当前位置:首页>文档>数学(四川成都卷)(参考答案及评分标准)_2数学总复习_赠送:2024中考模拟题数学_一模_数学(四川成都卷)-2024年中考第一次模拟考试

数学(四川成都卷)(参考答案及评分标准)_2数学总复习_赠送:2024中考模拟题数学_一模_数学(四川成都卷)-2024年中考第一次模拟考试

  • 2026-04-19 22:28:55 2026-02-05 23:40:11

文档预览

数学(四川成都卷)(参考答案及评分标准)_2数学总复习_赠送:2024中考模拟题数学_一模_数学(四川成都卷)-2024年中考第一次模拟考试
数学(四川成都卷)(参考答案及评分标准)_2数学总复习_赠送:2024中考模拟题数学_一模_数学(四川成都卷)-2024年中考第一次模拟考试
数学(四川成都卷)(参考答案及评分标准)_2数学总复习_赠送:2024中考模拟题数学_一模_数学(四川成都卷)-2024年中考第一次模拟考试
数学(四川成都卷)(参考答案及评分标准)_2数学总复习_赠送:2024中考模拟题数学_一模_数学(四川成都卷)-2024年中考第一次模拟考试
数学(四川成都卷)(参考答案及评分标准)_2数学总复习_赠送:2024中考模拟题数学_一模_数学(四川成都卷)-2024年中考第一次模拟考试
数学(四川成都卷)(参考答案及评分标准)_2数学总复习_赠送:2024中考模拟题数学_一模_数学(四川成都卷)-2024年中考第一次模拟考试
数学(四川成都卷)(参考答案及评分标准)_2数学总复习_赠送:2024中考模拟题数学_一模_数学(四川成都卷)-2024年中考第一次模拟考试
数学(四川成都卷)(参考答案及评分标准)_2数学总复习_赠送:2024中考模拟题数学_一模_数学(四川成都卷)-2024年中考第一次模拟考试
数学(四川成都卷)(参考答案及评分标准)_2数学总复习_赠送:2024中考模拟题数学_一模_数学(四川成都卷)-2024年中考第一次模拟考试
数学(四川成都卷)(参考答案及评分标准)_2数学总复习_赠送:2024中考模拟题数学_一模_数学(四川成都卷)-2024年中考第一次模拟考试
数学(四川成都卷)(参考答案及评分标准)_2数学总复习_赠送:2024中考模拟题数学_一模_数学(四川成都卷)-2024年中考第一次模拟考试
数学(四川成都卷)(参考答案及评分标准)_2数学总复习_赠送:2024中考模拟题数学_一模_数学(四川成都卷)-2024年中考第一次模拟考试
数学(四川成都卷)(参考答案及评分标准)_2数学总复习_赠送:2024中考模拟题数学_一模_数学(四川成都卷)-2024年中考第一次模拟考试
数学(四川成都卷)(参考答案及评分标准)_2数学总复习_赠送:2024中考模拟题数学_一模_数学(四川成都卷)-2024年中考第一次模拟考试
数学(四川成都卷)(参考答案及评分标准)_2数学总复习_赠送:2024中考模拟题数学_一模_数学(四川成都卷)-2024年中考第一次模拟考试
数学(四川成都卷)(参考答案及评分标准)_2数学总复习_赠送:2024中考模拟题数学_一模_数学(四川成都卷)-2024年中考第一次模拟考试

