文档内容
军队文职人员招聘考试《经济学》预测试题五
即刻题库 www.jike.vip
1 、 单选题
今后,要逐步改革政策性金融的运作机制和方式,对政策性金融业务要实行()。
A : 行政审批制度
B : 公开透明的招标制
C : 公平的市场运作
D : 强化政策性金融机构的统一管理
2 、 单选题
下列关于居民最终消费支出的叙述,正确的是()
A : 只包括消费品支出
B : 不包括消费服务支出
C : 不包括虚拟支出
D : 不包括在珍贵物品方面的支出
3 、 单选题
财政补贴的主要对象是()。
A : 国家机关
B : 主管部门
C : 企业和居民
D : 生活必需品
4 、 单选题
除设备的使用权外,出租人还要向承租人提供设备的保养、保险、维修和其他专门性技
术服务的租赁属于()。
A : 短期租赁
B : 长期租赁
C : 融资租赁
D : 经营租赁
5 、 单选题()要求采购方及其代理人相对于作为投标人、潜在投标人的若干供应商而言,应当站在
公允的立场上,对所有的供应竞争者都应当平等对待。
A : 诚实守信原则
B : 公开透明原则
C : 公正原则
D : 公平竞争原则
6 、 单选题
某企业生产平均成本达到最小值,那么该企业()。
A : 利润达到最大值
B : 超额利润为零
C : 边际成本等于平均成本
D : 边际成本大于平均成本
7 、 单选题
在我国开盘价是集合竞价的结果,竞价时间为()。
A : 9:15~9:20
B : 9:15~9:25
C : 9:15~9:30
D : 9:00~9:10
8 、 单选题
税务机关对纳税人未按照规定的期限缴纳税款的,可责令限期缴纳,逾期仍未缴纳的,
经县以上税务局批准,可采取的正确措施是()。
A : 书面通知纳税人开户银行或其他金融机构暂停支付纳税人存款
B : 书面通知纳税人开户银行或其他金融机构从其存款中扣缴税款
C : 扣押纳税人的价值高于应纳税款的商品、货物或其他财产
D : 查封纳税人的商品、货物或者其他财产
9 、 单选题
工资、薪金应纳税所得额是以每月所得扣除一·定费用后的余额,此费用是()元。
A : 800
B : 960
C : 1600
D : 3500
10 、 单选题
金融工程中的()为金融创新思想具体化、可操作的金融产品提供了技术方法。
A : 套利定价法
B : 状态价格定价技术C : 积木分析法
D : 风险中性定价法
11 、 单选题
建筑企业从其关联方接受债权性投资与权益性投资的比例超过()而发生的利息支出,不
得在计算应纳税所得额时扣除。
A : 5:1
B : 3:1
C : 2:1
D : 1:1
12 、 单选题
根据中国银行业监督管理委员会2005年发布的《商业银行风险监管核心指标》,“风险
监管核心指标”分为风险水平、风险迁徙和()三个层次。
A : 风险控制
B : 风险抵补
C : 风险识别
D : 风险测度
13 、 单选题
通过征税获得的收入要能满足一定时期财政支出的需要,体现的税收原则是()。
A : 弹性原则
B : 充裕原则
C : 便利原则
D : 节约原则
14 、 单选题
弗里德曼认为货币政策的传导变量应为()。
A : 货币供应量
B : 利率
C : 物价水平
D : 基础货币
15 、 单选题
商业银行致力于与客户建立更加稳定的关系,属于商业银行市场营销中的()。
A : 关系营销
B : 用户管理
C : 传统营销
D : 产品营销16 、 单选题
已知等成本曲线与等产量曲线既不相交也不相切,此时,要达到等产量曲线所表示的产
出水平,应该()。
A : 增加投入
B : 保持原投入不变
C : 减少投入
D : 或A或B
17 、 单选题
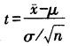
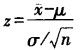
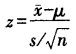
大样本情况下,当总体方差未知时,总体均值检验的统计量为()
A :
B :
C :
D :
18 、 单选题
甲侵犯了乙的专利权,对该侵犯专利权的赔偿数额存有争议。经查:如按实际损失计算
为45万元,如按侵权人获利计算为55万元。乙并提出应参照专利许可使用费的倍数计算
为80万元。下列表述正确的是:()
A : 甲应赔偿45万元
B : 甲应赔偿55万元
C : 甲应赔偿80万元
D : 甲应赔偿60万元
19 、 单选题
我国所得税税制改革立足于促进社会公平与提升所得税收入比重,以逐步建立健全()的
个人所得税制为重点,完善所得税制。
A : 分类
B : 综合
C : 综合与分类相结合
D : 工薪所得与资本所得相结合20 、 单选题
根据物权法律制度的规定,下列关于住宅建设用地使用权期间届满后续期问题的表述中,
正确的是()。
A : 自动续期
B : 建设用地使用权收归国有,不得续期
C : 经县级以上人民政府批准,可以续期
D : 经不动产登记机构批准,可以续期
21 、 单选题
甲、乙签订了买卖合同,甲以乙为收款人开出一张票面金额为5万元的银行承兑汇票,
