文档内容
军队文职人员招聘《数学2》预测试题二
即刻题库 www.jike.vip
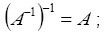
1 、 单选题
A : xy
B : 2xy
C : xy+1/8
D : xy+1
2 、 单选题
设函数f(x),g(x)是大于零的可导函数,且f′(x)g(x)-f(x)g′(x)<0,则当a<x<b时有()
A : f(x)g(b)>f(b)g(x)
B : f(x)g(a)>f(a)g(x)
C : f(x)g(x)>f(b)g(b)
D : f(x)g(x)>f(a)g(a)
3 、 单选题
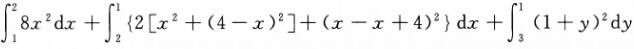
A :
B :
C :
D :
4 、 单选题
A : 1/3
B : 3
C : 1
D : 0
5 、 单选题
设A为4X5矩阵,且A的行向量组线性无关,则().
A : A的列向量组线性无关
B : 方程组AX=b有无穷多解
C : 方程组AX=b的增广矩阵的任意四个列向量构成的向量组线性无关
D : A的任意4个列向量构成的向量组线性无关
6 、 单选题
设4阶矩阵A与B仅有第3行不同,且|A|=1,|B|=2,则|A+B|=()。
A : 3
B : 6
C : 12
D : 24
7 、 单选题
A : 3
B : 2
C : 1
D : 0
8 、 单选题
设A为n阶方阵,B是A经过若干次矩阵的初等变换后所得到的矩阵,则有().
A :
B :
C :
D :
9 、 单选题
设a为N阶可逆矩阵,则().
A : 若AB=CB,则a=C:
B :
C : A总可以经过初等变换化为单位矩阵E:
D : 以上都不对.
10 、 单选题
下列n阶行列式,一定等于-1的是()。
A :
B :
C :
D :
11 、 单选题A : 1
B : 2
C : n-1
D : n
12 、 单选题
A :
B :
C :
D :
13 、 单选题
函数厂(x)具有连续的二阶导数,且f″(0)≠0,则x=0()。
A : 不是函数f(x)的驻点
B : 一定是函数f(x)的极值点
C : 一定不是函数f(x)的极值点
D : 是否为函数f(x)的极值点,还不能确定
14 、 单选题A : 无穷大量
B : 无穷小量
C : 有界变量
D : 无界变量
15 、 单选题
A :
B :
C :
D :
16 、 单选题
A :
B :
C :
D :
17 、 单选题
A :
B :
C :
D :
18 、 单选题
A :
B :
C :
D :
19 、 单选题
A : 线性相关B : 线性无关
C : 正交
D : 平行
20 、 单选题
A : a=25,b=-20
B : a=b=25
C : a=1,b=3
D : a=1,b=2
21 、 单选题
设函数z=f(x,y)的全微分为dz=xdx+ydy,则点(0,0)()
A : 不是f(x,y)的连续点
B : 不是f(x,y)的极值点
C : 是f(x,y)的极大值点
D : 是f(x,y)的极小值点
22 、 单选题
A : 两个偏导数都不存在
B : 两个偏导数存在但不可微
C : 偏导数连续
D : 可微但偏导数不连续
23 、 单选题
A : 4π
B : 0
C : 2π
D : π
24 、 单选题
实二次型矩阵A正定的充分必要条件是()。
A : 二次型的标准形的n个系数全为正B : |A|>0
C : 矩阵A的特征值为2
D : r(A)=n
25 、 单选题
A : 2π
B : π
C :
D :
26 、 单选题
A : a<-1
B : a≠-1
C : a≠1
D : a>1
27 、 单选题
下列等式中是一阶查分方程的是().
A :
B :
C :
D :
28 、 单选题
A : 向量组(Ⅰ)与(Ⅱ)都线性相关
B : 向量组(Ⅰ)线性相关
C : 向量组(Ⅱ)线性相关
D : 向量组(Ⅰ)与(Ⅱ)中至少有一个线性相关
29 、 单选题
A : 1或2
B : -1或-2
C : 1或-2
D : -1或2.
30 、 单选题
A : 0
B : 1
C :
D :
31 、 单选题
下列反常(广义)积分发散的是()
A :
B :
C :
D :
32 、 单选题
A : 不存在
B : -1
C : 0
D : 1
33 、 单选题
设A为可逆矩阵,k≠O,则下述结论不正确的是().
A :
B :
C :
D :
34 、 单选题A : 无间断点
B : 有间断点
C : 有断点
D : 无断点
35 、 单选题
A : 不可能有唯一解
B : 必有无穷多解
C : 无解
D : 或有唯一解,或有无穷多解
36 、 单选题
A : 1
B : 2
C : 3
D : 4
37 、 单选题
设f(x)=|x(1-x)|,则().
