文档内容
军队文职人员招聘《数学3》预测试题一
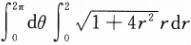
即刻题库 www.jike.vip
1 、 单选题
A : 低阶无穷小
B : 高阶无穷小
C : 同阶但不等价无穷小
D : 等价无穷小
2 、 单选题
A :
B :
C :
D :
3 、 单选题
A : n=1B : n=2
C : n=3
D : n=4
4 、 单选题
A : a
B :
C : b
D :
5 、 单选题
设函数f(x)与g(x)在[0,1]上连续,且f(x)≤g(x),且对任何的c∈(0,1)()
A :
B :
C :
D :
6 、 单选题
A : 0
B : 1/3
C : 2/3
D : 17 、 单选题
A :
B :
C :
D :
8 、 单选题
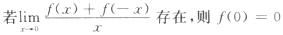
A : 0.5
B : 0
C : -1
D : -2
9 、 单选题
设f(x)=xsinx+cosx,下列命题中正确的是()
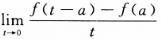
A :
B :
C :
D :
10 、 单选题
单调有界函数若有间断点,则其类型为().
A : 必为第一类间断点
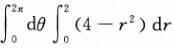
B : 必为第二类间断点
C : 第一类或第二类间断点
D : 以上都不会
11 、 单选题
A :
B :
C :
D :
12 、 单选题
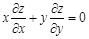
A :
B :
C :
D :
13 、 单选题
A :
B : f(x)必可导
C : g(x)必可导
D : f(x),g(x)都不一定可导
14 、 单选题
A : xy
B : 2xy
C : xy+1/8
D : xy+1
15 、 单选题
A : 2f(2)
B : f(2)
C : -f(2)
D : 0
16 、 单选题
A : 高阶无穷小
B : 低阶无穷小
C : 等价无穷小
D : 同阶但非等价无穷小17 、 单选题
A : f(0)=1为f(x)的极小值
B : f(0)=1为f(x)的极大值
C : f(x),f(0)为曲线y=f(x)的拐点
D : 由g(x)才能确定f(x)的极值或拐点
18 、 单选题
A :
B :
C :
D :
19 、 单选题
下列矩阵为正定的是
A :
B :
C :
D :
20 、 单选题
A : 0
B : 1
C : 2
D : 不存在
21 、 单选题
A :
B :
C :
D :
22 、 单选题
A :
B :
C :
D :
23 、 单选题
A : 0
B : 1
C : 2
D : -2
24 、 单选题
A :
B :
C :
D :
25 、 单选题
设f(x)=xsinx+cosx,则下列命题中正确的是()。
A : f(0)是极大值,f(π/2)是极小值
B : f(0)是极小值,f(π/2)是极大值
C : f(0)是极大值,f(π/2)也是极大值
D : f(0)是极小值,f(π/2)也是极小值。
26 、 单选题A : 1
B : 2
C : 3
D : 4
27 、 单选题
A : 等于1
B : 等于0
C : 不存在
D : 等于-1
28 、 单选题
A : 有极值点x=5,但无拐点
B : 有拐点(5,2),但无极值点
C : x=5是极值点,(5,2)是拐点
D : 既无极值点,又无拐点
29 、 单选题
A :
B :
C :
D :
30 、 单选题
A : f′(0)
B : 不存在
C :
D : 2f′(0)
31 、 单选题
A : 2π
B : -2π
C : 0
D : π
32 、 单选题
A : 4/3
B : 4π/3
C :
D : 2π/3
33 、 单选题
若f(x)是在(-∞,+∞)内可导的以l为周期的周期函数,则f′(ax+b)(a≠0,a、b为常数)的周期为
()
A : l
B : l-b
C : l/a
D : l/|a|
34 、 单选题A :
B :
C :
D :
35 、 单选题
A : a=-2,b=6
B : a=2.b=-6
C : a=2,b=6
D : a=-2,b=-6
36 、 单选题
A :
B :
C :
D :
37 、 单选题
A : 线性相关
B : 线性无关
C : 对应分量成比例
D : 可能有零向量
38 、 单选题
设函数f(x)在x=0处连续,下列命题错误的是().
