文档内容
军队文职人员招聘考试《经济学》预测试题九
即刻题库 www.jike.vip
1 、 单选题
2016年3月10日,甲公司向乙公司签发了一张转账支票。乙公司背书转让给丙公司用于
清偿货款。根据票据法律制度的规定,丙公司对甲公司的票据权利,在下列期限之前未
行使即归消灭的是()。
A : 2016年6月10日
B : 2016年9月10日
C : 2017年3月10日
D : 2018年3月10日
2 、 单选题
布雷顿森林货币体系内部存在着难以解决的矛盾,即()。
A : J曲线效应
B : 里昂惕夫之谜
C : 米德冲突
D : 特里芬难题
3 、 单选题
某机构单位的增加值中,获得营业盈余的部门是()
A : 居民
B : 政府
C : 该机构单位
D : 金融机构
4 、 单选题
商业银行的存款准备金加流通中的现金等于()。
A : 基础货币
B : 库存现金
C : 法定存款准备金
D : 超额准备金5 、 单选题
利率和收入的组合点出现在IS曲线右上方、LM曲线的左上方的区域中则表示()。
A : I小于S,L小于M
B : I大于S,L大于M
C : I大于S,L小于M
D : I小于S,L大于M
6 、 单选题
下列选项中不作为统计调查项目的审批原则的是()
A : 必要性原则
B : 可行性原则
C : 及时性原则
D : 科学性原则
7 、 单选题
表外业务与中间业务的最大区别在于()。
A : 反映的资产不同
B : 反映的负债不同
C : 承担的风险不同
D : 获得的权益不同
8 、 单选题
下列各项不属于评标专家的条件的是()。
A : 从事相关领域工作满8年并具有高级职称或者具有同等专业水平
B : 能够认真、公正、诚实、廉洁地履行职责
C : 精通评标业务,但是长期卧床养病
D : 熟悉有关招标投标的法律法规
9 、 单选题
增值税起征点为()。
A : 按期纳税的,为月销售额5000~20000元(含本数)
B : 按次纳税的,为每次(日)销售额300元(含本数)
C : 按次纳税的,为每次(日)销售额500元(含本数)
D : 按期纳税的,为月应税销售额2000~20000元(含本数)
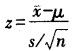
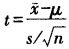
10 、 单选题
小样本情况下,当总体服从正态分布,总体方差已知时,总体均值检验的统计量为()
A :
B :
C :
D :
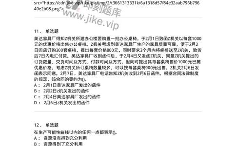
11 、 单选题
美达家具厂得知Z机关所建办公楼要购置一批办公桌椅,于2月1日致函Z机关以每套1000
元的优惠价格出售办公桌椅。Z机关考虑到美达家具厂生产的家具质量可靠,便于2月2
日回函订购300套桌椅,提出每套价格800元,同时要求3个月内将桌椅送至Z机关,验货
后7日内电汇付款。美达家具厂收到函件后,于2月4日又发函Z机关,同意Z机关提出的
订货数量、交货时间及方式、付款时间及方式,但同时提出其每套桌椅售价1000元已属
优惠价格,考虑Z机关所订桌椅数量较多,可以按每套桌椅900元出售。Z机关2月6日发
函表示同意。2月7日,美达家具厂电话告知Z机关收到2月6日函件。根据合同法律制度
的规定,该合同的要约为()。
A : 2月1日美达家具厂发出的函件
B : 2月2日z机关发出的函件
C : 2月4日美达家具厂发出的函件
D : 2月6日z机关发出的函件
12 、 单选题
在生产可能性曲线以内的任何一点都表示()。
A : 资源没有得到充分利用
B : 资源得到了充分利用
C : 可以利用的资源稀缺
D : 现有条件下无法实现的生产组合
13 、 单选题
下列有关IS-LM曲线说法错误的是()。
A : IS曲线上的点表明商品市场达到了均衡
B : LM曲线上的点表明货币市场达到了均衡
C : IS-LM曲线的交点表明商品市场和货币市场均达到了均衡
D : IS-LM曲线涉及对外贸易和外资14 、 单选题
事业单位处置国有资产,经主管部门审核后必须经()批准。
A : 上级财政部门
B : 同级财政部门
C : 上级人民代表大会
D : 同级人民代表大会
15 、 单选题
在其他条件不变的情况下,如果某产品需求价格弹性系数大于1,则当该产品价格提高
时,()。
A : 生产者的销售收入会减少
B : 不会影响生产者的销售收入
C : 生产者的销售收入会增加
D : 生产者的销售收入可能增加也可能减少
16 、 单选题
下列关于货币互换说法错误的是()。
A : 指买卖双方将一种货币的本金和固定利息与另一货币的等价本金和固定利息进行交
换的协议
B : 货币互换的买方在期初获得外币
C : 货币互换的买方在期初将与获得的外币等值的本币借给卖方
D : 合约到期时卖方向买方偿还外币本金
17 、 单选题
建立一个永久性国际货币基金组织属于()的内容。
A : 国际金本位制
B : 国际金汇兑体系
C : 布雷顿森林体系
D : 牙买加体系
18 、 单选题
社会公平的准则不包括()。
A : 保证生存权准则
B : 共同富裕准则
C : 效率与公平兼顾准则
D : 优势资源聚集准则
19 、 单选题()是指债券发行人有可能在债券到期日之前回购债券的风险。
A : 利率风险
B : 信用风险
C : 提前赎回风险
D : 通货膨胀风险
20 、 单选题
下列债券中,不属于外国债券的是()。
A : 扬基债券
B : 武士债券
C : 金边债券
D : 猛犬债券
21 、 单选题
如果我国在伦敦发行一笔人民币债券,则该笔交易属于()市场的范畴。
A : 欧洲债券
B : 外国债券
C : 扬基债券
D : 武士债券
22 、 单选题
财政政策在财政收入方面采取的措施是()。
A : 增税或减税
B : 增加政府开支和减少政府开支
C : 增税
D : 减税
23 、 单选题
纳税人在进行货物或劳务的交易时,通过提高价格的方法将其应负担的税收转移给货物
