂直,所以带电粒子运动的轨迹必定是圆
33 、 单选题
一个光子和一个电子具有相同的波长,则()。
A : 光子具有较大的动量
B : 电子具有较大的动量
C : 电子与光子的动量相等
D : 电子和光子的动量不确定
34 、 单选题
A : 不动
B : 发生转动,同时靠近导线AB
C : 发生转动,同时离开导线AB
D : 靠近导线AB
35 、 单选题
对于室温下的双原子分子理想气体在等压膨胀的情况下,系统对外所作的功A与从外界
吸收的热量Q之比A/Q等于()。
A : 2/3
B : 1/2
C : 2/5
D : 2/7
36 、 单选题
以下五种运动形式中,a保持不变的运动是()。
A : 单摆的运动
B : 匀速率圆周运动
C : 行星的椭圆轨道运动
D : 抛物运动
37 、 单选题关于可逆过程和不可逆过程的判断:①可逆热力学过程一定是准静态过程②准静态过程
一定是可逆过程③不可逆过程是不能向相反的方向进行的过程④凡有摩擦的过程一定是
不可逆过程以上四种判断,正确的是()
A : ①②③
B : ①②④
C : ②④
D : ①④
38 、 单选题
在真空中波长为λ的单色光,在折射率为n的透明介质中,从A沿某路径传播到B,
若A、B两点相位差为3π,则此路径AB的光程为()。
A : 1.5λ
B : 1.5λ/n
C : 1.5nλ
D : 3λ
39 、 单选题
A :
B :
C :
D :
40 、 单选题A :
B :
C :
D :
41 、 单选题
A :
B :
C :
D :
42 、 单选题
1mol单原子分子理想气体从状态A变为状态B,如果不知是什么气体,变化过程也不知
道,但A、B两态的压强、体积和温度都知道,则可以求出()。
A : 气体所做的功
B : 气体内能的变化
C : 气体传给外界的热量D : 气体的质量
43 、 单选题
对某一定波长的垂直入射光,衍射光栅的屏幕上只能出现零级和一级主极大,欲使屏幕
上出现更高级次的主极大,应该()。
A : 换一个光栅常数较小的光栅
B : 换一个光栅常数较大的光栅
C : 将光栅向靠近屏幕的方向移动
D : 将光栅向远离屏幕的方向移动
44 、 单选题
A :
B :
C :
D :
45 、 单选题
激光全息照相技术主要是利用激光的哪一种优良特性?()
A : 亮度高
B : 方向性好
C : 相干性好
D : 抗电磁干扰能力强
46 、 单选题
质量为m的物体,从距地球中心距离为R处自由下落,且R比地球半径大得多。若不计空
气阻力,则其落到地球表而时的速度为()。
A :
B :
C :
D :
47 、 单选题
一力学系统由两个质点组成,它们之间只有引力作用。若两质点所受外力的矢量和为零,
则此系统()。
A : 动量、机械能以及对一轴的角动量都守恒
B : 动量、机械能守恒,但角动量是否守恒还不能断定
C : 动量守恒,但机械能和角动量是否守恒还不能断定
D : 动量和角动量守恒,但机械能是否守恒还不能断定
48 、 单选题
宇宙飞船相对于地而以速度v作匀速直线飞行。某一时刻飞船头部的宇航员向飞船尾部
发出一个光讯号,经过Δt(飞船上的钟测量)时间后,被尾部的接收器收到。由此可知飞
船的固有长度为()。
A :
B :
C :
D :
49 、 单选题一横波沿绳子传播时的波动表达式为y=0.05cos(4πx-10πt),则其()。
A : 波长为0.5m
B :
C :
D : 频率为2Hz
50 、 单选题
一轻绳绕在有水平轴的定滑轮上,滑轮的转动惯量为J,绳下端挂一物体。物体所受重力
为P,滑轮的角加速度为α。料将物体去掉而以与P相等的力直接向下拉绳子,滑轮的角
加速度将()。
A : 不变
B : 变小