A :
B :
C :
D :
39 、 单选题
A :
B :
C :
D :
40 、 单选题
若f(x)在点x=a处可导,则f′(a)≠()。
A :
B :
C :
D :
41 、 单选题
A : 1/2
B : 1/4
C : 1/6
D : 1/8
42 、 单选题
A : 不存在
B : 等于0
C : 等于1/2
D : 存在且不等于0或1/243 、 单选题
A : 4
B : 2
C :
D :
44 、 单选题
A : f′(0)
B : f(0)
C : 1/πf′(0)
D : 2/πf′(0)
45 、 单选题
A : 一定是无穷大
B : 一定会是无穷小
C :
D :
46 、 单选题
A : 有界的B : 无界的
C : 单调增加的
D : 单调减少的
47 、 单选题
A :
B :
C :
D :
48 、 单选题
A :
B :
C :
D :
49 、 单选题
A :
B :
C :
D : 0
50 、 单选题
A : (2,0,0)
B : (1,1,-1)
C : (1,0,-1)
D : (0,0,0)
51 、 单选题
下列积分中可表示单位圆面积的四分之一的是()
A :
B :
C :
D :
52 、 单选题
A :
B :
C :
D :
53 、 单选题
A : 16x+8y-16z=0
B : 2x+3y-4z+5=0
C : 16x+8y-16z+11=0
D : 8x-3y+4z+7=0
54 、 单选题
设A是n阶方阵,则|A|=0的必要条件是().
A : 两行(列)元素对应成比例:
B : 必有一行为其余行的线性组合:
C : A中有一行元素全为零:
D : 任一行为其余行的线性组合.
55 、 单选题
若f(-x)=f(x),且在(0,+∞)内f′(x)>0,f″(x)<0,则f(x)在(-∞,0)内()。
A : f′(x)<0,f″(x)<0
B : f′(x)<0,f″(x)>0
C : f′(x)>0,f″(x)<0
D : f′(x)>0,f″(x)>056 、 单选题
A : x
B : y
C : z
D :
57 、 单选题
下列说法正确的是()。
A : 单调数列必收敛
B : 收敛数列必单调
C : 有界数列必收敛
D : 收敛数列必有界
58 、 单选题
A : 曲边梯形ABOD的面积
B : 梯形ABOD的面积
C : 曲边三角形ACD的面积
D : 三角形ACD的面积
59 、 单选题
A :
B :
C :
D :
60 、 单选题
A : 两个偏导数都不存在
B : 两个偏导数存在但不可微
C : 偏导数连续
D : 可微但偏导数不连续
61 、 单选题
A : 极限不存在
B : 极限存在,但不连续
C : 连续,但不可导
D : 可导
62 、 单选题
A :
B :
C :
D :
63 、 单选题
A :
B :
C :
D :
64 、 单选题
A :
B :
C :
D :
65 、 单选题
A : 0
B : ∞
C : f(0,0)
D : 1
66 、 单选题
A : 1/35
B : 1/5
C : 1/7
D : 1/48
67 、 单选题
A :
B :
C :
D :
68 、 单选题
若f(x)的导函数是e-x+cosx,则f(x)的一个原函数为()
A : e-x-cosxB : -e-x+sinx
C : -e-x-cosx
D : e-x+sinx
69 、 单选题
下列结论中正确的是().
A :
B :
C :
D :
70 、 单选题
A : 正常数
B : 负常数
C : 恒为0
D : 不是常数
71 、 单选题
A :
B :
C :
D :
72 、 单选题
设a为N阶可逆矩阵,则().
A : 若AB=CB,则a=C:
B :
C : A总可以经过初等变换化为单位矩阵E:
D : 以上都不对.
