当前位置:首页>文档>专练96_2025高中教辅(后续还会更新新习题试卷)_2025高中全科《微专题·小练习》_2025高中全科《微专题小练习》_2025版·微专题小练习·地理

专练96_2025高中教辅(后续还会更新新习题试卷)_2025高中全科《微专题·小练习》_2025高中全科《微专题小练习》_2025版·微专题小练习·地理

  • 2026-04-14 04:06:57 2026-02-02 05:15:00

文档预览

专练96_2025高中教辅(后续还会更新新习题试卷)_2025高中全科《微专题·小练习》_2025高中全科《微专题小练习》_2025版·微专题小练习·地理
专练96_2025高中教辅(后续还会更新新习题试卷)_2025高中全科《微专题·小练习》_2025高中全科《微专题小练习》_2025版·微专题小练习·地理
专练96_2025高中教辅(后续还会更新新习题试卷)_2025高中全科《微专题·小练习》_2025高中全科《微专题小练习》_2025版·微专题小练习·地理
专练96_2025高中教辅(后续还会更新新习题试卷)_2025高中全科《微专题·小练习》_2025高中全科《微专题小练习》_2025版·微专题小练习·地理
专练96_2025高中教辅(后续还会更新新习题试卷)_2025高中全科《微专题·小练习》_2025高中全科《微专题小练习》_2025版·微专题小练习·地理
专练96_2025高中教辅(后续还会更新新习题试卷)_2025高中全科《微专题·小练习》_2025高中全科《微专题小练习》_2025版·微专题小练习·地理
专练96_2025高中教辅(后续还会更新新习题试卷)_2025高中全科《微专题·小练习》_2025高中全科《微专题小练习》_2025版·微专题小练习·地理
专练96_2025高中教辅(后续还会更新新习题试卷)_2025高中全科《微专题·小练习》_2025高中全科《微专题小练习》_2025版·微专题小练习·地理
专练96_2025高中教辅(后续还会更新新习题试卷)_2025高中全科《微专题·小练习》_2025高中全科《微专题小练习》_2025版·微专题小练习·地理