C : 变大
D : 如何变化无法判断
51 、 单选题
一平面简谐波在弹性介质中传播,在某一瞬间,介质中某质元正处于平衡位置,此时它
的能量是()。
A : 动能为零,势能最大
B : 动能为零,势能为零
C : 动能最大,势能最大
D : 动能最大,势能为零
52 、 单选题
A :
B :
C :
D :
53 、 单选题
A : (2)、(4)
B : (3)、(4)
C : (1)、(2)
D : (4)、(1)
54 、 单选题
A :
B :
C :
D :
E :
55 、 单选题A :
B :
C :
D :
56 、 单选题
A :
B :
C :
D :
57 、 单选题
在双缝干涉实验中,用单色自然光,在屏上形成干涉条纹,若在两缝后放一个偏振片,则
()。
A : 干涉条纹的间距不变,但明纹的亮度加强
B : 干涉条纹的间距不变,但明纹的亮度减弱
C : 干涉条纹的间距变窄,且明纹的亮度减弱D : 无干涉条纹
58 、 单选题
钴(z=27)4s有两个电子,没有其它n≥4的电子,则3d态上的电子数为()个。
A : 5
B : 6
C : 7
D : 10
59 、 单选题
下列的说法中,正确的是()。
A : 电场强度不变的空间,电势必为零
B : 电势不变的空间,电场强度必为零
C : 电场强度为零的地方电势必为零
D : 电势为零的地方电场强度必为零
E : 电势越大的地方电场强度必定越大
B :
C :
D :
3 、 单选题A :
B :
C :
D :
4 、 单选题
A :
B :
C :
D :
5 、 单选题A : 粒子的动量不能准确确定
B : 粒子的坐标不能准确确定
C : 粒子的动量和坐标不能同时准确确定
D : 不确定关系仅适用于电子和光子等微观粒子,不适用于宏观粒子
6 、 单选题
下列各组量子数中,那一组可以描述原子中电子的状态()。
A :
B :
C :
D :
7 、 单选题
A :
B :
C :
D :
8 、 单选题
在双缝干涉实验中,光的波长为600nm,双缝间距为2mm。双缝与屏的间距为300cm。
在屏上形成的干涉图样的条纹间距为()。
A : 0.45mm
B : 0.9mm
C : 1.2mm
D : 3.1mm
9 、 单选题
在下列给出的各种条件中,哪些是产生激光的条件()。(1)自发辐射(2)受激辐射(3)粒子
数反转(4)三能级系统(5)光学谐振腔
A : (1),(2),(3),(4)
B : (2),(3),(4),(5)
C : (1),(3),(4),(5)
D : (1),(2),(4),(5)
10 、 单选题
A :
B :
C :
D :
11 、 单选题
A :
B :
C :
D :
12 、 单选题
在光栅光谱中,假如所有偶数次级的主极大,都恰好在单缝衍射的暗纹方向上,因而实
际上不出现,那么此光栅每个透光缝宽度a和相邻两缝间不透光部分宽度b的关系为()。
A : a=b/2
B : a=b
C : a=2b
D : a=3b
13 、 单选题
A : 0.4kg
B : 0.8kg
C :
D :
14 、 单选题
在真空中有一根半径为R的半圆形细导线,流过的电流为I,则圆心处的磁感强度为()。
A :
B :
C : 0
D :
15 、 单选题
如果两种不同质量的粒子,其德布罗意波长相同,则这两种粒子的()。
A : 动量相同
B : 能量相同
C : 速度相同
D : 动能相同
16 、 单选题
A :
B : |A1+A2|
C :
D :
17 、 单选题
A :
B :
C :
D : 2
18 、 单选题
A :
B :
C :
D :
19 、 单选题
A :
B :
C :
