AI+PLUS-InVEST耦合下的土地利用多情景生态系统服务评估、优化策略及SCI论文全链条实战指南
直播课
培训时间:4月22日-24日、29日-30日【腾讯会议直播】
每日授课时间:上午:9:30-12:00 下午:14:00-17:30
工业革命以来,全球城市化与工业化进程加速,土地资源的高强度开发引发人地关系失衡,水土流失、生物多样性锐减、气候调节功能退化等生态危机频发。传统土地利用规划依赖经验驱动或单一模型模拟,难以精准捕捉人类活动与生态系统的复杂交互机制。随着 AI 技术的突破,尤其是大模型在地理空间分析中的应用,为破解 “土地利用变化 — 生态系统服务” 耦合模拟的技术瓶颈提供了新范式。
生态系统服务作为维系人类福祉的核心支撑,其供给能力与土地利用格局紧密相关。高频次的人类活动导致土地利用快速变化,进而影响生态系统结构功能,加剧服务供给的不确定性。情景分析作为评估生态服务权衡关系的成熟方法,需依托高精度模型模拟土地利用变化的非线性过程。本课程聚焦的 PLUS 模型,内嵌 Markov 链与多类型随机斑块种子 CA 模型,结合 AI 数据处理与参数优化技术,可精准模拟不同政策情景下土地利用演变的斑块级细节,量化其对产水、碳储量、生境质量等生态服务的潜在影响。
面对未来土地情景演替加剧的挑战,融合 AI 的多情景模拟技术成为刚需:通过 InVEST 模型量化生态服务时空异质性,借助 ArcGIS 实现空间数据处理与分析,结合 AI 辅助情景设计与结果归因,形成 “数据预处理 — 模型模拟 — 决策支持” 的全链条解决方案。本课程以典型区域为案例,系统讲解从历史数据驱动的土地利用预测,到生态服务空间异质性归因的核心技术,助力学员掌握 AI 赋能下的人地系统模拟方法,为区域生态安全维系与可持续土地规划提供技术支撑。
1、原理深入浅出的讲解,强调原理的重要性;
2、技巧方法讲解,提供课程配套的完整教材数据及提供长期回放;
3、与项目案例相结合,更好的对接实际工作应用;
4、跟学上机操作、独立完成案例操作练习、全程问题跟踪解析;
5、课程结束专属助学群辅助巩固学习及实际工作应用交流,不定期召开线上答疑;
培训费:3980元
【优惠活动】:
1:学生凭学生证有效证件参会可享受85折优惠。
2:转发朋友圈推荐好课程,集赞20枚可获得100元【设置公开可见】。
开具发票:培训费、会议费、资料费、技术咨询费,配有盖章文件【用于参会人员报销使用】。
会议赠送:1个月ChatGPT会员【可同时使用Claude、Gemini、Grok等模型,无需科学上网】

1、概念界定与理论基础
土地利用
多情景模拟
生态系统服务
2、地理数据简介
▶地理数据库:
文件地理数据库:保存在文件系统文件夹中的多种类型的 GIS 数据集的集合;
个人地理数据库:在 Microsoft Access 数据文件中存储和管理的 ArcGIS 地理数据库的原始数据格式
▶栅格数据:由按行和列(或格网)组织的像元(或像素)矩阵组成,其中的每个像元都包含一个信息值。栅格可以是数字航空像片、卫星影像、数字图片或甚至扫描的地图。


3、ArcGIS空间数据处理与分析介绍与实践
▶ArcGIS平台简介
4、PLUS模型和InVEST模型介绍及安装
▶PLUS版本介绍,安装;
过去踩过的那些坑—常见错误和使用注意;路径问题等。
5、从一篇论文读懂一个前沿范式
▶论文中技术路线图背后的完整故事

1、土地利用数据
土地利用数据集介绍及获取方法
土地利用数据集选取
土地利用数据预处理:影像拼接、裁剪、重投影等
2、驱动因子数据
气候环境数据
社会经济数据

3、不同类型数据制备方法与实践
▶栅格数据处理:
栅格影像拼接、裁剪、重投影及重采样等处理;
▶基础地理信息数据处理及空间分析:
√欧氏距离算法介绍与分析
√密度分析算法介绍与分析

▶地形因子提取
坡度、坡向、地形起伏度、山体阴影等地形因子提取的原理与方法

▶土壤因子数据提取
√属性表的编辑与导出
√连接表的属性
√重分类:多种可对输入像元值进行重分类或将输入像元值更改为替代值的方法
√查找表:通过在输入栅格数据表中查找另一个字段的值来新建栅格