73 、 单选题
f(x)是以T为周期的可微函数,则下列函数重以T为周期的函数是()
A :
B :
C :
D :
74 、 单选题
A : 4π
B : 0
C : 2π
D : π75 、 单选题
A :
B :
C :
D :
76 、 判断题
A : 对
B : 错
77 、 判断题
A : 对
B : 错
78 、 判断题
A : 对
B : 错
79 、 判断题
设方阵A满足AA=A,则必有A=O或A=EA : 对
B : 错
80 、 判断题
A : 对
B : 错
81 、 判断题
A : 对
B : 错
B :
C :
D :
3 、 单选题
A : n=1B : n=2
C : n=3
D : n=4
4 、 单选题
A : a
B :
C : b
D :
5 、 单选题
设函数f(x)与g(x)在[0,1]上连续,且f(x)≤g(x),且对任何的c∈(0,1)()
A :
B :
C :
D :
6 、 单选题
A : 0
B : 1/3
C : 2/3
D : 17 、 单选题
A :
B :
C :
D :
8 、 单选题
A : 0.5
B : 0
C : -1
D : -2
9 、 单选题
设f(x)=xsinx+cosx,下列命题中正确的是()
A :
B :
C :
D :
10 、 单选题
单调有界函数若有间断点,则其类型为().
A : 必为第一类间断点
B : 必为第二类间断点
C : 第一类或第二类间断点
D : 以上都不会
11 、 单选题
A :
B :
C :
D :
12 、 单选题
A :
B :
C :
D :
13 、 单选题
A :
B : f(x)必可导
C : g(x)必可导
D : f(x),g(x)都不一定可导
14 、 单选题
A : xy
B : 2xy
C : xy+1/8
D : xy+1
15 、 单选题
A : 2f(2)
B : f(2)
C : -f(2)
D : 0
16 、 单选题
A : 高阶无穷小
B : 低阶无穷小
C : 等价无穷小
D : 同阶但非等价无穷小17 、 单选题
A : f(0)=1为f(x)的极小值
B : f(0)=1为f(x)的极大值
C : f(x),f(0)为曲线y=f(x)的拐点
D : 由g(x)才能确定f(x)的极值或拐点
18 、 单选题
A :
B :
C :
D :
19 、 单选题
下列矩阵为正定的是
A :
B :
C :
D :
20 、 单选题
A : 0
B : 1
C : 2
D : 不存在
21 、 单选题
A :
B :
C :
D :
22 、 单选题
A :
B :
C :
D :
23 、 单选题
A : 0
B : 1
C : 2
D : -2
24 、 单选题
A :
B :
C :
D :
25 、 单选题
设f(x)=xsinx+cosx,则下列命题中正确的是()。
A : f(0)是极大值,f(π/2)是极小值
B : f(0)是极小值,f(π/2)是极大值
C : f(0)是极大值,f(π/2)也是极大值
D : f(0)是极小值,f(π/2)也是极小值。
26 、 单选题A : 1
B : 2
C : 3
D : 4
27 、 单选题
A : 等于1
B : 等于0
C : 不存在
D : 等于-1
28 、 单选题
A : 有极值点x=5,但无拐点
B : 有拐点(5,2),但无极值点
C : x=5是极值点,(5,2)是拐点
D : 既无极值点,又无拐点
29 、 单选题
A :
B :
C :
D :
30 、 单选题
A : f′(0)
B : 不存在
C :
D : 2f′(0)
31 、 单选题
A : 2π
B : -2π
C : 0
D : π
32 、 单选题
A : 4/3
B : 4π/3
C :
D : 2π/3
33 、 单选题
若f(x)是在(-∞,+∞)内可导的以l为周期的周期函数,则f′(ax+b)(a≠0,a、b为常数)的周期为
()
A : l
B : l-b
C : l/a
D : l/|a|
34 、 单选题A :
B :
C :
D :
35 、 单选题
A : a=-2,b=6
B : a=2.b=-6
C : a=2,b=6
D : a=-2,b=-6
36 、 单选题
A :
B :
C :
D :
37 、 单选题
A : 线性相关
B : 线性无关
C : 对应分量成比例
D : 可能有零向量
38 、 单选题
设函数f(x)在x=0处连续,下列命题错误的是().