作为预付款交付于乙,乙接受汇票后将其背书转让给丙。后甲、乙之间的合同因故被撤
销。甲的下列权利主张中,符合《票据法》规定的是()。
A : 甲有权要求乙返还汇票
B : 甲有权要求丙返还汇票
C : 甲有权请求付款银行停止支付
D : 甲有权要求乙返还5万元预付款
22 、 单选题
统计调查和统计分析的对象是()
A : 国民经济发展情况
B : 国情国力和社会发展情况
C : 经济发展和人民生活情况
D : 国民经济和社会发展情况
23 、 单选题
甲公司为购买货物而将所持有的汇票背书转让给乙公司,但因担心以此方式付款后对方
不交货,因此在背书栏中记载了“乙公司必须按期保质交货,否则不付款”的字样。乙
公司在收到票据后没有按期交货。根据票据法律制度的规定,下列表述中,正确的是()。
A : 背书无效
B : 背书有效,乙公司的后手持票人应受上述记载约束
C : 背书有效,上述记载没有汇票上的效力
D : 票据无效
24 、 单选题
产品产量与单件成本的相关系数是-0.80,单位成本与利润率的相关系数是-0.94,产量
与利润率之间的相关系数是0.89,因此()
A : 产量与利润率的相关程度最高
B : 单位成本与利润率的相关程度最高
C : 产量与单位成本的相关程度最高D : 反映不出哪对变量的相关程度最高
25 、 单选题
大中型企业科技活动的统计范围是()
A : 大中型企业的科学研究与试验发展及成果应用
B : 技术开发
C : 基础研究
D : 科技服务
26 、 单选题
下列财政支出项目中,适宜采取“公共劳务”收费法的是()。
A : 基本建设投资支出
B : 国防支出
C : 城市供水与排水支出
D : 电力支出
27 、 单选题
已知同一指标不同年度的数值排列顺序,欲求季节比率,则()
A : 用按月(季)平均法
B : 用移动平均趋势剔除法
C : 上述两种方法都可以
D : 上述两种方法都不可以
28 、 单选题
我国银行间外汇市场的调控者是()。
A : 国家外汇管理局
B : 中国人民银行
C : 中国外汇交易中
D : 证监会
29 、 单选题
下列关于关税的说法中,错误的是()。
A : 贸易性商品的纳税人是经营进出口货物的收货人、发货人
B : 出口货物的征税品种不宜太多
C : 关税的完税价格是海关以进出口货物的合同约定价格为基础审定的价格
D : 关税税额在人民币50元以下的一票出口货物免税
30 、 单选题甲是票据的收款人,乙伪造甲的签章将该票据背书转让给知情的丙。根据票据与支付结
算法律制度的规定,下列表述中不正确的是()。
A : 背书行为无效
B : 丙取得票据权利
C : 甲仍是票据权利人
D : 乙不需要承担票据责任
31 、 单选题
银行机构的流动性比率应当()。
A : 越高越好
B : 越低越好
C : 保护适度水平
D : 高于平均
32 、 单选题
若厂商的销售收入随着商品价格的上升而减少,那么这种产品的需求弹性为()。
A : 缺乏弹性
B : 富有弹性
C : 具有单位弹性
D : 无法确定
33 、 单选题
关于个人取得利息所得计征个人所得税的说法,错误的是()。
A : 个人取得的企业债券利息所得,暂免征收个人所得税
B : 储蓄存款孳生的利息所得,暂免征收个人所得税
C : 个人取得国债利息所得,免征个人所得税
D : 个人取得的教育储蓄存款利息所得,免征个人所得税
34 、 单选题
()认为政府管制为被管制者留下了“猫鼠追逐”的余地。
A : 公共利益论
B : 社会选择论
C : 特殊利益论
D : 经济监管论
35 、 单选题
货币供给包括()和货币供给行为两个方面。
A : 货币总量
B : 资金运用量
C : 货币流通量D : 货币供应量
36 、 单选题
如果中国政府在美国纽约发行一笔美元债券,则该笔债券属于()的范畴。
A : 外国债券
B : 猛犬债券
C : 武士债券
D : 欧洲债券
37 、 单选题
零售业指百货商店、超级市场等主要面向最终消费者(如居民)的销售活动。包括()
A : 网上商店
B : 谷物、种子等生产资料的销售
C : 零售单位所在地的物业管理
D : 汽车修理单位销售汽车零件
38 、 单选题
凯恩斯认为,利率由()等因素共同决定。
A : 储蓄、投资
B : 货币的供给、需求
C : 可贷资金的供给、需求
D : 商品的消费、供给
39 、 单选题
下列关于国家风险的表述,正确的是()。
A : 政治风险在于他国因政权更迭等而拒绝或无力对外支付
B : 社会风险在于政局动荡、战争等政治因素恶化
C : 在国际金融活动中,个人不会承受到国家风险
D : 国家风险通常是由债权人所在国家的事件引起的,超出了债务人的控制范围
40 、 单选题
假定某企业总成本函数为TC=30000+5Q-Q2,Q为产出数量,那么TVC为()。
A : 30000
B : 5Q-Q2
C : 5-Q
D : 30000/Q
41 、 单选题甲向乙借款,为担保债务履行,将一辆汽车出质给乙。乙不慎将汽车损坏。根据物权及
合同法律制度的规定,下列表述中,正确的是()。
A : 甲有权拒绝归还借款并要求乙赔偿损失