▶气象因子数据处理:
√站点数据下载及提取
√插值分析:反距离权重法(inverse distance weighting,IDW)、自然邻域法、趋势面法和样条函数法等方法对气象站点数据插值分析;
√NetCDF 数据处理:根据 NetCDF 文件创建栅格图层

▶栅格数据的转换方法
AI助力:数据处理与分析支持
▶数据预处理:AI辅助处理环境、气候和土地利用数据;指导用户清洗、格式化和准备数据
▶文本数据处理:AI可以帮助提取文献、报告和专家意见等文本数据的关键信息、自动化文献综述、提取数据点以及将复杂的技术文本转化为简洁易懂的内容。

1、PLUS模型原理
基于土地扩张分析策略的规则挖掘框架
基于多类型随机斑块种子的CA模型
2、PLUS模型构建及精度验证
土地利用扩张分析

▶模拟参数设置
(1)限制区域
(2)领域效应
(3)转化成本
(4)领域权重
(5)土地利用需求
利用Markov模型来预测完成。

式中:St、St+1为t、t+1时期土地利用,Pij为转移概率矩阵,n为土地利用类型。
▶模型精度验证
总体精度(overall accuracy)
Kappa系数
3、不同情景下横断山区土地利用格局模拟
l自然发展情景下土地利用模拟
l生态保护情景下土地利用模拟
l经济发展优先情景下土地利用模拟

4、AI助力:
1)情景模拟的设计与优化
情景构建建议:帮助研究人员设计不同的情景变量,例如土地利用变化、气候变化等。根据已有的学术研究和文献推荐可能的情景变化方向。
情景分析的沟通与解释:通过AI生成的自然语言报告,更清楚地理解不同情景下生态系统服务的变化,帮助决策者做出更加科学的决策。
2)模型结果解读与决策支持
结果分析与报告生成:AI可以帮助生成分析报告,解释各项指标在不同情景下的变化。
情景间的比较分析:AI能够帮助对比不同情景模拟的结果,帮助决策者制定更合理的土地利用和环境保护政策。
3)模型优化与定制化
模型参数调优:调整PLUS模型中的参数,以更好地适应特定的研究区域或情景。
方案推荐与情景迭代:根据模拟结果推荐进一步的情景迭代。
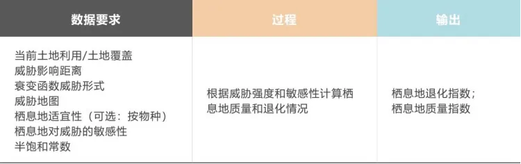
1、InVEST模型原理与模块
2、产水服务


数据需求与制备:



l数据需求与制备:


l数据需求与制备:


l数据需求与制备:

6、AI助力:
1)数据收集与整理
数据来源指导
格式转换与处理
缺失值处理
2)模型参数设置与运行
参数理解与解释
参数优化建议
模型运行指导
3)结果分析与可视化
结果解读
可视化展示
不确定性分析

1、土地利用时空变化分析
土地利用结构变化分析
土地利用动态度分析
土地利用转移矩阵分析
土地利用标准差椭圆分析

2、空间自相关 (Global Moran’s I) (Spatial Statistics) 分析原理与实践



3、高/低聚类(Getis-Ord General G)分析 的工作原理与实践
使用 Getis-Ord General G 统计可度量高值或低值的聚类程度。

4、空间分层异质性分析
地理探测器原理
地理探测器模块安装与介绍
因子检测

交互探测

5、局域回归分析
地理加权回归模型介绍

模型建立的基本准则
(1)空间权重系数确定
(2)带宽选择准则
参数及评价指标分析
回归系数空间格局分析

6、AI助力:
分析方法与技术支持
时空分析方法选择
GIS 技术应用指导
模型构建与应用:
驱动因素提取与因果分析辅助
驱动因素梳理
驱动机制探讨
因果链逻辑整理
结果解读与可视化
结果分析与解读
可视化设计与实现
时空变化叙述与自动总结