文档信息

文档格式
docx
文档大小
0.324 MB
文档页数
5 页
上传时间
2026-02-02 05:15:00

文档内容

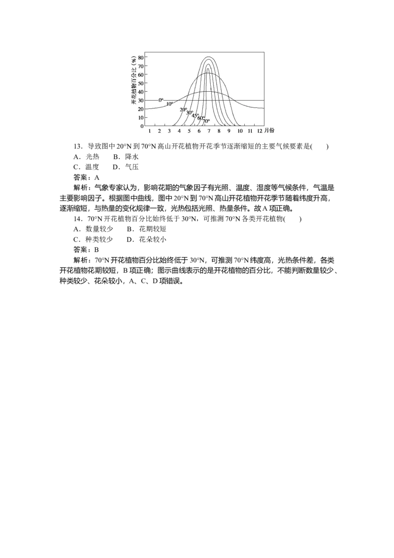
专练 96 地理统计图表的判读 授课提示:对应学生用书131页 选择题 [2024·安徽马鞍山三模]武夷山脉植被的垂直地带性分异显著,按照不同海拔区间的代 表性植被,划分了多个植被带。表为其中四个海拔区间的代表性植被分布。据此完成1~3 题。 海拔区间 代表性植被 ① 米槠、甜槠、毛锥等常绿林 ② 马尾松、毛竹等经济林;水稻、玉米等农作物 ③ 白檀、云锦杜鹃等灌木;青茅、野菊花等草本 ④ 黄山松、南方铁杉等针叶林 1.表中①②③④区间的海拔从低到高为( ) A.①②③④ B.②③①④ C.②①④③ D.④②③① 答案:C 解析:②中有水稻、玉米等粮食作物,发展种植业,应位于山麓地带,因此②的海拔 最低;③中没有高大乔木,多为草本和灌木,属于高山草甸,说明海拔最高;①中有米槠 甜槠等典型的常绿阔叶林,④中有黄山松、南方铁杉等针叶林,因此①海拔较④低。综上 所述,表中①②③④区间的海拔从低到高排序为②①④③。C正确,A、B、D错误。故选 C。 2.②区间多数植被分布整齐,物种相对单一的主要原因是( ) A.气候限制 B.物种竞争 C.自然演替 D.人类扰动 答案:D 解析:结合上题分析可知,②区间在武夷山脉山麓地带,人类活动影响大,多为人工 种植植被,因此分布整齐,物种相对单一,D正确;而与气候限制、物种竞争、自然演替 无关,A、B、C错误。故选D。 3.土壤碳氮含量与微生物的活动和繁殖密切相关,常绿林土壤碳氮含量最大的季节是 ( ) A.春季 B.夏季 C.秋季 D.冬季 答案:B 解析:武夷山夏季温度高、雨水充沛,为微生物的活动与繁殖提供了适宜的条件,因 此常绿阔叶林土壤微生物碳氮量在夏季显著大于其他季节,B正确,A、C、D错误。故选 B。 [2024·三明月考]一般认为月均太阳辐射总量在300 MJ/m2以上,能够使集热面积3平 方米热水器产生的热水量满足人们日常生活的热水需求。读重庆市月均太阳辐射总量分布 图,回答4~5题。4.重庆太阳辐射量( ) A.年内变化比较小 B.满足利用时间达 5 个月 C.在我国总量丰富 D.超过半年时间不可利用 答案:B 解析:从图中可以看出,重庆太阳辐射量冬季较少,夏季较多,年内变化大,A项错 误;由材料“太阳辐射总量在300 MJ/m2以上,能够使集热面积3平方米热水器产生的热 水量满足人们日常生活的热水需求”可知,满足利用时间长达5个月,B项正确;重庆位 于四川盆地,阴雨天气多,太阳能资源不丰富,C项错误;超过半年时间不能满足利用, 而不是不可利用,D项错误。 5.重庆各月太阳辐射总量差异的原因,叙述正确的是( ) A.2月少于3月是因为2月太阳高度大 B.11月多于1月与1月昼短无关 C.6月少于8月是因为6月地球公转速度慢 D.2月少于10月是因为2月云雾多 答案:D 解析:重庆位于北半球,2月太阳高度小于3月,A项错误;11月多于1月与1月白昼 短有关,11月昼长大于1月,B项错误;6月少于8月与地球公转速度无关,与6月降水比 8月多有关,降水多太阳辐射总量少,C项错误;2月少于10月是因为2月云雾多,D项正 确。 [2024·浙江温州高三期中]下表为黑龙江、甘肃、浙江、安徽四省2023年的人口与产业 相关数据。据此完成6~7题。 地区生产总 地区 第一产业 第二产业 第三产业 城镇化水平 值(亿元) 甲 3% 42.7% 54.3% 77 715 73.38% 乙 22.7% 29.2% 48.1% 15 901 66.21% 丙 13.5% 35.2% 51.3% 11 202 54.19% 丁 7.8% 41.3% 50.9% 45 045 60.15% 6.甲、乙、丙、丁四省依次位于( ) A.西部地区、东北地区、东部地区、中部地区 B.东部地区、中部地区、西部地区、东北地区 C.中部地区、西部地区、东部地区、东北地区 D.东部地区、东北地区、西部地区、中部地区 答案:D 解析:根据所学知识,甲省城镇化水平最高,国内生产总值最高,为东部地区;乙省 与其他地区相比,农业占比最大,为东北地区;丙省国内生产总值最低,为西部地区;丁 省国内生产总值和城镇化水平居中,应为中部地区。综上所述,D正确,A、B、C错误。故选D。 7.据表可知,下列说法正确的是( ) A.