或劳务的购买者或最终消费者的税负转嫁形式称为()。
A : 前转
B : 后转
C : 混转
D : 消转
24 、 单选题
在政府采购项目招标投标中,招标人或者招标代理机构应当在收到供应商的书面质疑
后()个工作日内作出答复。
A : 5
B : 7C : 10
D : 15
25 、 单选题
下列所得中,免征个人所得税的是()。
A : 加班工资
B : 年终奖
C : 残疾人员所得
D : 离休工资
26 、 单选题
下列不属于博弈中通常包括的内容的是()。
A : 局中人
B : 策略
C : 占优战略均衡
D : 支付
27 、 单选题
按照《政府采购法》规定,供应商应当具备的资格条件不包括()。
A : 具有独立承担民事责任的能力
B : 具有良好的商业信誉和健全的财务会计制度
C : 具备依法纳税和缴纳社会保障资金的良好记录
D : 参加政府采购活动前2年内,在经营活动中没有重大违法记录
28 、 单选题
储备资产体现一个国家()
A : 国际支付能力
B : 国内支付能力
C : 国际支付能力和国内支付能力
D : 偿还能力
29 、 单选题
甲公司从乙农场购入10头种牛,乙农场违约,将部分带有传染病的种牛交付给甲公司,
致使甲公司所饲养的其他奶牛大量患病造成财产损失。根据合同法律制度的规定,甲公
司要求乙农场承担责任的方式是()。
A : 只能要求乙农场承担违约责任
B : 只能要求乙农场承担侵权责任
C : 要求乙农场既承担违约责任又承担侵权责任
D : 在违约责任或侵权责任中选择其一要求乙农场承担30 、 单选题
甲公司因资金紧张向乙公司借款100万元,以自己的小轿车设定抵押,该轿车市场价
为50万元。丙公司与丁公司为该债权提供保证。借款到期后,鉴于与甲公司一直以来合
作愉快,乙公司决定放弃对甲公司小轿车的抵押权。后乙公司要求丙公司与丁公司承担
保证责任。根据物权法律制度的规定,下列对该案的表述正确的是()。
A : 丙、丁公司有权拒绝承担保证责任
B : 丙、丁公司应承担100万元的保证责任
C : 丙、丁公司应承担50万元的保证责任
D : 因未通知丙、丁公司,乙公司的放弃行为无效
31 、 单选题
根据《商业银行风险监管核心指标》,我国商业银行核心资本充足率必须大于等于()。
A : 2%
B : 4%
C : 8%
D : 10%
32 、 单选题
下列关于公债特征的说法,不正确的是()。
A : 自愿性
B : 有偿性
C : 固定性
D : 灵活性
33 、 单选题
如果与一国居民发生经济金融交易的他国居民为政府或货币当局,政府或货币当局为债
务人,不能如期足额清偿债务,而使该国居民蒙受经济损失,这种可能性就是()。
A : 主权风险
B : 政治风险
C : 声誉风险
D : 法律风险
34 、 单选题
甲公司签发一张票据给乙公司,乙公司取得票据后背书转让给丙公司,丁公司提供保证,
丙公司取得票据后将票据赠送给戊公司。后来,甲公司发现乙公司交付的货物质量不符
合规定。根据票据法律制度的规定,下列各项说法中,正确的是()。
A : 戊公司向甲公司行使票据权利时,甲公司可以收到的货物质量不符合要求为由进行
抗辩
B : 丁公司向甲公司行使票据权利时,甲公司可以收到的货物质量不符合要求为由进行
抗辩
C : 丙公司向甲公司行使票据权利时,甲公司可以收到的货物质量不符合要求为由进行抗辩
D : 乙公司向甲公司行使票据权利时,甲公司可以收到的货物质量不符合要求为由进行
抗辩
35 、 单选题
国家统计局湖北调查总队在组织实施的统计调查中发生的统计违法案件,由()负责查处
A : 湖北省统计局
B : 国家统计局湖北调查总队
C : 国家统计局
D : 湖北省统计局和国家统计局湖北调查总队
36 、 单选题
为了实现一定时期国有经济的战略性调整,在国有资产营运过程中,需要采取有效措施,
以达到其目标,其中,()不是国有资产战略性调整的措施。
A : 加强国有产权转让管理
B : 维护国有产权合法权益
C : 打破行业的自然垄断,引入社会资本进行竞争,缩短国有经济过长的战线
D : 加强政府对国有资产运营的控制
37 、 单选题
根据《工程建设项目勘察设计招标投标办法》的有关规定,不属于废标情况和条件的
是()。
A : 以他人的名义投标
B : 以联合体形式投标,向招标人提供共同投标协议
C : 未能在实质上响应招标文件要求的投标
D : 未按要求密封
38 、 单选题
关系营销与传统营销的区别是()。
A : 对象
B : 组织方式
C : 对顾客的理解
D : 交易方式
39 、 单选题
下列不属于要素收入的是()。
A : 租金
B : 养老金
C : 银行存款利息
D : 红利40 、 单选题
在其他条件不变的情况下,某种商品的需求数量()。
A : 随着替代商品价格的提高而减少
B : 随着替代商品价格的提高而增加
C : 随着偏好的增加而减少
D : 随着互补品价格下降而减少
41 、 单选题
根据蒙代尔“有效市场分类原则”,当一国出现通货膨胀和国际收支逆差时,应采取的
措施是()。
A : 扩张的财政政策和紧缩的货币政策
B : 紧缩的财政政策和紧缩的货币政策
C : 紧缩的财政政策和扩张的货币政策
D : 扩张的财政政策和扩张的货币政策
42 、 单选题
某商品价格下降10%,销售量上升25%,则该商品的需求价格弹性系数为()。
A : 0.4
B : 0.8
C : 1.5
D : 2.5
43 、 单选题
甲公司与乙公司订立货物买卖合同,约定出卖人甲公司将货物送至丙公司,经丙公司验
收合格后,乙公司应付清货款。甲公司在送货前发现丙公司已濒于破产,遂未按时送货。
根据合同法律制度的规定,下列各项中,正确的是()。
A : 甲公司应向乙公司承担违约责任
B : 甲公司应向丙公司承担违约责任
C : 甲公司应向乙公司、丙公司分别承担违约责任
D : 甲公司不承担违约责任
44 、 单选题
根据我国《刑法》规定,单位犯串通投标罪的,()。
A : 只对单位处罚金