D :
20 、 单选题
一质量为m的质点,在半径为R的半球形容器中,由静止开始自边缘上的A点滑下,到达
最低点B时,它对容器的正压力为N。则质点自A滑到B的过程中,摩擦力对其做的功为
()。
A :
B :
C :
D :
21 、 单选题
速度为v的子弹,打穿一块不动的木板后速度为零。设木板对子弹的阻力是恒定的,当
子弹射入木板的深度等于其厚度的一半时,子弹的速度是()。A :
B :
C :
D :
22 、 单选题
A :
B :
C :
D :
23 、 单选题
在驻波中,两个相邻波节间各质点的振动为()。
A : 振幅相同,相位相同
B : 振幅不同,相位相同
C : 振幅相同,相位不同
D : 振幅不同,相位不同24 、 单选题
A :
B :
C :
D :
25 、 单选题
水蒸气分解成同温度的氢气和氧气,内能增加了百分之几(不计振动自由度和化学能)
()。
A : 66.7%
B : 50%
C : 25%
D : 0
26 、 单选题
一宇航员要到离地球为5光年的星球去旅行,如果宇航员希望把这路程缩短为3光年,则
他所乘的火箭相对于地球的速唐应是(c表示真空中光速)()。
A : v=(1/2)c
B : v=(3/5)c
C : v=(4/5)c
D : v=(9/10)c
27 、 单选题
一列高速火车以速度u驶过车站,固定在站台上的两个机械手在车厢上同时划出两个痕迹,静止在站台上的观察者同时测出两痕迹之间的距离为1m,则车厢上的观察者应测出
两个痕迹之间的距离为()。
A :
B :
C :
D :
28 、 单选题
A :
B :
C :
D :
29 、 单选题
A :
B :
C :
D :
30 、 单选题
A : (1,0,0,1/2)
B : (1,0,-1,1/2)
C : (1,1,0,-1/2)
D : (2,1,0,-1/2)
31 、 单选题
A :
B :
C :
D :
32 、 单选题
一电荷为q的粒子在均匀磁场中运动,下列哪种说法是正确的?()
A : 只要速度大小相同,粒子所受的洛伦兹力就相同B : 在速度不变的前提下,若电荷q变为-q,则粒子受力反向,数值不变
C : 粒子进入磁场后,其动能和动量都不变
D : 洛伦兹力与速度方向垂直,所以带电粒子运动的轨迹必定是圆
33 、 单选题
一个光子和一个电子具有相同的波长,则()。
A : 光子具有较大的动量
B : 电子具有较大的动量
C : 电子与光子的动量相等
D : 电子和光子的动量不确定
34 、 单选题
A : 不动
B : 发生转动,同时靠近导线AB
C : 发生转动,同时离开导线AB
D : 靠近导线AB
35 、 单选题
对于室温下的双原子分子理想气体在等压膨胀的情况下,系统对外所作的功A与从外界
吸收的热量Q之比A/Q等于()。
A : 2/3
B : 1/2
C : 2/5
D : 2/7
36 、 单选题
以下五种运动形式中,a保持不变的运动是()。
A : 单摆的运动
B : 匀速率圆周运动
C : 行星的椭圆轨道运动
D : 抛物运动
37 、 单选题关于可逆过程和不可逆过程的判断:①可逆热力学过程一定是准静态过程②准静态过程
一定是可逆过程③不可逆过程是不能向相反的方向进行的过程④凡有摩擦的过程一定是
不可逆过程以上四种判断,正确的是()
A : ①②③
B : ①②④
C : ②④
D : ①④
38 、 单选题
在真空中波长为λ的单色光,在折射率为n的透明介质中,从A沿某路径传播到B,
若A、B两点相位差为3π,则此路径AB的光程为()。
A : 1.5λ
B : 1.5λ/n
C : 1.5nλ
D : 3λ
39 、 单选题
A :
B :
C :
D :