B : 甲有权要求解除质押合同
C : 甲有权要求乙立即赔偿损失,或在借款到期时在损失赔偿范围内相应抵销其对乙所
负的债务
D : 甲有权要求延期还款
42 、 单选题
下列有关招标公告的表述中,不正确的是()。
A : 招标人采用公开招标方式的,应当发布招标公告
B : 依法必须进行招标的项目的招标公告,应当通过国务院发展改革部门指定的报刊、
信息网络或者其他媒介发布
C : 招标公告内容应当真实、准确和完整
D : 招标公告一经发出即构成招标活动的要约,招标人不得随意更改
43 、 单选题
下列关于远期利率协议涉及的三个时间点说法错误的是()。
A : 远期利率协议的三个时间点分别为生效日、交割日和到期日
B : 4×6的远期利率协议表示距离交割日为4个月,距离到期日为6个月
C : 从3×9的远期利率协议可以知道名义贷款权限为6个月
D : 远期利率协议的交割日是在名义贷款期末
44 、 单选题
一般性货币政策的主要作用在于对()进行总量调控,对整个经济产生影响。
A : 货币贮存量
B : 货币供应量
C : 货币发行量
D : 现金发行量
45 、 单选题
在招投标活动中,被质疑人是()。
A : 招标人或招标代理机构
B : 投标人
C : 供应商
D : 任何人
46 、 单选题
一种商品的需求曲线向右下方倾斜,如果生产该种商品的生产要素的价格上升,那么()。
A : 均衡数量增加,均衡价格上升B : 均衡数量增加,均衡价格下降
C : 均衡数量减少,均衡价格上升
D : 均衡数量减少,均衡价格下降
47 、 单选题
金融市场上最活跃的交易者是()。
A : 监管机构
B : 企业
C : 中央银行
D : 金融机构
48 、 单选题
菲利普斯曲线说明了货币政策之间存在矛盾的是()。
A : 经济增长与充分就业
B : 经济增长与稳定物价
C : 稳定物价与充分就业
D : 经济增长与国际收支平衡
49 、 单选题
行政机关在做出行政处罚决定(),应当告知当事人做出行政处罚决定的事实、理由及依
据,并告知当事人依法享有的权利
A : 同时
B : 之前
C : 之前或同时
D : 之后
50 、 单选题
目前,根据我国税法,北京市下列单位中不属于增值税纳税人的是()。
A : 百货商场
B : 运输公司
C : 汽车修理公司
D : 房屋中介公司
51 、 单选题
《关于工资总额组成的规定》在性质属于()
A : 统计法律
B : 法规性文件
C : 统计行政法规
D : 统计基本法52 、 多选题
从微观经济分析的角度,经济学通常将市场分为两大类,即用于最终消费的产品市场和
用于生产的要素市场,产品市场与要素市场的区别有()。
A : 派生需求
B : 需求互异
C : 价格不同
D : 收入不同
53 、 多选题
下列关于税收效率原则的表述中正确的有()。
A : 税收要有利于社会从可利用的资源中获得最大的利益
B : 税收要有利于经济机制的有效运行
C : 征收制度要简便,征收费用要节省
D : 税收要最大限度地取得财政收入
E : 税收要有利于社会公平分配
54 、 多选题
四部门经济中均衡国民收入的决定中涉及的函数有()。
A : 出口函数
B : 进口函数
C : 消费函数
D : 投资函数
55 、 多选题
金融监管的基本原则包括()。
A : 监管主体独立性
B : 依法监管
C : 外部监管为主
D : 自律并重为辅
E : 适度竞争
56 、 多选题
对拟发行股票的合理估值是首次公开发行股票定价的基础。下列估值方法中,属于相对
估值法的有()。
A : 市盈率倍数估值法
B : 市净率倍数估值法
C : 股利折现模型
D : 折现现金流模型
E : 企业价值与利息、所得税、折旧、摊销前收益倍数估值法57 、 多选题
政策性银行与商业银行比较,其共性的方面包括()。
A : 严格审查贷款程序
B : 经营目标的非盈利性
C : 贷款要偿还本金
D : 贷款要付利息
E : 资金来源主要为吸收存款
58 、 多选题
统计设计环节包括()
A : 设计指标体系
B : 建立无数据标准
C : 设计统计报表制度
D : 编制审核规则
E : 制定技术标准,设计生产系统和工作流程
59 、 多选题
搜集统计数据的方法主要有()
A : 普查
B : 抽样调查
C : 统计报表
D : 重点调查
E : 典型调查
60 、 多选题
下列可以作为纳税担保人的是()。
A : 有纳税担保能力的公民
B : 检察院
C : 审计署
D : 财政局
E : 具有纳税担保能力的经济组织
61 、 多选题
甲伪造乙的签章,签发一张支票给丙,丙背书给善意不知情的丁,当丁主张票据权利时,
下列说法正确的有()。
A : 甲不承担票据责任
B : 乙不承担票据责任
C : 丙不承担票据责任
D : 丁不享有票据权利62 、 多选题
衡量我国收益合理性的指标为()。
A : 成本收入比
B : 准备金利率
C : 资产利润率
D : 资本利润率
E : 拆借资金比例
63 、 多选题
我国商业银行控制贷款资产风险的主要措施有()。
A : 增强风险防范意识
B : 增加担保抵押贷款的比重