B : 对直接负责的主管人员处5年以下有期徒刑
C : 对直接负责的主管人员处拘役
D : 没收违法所得
45 、 单选题下列关于信托公司治理的表述,正确的是()。
A : 信托公司治理应当体现委托人利益最大化的基本原则
B : 信托公司无需建立合规管理机制,促使信托公司的经营活动与法律、规则和准则相
一致
C : 除上市信托公司外,持股未满两年的股东不得转让所持股份
D : 信托公司股东单独或与关联方合并持有公司50%以上股权的,股东大会选举董事、
监事应当实行累积投票制
46 、 单选题
世界银行集团由世界银行、国际开发协会和国际金融公司组成,向成员国提供金融服务
和技术援助,本质上属于()。
A : 金融监管机构
B : 契约性金融机构
C : 存款性金融机构
D : 开发性金融机构
47 、 单选题
投资者完全绕过证券商,相互间直接进行证券交易而形成的市场,称为()。
A : 一级市场
B : 二级市场
C : 第三市场
D : 第四市场
48 、 单选题
下列不属于信托文件必须载明的事项是()。
A : 信托目的
B : 受益人或者受益人范围
C : 信托期限
D : 委托人、受托人的姓名或者名称、住所
49 、 单选题
目前,()是我国最规范的企业年金法人受托机构主体。
A : 银行
B : 信托公司
C : 保险公司
D : 证券公司
50 、 单选题
下列关于融资租赁合同主要内容的描述,错误的是()。
A : 融资租赁合同的内容包括租赁和买卖两部分B : 融资租赁合同涉及三方当事人
C : 租赁标的物、租赁标的物的出卖人等条款属于买卖部分
D : 买卖部分内容包括标的物的价款及支付方式、承租人对买卖合同的确认等
51 、 单选题
高等教育服务被看作是一种()。
A : 混合物品
B : 纯公共物品
C : 私人物品
D : 公共物品
52 、 多选题
在货币传导机制上,凯恩斯学派()。
A : 强调利率的作用
B : 强调货币供应量的作用
C : 认为货币政策在增加国民收入的效果上,主要取决于投资的利率弹性
D : 认为货币政策影响通过调节货币的供应量而影响人们的意愿持有量,进而影响货币
收入
E : 考虑到了货币市场和商品市场的相互作用
53 、 多选题
世界贸易组织《政府采购协议》遵循()。
A : 公开原则
B : 透明度原则
C : 国民待遇和非歧视性待遇原则
D : 发达国家的特殊待遇和差别待遇原则
E : 发展中国家的特殊待遇和差别待遇原则
54 、 多选题
政策性金融机构的经营原则是()。
A : 政策性原则
B : 财政性原则
C : 安全性原则
D : 盈利性原则
E : 保本微利原则
55 、 多选题
在公债的发行方式中,必须通过金融市场或金融机构发行的是()。
A : 公募法
B : 承受法C : 出卖法
D : 支付发行法
E : 强制发行法
56 、 多选题
下列税种中,适合由地方政府实施征管的有()。
A : 印花税
B : 耕地占用税
C : 遗产和赠与税
D : 土地增值税
E : 增值税
57 、 多选题
下列关于GDP、国民总收入和国民可支配收入三者关系的叙述中,正确的有()
A : GDP经过分配之后,总代数和必定为0
B : 国民总收入为再分配的结果,并且大于国民可支配收入
C : 国民可支配收入为再分配的结果,并且大于国民总收入
D : 国民总收入作为初次分配的结果,它与GDP在数值上一般存在差额
E : 国民可支配总收入数值上等于国民总收入与来自国外的再分配收入净额二者之和
58 、 多选题
杜某拖欠谢某100万元。谢某请求杜某以登记在其名下的房屋抵债时,杜某称其已把房
屋作价90万元卖给赖某,房屋钥匙已交,但产权尚未过户。该房屋市值为120万元。有
关谢某权利的保护,下列说法不正确的有()。
A : 谢某可请求法院撤销杜某、赖某的买卖合同
B : 因房屋尚未过户,杜某、赖某买卖合同无效
C : 如谢某能举证杜某、赖某构成恶意串通,则杜某、赖某买卖合同无效
D : 谢某可以主张留置该房屋,阻止杜某和赖某办理房屋过户登记
59 、 多选题
布莱克-斯科尔斯模型的假定有()。
A : 无风险利率r为常数
B : 没有交易成本、税收和卖空限制,不存在无风险套利机会
C : 标的资产在期权到期时间之前按期支付股息和红利
D : 标的资产价格波动率为常数
E : 假定标的资产价格遵从混沌理论
60 、 多选题
借方的利率风险主要有()。
A : 以固定利率的条件贷出长期资金后利率上升,贷方蒙受相对于上升后的利率水平而少收利息的经济损失
B : 连续不断地借入短期资金,而利率不断上升,借方蒙受不断多付利息的经济损失
C : 连续不断地贷出短期资金,而利率不断下降,贷方蒙受不断少收利息的经济损失
D : 以浮动利率的条件借入长期资金后利率下降,借方蒙受相对于下降后的利率水平而
多付利息的经济损失
E : 以浮动利率的条件借入长期资金后利率上升,借方蒙受相对于期初的利率水平而多
付利息的经济损失
61 、 多选题
招标代理服务可以从()等业务中收取费用。
A : 编制预审文件
B : 编制标底
C : 组织定标
D : 编制招标方案
E : 协调合同的签订
62 、 多选题
当投资者担心利率上升给自己造成损失时,可以通过购买远期利率协议进行套期保值,
此类情况适用于()。
A : 打算在未来某一时间出售已持有债券的投资者
B : 打算在未来融资的公司
C : 打算在未来进行投资的公司
D : 在未来要发行短期贷款的金融机构
E : 在未来某日期将收到外汇的机构和个人
63 、 多选题
如果有一种生产要素可以变动,那么,该要素合理投入量应处于()。
A : 生产要素投入的第二区域
B : 平均产量和边际产量都递增的阶段
C : 平均产量和边际产量都递减并且大于零的阶段
D : 平均产量递增,而边际产量递减的阶段
64 、 多选题
下列属于直接来源的数据有()
A : 某公司通过入户调查得到的居民家庭消费数据
B : 通过《中国统计年鉴》得到的有关居民消费的相关数据
