文档内容
军队文职人员招聘《数学2》预测试题一
即刻题库 www.jike.vip
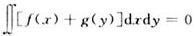
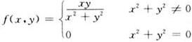
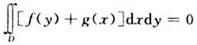
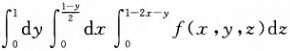
1 、 单选题
A :
B :
C :
D : 不存在
2 、 单选题
A :
B :
C :
D :
3 、 单选题
A :
B :
C :
D :
4 、 单选题
A : 对任意闭曲线L,I=0
B : 在L为不含原点在内的闭区域的边界线时I=0
C :
D : 在L含原点在内时I=0,不含原点时I≠0
5 、 单选题
A :
B :
C :
D :
6 、 单选题
A :
B :
C :
D :
7 、 单选题
A : 线性相关
B : 线性无关
C : 对应分量成比例
D : 可能有零向量
8 、 单选题
下列矩阵中,()不是初等矩阵。
A :
B :
C :
D :
9 、 单选题
下列矩阵中,A和B相似的是()。
A :
B :
C :
D :
10 、 单选题
A :
B :
C :
D :
11 、 单选题
A : (0,0,1/2)
B : (0,0,1/4)
C : (0,0,2/3)
D : (0,0,3/4)
12 、 单选题
若向量组α,β,γ线性无关,α,β,σ线性相关,则()。
A : α必可由β,γ,σ线性表示
B : σ必可由α,β,γ线性表示
C : α必不可由β,γ,σ线性表示
D : σ必不可由α,β,γ线性表示
13 、 单选题
A : 等价无穷小
B : 同阶但非等价的无穷小
C : 高阶无穷小
D : 低阶无穷小
14 、 单选题
A : 极限不存在
B : 极限存在但不连续
C : 连续但不可导
D : 可导
15 、 单选题
A : 2π
B : -2π
C : 0
D : π16 、 单选题
A : 必为(-l,l)内的奇函数
B : 必为(-l,l)内的偶函数
C : 必为(-l,l)内的非奇非偶函数
D : 可能是奇函数也可能是偶函数
17 、 单选题
A : F(3)=-3/4F(-2)
B : F(3)=5/4F(2)
C : F(-3)=3/4F(2)
D : F(-3)=5/4F(-2)
18 、 单选题
A : 一个极小值点和两个极大值点
B : 两个极小值点和一个极大值点
C : 两个极小值点和两个极大值点
D : 三个极小值点和一个极大值点
19 、 单选题A : 一个解向量
B : 两个解向量
C : 三个解向量
D : 四个解向量
20 、 单选题
A : n
B : -27n
C : 3n
D : -3n
21 、 单选题
A :
B :
C :
D :
22 、 单选题
A : 仅有水平渐近线
B : 仅有铅垂渐近线
C : 既有铅直又有水平渐近线D : 既有铅直又有斜渐近线
23 、 单选题
A : 3
B : 2
C : 1
D : 0
24 、 单选题
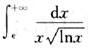
下列反常(广义)积分收敛的是()
A :
B :
C :
D :
25 、 单选题
A : 1/π
B : 2/π
C : 3/π
D : 4/π
26 、 单选题
A :
B :
C :
D :
27 、 单选题
A : 1条
B : 2条
C : 3条
D : 4条
28 、 单选题
设A、B都是n阶方阵,下面结论正确的是
A : 若A、B均可逆,则A+B可逆.
B : 若A、B均可逆,则AB可逆.
C : 若A+B可逆,则A-B可逆.
D : 若A+B可逆,则A,B均可逆.
29 、 单选题
A : 连续,偏导数存在
B : 连续,偏导数不存在
C : 不连续,偏导数存在
D : 不连续,偏导数不存在
30 、 单选题
A : f(x)与x是等价无穷小量
B : f(x)与x是同阶但非等价无穷小量C : f(x)是比x较高阶的无穷小量
D : f(x)是比x较低阶的无穷小量
31 、 单选题
下列各式不等于零的是()
A :
B :
C :
D :
32 、 单选题
A : 16x+8y-16z=0
B : 2x+3y-4z+5=0
C : 16x+8y-16z+11=0
D : 8x-3y+4z+7=0
33 、 单选题
A :
B : Cx
C : Csinnx
D : Ccosnx
34 、 单选题A : f′(0)
B : 不存在
C :
D : 2f′(0)
35 、 单选题
A : 0
B : 1
C : 2
D : 3
36 、 单选题
A : 0
B : 1
C : π
D : 2π
37 、 单选题
“对任意给定的ε∈(0,1),总存在正整数N,当n≥N时,恒有xn-a≤2ε”是数列{xn}收敛
于a的()
A : 充分条件但非必要条件
B : 必要条件但非充分条件
C : 充分必要条件
D : 既非充分又非必要条件
38 、 单选题
A :
B :
C :
D :
39 、 单选题
A : 0
B : f(x+b)
C : f(x+b)-f(x+a)
D : f(b+t)-f(a+t)
40 、 单选题
A :
B :
C :
D :
41 、 单选题
若f(x)的导函数是e-x+cosx,则f(x)的一个原函数为()
A : e-x-cosx
B : -e-x+sinxC : -e-x-cosx
D : e-x+sinx
42 、 单选题
A : 极限不存在
B : 极限存在但不连续
C : 连续但不可导
D : 可导
43 、 单选题
A : (Ⅰ)相关 (Ⅱ)相关
B : (Ⅰ)无关 (Ⅱ)无关
C : (Ⅰ)无关 (Ⅱ)相关
D : (Ⅰ)相关 (Ⅱ)无关
44 、 单选题
设A为m×n矩阵,B为n×m矩阵,E为m阶单位矩阵,若AB=E,则().
