当前位置:首页>文档>附件7楼板与支撑体系协同受力计算书(-2F层)_2021-2023年优秀施组方案_施工方案_方案28-昆明交通枢纽内支撑拆除方案_1-内支撑拆除施工方案_附件

附件7楼板与支撑体系协同受力计算书(-2F层)_2021-2023年优秀施组方案_施工方案_方案28-昆明交通枢纽内支撑拆除方案_1-内支撑拆除施工方案_附件

  • 2026-04-04 15:31:38 2026-01-31 08:58:43

文档预览

附件7楼板与支撑体系协同受力计算书(-2F层)_2021-2023年优秀施组方案_施工方案_方案28-昆明交通枢纽内支撑拆除方案_1-内支撑拆除施工方案_附件
附件7楼板与支撑体系协同受力计算书(-2F层)_2021-2023年优秀施组方案_施工方案_方案28-昆明交通枢纽内支撑拆除方案_1-内支撑拆除施工方案_附件
附件7楼板与支撑体系协同受力计算书(-2F层)_2021-2023年优秀施组方案_施工方案_方案28-昆明交通枢纽内支撑拆除方案_1-内支撑拆除施工方案_附件
附件7楼板与支撑体系协同受力计算书(-2F层)_2021-2023年优秀施组方案_施工方案_方案28-昆明交通枢纽内支撑拆除方案_1-内支撑拆除施工方案_附件
附件7楼板与支撑体系协同受力计算书(-2F层)_2021-2023年优秀施组方案_施工方案_方案28-昆明交通枢纽内支撑拆除方案_1-内支撑拆除施工方案_附件
附件7楼板与支撑体系协同受力计算书(-2F层)_2021-2023年优秀施组方案_施工方案_方案28-昆明交通枢纽内支撑拆除方案_1-内支撑拆除施工方案_附件
附件7楼板与支撑体系协同受力计算书(-2F层)_2021-2023年优秀施组方案_施工方案_方案28-昆明交通枢纽内支撑拆除方案_1-内支撑拆除施工方案_附件
附件7楼板与支撑体系协同受力计算书(-2F层)_2021-2023年优秀施组方案_施工方案_方案28-昆明交通枢纽内支撑拆除方案_1-内支撑拆除施工方案_附件

文档信息

文档格式
pdf
文档大小
1.111 MB
文档页数
4 页
上传时间
2026-01-31 08:58:43

文档内容

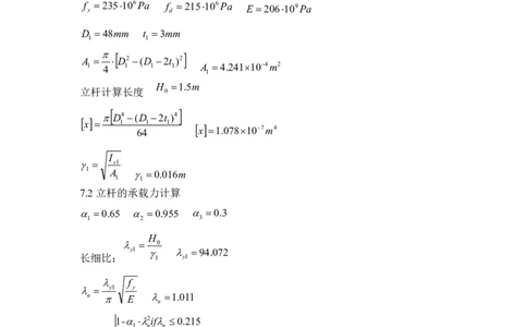
附件 7 叉车等效荷载及楼板强度验算计算书( -2F 层) 1、设计依据 (1)《建筑结构荷载规范》(GB50009-2012) (2)《叉车型号及参数》(厂家提供) (3)《地下室结构图纸》(林同棪提供) 2、计算参数 2.1车辆荷载最大轮载 叉车型号LG120DT 自重 G1=154000N 额定荷载 P1=120000N 假定叉车自重由四轮均担,荷载由前两轮承担。 取前轮轮载: ( ) 前后轮轮距: 1 =0.9 1+ 1 /2 1 =123.3 左右轮轮距: Ly = 2.95m 轮胎接触面尺寸 L :x = 1.6m ax = 0.2m ay = 0.25m 2.2板几何参数 单向板按最不利跨度: 板厚: , , 1 = 4.0 3、楼板集中荷载的等效均布荷载 ℎ0 = 0.18 = 0.005 ℎ = ℎ0 + = 0.185 (1)求等效宽度b k 按单向板考虑 集中荷载作用在板的中央,板简支 L1 = 4.0m bcx = ax +ℎ0 bcx = 0.385m bcy = ay +ℎ0 bcy = 0.435m 2.2L1 = 8.8m2bcy b由 1k 于=前后3 轮+间0.7距3∙L1 b1k = 3.21m Ly < b1k b1k Ly 求等效 b 均2k布 = 荷 2 载 + 2 b2k = 3.08m 最不利荷载工况简图 查依据(1) L -L a  1 x 1 2 a 1.2m 1 M  P a max 1k 1 M 147.96kNm max 根据依据(1) 8M q  max ek2 b L2 2k 1 q 24.02kPa ek2 4、-2F 板荷载设计值  25103N /m3 c , 78.5103N /m3 s g  h  s 4.14kPa 0 c 0 s p 1.3g 1.5q 41.41kPa 0 ek2 5、-2F 层原设计荷载 活荷 p 4kPa 1 恒荷 p 2kPa 2 自重 p 4.5kPa 1总设计值: p  p  p g 10.5kPa d 1 2 1 结论 p 41.41kPa p 10.5kPa d p  p d ,楼板不能承担叉车所有荷载,需要采取支模。 支模间距计算 7.1立杆材料参数 钢管D48*3.0,Q235 f y 235106Pa f d 215106Pa E 206109Pa D 48mm t 3mm 1 1    A   D2 (D 2t )2 1 4 1 1 1 A 4.241104m2 1 H 1.5m 立杆计算长度 0   D4 (D 2t )4   x  1 64 1 1  x  1.078107m4 I   x1 1 A  0.016m 1 1 7.2立杆的承载力计算  0.65  0.955  0.3 1 2 3 H   0 y1   94.072 长细比: 1 y1  f   y1 y n  E  1.011 n 1-2if 0.215 1 n n ( n ) 1      2       2 2 42  22   2 3 n n 2 3 n n n  n otherwise ()0.599 n   受压稳定系数:  n 0.599 N A  f 5.975104N 极限承载力设计值: crd 1 y 7.3立杆间距计算立杆间距:d 0.9m,d 0.9m s1 s2   F d d  p p 1 s1 s2 d 25.03kN F  N 1 crd ,满足 即沿跨中按0.9m间距设置立杆。