C : 通过购买某咨询机构的研究报告得到的某行业销售数据
D : 通过与某重点大型企业相关人员座谈得到的企业销售数据
E : 在《人口普查资料汇编》中得到的某地区人口数据65 、 多选题
下列财政补贴中,属于分配环节的有()。
A : 职工副食品补贴
B : 工矿产品价格补贴
C : 税收支出
D : 外贸企业的政策性亏损补贴
E : 财政贴息
66 、 多选题
根据支付结算法律制度的规定,下列关于银行卡销户的表述正确的有()。
A : 销户时,单位卡账户余额转入其基本存款账户,不得提取现金
B : 销户时,个人卡账户可以转账结清,也可以提取现金
C : 单位卡只有在销户时可以提取现金
D : 发卡银行办理销户,应当收回银行卡;有效银行卡无法收回的,应当将其止付
67 、 多选题
根据支付结算法律制度的规定,下列关于委托收款的表述中,正确的有()。
A : 委托收款是买卖合同由收款人发货后委托银行向异地付款人收取款项,由付款人向
银行承认付款的结算方式
B : 委托收款在同城、异地均可使用
C : 付款人应当于接到通知的当日书面通知银行付款,如果付款人未在接到通知之日
起3日内通知银行付款的,视同付款人同意付款
D : 付款人应当于接到通知的当日书面通知银行付款,如果付款人未在接到通知的次日
起3日内通知银行付款的,视同付款人同意付款
68 、 多选题
机电产品国际招标项目,在()情况下,投标保证金将被没收,不得返还。
A : 投标人在招标文件中规定的投标有效期内撤回其投标
B : 中标人在规定期限内未能按招标文件规定与招标人签订合同
C : 中标人在规定期限内未能根据招标文件规定提交履约保证金
D : 中标人未按招标文件规定交纳招标服务费
E : 中标人在规定期限内签订合同并提交履约保证金
69 、 多选题
某外国公司向国家知识产权局递交了一件发明专利申请,如果其要求享有一项外国优先
权,则应当满足下列哪些条件?()
A : 该申请应当自在先申请的申请日起十二个月内提出
B : 该申请的权利要求应当与在先申请的权利要求相同
C : 依照该外国同中国签订的协议或者共同参加的国际条约,或者依照相互承认优先权
的原则
D : 该外国公司应当在法定的期限内提交在先申请文件的副本70 、 多选题
弗里德曼把影响货币需求量的诸因素划分为()。
A : 各种金融资产
B : 恒常收入与财富结构
C : 各种资产预期收益和机会成本
D : 各种随机变量
E : 各种有价证券
71 、 多选题
关于奥肯定律的含义和作用的说法,正确的有()。
A : 奥肯定律揭示了通货膨胀和失业之间的关系
B : 奥肯定律揭示了经济增长和失业之间的关系
C : 奥肯定律的政策含义是政府应当把促进经济增长作为增加就业或降低失业的主要途
径
D : 奥肯定律揭示了经济增长和财政收入之间的关系
72 、 多选题
政府在对公共物品制定价格进行管理时,应遵循的原则有()。
A : 效益最大化原则
B : 利润最优原则
C : 正常利润原则
D : 使产量保持在高效率水平上的原则
73 、 多选题
下列属于流动负债的有()
A : 应付和预收款项
B : 应付债券
C : 应缴税金
D : 应付工资
E : 应付股利
74 、 多选题
封闭式基金与开放式基金的区别主要有()。
A : 投资者不同
B : 份额限制不同
C : 交易场所不同
D : 价格形成方式不同
E : 激励约束机制与投资策略不同75 、 多选题
固定资产投资统计的对象有()
A : 在报告期内进行固定资产投资活动的单位
B : 在报告期内进行固定资产投资活动的城镇居民
C : 在报告期内进行固定资产投资活动的农村居民
D : 在上一年度进行固定资产投资活动的居民
E : 在上一年度进行固定资产投资活动的单位
76 、 多选题
机电产品国际招标项目的投标保证金可以是下列()形式。
A : 银行保函
B : 信用证
C : 即期汇票
D : 保兑支票
E : 现金
77 、 多选题
工业中间投入按照具体内容不同,可分为()
A : 直接材料中的中间投入
B : 制造费用中的中间投入
C : 管理费用中的中间投入
D : 销售费用中的中间投入
E : 利息支出
78 、 多选题
投标保证金的形式有()。
A : 银行保函
B : 银行汇票
C : 银行本票
D : 现金支票
E : 现金
79 、 多选题
在封闭经济下,给定总产出和税收,如果政府支出升高,那么将会发生哪些现象?()
A : 居民消费下降
B : 国民储蓄下降
C : 实际利率升高
D : 投资下降80 、 多选题
根据《刑法》、《统计法》的有关规定,对于()的统计违法行为,需要对应《刑法》追
究刑事责任
A : 地方人民政府、政府统计机构或者有关部门、单位的负责人对依法履行职责或者拒
绝、抵制统计违法行为的统计人员打击报复,情节严重,构成犯罪的
B : 泄露统计调查对象的商业秘密、个人信息,情节严重,构成犯罪的
C : 统计机构、统计人员泄露国家秘密,情节严重,构成犯罪的
D : 拒绝、阻碍统计调查、统计检查,情节严重,构成犯罪的
E : 提供、泄露在统计调查中获得的能够识别或者推断单个统计调查对象身份资料,情
节严重,构成犯罪的
81 、 多选题
分支银行制度作为商业银行的一种组织形式,兼有其优缺点,其优点主要表现在()。
A : 管理难度大
B : 加速银行的垄断与集中
C : 规模效益高
D : 竞争力强
E : 易于监管
82 、 判断题
农林牧副渔业服务业包括各种科学技术和专业技术服务活动。()
A : 对
B : 错
83 、 判断题
当期生产的用于最终消费、固定资本形成和出口的产品就是最终产品。()
A : 对
B : 错
84 、 判断题
计算增加值时,既扣除中间消耗价值又扣除固定资产的转移价值。()
A : 对
B : 错
85 、 判断题
《科技综合统计报表制度》采用年度和周期为五年的滚动全面调查方法搜集数据。()
A : 对
B : 错86 、 判断题
统计上划分城乡是以居委会和村委会为基本单位,以国家批准的市辖区、县级市、县和
