当前位置:首页>文档>专练97_2025高中教辅(后续还会更新新习题试卷)_2025高中全科《微专题·小练习》_2025高中全科《微专题小练习》_2025版·微专题小练习·地理

专练97_2025高中教辅(后续还会更新新习题试卷)_2025高中全科《微专题·小练习》_2025高中全科《微专题小练习》_2025版·微专题小练习·地理

  • 2026-04-14 21:26:33 2026-02-02 05:15:27

文档预览

专练97_2025高中教辅(后续还会更新新习题试卷)_2025高中全科《微专题·小练习》_2025高中全科《微专题小练习》_2025版·微专题小练习·地理
专练97_2025高中教辅(后续还会更新新习题试卷)_2025高中全科《微专题·小练习》_2025高中全科《微专题小练习》_2025版·微专题小练习·地理
专练97_2025高中教辅(后续还会更新新习题试卷)_2025高中全科《微专题·小练习》_2025高中全科《微专题小练习》_2025版·微专题小练习·地理
专练97_2025高中教辅(后续还会更新新习题试卷)_2025高中全科《微专题·小练习》_2025高中全科《微专题小练习》_2025版·微专题小练习·地理
专练97_2025高中教辅(后续还会更新新习题试卷)_2025高中全科《微专题·小练习》_2025高中全科《微专题小练习》_2025版·微专题小练习·地理
专练97_2025高中教辅(后续还会更新新习题试卷)_2025高中全科《微专题·小练习》_2025高中全科《微专题小练习》_2025版·微专题小练习·地理
专练97_2025高中教辅(后续还会更新新习题试卷)_2025高中全科《微专题·小练习》_2025高中全科《微专题小练习》_2025版·微专题小练习·地理
专练97_2025高中教辅(后续还会更新新习题试卷)_2025高中全科《微专题·小练习》_2025高中全科《微专题小练习》_2025版·微专题小练习·地理
专练97_2025高中教辅(后续还会更新新习题试卷)_2025高中全科《微专题·小练习》_2025高中全科《微专题小练习》_2025版·微专题小练习·地理