甲省为重工业基地,高新技术产业蓬勃发展 B.乙省属于亚热带季风气候,夏季高温多雨 C.丙省人口老龄化较严重,人口迁出是其主要原因 D.丁省典型植被为温带草原植被,有明显季相变化 答案:C 解析:由上题的结论可知,甲省为东部地区,第三产业占比最大,高新技术产业蓬勃 发展,不可能为重工业基地,A错误;乙省为东北地区,不可能为亚热带季风气候,B错 误;丙省为西部地区,经济较为落后,以人口迁出为主,导致人口老龄化较严重,C正确; 丁省为中部地区,植被应该以森林为主,并非草原,D错误。故选C。 [2024·苏州调研]下图为“美、英、中、日四国首次购房年龄与住房自有率图”。读图, 回答8~9题。 8.据图可知,下列说法正确的是( ) ①美国的购房压力最大 ②英国的住房自有率与美国相同 ③日本的购房压力最大 ④中国的首次购房年龄小于日本 A.①② B.②④ C.①③ D.③④ 答案:D 解析:首次购房年龄日本最大,说明日本的购房压力最大,①错误,③正确;英国的 住房自有率低于美国,②错误;中国首次购房年龄小于日本,④正确。故D项正确。 9.图中,中国购房特征的成因可能是( ) ①“先购房,后结婚”的观念 ②与另三国相比,投资渠道狭窄 ③日本的购房压力 最大 ④中国的首次购房年龄小于日本 A.①② B.②③ C.③④ D.①④ 答案:A 解析:读图可知,中国购房特征是首次购房年龄最低,住房自有率最高;中国购房特 征的成因可能是“先购房,后结婚”的观念,导致首次购房年龄最低,①正确;与另三国 相比,投资渠道狭窄,导致住房自有率最高,②正确;日本的购房压力最大、中国的首次 购房年龄小于日本不是中国购房特征的形成原因,③④错误。故A项正确。 [2024·福建高三专题练习]粮食安全关乎国家大局,建设国家高标准农田是粮食安全的 重要保障。下图为我国部分省级行政区2020年高标准农田建成规模(单位:千万亩)统计图。 读图,完成10~12题。10.高标准农田规模大于五千万亩的省区主要集中于( ) A.青藏地区 B.西北地区 C.北方地区 D.南方地区 答案:C 解析:通过观察2020年高标准农田建设规模统计图可以看到大于五千万亩的省区为黑 龙江、河南、山东,这些省区集中于北方地区,北方地区位于秦岭—淮河以北,C选项正 确,A、B、D选项错误。故选C项。 11.为提高高标准农田的质量,各省做法合理的是( ) A.河北—大水漫灌,防止水土流失 B.江苏—退耕还林,修建水平梯田 C.四川—治理盐碱,提高复种指数 D.云南—科学培肥,提高土壤肥力 答案:D 解析:河北地区蒸发较强,大水漫灌易产生次生盐渍化现象,A选项错误;江苏省地 形以平原为主,不适宜修建梯田,B选项错误;四川省农田建设主要的问题是土壤退化、 土壤侵蚀,盐碱化较轻,C选项错误;科学培肥,提高土壤肥力是各地均可采取的合理做 法,D选项正确。所以选择D选项。 12.我国保障粮食安全的措施有( ) ①加强农田水利设施建设 ②提高粮食进口比重 ③激励农业科技创新 ④调动农民 种粮积极性 ⑤积极增加劳动力投入 A.①②③ B.①③④ C.②③④ D.②③⑤ 答案:B 解析:加强水利建设,能够保障农田用水,预防旱灾,①正确;提高粮食进口比重, 会威胁粮食安全,②错误;激励农业科技创新,藏粮于技,③正确;调动农民种粮积极性 保障国家粮食产量,④正确;积极增加劳动力投入,提高了劳动力成本,不利于经济发展 ⑤错误。A、C、D选项错误,所以选择B选项。 [2024·晋江质检]开花植物百分比是指正在开花的植物种类占可开花植物种类的百分比。 下图示意“北半球不同纬度高山开花植物百分比年内变化”图。据此完成13~14题。13.导致图中20°N到70°N高山开花植物开花季节逐渐缩短的主要气候要素是( ) A.光热 B.降水 C.温度 D.气压 答案:A 解析:气象专家认为,影响花期的气象因子有光照、温度、湿度等气候条件,气温是 主要影响因子。根据图中曲线,图中20°N到70°N高山开花植物开花季节随着纬度升高, 逐渐缩短,与热量的变化规律一致,光热包括光照、热量条件。故A项正确。 14.70°N开花植物百分比始终低于30°N,可推测70°N各类开花植物( ) A.数量较少 B.花期较短 C.种类较少 D.花朵较小 答案:B 解析:70°N开花植物百分比始终低于30°N,可推测70°N纬度高,光热条件差,各类 开花植物花期较短,B项正确;图示曲线表示的是开花植物的百分比,不能判断数量较少、 种类较少、花朵较小,A、C、D项错误。