1、领域前沿与SCI论文写作基础认知
▶领域前沿解读:AI驱动在生态系统服务模拟、土地利用优化中的研究热点、发展趋势与研究空白,结合国内外最新SCI论文(近3年),明确研究(AI+PLUS-InVEST模型)的定位与优势。
▶SCI论文核心认知:生态环境/土地科学领域SCI论文的核心要求(创新性、科学性、规范性、可读性),不同分区(Q1/Q2)期刊的差异的侧重点,投稿全流程(选题-撰写-修改-投稿-返修)介绍。
2、科技论文写作
介绍摘要、绪论、方法、结果、讨论、结论的写作要点
▶确定创新方向+文献综述
▶数据收集与预处理
▶模型构建与初步分析
▶结果深化与论文大纲
▶初稿完成
▶修改完善+投稿准备
3、SCI论文案例分析
▶论文生产线构建
从数据到图表的自动化生成流程
结果分析与统计的代码化实现
论文草稿的模块化撰写
▶各章节写作精要
引言写作公式:研究领域→研究空白→本文贡献
方法部分:确保可复现性的写作技巧
结果与讨论:有层次的发现呈现与深度分析
图表设计:学术图表的美学与信息密度平衡
▶投稿与回复策略
期刊选择的多维度评估
投稿信与亮点提炼
审稿意见回复模板与策略
4、模型应用可拓展方向
AI助力:
▶自动化文献综述与跨学科整合
▶自动化摘要和结论撰写
▶相关文献与研究案例介绍
▶政策应用与建议
▶跨学科知识融合
▶研究方向拓展
▶学术表达优化

注:(请提前配置学习所需软件)。
报名方式


培训时间:4月18日-19日、25日-26日
2026基于前沿AI-Agent2.0驱动的科研全链路实战营:
一站式掌握LLM与Notebooklm应用、数据分析、自动化编程、文献管理到论文写作的核心技能、手把手搭建本地LLM与Agent,体验多模型“圆桌会议”的头脑风暴、基于N8N与OpenClaw、Claude Code构建从文献挖掘到成果产出的自主智能体、解锁Seedance2,轻松将论文转化为高质量的科研科普视频
培训时间:6月5日-8日
关于举办“OpenClaw、Hermes+Vibe Coding核心实战玩法,手把手教你本地部署与云端协同,实现知识、论文自动化工作流”培训班
培训时间:5月23日-24日
培训时间:5月30日-31日、6月6日-7日
基于claude code、codex双AI协同论文写作撰写与质量校准:从”数据分析→论文初稿→交叉审稿”全流程
培训时间:5月16日-17日
最新AI-Python机器学习、深度学习核心技术与前沿应用及OpenClaw、Hermes自动化编程高级研修班
培训时间:5月16日-17日、23日-24日
最新Hermes Agent 技能封装与科研自动化实战:以 Meta-Analysis 为例-实现从文献检索到绘图的一站式工作流培训班
培训时间:5月30日-31日
AI赋能R-Meta分析核心技术:从热点挖掘到高级模型、助力高效科研与论文发表培训班
培训时间:4月24日-27日
AI+PLUS-InVEST多情景耦合模拟、生态系统服务评估、土地利用优化、科研论文全链条实战高级研修班
培训时间:4月22日-24日、29日-30日
北斗高精度数据解算实战:破解城市峡谷/长基线/无网区难题,从毫米级定位到自动化交付的全流程攻坚进阶培训班
培训时间:西安现场:5月20日-24日 直播时间:5月21日-24日
第五期:最新AI+Python驱动的高光谱遥感全链路解析与典型案例实践高级培训班
培训时间:5月22日-23日、29日-30日
第八期:融合DeepSeek、GIS 与 Python 机器学习的全流程地质灾害风险评估、易发性分析、信息化建库、灾后重建及SCI论文成果撰写高级培训班
培训时间:5月13日-14日、18日、20日-21日
最新合成孔径雷达干涉测量InSAR数据处理、地形三维重建、形变信息提取、监测等实践技术应用高级培训班
培训时间:4月24日-26日
第八期:融合DeepSeek、GIs与 Pvthon 机器学习的全流程地质灾害风险评估、易发性分析信息化建库、灾后重建及 SCI论文成果撰写高级培训班
培训时间: 5月13日-14日、18日、20日-21日
最新AI-Python机器学习、深度学习核心技术与前沿应用及OpenClaw、Hermes自动化编程高级研修班
培训时间: 5月16日-17日、23日-24日
第六期一图胜千言-顶刊级科研绘图工坊暨Al支持下Nature级数据可视化方法与实战
培训时间: 5月15日-16日、22日-23日
从机理到实践告别“黑箱”模拟:OpenGeoSys(OGS6)多物理场THMC 全耦合建模与Python自动化分析高级实战营
培训时间:5月23日-24日、30日-31日
AI赋能下的流域径流模拟、气候变化影响评估及水文水资源管理实践技术培训班
培训时间:5月16日-17日、23日-24日
第五期:智能遥感新质生产力暨DeepSeek、ChatGPT、Python等驱动的空天地数据识别与计算及15个行业标杆案例实践培训班
培训时间:5月8日-9日、15日-16日



Ai尚研修丨专注科研领域
技术推广,人才招聘推荐,科研活动服务
科研技术云导师,Easy Scientific Researchv
夜雨聆风