C : 严格贷款审批制度
D : 推行贷款五级分类管理
E : 完善信息系统
64 、 多选题
根据票据法律制度的规定,票据质押背书的被背书人所为的下列背书行为中,无效的
有()。
A : 委托收款背书
B : 有偿转让背书
C : 再质押背书
D : 无偿转让背书
65 、 多选题
影响总需求变动的因素主要有()。
A : 利率
B : 货币供给量
C : 政府购买
D : 税收
66 、 多选题
某县电视台将某市电视台播放的娱乐节目和电视剧收录下来,然后在县电视台播放。此
事被某市电视台发现后出面制止,但没有结果。你认为县电视台的做法:()
A : 侵犯了某市电视台的播放权
B : 侵犯了电视剧制作者的著作权
C : 属于合理使用作品,未侵犯任何人的著作权
D : 不应由著作权法调整,因为电视节目并非作品67 、 多选题
关于无差异曲线特征的说法,正确的有()。
A : 无差异曲线从左向右上倾斜
B : 离原点越远的无差异曲线,消费者的偏好程度越高
C : 任意两条无差异曲线都不能相交
D : 无差异曲线是凸向原点的
68 、 多选题
根据《政府采购供应商投诉处理办法》的规定,财政部门作出处理决定,应当制作投诉
处理决定书,投诉处理决定书应当包括()内容。
A : 做出处理决定的日期
B : 被投诉人的答辩及请求
C : 委托代理人的姓名、职业、住址、联系方式等
D : 告知投诉人行政复议申请权
E : 处理决定的具体内容及事实根据和法律依据
69 、 多选题
下列关于金融租赁和融资租赁的说法正确的有()。
A : 金融租赁公司可以吸收非银行股东3个月(含)以上定期存款
B : 融资租赁公司只能从股东处借款,不能吸收股东存款
C : 融资租赁公司经营正常后可进入同业拆借市场
D : 金融租赁公司的租赁物为“固定资产”
E : 融资租赁企业按照“风险资产不得超过净资产总额的5倍”的要求进行风险管理
70 、 多选题
地铁价格上调后,居民对出租车服务的需求()。
A : 需求增加
B : 需求量减少
C : 需求曲线右移
D : 需求曲线左移
E : 无法确定需求变动方向
71 、 多选题
我国衡量资产流动性的指标有()。
A : 流动性比例不得高于25%
B : 流动负债依存度不得高于60%
C : 流动性缺口率不得低于-10%
D : 流动性比例不得低于25%
E : 流动资产比例不得低于70%72 、 多选题
农村信用社实行()政策。
A : 国家管理
B : 中外合资
C : 自主经营
D : 独立核算
E : 自负盈亏
73 、 多选题
统计行政处罚法定原则内容包括()
A : 法无明文规定不处罚,处罚依据法定
B : 实施统计行政处罚的主体是法定的
C : 实施统计行政处罚主体享有的职权是法定的
D : 统计行政处罚要“过罚相当”
E : 统计行政处罚的程序是法定的
74 、 多选题
我国的财务公司的主要业务包括()。
A : 信用鉴证
B : 票据承兑
C : 股票投资
D : 委托贷款
E : 委托投资
75 、 多选题
甲对乙享有50000元债权,已到清偿期限,但乙一直宣称其无力清偿欠款;甲调查后发
现下列情况,乙均怠于行使债权,其中,甲可以代位行使债权的有()。
A : 个体工商户张某欠付乙的3个月工资,共计12000元
B : 刘某欠付乙的到期房屋租金8000元
C : 赵某欠付乙的赌债6000元
D : 孙某欠付乙的3个月前到期的借款20000元
76 、 多选题
税收的公平原则包括()。
A : 普遍原则
B : 效率原则
C : 平等原则
D : 确定原则
E : 节约原则77 、 多选题
典型调查()
A : 是一种非全面调查
B : 可以补充全面调查的不足
C : 在一定条件下可以验证全面调查数据的真实性
D : 容易受人们主观认识上的影响
E : 必须同其他调查结合起来使用才能避免出现片面性
78 、 多选题
金融活动包括()
A : 现金流通
B : 货币资金的借贷与清偿
C : 有价证券的发行和流通
D : 外汇资金的买卖
E : 商品流通
79 、 多选题
下列关于租赁的说法正确的有()。
A : 租赁交易只形成物权中用益物权的转移
B : 租赁转移的是资产的使用权
C : 租赁和买卖交易一样形成物权的整体转移
D : 租赁中资产权利的转移是有偿的
E : 租赁中资产权利的转移是无偿的
80 、 多选题
在现代市场经济条件下,社会总需求由()所构成。
A : 转移性支出
B : 政府的消费性需求
C : 个人与经济组织的投资需求
D : 个人与经济组织的消费需求
E : 积累性需求
81 、 多选题
工业企业能源消费包括()
A : 用于本企业产品生产、工业性作业和其他生产性活动的能源
B : 用于劳动保护的能源
C : 回收利用的余热、余能
D : 调拨到外单位,委托外单位加工用的能源
E : 调出本单位或借给外单位的能源82 、 判断题
房地产开发和城乡居民购买商品房屋的支出均纳入固定资产投资统计范围。()
A : 对
B : 错
83 、 判断题
拉氏价格指数和派氏价格指数计算结果不同,是因为拉氏价格指数主要受报告期商品结