街道、镇、乡的行政区划为对象。()
A : 对
B : 错
87 、 判断题
水产品产量包括人工养殖的水产品和天然生长的水产品的捕捞量。()
A : 对
B : 错
88 、 判断题
统计资料就是指原始调查资料。()
A : 对
B : 错
89 、 判断题
由其他人搜集和整理得到的统计数据是原始数据。()
A : 对
B : 错
90 、 判断题
财政收入是政府财政参与国民经济分配过程所取得的总收入。()
A : 对
B : 错
91 、 判断题
统计机构应当依法履行其职权,不能放弃职权,但在一定情况下可以转让其职权。()
A : 对
B : 错
92 、 判断题
对同一个总体参数的两个无偏估计量,有效性相同。()
A : 对
B : 错93 、 判断题
全国的工业品调查目录一般五年修订一次,在产品更新换代等特殊情况下可提前修
订。()
A : 对
B : 错
94 、 判断题
根据经验数据,只有居民家庭的平均食物消费水平相当高时,收入的进一步增加才会对
食物支出发生重要影响。()
A : 对
B : 错
95 、 判断题
增加值能够反映各产业部门生产经营活动的总成果。()
A : 对
B : 错
96 、 判断题
按使用性质划分,能源可分为再生能源和非再生能源。()
A : 对
B : 错
B :
C :
D :
11 、 单选题
美达家具厂得知Z机关所建办公楼要购置一批办公桌椅,于2月1日致函Z机关以每套1000
元的优惠价格出售办公桌椅。Z机关考虑到美达家具厂生产的家具质量可靠,便于2月2
日回函订购300套桌椅,提出每套价格800元,同时要求3个月内将桌椅送至Z机关,验货
后7日内电汇付款。美达家具厂收到函件后,于2月4日又发函Z机关,同意Z机关提出的
订货数量、交货时间及方式、付款时间及方式,但同时提出其每套桌椅售价1000元已属
优惠价格,考虑Z机关所订桌椅数量较多,可以按每套桌椅900元出售。Z机关2月6日发
函表示同意。2月7日,美达家具厂电话告知Z机关收到2月6日函件。根据合同法律制度
的规定,该合同的要约为()。
A : 2月1日美达家具厂发出的函件
B : 2月2日z机关发出的函件
C : 2月4日美达家具厂发出的函件
D : 2月6日z机关发出的函件
12 、 单选题
在生产可能性曲线以内的任何一点都表示()。
A : 资源没有得到充分利用
B : 资源得到了充分利用
C : 可以利用的资源稀缺
D : 现有条件下无法实现的生产组合
13 、 单选题
下列有关IS-LM曲线说法错误的是()。
A : IS曲线上的点表明商品市场达到了均衡
B : LM曲线上的点表明货币市场达到了均衡
C : IS-LM曲线的交点表明商品市场和货币市场均达到了均衡
D : IS-LM曲线涉及对外贸易和外资14 、 单选题
事业单位处置国有资产,经主管部门审核后必须经()批准。
A : 上级财政部门
B : 同级财政部门
C : 上级人民代表大会
D : 同级人民代表大会
15 、 单选题
在其他条件不变的情况下,如果某产品需求价格弹性系数大于1,则当该产品价格提高
时,()。
A : 生产者的销售收入会减少
B : 不会影响生产者的销售收入
C : 生产者的销售收入会增加
D : 生产者的销售收入可能增加也可能减少
16 、 单选题
下列关于货币互换说法错误的是()。
A : 指买卖双方将一种货币的本金和固定利息与另一货币的等价本金和固定利息进行交
换的协议
B : 货币互换的买方在期初获得外币
C : 货币互换的买方在期初将与获得的外币等值的本币借给卖方
D : 合约到期时卖方向买方偿还外币本金
17 、 单选题
建立一个永久性国际货币基金组织属于()的内容。
A : 国际金本位制
B : 国际金汇兑体系
C : 布雷顿森林体系
D : 牙买加体系
18 、 单选题
社会公平的准则不包括()。
A : 保证生存权准则
B : 共同富裕准则
C : 效率与公平兼顾准则
D : 优势资源聚集准则
19 、 单选题()是指债券发行人有可能在债券到期日之前回购债券的风险。
A : 利率风险
B : 信用风险
C : 提前赎回风险
D : 通货膨胀风险
20 、 单选题
下列债券中,不属于外国债券的是()。
A : 扬基债券
B : 武士债券
C : 金边债券
D : 猛犬债券
21 、 单选题
如果我国在伦敦发行一笔人民币债券,则该笔交易属于()市场的范畴。
A : 欧洲债券
B : 外国债券
C : 扬基债券
D : 武士债券
22 、 单选题
财政政策在财政收入方面采取的措施是()。
A : 增税或减税
B : 增加政府开支和减少政府开支
C : 增税
D : 减税
23 、 单选题
纳税人在进行货物或劳务的交易时,通过提高价格的方法将其应负担的税收转移给货物
或劳务的购买者或最终消费者的税负转嫁形式称为()。
A : 前转
B : 后转
C : 混转
D : 消转
24 、 单选题
在政府采购项目招标投标中,招标人或者招标代理机构应当在收到供应商的书面质疑
后()个工作日内作出答复。
A : 5
B : 7C : 10
D : 15
25 、 单选题
下列所得中,免征个人所得税的是()。
A : 加班工资
B : 年终奖
C : 残疾人员所得
D : 离休工资
26 、 单选题
下列不属于博弈中通常包括的内容的是()。
A : 局中人
B : 策略
C : 占优战略均衡
D : 支付
27 、 单选题
按照《政府采购法》规定,供应商应当具备的资格条件不包括()。
A : 具有独立承担民事责任的能力
B : 具有良好的商业信誉和健全的财务会计制度
C : 具备依法纳税和缴纳社会保障资金的良好记录
D : 参加政府采购活动前2年内,在经营活动中没有重大违法记录
28 、 单选题
储备资产体现一个国家()
A : 国际支付能力
B : 国内支付能力
C : 国际支付能力和国内支付能力
D : 偿还能力
29 、 单选题
甲公司从乙农场购入10头种牛,乙农场违约,将部分带有传染病的种牛交付给甲公司,