A : r(A)=m,r(B)=m
B : r(A)=m,r(B)=n
C : r(A)=n,r(B)=m
D : r(A)=n,r(B)=n
45 、 单选题
A : f(0)=0
B : f(0)=2
C : f(0)=1
D : f(0)=-1
46 、 单选题
A : 反对称矩阵
B : 正交矩阵C : 对称矩阵
D : 对角矩阵
47 、 单选题
设f(x)和g(x)在(-∞,+∞)内可导,且f(x)<g(x),则必有()
A : f(-x)>g(-x)
B : f′(x)<g′(x)
C :
D :
48 、 单选题
A :
B :
C :
D :
49 、 单选题
A :
B :
C :
D :
50 、 单选题
A :
B :
C :
D :
51 、 单选题
A :
B :
C :
D :
52 、 单选题
A : a=1
B : a=2
C : a=3
D : a=1/2
53 、 单选题
下列二元函数中,在全平面上连续的是()
A :
B :
C :
D :
54 、 单选题
A : 跳跃间断点
B : 可去间断点
C : 无穷间断点
D : 振荡间断点
55 、 单选题A : 等于1
B : 等于0
C : 不存在
D : 等于-1
56 、 单选题
A :
B : x
C : 2x
D : x/2
57 、 单选题
A :
B :
C :
D :
58 、 单选题
A : a<0,b<0B : a>0,b>0
C : a≤0,b>0
D : a≥0,b<0
59 、 判断题
A : 对
B : 错
60 、 判断题
A : 对
B : 错
61 、 判断题
设AB为门阶方阵,若AB等价,则AB相似
A : 对
B : 错
62 、 判断题
若A是m×n矩阵,且m≠n,则当A的列向量组线性无关时,A的行向量组也线性无关
A : 对
B : 错
B :
C :
D : 不存在
2 、 单选题
A :
B :
C :
D :
3 、 单选题
A :
B :
C :
D :
4 、 单选题
A : 对任意闭曲线L,I=0
B : 在L为不含原点在内的闭区域的边界线时I=0
C :
D : 在L含原点在内时I=0,不含原点时I≠0
5 、 单选题
A :
B :
C :
D :
6 、 单选题
A :
B :
C :
D :
7 、 单选题
A : 线性相关
B : 线性无关
C : 对应分量成比例
D : 可能有零向量
8 、 单选题
下列矩阵中,()不是初等矩阵。
A :
B :
C :
D :
9 、 单选题
下列矩阵中,A和B相似的是()。
A :
B :
C :
D :
10 、 单选题
A :
B :
C :
D :
11 、 单选题
A : (0,0,1/2)
B : (0,0,1/4)
C : (0,0,2/3)
D : (0,0,3/4)
12 、 单选题
若向量组α,β,γ线性无关,α,β,σ线性相关,则()。
A : α必可由β,γ,σ线性表示
B : σ必可由α,β,γ线性表示
C : α必不可由β,γ,σ线性表示
D : σ必不可由α,β,γ线性表示
13 、 单选题
A : 等价无穷小
B : 同阶但非等价的无穷小
C : 高阶无穷小
D : 低阶无穷小
14 、 单选题
A : 极限不存在
B : 极限存在但不连续
C : 连续但不可导
D : 可导
15 、 单选题
A : 2π
B : -2π
C : 0
D : π16 、 单选题
A : 必为(-l,l)内的奇函数
B : 必为(-l,l)内的偶函数
C : 必为(-l,l)内的非奇非偶函数
D : 可能是奇函数也可能是偶函数
17 、 单选题
A : F(3)=-3/4F(-2)
B : F(3)=5/4F(2)
C : F(-3)=3/4F(2)
D : F(-3)=5/4F(-2)
18 、 单选题
A : 一个极小值点和两个极大值点
B : 两个极小值点和一个极大值点
C : 两个极小值点和两个极大值点
D : 三个极小值点和一个极大值点
19 、 单选题A : 一个解向量
B : 两个解向量
C : 三个解向量
D : 四个解向量
20 、 单选题
A : n
B : -27n
C : 3n
D : -3n
21 、 单选题
A :
B :
C :
D :
22 、 单选题
A : 仅有水平渐近线
B : 仅有铅垂渐近线
C : 既有铅直又有水平渐近线D : 既有铅直又有斜渐近线
23 、 单选题
A : 3
B : 2
C : 1
D : 0
24 、 单选题
下列反常(广义)积分收敛的是()
A :
B :
C :
D :
25 、 单选题
A : 1/π
B : 2/π
C : 3/π
D : 4/π
26 、 单选题
A :
B :
C :
D :
27 、 单选题
A : 1条
B : 2条
C : 3条
D : 4条
28 、 单选题
设A、B都是n阶方阵,下面结论正确的是
A : 若A、B均可逆,则A+B可逆.