构的影响,而派氏价格指数主要受基期商品结构的影响。()
A : 对
B : 错
84 、 判断题
具备从业人员人数200人的企业可称为中型企业。()
A : 对
B : 错
85 、 判断题
对违法所得的没收,本质上是一种追缴,是违法行为人因实施违法行为所付出的代
价。()
A : 对
B : 错
86 、 判断题
A : 对
B : 错
87 、 判断题
如果估计量的期望值等于被估参数,这个估计量就称为被估参数的无偏估计量。()
A : 对
B : 错
88 、 判断题
收入指企业在销售商品、提供劳务及让渡资产使用权等日常活动中所形成的经济利益的
总流入,包括主营业务收入和其他业务收入等。()A : 对
B : 错
89 、 判断题
对利用行政记录可以获得的统计资料,无需再通过其他统计调查方法获取。()
A : 对
B : 错
90 、 判断题
房地产开发业统计调查单位是具有法人资格的独立核算的房地产开发与经营单位,还包
括附营的房地产开发与经营业务活动单位。()
A : 对
B : 错
91 、 判断题
随着居民家庭收入不断增加,家庭收入中用来购买食物的支出的比重会上升。()
A : 对
B : 错
92 、 判断题
学前教育毛入园率是指学前教育在园人数占国家规定的年龄组人口数的比重。()
A : 对
B : 错
93 、 判断题
我国现有的周期性普查包括:每隔10年开展一次的人口普查、农业普查和每隔5年开展
一次的经济普查。()
A : 对
B : 错
94 、 判断题
客运量是指一定时期内各种运输工具实际运送的旅客数量。旅客不论行程远近或票价多
少,均按一人一次客运量统计。()
A : 对
B : 错95 、 判断题
区间估计是包括样本统计量在内的一个区间,该区间通常是由样本统计量加减估计标准
误差得到的。()
A : 对
B : 错
96 、 判断题
统计调查中获得的能够识别或者推断单个调查对象身份的资料,任何单位和个人不得对
外提供、泄漏,不得用于统计以外的目的。()
A : 对
B : 错
B :
C :
D :
18 、 单选题
甲侵犯了乙的专利权,对该侵犯专利权的赔偿数额存有争议。经查:如按实际损失计算
为45万元,如按侵权人获利计算为55万元。乙并提出应参照专利许可使用费的倍数计算
为80万元。下列表述正确的是:()
A : 甲应赔偿45万元
B : 甲应赔偿55万元
C : 甲应赔偿80万元
D : 甲应赔偿60万元
19 、 单选题
我国所得税税制改革立足于促进社会公平与提升所得税收入比重,以逐步建立健全()的
个人所得税制为重点,完善所得税制。
A : 分类
B : 综合
C : 综合与分类相结合
D : 工薪所得与资本所得相结合20 、 单选题
根据物权法律制度的规定,下列关于住宅建设用地使用权期间届满后续期问题的表述中,
正确的是()。
A : 自动续期
B : 建设用地使用权收归国有,不得续期
C : 经县级以上人民政府批准,可以续期
D : 经不动产登记机构批准,可以续期
21 、 单选题
甲、乙签订了买卖合同,甲以乙为收款人开出一张票面金额为5万元的银行承兑汇票,
作为预付款交付于乙,乙接受汇票后将其背书转让给丙。后甲、乙之间的合同因故被撤
销。甲的下列权利主张中,符合《票据法》规定的是()。
A : 甲有权要求乙返还汇票
B : 甲有权要求丙返还汇票
C : 甲有权请求付款银行停止支付
D : 甲有权要求乙返还5万元预付款
22 、 单选题
统计调查和统计分析的对象是()
A : 国民经济发展情况
B : 国情国力和社会发展情况
C : 经济发展和人民生活情况
D : 国民经济和社会发展情况
23 、 单选题
甲公司为购买货物而将所持有的汇票背书转让给乙公司,但因担心以此方式付款后对方
不交货,因此在背书栏中记载了“乙公司必须按期保质交货,否则不付款”的字样。乙
公司在收到票据后没有按期交货。根据票据法律制度的规定,下列表述中,正确的是()。
A : 背书无效
B : 背书有效,乙公司的后手持票人应受上述记载约束
C : 背书有效,上述记载没有汇票上的效力
D : 票据无效
24 、 单选题
产品产量与单件成本的相关系数是-0.80,单位成本与利润率的相关系数是-0.94,产量
与利润率之间的相关系数是0.89,因此()
A : 产量与利润率的相关程度最高
B : 单位成本与利润率的相关程度最高
C : 产量与单位成本的相关程度最高D : 反映不出哪对变量的相关程度最高
25 、 单选题
大中型企业科技活动的统计范围是()
A : 大中型企业的科学研究与试验发展及成果应用
B : 技术开发
C : 基础研究
D : 科技服务
26 、 单选题
下列财政支出项目中,适宜采取“公共劳务”收费法的是()。
A : 基本建设投资支出
B : 国防支出
C : 城市供水与排水支出
D : 电力支出
27 、 单选题
已知同一指标不同年度的数值排列顺序,欲求季节比率,则()
A : 用按月(季)平均法
B : 用移动平均趋势剔除法
C : 上述两种方法都可以
D : 上述两种方法都不可以
28 、 单选题
我国银行间外汇市场的调控者是()。
A : 国家外汇管理局