A : x=0是f(x)的极值点,但(0,0)不是曲线y=f(x)的拐点
B : x=0不是f(x)的极值点,但(0,0)是曲线y=f(x)的拐点
C : x=0是f(x)的极值点,且(0,0)是曲线y=f(x)的拐点
D : x=0不是f(x)的极值点,(0,0)也不是曲线y=f(x)的拐点
38 、 单选题
A :
B :
C :
D :
39 、 单选题
A :
B :
C :
D :
40 、 单选题
A :
B :
C :
D :
41 、 单选题
A : 1
B : 2
C : 3
D : 4
42 、 单选题
A : 低阶无穷小
B : 高阶无穷小
C : 同阶但不等价无穷小
D : 等价无穷小
43 、 单选题
A :
B :
C :
D :
44 、 单选题
A : (-2,1,1)
B :
C :
D :
45 、 单选题
A : 连续点
B : 无穷型间断点
C : 跳跃间断点
D : 可去间断点
46 、 单选题
A :
B :
C :
D :
47 、 单选题
设A、B都是n阶非零矩阵,且AB=0,则A和B的秩().
A : 必有一个等于0
B : 都小于n
C : 一个小于n,一个等于nD : 都等于n
48 、 单选题
A : 当t=2时,A的秩必为1
B : 当t=2时,A的秩必为2
C : 当t≠2时,A的秩必为1
D : 当t≠2时,A的秩必为2
49 、 单选题
横断面积为S、深为h的水池中装满了水,把池中的水全部抽到距地面高为H的水塔中所
作的功w=()
A :
B :
C :
D :
50 、 单选题
A : λ=1
B : λ≠1
C : λ=2
D : λ≠2
51 、 单选题A : -1/2
B : -1/3
C : 5/2
D : 3/2
52 、 单选题
若f(x)是以l为周期的连续函数,则其原函数()
A : 是以l为周期的函数
B : 是周期函数,但周期不是l
C : 不是周期函数
D : 不一定是周期函数
53 、 单选题
设A,B是n阶方阵,且秩A=秩B,则
A : 秩(A-B)=0
B : 秩(A+B)=2秩A
C : 秩(A-B)=2秩A
D : 秩(A+B)秩A+秩B
54 、 单选题
A : 连续点
B : 可去间断点
C : 跳跃间断点
D : 无穷间断点
55 、 单选题
A :
B :
C :
D :
56 、 单选题
设A、B为同阶可逆矩阵,则
A : AB=BA
B :
C :
D :
57 、 单选题
设A和B均为n阶矩阵,则必有()。
A : |A+B|=|A|+|B|
B : AB=BA
C : |AB|=|BA|
D :
58 、 单选题
A :
B :
C :
D :
59 、 判断题
A : 对
B : 错
60 、 判断题
若A是实对称矩阵,则A为正定矩阵的充要条件是A的特征值全为正
A : 对
B : 错
61 、 判断题
若A是实对称矩阵,则A的特征值全为实数
A : 对
B : 错
62 、 判断题
A : 对
B : 错
B :
C :
D :
4 、 单选题
A : 1/3
B : 3
C : 1
D : 0
5 、 单选题
设A为4X5矩阵,且A的行向量组线性无关,则().
A : A的列向量组线性无关
B : 方程组AX=b有无穷多解
C : 方程组AX=b的增广矩阵的任意四个列向量构成的向量组线性无关
D : A的任意4个列向量构成的向量组线性无关
6 、 单选题
设4阶矩阵A与B仅有第3行不同,且|A|=1,|B|=2,则|A+B|=()。
A : 3
B : 6
C : 12
D : 24
7 、 单选题
A : 3
B : 2
C : 1
D : 0
8 、 单选题
设A为n阶方阵,B是A经过若干次矩阵的初等变换后所得到的矩阵,则有().
A :
B :
C :
D :
9 、 单选题
设a为N阶可逆矩阵,则().
A : 若AB=CB,则a=C:
B :
C : A总可以经过初等变换化为单位矩阵E:
D : 以上都不对.
10 、 单选题
下列n阶行列式,一定等于-1的是()。
A :
B :
C :
D :
11 、 单选题A : 1
B : 2
C : n-1
D : n
12 、 单选题
A :
B :
C :
D :
13 、 单选题
函数厂(x)具有连续的二阶导数,且f″(0)≠0,则x=0()。
A : 不是函数f(x)的驻点
B : 一定是函数f(x)的极值点
C : 一定不是函数f(x)的极值点
D : 是否为函数f(x)的极值点,还不能确定
14 、 单选题A : 无穷大量
B : 无穷小量
C : 有界变量
D : 无界变量
15 、 单选题
A :
B :
C :
D :
16 、 单选题
A :
B :
C :
D :
17 、 单选题
A :
B :
C :
D :
18 、 单选题
A :
B :
C :
D :
19 、 单选题
A : 线性相关B : 线性无关
C : 正交
D : 平行
20 、 单选题
A : a=25,b=-20
B : a=b=25
C : a=1,b=3
D : a=1,b=2
21 、 单选题
设函数z=f(x,y)的全微分为dz=xdx+ydy,则点(0,0)()
A : 不是f(x,y)的连续点
B : 不是f(x,y)的极值点
C : 是f(x,y)的极大值点
D : 是f(x,y)的极小值点
22 、 单选题
A : 两个偏导数都不存在
B : 两个偏导数存在但不可微
C : 偏导数连续
D : 可微但偏导数不连续
23 、 单选题
A : 4π
B : 0
C : 2π
D : π
24 、 单选题
实二次型矩阵A正定的充分必要条件是()。
A : 二次型的标准形的n个系数全为正B : |A|>0
C : 矩阵A的特征值为2
D : r(A)=n
25 、 单选题
A : 2π
B : π
C :
D :
26 、 单选题
A : a<-1
B : a≠-1
C : a≠1
D : a>1
27 、 单选题
下列等式中是一阶查分方程的是().