致使甲公司所饲养的其他奶牛大量患病造成财产损失。根据合同法律制度的规定,甲公
司要求乙农场承担责任的方式是()。
A : 只能要求乙农场承担违约责任
B : 只能要求乙农场承担侵权责任
C : 要求乙农场既承担违约责任又承担侵权责任
D : 在违约责任或侵权责任中选择其一要求乙农场承担30 、 单选题
甲公司因资金紧张向乙公司借款100万元,以自己的小轿车设定抵押,该轿车市场价
为50万元。丙公司与丁公司为该债权提供保证。借款到期后,鉴于与甲公司一直以来合
作愉快,乙公司决定放弃对甲公司小轿车的抵押权。后乙公司要求丙公司与丁公司承担
保证责任。根据物权法律制度的规定,下列对该案的表述正确的是()。
A : 丙、丁公司有权拒绝承担保证责任
B : 丙、丁公司应承担100万元的保证责任
C : 丙、丁公司应承担50万元的保证责任
D : 因未通知丙、丁公司,乙公司的放弃行为无效
31 、 单选题
根据《商业银行风险监管核心指标》,我国商业银行核心资本充足率必须大于等于()。
A : 2%
B : 4%
C : 8%
D : 10%
32 、 单选题
下列关于公债特征的说法,不正确的是()。
A : 自愿性
B : 有偿性
C : 固定性
D : 灵活性
33 、 单选题
如果与一国居民发生经济金融交易的他国居民为政府或货币当局,政府或货币当局为债
务人,不能如期足额清偿债务,而使该国居民蒙受经济损失,这种可能性就是()。
A : 主权风险
B : 政治风险
C : 声誉风险
D : 法律风险
34 、 单选题
甲公司签发一张票据给乙公司,乙公司取得票据后背书转让给丙公司,丁公司提供保证,
丙公司取得票据后将票据赠送给戊公司。后来,甲公司发现乙公司交付的货物质量不符
合规定。根据票据法律制度的规定,下列各项说法中,正确的是()。
A : 戊公司向甲公司行使票据权利时,甲公司可以收到的货物质量不符合要求为由进行
抗辩
B : 丁公司向甲公司行使票据权利时,甲公司可以收到的货物质量不符合要求为由进行
抗辩
C : 丙公司向甲公司行使票据权利时,甲公司可以收到的货物质量不符合要求为由进行抗辩
D : 乙公司向甲公司行使票据权利时,甲公司可以收到的货物质量不符合要求为由进行
抗辩
35 、 单选题
国家统计局湖北调查总队在组织实施的统计调查中发生的统计违法案件,由()负责查处
A : 湖北省统计局
B : 国家统计局湖北调查总队
C : 国家统计局
D : 湖北省统计局和国家统计局湖北调查总队
36 、 单选题
为了实现一定时期国有经济的战略性调整,在国有资产营运过程中,需要采取有效措施,
以达到其目标,其中,()不是国有资产战略性调整的措施。
A : 加强国有产权转让管理
B : 维护国有产权合法权益
C : 打破行业的自然垄断,引入社会资本进行竞争,缩短国有经济过长的战线
D : 加强政府对国有资产运营的控制
37 、 单选题
根据《工程建设项目勘察设计招标投标办法》的有关规定,不属于废标情况和条件的
是()。
A : 以他人的名义投标
B : 以联合体形式投标,向招标人提供共同投标协议
C : 未能在实质上响应招标文件要求的投标
D : 未按要求密封
38 、 单选题
关系营销与传统营销的区别是()。
A : 对象
B : 组织方式
C : 对顾客的理解
D : 交易方式
39 、 单选题
下列不属于要素收入的是()。
A : 租金
B : 养老金
C : 银行存款利息
D : 红利40 、 单选题
在其他条件不变的情况下,某种商品的需求数量()。
A : 随着替代商品价格的提高而减少
B : 随着替代商品价格的提高而增加
C : 随着偏好的增加而减少
D : 随着互补品价格下降而减少
41 、 单选题
根据蒙代尔“有效市场分类原则”,当一国出现通货膨胀和国际收支逆差时,应采取的
措施是()。
A : 扩张的财政政策和紧缩的货币政策
B : 紧缩的财政政策和紧缩的货币政策
C : 紧缩的财政政策和扩张的货币政策
D : 扩张的财政政策和扩张的货币政策
42 、 单选题
某商品价格下降10%,销售量上升25%,则该商品的需求价格弹性系数为()。
A : 0.4
B : 0.8
C : 1.5
D : 2.5
43 、 单选题
甲公司与乙公司订立货物买卖合同,约定出卖人甲公司将货物送至丙公司,经丙公司验
收合格后,乙公司应付清货款。甲公司在送货前发现丙公司已濒于破产,遂未按时送货。
根据合同法律制度的规定,下列各项中,正确的是()。
A : 甲公司应向乙公司承担违约责任
B : 甲公司应向丙公司承担违约责任
C : 甲公司应向乙公司、丙公司分别承担违约责任
D : 甲公司不承担违约责任
44 、 单选题
根据我国《刑法》规定,单位犯串通投标罪的,()。
A : 只对单位处罚金
B : 对直接负责的主管人员处5年以下有期徒刑
C : 对直接负责的主管人员处拘役
D : 没收违法所得
45 、 单选题下列关于信托公司治理的表述,正确的是()。
A : 信托公司治理应当体现委托人利益最大化的基本原则
B : 信托公司无需建立合规管理机制,促使信托公司的经营活动与法律、规则和准则相
一致
C : 除上市信托公司外,持股未满两年的股东不得转让所持股份
D : 信托公司股东单独或与关联方合并持有公司50%以上股权的,股东大会选举董事、
监事应当实行累积投票制
46 、 单选题
世界银行集团由世界银行、国际开发协会和国际金融公司组成,向成员国提供金融服务
和技术援助,本质上属于()。
A : 金融监管机构
B : 契约性金融机构
C : 存款性金融机构
D : 开发性金融机构
47 、 单选题
投资者完全绕过证券商,相互间直接进行证券交易而形成的市场,称为()。
A : 一级市场
B : 二级市场
C : 第三市场
D : 第四市场
48 、 单选题
下列不属于信托文件必须载明的事项是()。
A : 信托目的
B : 受益人或者受益人范围
C : 信托期限
D : 委托人、受托人的姓名或者名称、住所
49 、 单选题
目前,()是我国最规范的企业年金法人受托机构主体。
A : 银行