B : 中国人民银行
C : 中国外汇交易中
D : 证监会
29 、 单选题
下列关于关税的说法中,错误的是()。
A : 贸易性商品的纳税人是经营进出口货物的收货人、发货人
B : 出口货物的征税品种不宜太多
C : 关税的完税价格是海关以进出口货物的合同约定价格为基础审定的价格
D : 关税税额在人民币50元以下的一票出口货物免税
30 、 单选题甲是票据的收款人,乙伪造甲的签章将该票据背书转让给知情的丙。根据票据与支付结
算法律制度的规定,下列表述中不正确的是()。
A : 背书行为无效
B : 丙取得票据权利
C : 甲仍是票据权利人
D : 乙不需要承担票据责任
31 、 单选题
银行机构的流动性比率应当()。
A : 越高越好
B : 越低越好
C : 保护适度水平
D : 高于平均
32 、 单选题
若厂商的销售收入随着商品价格的上升而减少,那么这种产品的需求弹性为()。
A : 缺乏弹性
B : 富有弹性
C : 具有单位弹性
D : 无法确定
33 、 单选题
关于个人取得利息所得计征个人所得税的说法,错误的是()。
A : 个人取得的企业债券利息所得,暂免征收个人所得税
B : 储蓄存款孳生的利息所得,暂免征收个人所得税
C : 个人取得国债利息所得,免征个人所得税
D : 个人取得的教育储蓄存款利息所得,免征个人所得税
34 、 单选题
()认为政府管制为被管制者留下了“猫鼠追逐”的余地。
A : 公共利益论
B : 社会选择论
C : 特殊利益论
D : 经济监管论
35 、 单选题
货币供给包括()和货币供给行为两个方面。
A : 货币总量
B : 资金运用量
C : 货币流通量D : 货币供应量
36 、 单选题
如果中国政府在美国纽约发行一笔美元债券,则该笔债券属于()的范畴。
A : 外国债券
B : 猛犬债券
C : 武士债券
D : 欧洲债券
37 、 单选题
零售业指百货商店、超级市场等主要面向最终消费者(如居民)的销售活动。包括()
A : 网上商店
B : 谷物、种子等生产资料的销售
C : 零售单位所在地的物业管理
D : 汽车修理单位销售汽车零件
38 、 单选题
凯恩斯认为,利率由()等因素共同决定。
A : 储蓄、投资
B : 货币的供给、需求
C : 可贷资金的供给、需求
D : 商品的消费、供给
39 、 单选题
下列关于国家风险的表述,正确的是()。
A : 政治风险在于他国因政权更迭等而拒绝或无力对外支付
B : 社会风险在于政局动荡、战争等政治因素恶化
C : 在国际金融活动中,个人不会承受到国家风险
D : 国家风险通常是由债权人所在国家的事件引起的,超出了债务人的控制范围
40 、 单选题
假定某企业总成本函数为TC=30000+5Q-Q2,Q为产出数量,那么TVC为()。
A : 30000
B : 5Q-Q2
C : 5-Q
D : 30000/Q
41 、 单选题甲向乙借款,为担保债务履行,将一辆汽车出质给乙。乙不慎将汽车损坏。根据物权及
合同法律制度的规定,下列表述中,正确的是()。
A : 甲有权拒绝归还借款并要求乙赔偿损失
B : 甲有权要求解除质押合同
C : 甲有权要求乙立即赔偿损失,或在借款到期时在损失赔偿范围内相应抵销其对乙所
负的债务
D : 甲有权要求延期还款
42 、 单选题
下列有关招标公告的表述中,不正确的是()。
A : 招标人采用公开招标方式的,应当发布招标公告
B : 依法必须进行招标的项目的招标公告,应当通过国务院发展改革部门指定的报刊、
信息网络或者其他媒介发布
C : 招标公告内容应当真实、准确和完整
D : 招标公告一经发出即构成招标活动的要约,招标人不得随意更改
43 、 单选题
下列关于远期利率协议涉及的三个时间点说法错误的是()。
A : 远期利率协议的三个时间点分别为生效日、交割日和到期日
B : 4×6的远期利率协议表示距离交割日为4个月,距离到期日为6个月
C : 从3×9的远期利率协议可以知道名义贷款权限为6个月
D : 远期利率协议的交割日是在名义贷款期末
44 、 单选题
一般性货币政策的主要作用在于对()进行总量调控,对整个经济产生影响。
A : 货币贮存量
B : 货币供应量
C : 货币发行量
D : 现金发行量
45 、 单选题
在招投标活动中,被质疑人是()。
A : 招标人或招标代理机构
B : 投标人
C : 供应商
D : 任何人
46 、 单选题
一种商品的需求曲线向右下方倾斜,如果生产该种商品的生产要素的价格上升,那么()。
A : 均衡数量增加,均衡价格上升B : 均衡数量增加,均衡价格下降
C : 均衡数量减少,均衡价格上升
D : 均衡数量减少,均衡价格下降
47 、 单选题
金融市场上最活跃的交易者是()。
A : 监管机构
B : 企业
C : 中央银行
D : 金融机构
48 、 单选题
菲利普斯曲线说明了货币政策之间存在矛盾的是()。
A : 经济增长与充分就业
B : 经济增长与稳定物价
C : 稳定物价与充分就业
D : 经济增长与国际收支平衡
49 、 单选题
行政机关在做出行政处罚决定(),应当告知当事人做出行政处罚决定的事实、理由及依