文档信息

文档格式
docx
文档大小
0.335 MB
文档页数
5 页
上传时间
2026-02-02 05:15:27

文档内容

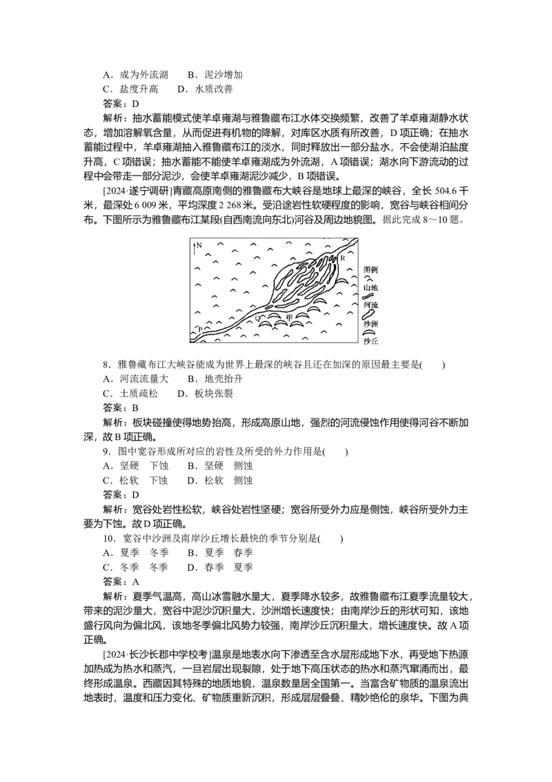
专练 97 地理示意图的判读 授课提示:对应学生用书133页 选择题 下图示意某地垂直于构造线(区域性构造在地面上的延伸线,如大的断层线等)方向所 作的地质剖面,图中数字为地层编号(⑤为花岗岩)。读图,完成1~2题。 1.图中a、b、c三处( ) A.a、c两处地质构造线都呈东南—西北走向 B.a处背斜岩层受到水平挤压成山 C.b处附近多泉水出露,不宜建设大坝 D.c处向斜上覆岩层受外力侵蚀成谷 答案:C 解析:b处位于断层附近,因为断层作用,隔水层或岩墙阻隔了地下水,使地下水沿 断层溢出形成泉;断层附近岩层不稳,裂隙较多,不宜筑坝,C正确。a处地层年代中间新 两翼老,为向斜构造;c处地层年代中间老两翼新,为背斜构造,a、c两处地质构造线垂 直于图示剖面方向,应呈东北—西南走向,A错误。a处是向斜槽部,不易被侵蚀,形成 山岭,B错误。c处为背斜顶部,因受张力岩石破碎,易被侵蚀成谷,D错误。 2.图中地质构造的形成过程中,最早发生的地质作用是( ) A.岩浆侵入 B.断层作用 C.沉积作用 D.褶皱隆起 答案:C 解析:图示地区的地质作用过程是沉积作用→水平挤压→褶皱隆起→外力侵蚀→岩浆 侵入→变质作用→断层发生→外力侵蚀。 [2024·晋江质检]峡谷是在新构造运动迅速抬升和流水下切侵蚀作用下形成的谷地,是 一种两壁狭长且陡峭、深度大于宽度的地貌景观。下图示意“太行山峡谷横剖面”图。据 此完成3~4题。 3.关于太行山峡谷形成的年代,从早至晚的次序为( ) A.V形峡谷、U形宽谷、盘状宽谷 B.U形宽谷、V形峡谷、盘状宽谷C.盘状宽谷、U形宽谷、V形峡谷 D.盘状宽谷、V形峡谷、U形宽谷 答案:C 解析:读材料可知,“峡谷是在新构造运动迅速抬升和流水下切侵蚀作用下形成的谷 地”,即内力抬升后遭受流水下切侵蚀,是自上而下逐渐侵蚀形成的;读图可知,位于最 上方的盘状宽谷是最先形成的,位于最下方的V形峡谷是最后形成的。故C项正确。 4.下列对峡谷地区的地质推断成立的是( ) A.石柱地貌形成早于孤峰 B.地壳运动以水平运动为主 C.峡谷处在火山地震带上 D.该河流走向受断裂带控制 答案:D 解析:石柱、孤峰的形成主要受外力作用,而图示无法反映出外力作用发生的时间先 后,因而无法推测其形成的先后,A项错误;读材料可知,“峡谷是在新构造运动迅速抬 升和流水下切侵蚀作用下形成的谷地”,故地壳运动以垂直运动为主,B项错误;由板块 构造学说可知,太行山峡谷并不在火山地震带上,C项错误;断裂带处岩石破碎,易受侵 蚀发育成峡谷,故D项正确。 [2024·皖南联考]羊卓雍湖与纳木错、玛旁雍错并称西藏三大圣湖,是喜马拉雅山北麓 最大的大陆湖泊。为调节拉萨居民用电季节差异,保障高峰季节用电,20世纪90年代, 当地在羊卓雍湖与雅鲁藏布江之间建设了一座抽水蓄能电站。发电时,直接从羊卓雍湖放 水发电,尾水泄入雅鲁藏布江;蓄能时,从雅鲁藏布江抽江水(经沉淀池)入羊卓雍湖。读 “羊卓雍湖抽水蓄能电站示意图”,完成5~7题。 5.羊卓雍湖的主要补给水源来自( ) A.雨水 B.冰雪融水 C.地下水 D.雅鲁藏布江 答案:B 解析:羊卓雍湖位于青藏高原,是以高山冰雪融水补给为主的内陆湖,B项正确。 6.推测该电站主要发电季节是( ) A.春季 B.夏季 C.秋季 D.冬季 答案:D 解析:根据材料可知,该抽水蓄能电站是为了“调节拉萨居民用电季节差异,保障高 峰季节用电”,拉萨用电高峰为需要取暖的冬季,因此该电站主要发电季节是冬季,D项 正确。 7.抽水蓄能模式的运行,可能使羊卓雍湖( )A.成为外流湖 B.泥沙增加 C.盐度升高 D.水质改善 答案:D 解析:抽水蓄能模式使羊卓雍湖与雅鲁藏布江水体交换频繁,改善了羊卓雍湖静水状 态,增加溶解氧含量,从而促进有机物的降解,对库区水质有所改善,D项正确;在抽水 蓄能过程中,羊卓雍湖抽入雅鲁藏布江的淡水,同时释放出一部分盐水,不会使湖泊盐度 升高,C项错误;抽水蓄能不能使羊卓雍湖成为外流湖,A项错误;湖水向下游流动的过 程中会带走一部分泥沙,会使羊卓雍湖泥沙减少,B项错误。 [2024·遂宁调研]青藏高原南侧的雅鲁藏布大峡谷是地球上最深的峡谷,全长 504.6千 米,最深处6 009米,平均深度2 268米。受沿途岩性软硬程度的影响,宽谷与峡谷相间分 布。下图所示为雅鲁藏布江某段(自西南流向东北)河谷及周边地貌图。据此完成8~10题。 8.雅鲁藏布江大峡谷能成为世界上最深的峡谷且还在加深的原因最主要是( ) A.河流流量大 B.地壳抬升 C.土质疏松 D.板块张裂 答案:B 解析:板块碰撞使得地势抬高,形成高原山地,强烈的河流侵蚀作用使得河谷不断加 深,故B项正确。 9.图中宽谷形成所对应的岩性及所受的外力作用是( ) A.坚硬 下蚀 B.坚硬 侧蚀 C.松软 下蚀 D.松软 侧蚀 答案:D 解析:宽谷处岩性松软,峡谷处岩性坚硬;宽谷所受外力应是侧蚀,峡谷所受外力主 要为下蚀。故D项正确。 10.宽谷中沙洲及南岸沙丘增长最快的季节分别是( ) A.夏季 冬季 B.夏季 春季 C.冬季 冬季 D.春季 夏季 答案:A 解析:夏季气温高,高山冰雪融水量大,夏季降水较多,故雅鲁藏布江夏季流量较大, 带来的泥沙量大,宽谷中泥沙沉积量大,沙洲增长速度快;由南岸沙丘的形状可知,该地 盛行风向为偏北风,该地冬季偏北风势力较强,南岸沙丘沉积量大,增长速度快。故A项 正确。 [2024·长沙长郡中学校考]温泉是地表水向下渗透至含水层形成地下水,再受地下热源 加热成为热水和蒸汽,一旦岩层出现裂隙,处于地下高压状态的热水和蒸汽窜涌而出,最 终形成温泉。西藏因其特殊的地质地貌,温泉数量居全国第一。当富含矿物质的温泉流出 地表时,温度和压力变化、矿物质重新沉积,形成层层叠叠、精妙绝伦的泉华。下图为典型的西藏温泉示意图。据此完成11~12题。 11.西藏温泉众多的自然条件不包括( ) A.地下水丰富 B.多季节性积雪融水 C.地壳运动活跃,多裂隙 D.地下热源充足 答案:B 解析:西藏多高山冰雪融水,地下水补给充足;地处板块交界处,地壳运动活跃,岩 层多断裂,利于地表水下渗和出露;地热丰富,地下热源充足。由此可知,A、C、D正确 但不符合题意。季节性积雪融水主要是冬季降雪,在春季气温升高时融化形成,季节性积 雪融水量较少,故不是西藏温泉主要补给水源。B错误但符合题意。故选B。 12.温泉对周边地理环境可能带来的影响是( ) A.雪线升高 B.降水显著增加 C.改善小气候 D.生物多样性下降 答案:C 解析:温泉不会对区域内气候产生较大影响,故不会使雪线升高,A错误;会使得当 地气温升高,蒸发加剧,空气湿度上升,在一定程度上会使降水增加,不会使区域降水显 著增加,但会使周边地区小气候得到改善,B错误,C正确;水热条件的改善为当地动植 物的生长提供了条件,丰富了物种多样性,D错误。故选C。 [2024·南宁质检]橡胶坝,又称橡胶水闸,是用高强度合成纤维织物做受力骨架,内外 涂敷橡胶作保护层,通过充水(气)将其充胀形成的袋式挡水坝。坝顶可以溢流,并可根据 需要调节坝高,在上游蓄水并控制上游水位,某县县城建成的橡胶坝剖面图如下图所示, 其中7~9月橡胶坝水体自然外溢。据此完成13~15题。 13.根据材料,判断该县属于下列哪个省区( ) A.广东 B.台湾 C.山西 D.云南答案:C 解析:因为橡胶坝便于蓄、排水,主要建于降水季节变化大、河流流量季节变化大、 相对干旱缺水的地区。山西地处黄土高原温带季风气候区,较为缺水,橡胶坝利用价值高 C项正确;广东、台湾、云南年降水量较大,雨季较长,橡胶坝利用价值不大,A、B、D 项错误。 14.在水下泥土中种荷花、水草,水中放养鱼类,主要作用是( ) A.美化环境 B.形成良性生态系统 C.生产莲藕 D.增加蒸腾作用 答案:B 解析:在水下泥土中种荷花、水草,水中放养鱼类,形成一个动植物结合的生态系统, 有利于净化分解水中的有毒有害物质,保护水环境,避免水质因蓄水后水体流动性减弱而 变差,所以主要作用是形成良性生态系统,B项正确。 15.橡胶坝水体不能起到的作用是( ) A.改善局地气候 B.降低热岛效应 C.扩大湿地面积 D.增加县城降水量 答案:D 解析:橡胶坝虽然积蓄了一定的水量,增加湿地面积,增加空气湿度,改善局地气候, 降低城市热岛效应,但其高度和牢固程度有限,蓄水量有限,增加的空气湿度有限,对增 加县城降水量作用微弱。故D项正确。