A :
B :
C :
D :
39 、 单选题
A :
B :
C :
D :
40 、 单选题
若f(x)在点x=a处可导,则f′(a)≠()。
A :
B :
C :
D :
41 、 单选题
A : 1/2
B : 1/4
C : 1/6
D : 1/8
42 、 单选题
A : 不存在
B : 等于0
C : 等于1/2
D : 存在且不等于0或1/243 、 单选题
A : 4
B : 2
C :
D :
44 、 单选题
A : f′(0)
B : f(0)
C : 1/πf′(0)
D : 2/πf′(0)
45 、 单选题
A : 一定是无穷大
B : 一定会是无穷小
C :
D :
46 、 单选题
A : 有界的B : 无界的
C : 单调增加的
D : 单调减少的
47 、 单选题
A :
B :
C :
D :
48 、 单选题
A :
B :
C :
D :
49 、 单选题
A :
B :
C :
D : 0
50 、 单选题
A : (2,0,0)
B : (1,1,-1)
C : (1,0,-1)
D : (0,0,0)
51 、 单选题
下列积分中可表示单位圆面积的四分之一的是()
A :
B :
C :
D :
52 、 单选题
A :
B :
C :
D :
53 、 单选题
A : 16x+8y-16z=0
B : 2x+3y-4z+5=0
C : 16x+8y-16z+11=0
D : 8x-3y+4z+7=0
54 、 单选题
设A是n阶方阵,则|A|=0的必要条件是().
A : 两行(列)元素对应成比例:
B : 必有一行为其余行的线性组合:
C : A中有一行元素全为零:
D : 任一行为其余行的线性组合.
55 、 单选题
若f(-x)=f(x),且在(0,+∞)内f′(x)>0,f″(x)<0,则f(x)在(-∞,0)内()。
A : f′(x)<0,f″(x)<0
B : f′(x)<0,f″(x)>0
C : f′(x)>0,f″(x)<0
D : f′(x)>0,f″(x)>056 、 单选题
A : x
B : y
C : z
D :
57 、 单选题
下列说法正确的是()。
A : 单调数列必收敛
B : 收敛数列必单调
C : 有界数列必收敛
D : 收敛数列必有界
58 、 单选题
A : 曲边梯形ABOD的面积
B : 梯形ABOD的面积
C : 曲边三角形ACD的面积
D : 三角形ACD的面积
59 、 单选题
A :
B :
C :
D :
60 、 单选题
A : 两个偏导数都不存在
B : 两个偏导数存在但不可微
C : 偏导数连续
D : 可微但偏导数不连续
61 、 单选题
A : 极限不存在
B : 极限存在,但不连续
C : 连续,但不可导
D : 可导
62 、 单选题
A :
B :
C :
D :
63 、 单选题
A :
B :
C :
D :
64 、 单选题
A :
B :
C :
D :
65 、 单选题
A : 0
B : ∞
C : f(0,0)
D : 1
66 、 单选题
A : 1/35
B : 1/5
C : 1/7
D : 1/48
67 、 单选题
A :
B :
C :
D :
68 、 单选题
若f(x)的导函数是e-x+cosx,则f(x)的一个原函数为()
A : e-x-cosxB : -e-x+sinx
C : -e-x-cosx
D : e-x+sinx
69 、 单选题
下列结论中正确的是().
A :
B :
C :
D :
70 、 单选题
A : 正常数
B : 负常数
C : 恒为0
D : 不是常数
71 、 单选题
A :
B :
C :
D :
72 、 单选题
设a为N阶可逆矩阵,则().
A : 若AB=CB,则a=C:
B :
C : A总可以经过初等变换化为单位矩阵E:
D : 以上都不对.
73 、 单选题
f(x)是以T为周期的可微函数,则下列函数重以T为周期的函数是()
A :
B :
C :
D :
74 、 单选题
A : 4π
B : 0
C : 2π
D : π75 、 单选题
A :
B :
C :
D :
76 、 判断题
A : 对
B : 错
77 、 判断题
A : 对
B : 错
78 、 判断题
A : 对
B : 错
79 、 判断题
设方阵A满足AA=A,则必有A=O或A=EA : 对
B : 错
80 、 判断题
A : 对
B : 错
81 、 判断题
A : 对
B : 错