据,并告知当事人依法享有的权利
A : 同时
B : 之前
C : 之前或同时
D : 之后
50 、 单选题
目前,根据我国税法,北京市下列单位中不属于增值税纳税人的是()。
A : 百货商场
B : 运输公司
C : 汽车修理公司
D : 房屋中介公司
51 、 单选题
《关于工资总额组成的规定》在性质属于()
A : 统计法律
B : 法规性文件
C : 统计行政法规
D : 统计基本法52 、 多选题
从微观经济分析的角度,经济学通常将市场分为两大类,即用于最终消费的产品市场和
用于生产的要素市场,产品市场与要素市场的区别有()。
A : 派生需求
B : 需求互异
C : 价格不同
D : 收入不同
53 、 多选题
下列关于税收效率原则的表述中正确的有()。
A : 税收要有利于社会从可利用的资源中获得最大的利益
B : 税收要有利于经济机制的有效运行
C : 征收制度要简便,征收费用要节省
D : 税收要最大限度地取得财政收入
E : 税收要有利于社会公平分配
54 、 多选题
四部门经济中均衡国民收入的决定中涉及的函数有()。
A : 出口函数
B : 进口函数
C : 消费函数
D : 投资函数
55 、 多选题
金融监管的基本原则包括()。
A : 监管主体独立性
B : 依法监管
C : 外部监管为主
D : 自律并重为辅
E : 适度竞争
56 、 多选题
对拟发行股票的合理估值是首次公开发行股票定价的基础。下列估值方法中,属于相对
估值法的有()。
A : 市盈率倍数估值法
B : 市净率倍数估值法
C : 股利折现模型
D : 折现现金流模型
E : 企业价值与利息、所得税、折旧、摊销前收益倍数估值法57 、 多选题
政策性银行与商业银行比较,其共性的方面包括()。
A : 严格审查贷款程序
B : 经营目标的非盈利性
C : 贷款要偿还本金
D : 贷款要付利息
E : 资金来源主要为吸收存款
58 、 多选题
统计设计环节包括()
A : 设计指标体系
B : 建立无数据标准
C : 设计统计报表制度
D : 编制审核规则
E : 制定技术标准,设计生产系统和工作流程
59 、 多选题
搜集统计数据的方法主要有()
A : 普查
B : 抽样调查
C : 统计报表
D : 重点调查
E : 典型调查
60 、 多选题
下列可以作为纳税担保人的是()。
A : 有纳税担保能力的公民
B : 检察院
C : 审计署
D : 财政局
E : 具有纳税担保能力的经济组织
61 、 多选题
甲伪造乙的签章,签发一张支票给丙,丙背书给善意不知情的丁,当丁主张票据权利时,
下列说法正确的有()。
A : 甲不承担票据责任
B : 乙不承担票据责任
C : 丙不承担票据责任
D : 丁不享有票据权利62 、 多选题
衡量我国收益合理性的指标为()。
A : 成本收入比
B : 准备金利率
C : 资产利润率
D : 资本利润率
E : 拆借资金比例
63 、 多选题
我国商业银行控制贷款资产风险的主要措施有()。
A : 增强风险防范意识
B : 增加担保抵押贷款的比重
C : 严格贷款审批制度
D : 推行贷款五级分类管理
E : 完善信息系统
64 、 多选题
根据票据法律制度的规定,票据质押背书的被背书人所为的下列背书行为中,无效的
有()。
A : 委托收款背书
B : 有偿转让背书
C : 再质押背书
D : 无偿转让背书
65 、 多选题
影响总需求变动的因素主要有()。
A : 利率
B : 货币供给量
C : 政府购买
D : 税收
66 、 多选题
某县电视台将某市电视台播放的娱乐节目和电视剧收录下来,然后在县电视台播放。此
事被某市电视台发现后出面制止,但没有结果。你认为县电视台的做法:()
A : 侵犯了某市电视台的播放权
B : 侵犯了电视剧制作者的著作权
C : 属于合理使用作品,未侵犯任何人的著作权
D : 不应由著作权法调整,因为电视节目并非作品67 、 多选题
关于无差异曲线特征的说法,正确的有()。
A : 无差异曲线从左向右上倾斜
B : 离原点越远的无差异曲线,消费者的偏好程度越高
C : 任意两条无差异曲线都不能相交
D : 无差异曲线是凸向原点的
68 、 多选题
根据《政府采购供应商投诉处理办法》的规定,财政部门作出处理决定,应当制作投诉
处理决定书,投诉处理决定书应当包括()内容。
A : 做出处理决定的日期
B : 被投诉人的答辩及请求
C : 委托代理人的姓名、职业、住址、联系方式等
D : 告知投诉人行政复议申请权
E : 处理决定的具体内容及事实根据和法律依据
69 、 多选题
下列关于金融租赁和融资租赁的说法正确的有()。
A : 金融租赁公司可以吸收非银行股东3个月(含)以上定期存款
B : 融资租赁公司只能从股东处借款,不能吸收股东存款
C : 融资租赁公司经营正常后可进入同业拆借市场
D : 金融租赁公司的租赁物为“固定资产”
E : 融资租赁企业按照“风险资产不得超过净资产总额的5倍”的要求进行风险管理
70 、 多选题
地铁价格上调后,居民对出租车服务的需求()。
A : 需求增加