B : 若A、B均可逆,则AB可逆.
C : 若A+B可逆,则A-B可逆.
D : 若A+B可逆,则A,B均可逆.
29 、 单选题
A : 连续,偏导数存在
B : 连续,偏导数不存在
C : 不连续,偏导数存在
D : 不连续,偏导数不存在
30 、 单选题
A : f(x)与x是等价无穷小量
B : f(x)与x是同阶但非等价无穷小量C : f(x)是比x较高阶的无穷小量
D : f(x)是比x较低阶的无穷小量
31 、 单选题
下列各式不等于零的是()
A :
B :
C :
D :
32 、 单选题
A : 16x+8y-16z=0
B : 2x+3y-4z+5=0
C : 16x+8y-16z+11=0
D : 8x-3y+4z+7=0
33 、 单选题
A :
B : Cx
C : Csinnx
D : Ccosnx
34 、 单选题A : f′(0)
B : 不存在
C :
D : 2f′(0)
35 、 单选题
A : 0
B : 1
C : 2
D : 3
36 、 单选题
A : 0
B : 1
C : π
D : 2π
37 、 单选题
“对任意给定的ε∈(0,1),总存在正整数N,当n≥N时,恒有xn-a≤2ε”是数列{xn}收敛
于a的()
A : 充分条件但非必要条件
B : 必要条件但非充分条件
C : 充分必要条件
D : 既非充分又非必要条件
38 、 单选题
A :
B :
C :
D :
39 、 单选题
A : 0
B : f(x+b)
C : f(x+b)-f(x+a)
D : f(b+t)-f(a+t)
40 、 单选题
A :
B :
C :
D :
41 、 单选题
若f(x)的导函数是e-x+cosx,则f(x)的一个原函数为()
A : e-x-cosx
B : -e-x+sinxC : -e-x-cosx
D : e-x+sinx
42 、 单选题
A : 极限不存在
B : 极限存在但不连续
C : 连续但不可导
D : 可导
43 、 单选题
A : (Ⅰ)相关 (Ⅱ)相关
B : (Ⅰ)无关 (Ⅱ)无关
C : (Ⅰ)无关 (Ⅱ)相关
D : (Ⅰ)相关 (Ⅱ)无关
44 、 单选题
设A为m×n矩阵,B为n×m矩阵,E为m阶单位矩阵,若AB=E,则().
A : r(A)=m,r(B)=m
B : r(A)=m,r(B)=n
C : r(A)=n,r(B)=m
D : r(A)=n,r(B)=n
45 、 单选题
A : f(0)=0
B : f(0)=2
C : f(0)=1
D : f(0)=-1
46 、 单选题
A : 反对称矩阵
B : 正交矩阵C : 对称矩阵
D : 对角矩阵
47 、 单选题
设f(x)和g(x)在(-∞,+∞)内可导,且f(x)<g(x),则必有()
A : f(-x)>g(-x)
B : f′(x)<g′(x)
C :
D :
48 、 单选题
A :
B :
C :
D :
49 、 单选题
A :
B :
C :
D :
50 、 单选题
A :
B :
C :
D :
51 、 单选题
A :
B :
C :
D :
52 、 单选题
A : a=1
B : a=2
C : a=3
D : a=1/2
53 、 单选题
下列二元函数中,在全平面上连续的是()
A :
B :
C :
D :
54 、 单选题
A : 跳跃间断点
B : 可去间断点
C : 无穷间断点
D : 振荡间断点
55 、 单选题A : 等于1
B : 等于0
C : 不存在
D : 等于-1
56 、 单选题
A :
B : x
C : 2x
D : x/2
57 、 单选题
A :
B :
C :
D :
58 、 单选题
A : a<0,b<0B : a>0,b>0
C : a≤0,b>0
D : a≥0,b<0
59 、 判断题
A : 对
B : 错
60 、 判断题
A : 对
B : 错
61 、 判断题
设AB为门阶方阵,若AB等价,则AB相似
A : 对
B : 错
62 、 判断题
若A是m×n矩阵,且m≠n,则当A的列向量组线性无关时,A的行向量组也线性无关
A : 对
B : 错