B : 信托公司
C : 保险公司
D : 证券公司
50 、 单选题
下列关于融资租赁合同主要内容的描述,错误的是()。
A : 融资租赁合同的内容包括租赁和买卖两部分B : 融资租赁合同涉及三方当事人
C : 租赁标的物、租赁标的物的出卖人等条款属于买卖部分
D : 买卖部分内容包括标的物的价款及支付方式、承租人对买卖合同的确认等
51 、 单选题
高等教育服务被看作是一种()。
A : 混合物品
B : 纯公共物品
C : 私人物品
D : 公共物品
52 、 多选题
在货币传导机制上,凯恩斯学派()。
A : 强调利率的作用
B : 强调货币供应量的作用
C : 认为货币政策在增加国民收入的效果上,主要取决于投资的利率弹性
D : 认为货币政策影响通过调节货币的供应量而影响人们的意愿持有量,进而影响货币
收入
E : 考虑到了货币市场和商品市场的相互作用
53 、 多选题
世界贸易组织《政府采购协议》遵循()。
A : 公开原则
B : 透明度原则
C : 国民待遇和非歧视性待遇原则
D : 发达国家的特殊待遇和差别待遇原则
E : 发展中国家的特殊待遇和差别待遇原则
54 、 多选题
政策性金融机构的经营原则是()。
A : 政策性原则
B : 财政性原则
C : 安全性原则
D : 盈利性原则
E : 保本微利原则
55 、 多选题
在公债的发行方式中,必须通过金融市场或金融机构发行的是()。
A : 公募法
B : 承受法C : 出卖法
D : 支付发行法
E : 强制发行法
56 、 多选题
下列税种中,适合由地方政府实施征管的有()。
A : 印花税
B : 耕地占用税
C : 遗产和赠与税
D : 土地增值税
E : 增值税
57 、 多选题
下列关于GDP、国民总收入和国民可支配收入三者关系的叙述中,正确的有()
A : GDP经过分配之后,总代数和必定为0
B : 国民总收入为再分配的结果,并且大于国民可支配收入
C : 国民可支配收入为再分配的结果,并且大于国民总收入
D : 国民总收入作为初次分配的结果,它与GDP在数值上一般存在差额
E : 国民可支配总收入数值上等于国民总收入与来自国外的再分配收入净额二者之和
58 、 多选题
杜某拖欠谢某100万元。谢某请求杜某以登记在其名下的房屋抵债时,杜某称其已把房
屋作价90万元卖给赖某,房屋钥匙已交,但产权尚未过户。该房屋市值为120万元。有
关谢某权利的保护,下列说法不正确的有()。
A : 谢某可请求法院撤销杜某、赖某的买卖合同
B : 因房屋尚未过户,杜某、赖某买卖合同无效
C : 如谢某能举证杜某、赖某构成恶意串通,则杜某、赖某买卖合同无效
D : 谢某可以主张留置该房屋,阻止杜某和赖某办理房屋过户登记
59 、 多选题
布莱克-斯科尔斯模型的假定有()。
A : 无风险利率r为常数
B : 没有交易成本、税收和卖空限制,不存在无风险套利机会
C : 标的资产在期权到期时间之前按期支付股息和红利
D : 标的资产价格波动率为常数
E : 假定标的资产价格遵从混沌理论
60 、 多选题
借方的利率风险主要有()。
A : 以固定利率的条件贷出长期资金后利率上升,贷方蒙受相对于上升后的利率水平而少收利息的经济损失
B : 连续不断地借入短期资金,而利率不断上升,借方蒙受不断多付利息的经济损失
C : 连续不断地贷出短期资金,而利率不断下降,贷方蒙受不断少收利息的经济损失
D : 以浮动利率的条件借入长期资金后利率下降,借方蒙受相对于下降后的利率水平而
多付利息的经济损失
E : 以浮动利率的条件借入长期资金后利率上升,借方蒙受相对于期初的利率水平而多
付利息的经济损失
61 、 多选题
招标代理服务可以从()等业务中收取费用。
A : 编制预审文件
B : 编制标底
C : 组织定标
D : 编制招标方案
E : 协调合同的签订
62 、 多选题
当投资者担心利率上升给自己造成损失时,可以通过购买远期利率协议进行套期保值,
此类情况适用于()。
A : 打算在未来某一时间出售已持有债券的投资者
B : 打算在未来融资的公司
C : 打算在未来进行投资的公司
D : 在未来要发行短期贷款的金融机构
E : 在未来某日期将收到外汇的机构和个人
63 、 多选题
如果有一种生产要素可以变动,那么,该要素合理投入量应处于()。
A : 生产要素投入的第二区域
B : 平均产量和边际产量都递增的阶段
C : 平均产量和边际产量都递减并且大于零的阶段
D : 平均产量递增,而边际产量递减的阶段
64 、 多选题
下列属于直接来源的数据有()
A : 某公司通过入户调查得到的居民家庭消费数据
B : 通过《中国统计年鉴》得到的有关居民消费的相关数据
C : 通过购买某咨询机构的研究报告得到的某行业销售数据
D : 通过与某重点大型企业相关人员座谈得到的企业销售数据
E : 在《人口普查资料汇编》中得到的某地区人口数据65 、 多选题
下列财政补贴中,属于分配环节的有()。
A : 职工副食品补贴
B : 工矿产品价格补贴
C : 税收支出
D : 外贸企业的政策性亏损补贴
E : 财政贴息
66 、 多选题
根据支付结算法律制度的规定,下列关于银行卡销户的表述正确的有()。
A : 销户时,单位卡账户余额转入其基本存款账户,不得提取现金
B : 销户时,个人卡账户可以转账结清,也可以提取现金
C : 单位卡只有在销户时可以提取现金
D : 发卡银行办理销户,应当收回银行卡;有效银行卡无法收回的,应当将其止付
67 、 多选题
根据支付结算法律制度的规定,下列关于委托收款的表述中,正确的有()。
A : 委托收款是买卖合同由收款人发货后委托银行向异地付款人收取款项,由付款人向
银行承认付款的结算方式
B : 委托收款在同城、异地均可使用
C : 付款人应当于接到通知的当日书面通知银行付款,如果付款人未在接到通知之日
起3日内通知银行付款的,视同付款人同意付款
D : 付款人应当于接到通知的当日书面通知银行付款,如果付款人未在接到通知的次日