B : 需求量减少
C : 需求曲线右移
D : 需求曲线左移
E : 无法确定需求变动方向
71 、 多选题
我国衡量资产流动性的指标有()。
A : 流动性比例不得高于25%
B : 流动负债依存度不得高于60%
C : 流动性缺口率不得低于-10%
D : 流动性比例不得低于25%
E : 流动资产比例不得低于70%72 、 多选题
农村信用社实行()政策。
A : 国家管理
B : 中外合资
C : 自主经营
D : 独立核算
E : 自负盈亏
73 、 多选题
统计行政处罚法定原则内容包括()
A : 法无明文规定不处罚,处罚依据法定
B : 实施统计行政处罚的主体是法定的
C : 实施统计行政处罚主体享有的职权是法定的
D : 统计行政处罚要“过罚相当”
E : 统计行政处罚的程序是法定的
74 、 多选题
我国的财务公司的主要业务包括()。
A : 信用鉴证
B : 票据承兑
C : 股票投资
D : 委托贷款
E : 委托投资
75 、 多选题
甲对乙享有50000元债权,已到清偿期限,但乙一直宣称其无力清偿欠款;甲调查后发
现下列情况,乙均怠于行使债权,其中,甲可以代位行使债权的有()。
A : 个体工商户张某欠付乙的3个月工资,共计12000元
B : 刘某欠付乙的到期房屋租金8000元
C : 赵某欠付乙的赌债6000元
D : 孙某欠付乙的3个月前到期的借款20000元
76 、 多选题
税收的公平原则包括()。
A : 普遍原则
B : 效率原则
C : 平等原则
D : 确定原则
E : 节约原则77 、 多选题
典型调查()
A : 是一种非全面调查
B : 可以补充全面调查的不足
C : 在一定条件下可以验证全面调查数据的真实性
D : 容易受人们主观认识上的影响
E : 必须同其他调查结合起来使用才能避免出现片面性
78 、 多选题
金融活动包括()
A : 现金流通
B : 货币资金的借贷与清偿
C : 有价证券的发行和流通
D : 外汇资金的买卖
E : 商品流通
79 、 多选题
下列关于租赁的说法正确的有()。
A : 租赁交易只形成物权中用益物权的转移
B : 租赁转移的是资产的使用权
C : 租赁和买卖交易一样形成物权的整体转移
D : 租赁中资产权利的转移是有偿的
E : 租赁中资产权利的转移是无偿的
80 、 多选题
在现代市场经济条件下,社会总需求由()所构成。
A : 转移性支出
B : 政府的消费性需求
C : 个人与经济组织的投资需求
D : 个人与经济组织的消费需求
E : 积累性需求
81 、 多选题
工业企业能源消费包括()
A : 用于本企业产品生产、工业性作业和其他生产性活动的能源
B : 用于劳动保护的能源
C : 回收利用的余热、余能
D : 调拨到外单位,委托外单位加工用的能源
E : 调出本单位或借给外单位的能源82 、 判断题
房地产开发和城乡居民购买商品房屋的支出均纳入固定资产投资统计范围。()
A : 对
B : 错
83 、 判断题
拉氏价格指数和派氏价格指数计算结果不同,是因为拉氏价格指数主要受报告期商品结
构的影响,而派氏价格指数主要受基期商品结构的影响。()
A : 对
B : 错
84 、 判断题
具备从业人员人数200人的企业可称为中型企业。()
A : 对
B : 错
85 、 判断题
对违法所得的没收,本质上是一种追缴,是违法行为人因实施违法行为所付出的代
价。()
A : 对
B : 错
86 、 判断题
A : 对
B : 错
87 、 判断题
如果估计量的期望值等于被估参数,这个估计量就称为被估参数的无偏估计量。()
A : 对
B : 错
88 、 判断题
收入指企业在销售商品、提供劳务及让渡资产使用权等日常活动中所形成的经济利益的
总流入,包括主营业务收入和其他业务收入等。()A : 对
B : 错
89 、 判断题
对利用行政记录可以获得的统计资料,无需再通过其他统计调查方法获取。()
A : 对
B : 错
90 、 判断题
房地产开发业统计调查单位是具有法人资格的独立核算的房地产开发与经营单位,还包
括附营的房地产开发与经营业务活动单位。()
A : 对
B : 错
91 、 判断题
随着居民家庭收入不断增加,家庭收入中用来购买食物的支出的比重会上升。()
A : 对
B : 错
92 、 判断题
学前教育毛入园率是指学前教育在园人数占国家规定的年龄组人口数的比重。()
A : 对
B : 错
93 、 判断题
我国现有的周期性普查包括:每隔10年开展一次的人口普查、农业普查和每隔5年开展
一次的经济普查。()
A : 对
B : 错
94 、 判断题
客运量是指一定时期内各种运输工具实际运送的旅客数量。旅客不论行程远近或票价多
少,均按一人一次客运量统计。()
A : 对
B : 错95 、 判断题
区间估计是包括样本统计量在内的一个区间,该区间通常是由样本统计量加减估计标准
误差得到的。()
A : 对
B : 错
96 、 判断题
统计调查中获得的能够识别或者推断单个调查对象身份的资料,任何单位和个人不得对
外提供、泄漏,不得用于统计以外的目的。()
A : 对
B : 错