40 、 单选题A :
B :
C :
D :
41 、 单选题
A :
B :
C :
D :
42 、 单选题
1mol单原子分子理想气体从状态A变为状态B,如果不知是什么气体,变化过程也不知
道,但A、B两态的压强、体积和温度都知道,则可以求出()。
A : 气体所做的功
B : 气体内能的变化
C : 气体传给外界的热量D : 气体的质量
43 、 单选题
对某一定波长的垂直入射光,衍射光栅的屏幕上只能出现零级和一级主极大,欲使屏幕
上出现更高级次的主极大,应该()。
A : 换一个光栅常数较小的光栅
B : 换一个光栅常数较大的光栅
C : 将光栅向靠近屏幕的方向移动
D : 将光栅向远离屏幕的方向移动
44 、 单选题
A :
B :
C :
D :
45 、 单选题
激光全息照相技术主要是利用激光的哪一种优良特性?()
A : 亮度高
B : 方向性好
C : 相干性好
D : 抗电磁干扰能力强
46 、 单选题
质量为m的物体,从距地球中心距离为R处自由下落,且R比地球半径大得多。若不计空
气阻力,则其落到地球表而时的速度为()。
A :
B :
C :
D :
47 、 单选题
一力学系统由两个质点组成,它们之间只有引力作用。若两质点所受外力的矢量和为零,
则此系统()。
A : 动量、机械能以及对一轴的角动量都守恒
B : 动量、机械能守恒,但角动量是否守恒还不能断定
C : 动量守恒,但机械能和角动量是否守恒还不能断定
D : 动量和角动量守恒,但机械能是否守恒还不能断定
48 、 单选题
宇宙飞船相对于地而以速度v作匀速直线飞行。某一时刻飞船头部的宇航员向飞船尾部
发出一个光讯号,经过Δt(飞船上的钟测量)时间后,被尾部的接收器收到。由此可知飞
船的固有长度为()。
A :
B :
C :
D :
49 、 单选题一横波沿绳子传播时的波动表达式为y=0.05cos(4πx-10πt),则其()。
A : 波长为0.5m
B :
C :
D : 频率为2Hz
50 、 单选题
一轻绳绕在有水平轴的定滑轮上,滑轮的转动惯量为J,绳下端挂一物体。物体所受重力
为P,滑轮的角加速度为α。料将物体去掉而以与P相等的力直接向下拉绳子,滑轮的角
加速度将()。
A : 不变
B : 变小
C : 变大
D : 如何变化无法判断
51 、 单选题
一平面简谐波在弹性介质中传播,在某一瞬间,介质中某质元正处于平衡位置,此时它
的能量是()。
A : 动能为零,势能最大
B : 动能为零,势能为零
C : 动能最大,势能最大
D : 动能最大,势能为零
52 、 单选题
A :
B :
C :
D :
53 、 单选题
A : (2)、(4)
B : (3)、(4)
C : (1)、(2)
D : (4)、(1)
54 、 单选题
A :
B :
C :
D :
E :
55 、 单选题A :
B :
C :
D :
56 、 单选题
A :
B :
C :
D :
57 、 单选题
在双缝干涉实验中,用单色自然光,在屏上形成干涉条纹,若在两缝后放一个偏振片,则
()。
A : 干涉条纹的间距不变,但明纹的亮度加强
B : 干涉条纹的间距不变,但明纹的亮度减弱
C : 干涉条纹的间距变窄,且明纹的亮度减弱D : 无干涉条纹
58 、 单选题
钴(z=27)4s有两个电子,没有其它n≥4的电子,则3d态上的电子数为()个。
A : 5
B : 6
C : 7
D : 10
59 、 单选题
下列的说法中,正确的是()。
A : 电场强度不变的空间,电势必为零
B : 电势不变的空间,电场强度必为零
C : 电场强度为零的地方电势必为零
D : 电势为零的地方电场强度必为零
E : 电势越大的地方电场强度必定越大