A :
B :
C :
D :
28 、 单选题
A : 向量组(Ⅰ)与(Ⅱ)都线性相关
B : 向量组(Ⅰ)线性相关
C : 向量组(Ⅱ)线性相关
D : 向量组(Ⅰ)与(Ⅱ)中至少有一个线性相关
29 、 单选题
A : 1或2
B : -1或-2
C : 1或-2
D : -1或2.
30 、 单选题
A : 0
B : 1
C :
D :
31 、 单选题
下列反常(广义)积分发散的是()
A :
B :
C :
D :
32 、 单选题
A : 不存在
B : -1
C : 0
D : 1
33 、 单选题
设A为可逆矩阵,k≠O,则下述结论不正确的是().
A :
B :
C :
D :
34 、 单选题A : 无间断点
B : 有间断点
C : 有断点
D : 无断点
35 、 单选题
A : 不可能有唯一解
B : 必有无穷多解
C : 无解
D : 或有唯一解,或有无穷多解
36 、 单选题
A : 1
B : 2
C : 3
D : 4
37 、 单选题
设f(x)=|x(1-x)|,则().
A : x=0是f(x)的极值点,但(0,0)不是曲线y=f(x)的拐点
B : x=0不是f(x)的极值点,但(0,0)是曲线y=f(x)的拐点
C : x=0是f(x)的极值点,且(0,0)是曲线y=f(x)的拐点
D : x=0不是f(x)的极值点,(0,0)也不是曲线y=f(x)的拐点
38 、 单选题
A :
B :
C :
D :
39 、 单选题
A :
B :
C :
D :
40 、 单选题
A :
B :
C :
D :
41 、 单选题
A : 1
B : 2
C : 3
D : 4
42 、 单选题
A : 低阶无穷小
B : 高阶无穷小
C : 同阶但不等价无穷小
D : 等价无穷小
43 、 单选题
A :
B :
C :
D :
44 、 单选题
A : (-2,1,1)
B :
C :
D :
45 、 单选题
A : 连续点
B : 无穷型间断点
C : 跳跃间断点
D : 可去间断点
46 、 单选题
A :
B :
C :
D :
47 、 单选题
设A、B都是n阶非零矩阵,且AB=0,则A和B的秩().
A : 必有一个等于0
B : 都小于n
C : 一个小于n,一个等于nD : 都等于n
48 、 单选题
A : 当t=2时,A的秩必为1
B : 当t=2时,A的秩必为2
C : 当t≠2时,A的秩必为1
D : 当t≠2时,A的秩必为2
49 、 单选题
横断面积为S、深为h的水池中装满了水,把池中的水全部抽到距地面高为H的水塔中所
作的功w=()
A :
B :
C :
D :
50 、 单选题
A : λ=1
B : λ≠1
C : λ=2
D : λ≠2
51 、 单选题A : -1/2
B : -1/3
C : 5/2
D : 3/2
52 、 单选题
若f(x)是以l为周期的连续函数,则其原函数()
A : 是以l为周期的函数
B : 是周期函数,但周期不是l
C : 不是周期函数
D : 不一定是周期函数
53 、 单选题
设A,B是n阶方阵,且秩A=秩B,则
A : 秩(A-B)=0
B : 秩(A+B)=2秩A
C : 秩(A-B)=2秩A
D : 秩(A+B)秩A+秩B
54 、 单选题
A : 连续点
B : 可去间断点
C : 跳跃间断点
D : 无穷间断点
55 、 单选题
A :
B :
C :
D :
56 、 单选题
设A、B为同阶可逆矩阵,则
A : AB=BA
B :
C :
D :
57 、 单选题
设A和B均为n阶矩阵,则必有()。
A : |A+B|=|A|+|B|
B : AB=BA
C : |AB|=|BA|
D :
58 、 单选题
A :
B :
C :
D :
59 、 判断题
A : 对
B : 错
60 、 判断题
若A是实对称矩阵,则A为正定矩阵的充要条件是A的特征值全为正
A : 对
B : 错
61 、 判断题
若A是实对称矩阵,则A的特征值全为实数
A : 对
B : 错
62 、 判断题
A : 对
B : 错