起3日内通知银行付款的,视同付款人同意付款
68 、 多选题
机电产品国际招标项目,在()情况下,投标保证金将被没收,不得返还。
A : 投标人在招标文件中规定的投标有效期内撤回其投标
B : 中标人在规定期限内未能按招标文件规定与招标人签订合同
C : 中标人在规定期限内未能根据招标文件规定提交履约保证金
D : 中标人未按招标文件规定交纳招标服务费
E : 中标人在规定期限内签订合同并提交履约保证金
69 、 多选题
某外国公司向国家知识产权局递交了一件发明专利申请,如果其要求享有一项外国优先
权,则应当满足下列哪些条件?()
A : 该申请应当自在先申请的申请日起十二个月内提出
B : 该申请的权利要求应当与在先申请的权利要求相同
C : 依照该外国同中国签订的协议或者共同参加的国际条约,或者依照相互承认优先权
的原则
D : 该外国公司应当在法定的期限内提交在先申请文件的副本70 、 多选题
弗里德曼把影响货币需求量的诸因素划分为()。
A : 各种金融资产
B : 恒常收入与财富结构
C : 各种资产预期收益和机会成本
D : 各种随机变量
E : 各种有价证券
71 、 多选题
关于奥肯定律的含义和作用的说法,正确的有()。
A : 奥肯定律揭示了通货膨胀和失业之间的关系
B : 奥肯定律揭示了经济增长和失业之间的关系
C : 奥肯定律的政策含义是政府应当把促进经济增长作为增加就业或降低失业的主要途
径
D : 奥肯定律揭示了经济增长和财政收入之间的关系
72 、 多选题
政府在对公共物品制定价格进行管理时,应遵循的原则有()。
A : 效益最大化原则
B : 利润最优原则
C : 正常利润原则
D : 使产量保持在高效率水平上的原则
73 、 多选题
下列属于流动负债的有()
A : 应付和预收款项
B : 应付债券
C : 应缴税金
D : 应付工资
E : 应付股利
74 、 多选题
封闭式基金与开放式基金的区别主要有()。
A : 投资者不同
B : 份额限制不同
C : 交易场所不同
D : 价格形成方式不同
E : 激励约束机制与投资策略不同75 、 多选题
固定资产投资统计的对象有()
A : 在报告期内进行固定资产投资活动的单位
B : 在报告期内进行固定资产投资活动的城镇居民
C : 在报告期内进行固定资产投资活动的农村居民
D : 在上一年度进行固定资产投资活动的居民
E : 在上一年度进行固定资产投资活动的单位
76 、 多选题
机电产品国际招标项目的投标保证金可以是下列()形式。
A : 银行保函
B : 信用证
C : 即期汇票
D : 保兑支票
E : 现金
77 、 多选题
工业中间投入按照具体内容不同,可分为()
A : 直接材料中的中间投入
B : 制造费用中的中间投入
C : 管理费用中的中间投入
D : 销售费用中的中间投入
E : 利息支出
78 、 多选题
投标保证金的形式有()。
A : 银行保函
B : 银行汇票
C : 银行本票
D : 现金支票
E : 现金
79 、 多选题
在封闭经济下,给定总产出和税收,如果政府支出升高,那么将会发生哪些现象?()
A : 居民消费下降
B : 国民储蓄下降
C : 实际利率升高
D : 投资下降80 、 多选题
根据《刑法》、《统计法》的有关规定,对于()的统计违法行为,需要对应《刑法》追
究刑事责任
A : 地方人民政府、政府统计机构或者有关部门、单位的负责人对依法履行职责或者拒
绝、抵制统计违法行为的统计人员打击报复,情节严重,构成犯罪的
B : 泄露统计调查对象的商业秘密、个人信息,情节严重,构成犯罪的
C : 统计机构、统计人员泄露国家秘密,情节严重,构成犯罪的
D : 拒绝、阻碍统计调查、统计检查,情节严重,构成犯罪的
E : 提供、泄露在统计调查中获得的能够识别或者推断单个统计调查对象身份资料,情
节严重,构成犯罪的
81 、 多选题
分支银行制度作为商业银行的一种组织形式,兼有其优缺点,其优点主要表现在()。
A : 管理难度大
B : 加速银行的垄断与集中
C : 规模效益高
D : 竞争力强
E : 易于监管
82 、 判断题
农林牧副渔业服务业包括各种科学技术和专业技术服务活动。()
A : 对
B : 错
83 、 判断题
当期生产的用于最终消费、固定资本形成和出口的产品就是最终产品。()
A : 对
B : 错
84 、 判断题
计算增加值时,既扣除中间消耗价值又扣除固定资产的转移价值。()
A : 对
B : 错
85 、 判断题
《科技综合统计报表制度》采用年度和周期为五年的滚动全面调查方法搜集数据。()
A : 对
B : 错86 、 判断题
统计上划分城乡是以居委会和村委会为基本单位,以国家批准的市辖区、县级市、县和
街道、镇、乡的行政区划为对象。()
A : 对
B : 错
87 、 判断题
水产品产量包括人工养殖的水产品和天然生长的水产品的捕捞量。()
A : 对
B : 错
88 、 判断题
统计资料就是指原始调查资料。()
A : 对
B : 错
89 、 判断题
由其他人搜集和整理得到的统计数据是原始数据。()
A : 对
B : 错
90 、 判断题
财政收入是政府财政参与国民经济分配过程所取得的总收入。()
A : 对
B : 错
91 、 判断题
统计机构应当依法履行其职权,不能放弃职权,但在一定情况下可以转让其职权。()
A : 对
B : 错
92 、 判断题
对同一个总体参数的两个无偏估计量,有效性相同。()
A : 对
B : 错93 、 判断题
全国的工业品调查目录一般五年修订一次,在产品更新换代等特殊情况下可提前修
订。()
A : 对
B : 错
94 、 判断题
根据经验数据,只有居民家庭的平均食物消费水平相当高时,收入的进一步增加才会对
食物支出发生重要影响。()
A : 对
B : 错
95 、 判断题
增加值能够反映各产业部门生产经营活动的总成果。()
A : 对
B : 错
96 、 判断题
按使用性质划分,能源可分为再生能源和非再生能源。()
A : 对
B : 错