【再看中数压轴题-253,可下载】平行四边形中求线段的长:从三角函数到相似三角形的逻辑
今天分享这道平行四边形中的线段长度题——它的核心是先通过三角函数求基础线段长,再利用等腰三角形和相似三角形的性质,推导目标线段的长度,解题步骤层层递进:
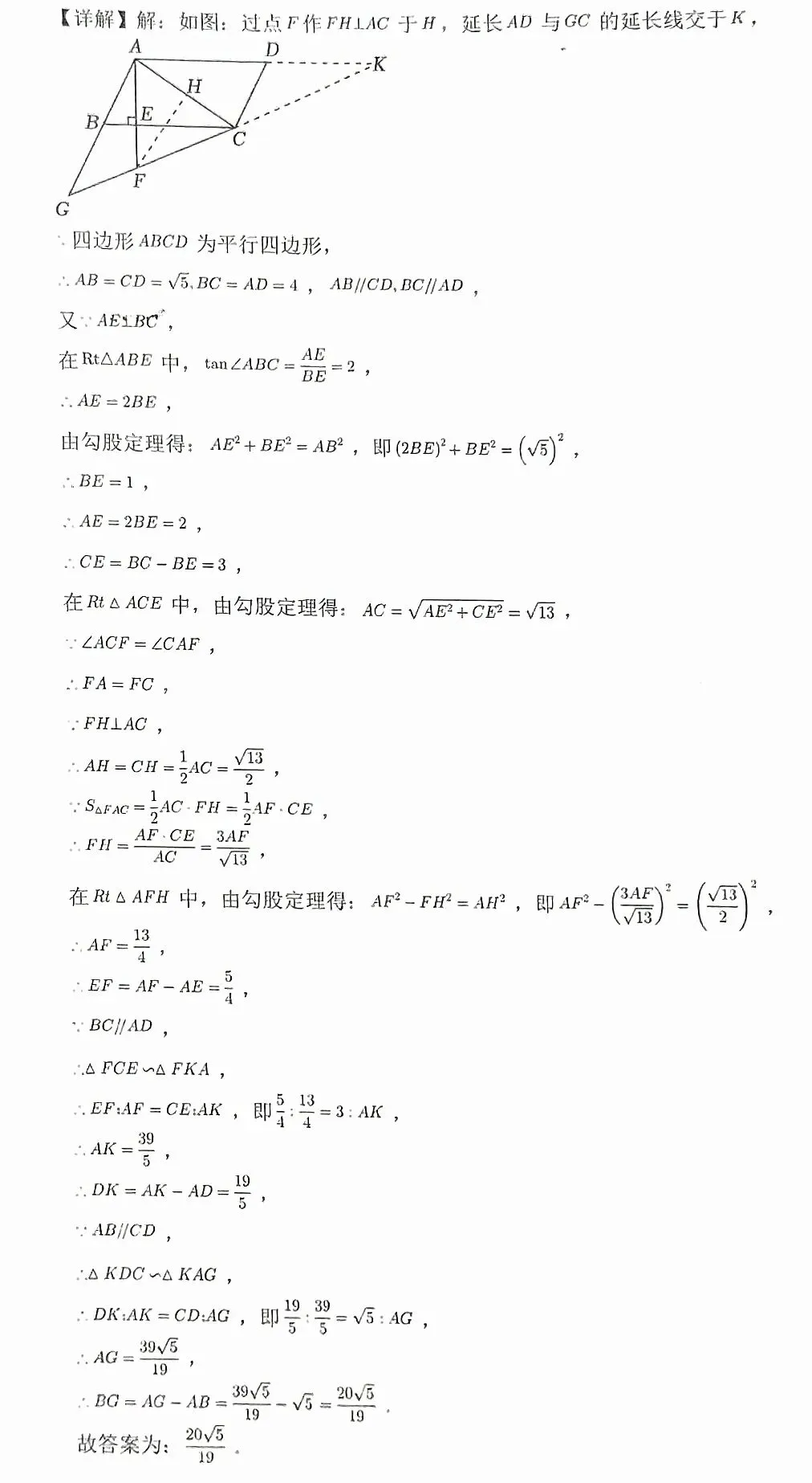
核心例题




小结
这道题围绕“BG”展开,先确定平行四边形的边长与高,再结合等腰三角形、相似三角形的性质计算:
步骤1:求平行四边形的高与线段长
步骤2:利用等腰三角形求AF的长
步骤3:用相似三角形求BG的长
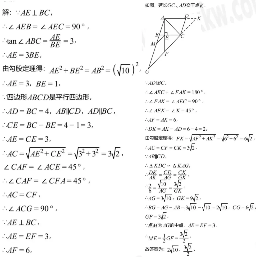
变式训练


下载题目:中考数学压轴题-253.pdf
感谢您用心看到这里。我是一名坚持分享初中数学好题(文末目录)的一线数学老师。如果这些内容对您有帮助,欢迎留言交流心得~您在右下角点的每一个赞❤️都是我持续创作的动力,欢迎关注,感谢支持!

【再看中数压轴题-116】“逆等线模型”、已知互相垂直的两条线段长度求“双翅和”的最小值
【再看中数压轴题-109】从半角模型到12345模型,这秒杀方法不官方但你最好会
【再看中数压轴题-100】怎么能说大杀四方解复杂几何题的建系法暴力呢?
(文末目录可查看所有题目)
夜雨聆风