文档信息

文档格式
docx
文档大小
1.022 MB
文档页数
12 页
上传时间
2026-02-05 23:40:11

文档内容

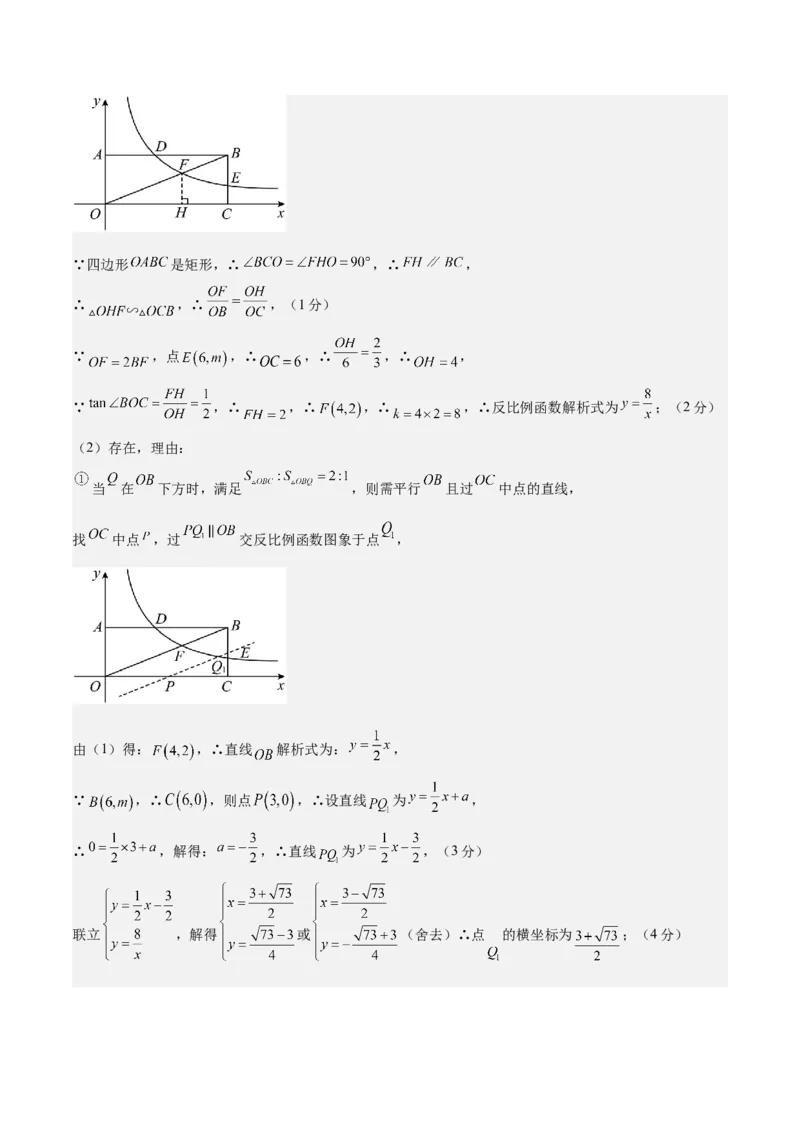
2024 年中考第一次模拟考试(成都卷) 数学·参考答案 A卷(共100分) 第Ⅰ卷 一、选择题(本大题共8个小题,每小题4分,共32分.在每个小题给出的四个选项中,只 有一项符合题目要求,请选出并在答题卡上将该项涂黑). 1 2 3 4 5 6 7 8 B B C D D A B C 第Ⅱ卷(共68分) 二、填空题(本大题共5个小题,每题4分,满分20分,将答案填在答题纸上) 9.【答案】1.2 10.【答案】 (答案不唯一) 11.【答案】 12.【答案】 13.【答案】 三、解答题 (本大题共5小题,共48分.解答应写出文字说明、证明过程或演算步骤.) 14.(满分12分) 【答案】(1) ;(2) 【详解】(1) (4分) (5分) ;(6分)(2)将 去括号得: (7分) 解得: ;(8分) 将 去分母得: (9分) 去括号得: (10分) 解得: ;(11分) 故方程组的解集为: .(12分) 15.(满分8分) 【答案】(1)①见解析;②2 (2) 【详解】(1)解:①公共充电桩的总数为 (万台), ∴“国家电网”的公共充电桩数量为 (万台), “国家电网”的公共充电桩的市场份额为 ; 如图, (2分) ②统计图中所涉及的十一种企业投放公共充电桩数量的中位数是2万台.(4分) (2)画树状图为:(6分) 共有12种等可能的结果,其中抽取到的两张卡片恰好是“A”和“D“的结果数为2,(7分) 所以抽取到的两张卡片恰好是“A”和“D“的概率 .(8分) 16.(满分8分) 【答案】要使该楼的日照间距系数不低于1.25,底部 距 处至少30m远 【详解】解:过点 作 ,垂足为点 (1分) ,在 中, 的坡度为 , ,(2分) 设 ,则 , ,(3分) , , , , .(4分) ,(5分) , ,(6分) 由题意得: 解得: (7分) 答:要使该楼的日照间距系数不低于 ,底部 距 处至少 远 (8分) 17.(满分10分) 【答案】(1)见解析(2) 【详解】(1)解:连接 ,如图所示:是 的切线. , ,(1分) 直线 于点 ,有 ,(2分) , ,(3分) , , , .(4分) (2)解:作 于点 ,如图所示: ,(5分) , ,(6分) 是 的中点, , , ,(7分) , ,(8分) ,则 , ,(9分) ,有 ,解得 .(10分) 18.(满分10分) 【答案】(1) ;(2)存在,点Q的横坐标为 或 ,理由见解析;(3) 或 . 【详解】(1)如图,过 作 轴于 ,∵四边形 是矩形,∴ ,∴ , ∴ ,∴ ,(1分) ∵ ,点 ,∴ ,∴ ,∴ , ∵ ,∴ ,∴ ,∴ ,∴反比例函数解析式为 ;(2分) (2)存在,理由: 当 在 下方时,满足 ,则需平行 且过 中点的直线, 找 中点 ,过 交反比例函数图象于点 , 由(1)得: ,∴直线 解析式为: , ∵ ,∴ ,则点 ,∴设直线 为 , ∴ ,解得: ,∴直线 为 ,(3分) 联立 ,解得 或 (舍去)∴点 的横坐标为 ;(4分)当 在 上方时,满足 ,则需平行 且过 中点的直线, 找 中点 ,过 交反比例函数图象于点 , 同( )理:直线 解析式为: , ∵ ,∴ ,∴点 ,∴ ,则直线 为 ,(5分) 联立 ,解得 或 (舍去)∴点 的横坐标为 , 综上可知:点Q的横坐标为 或 ;(6分) (3)∵ , , , 如图,当 时,作 ,交 延长线于点 ,作 ,交 延长线于 ∴ 是等腰直角三角形,∴ , ∵ , ,∴ ,又∵ ∴ ,∴ , ,(7分) ∴ ,设直线 的解析式为 ,∴ ,解得: , ∴直线 的解析式为 ,∴ , 解得: 或 (负值舍去),(8分) 当 ,作 ,交 延长线于点 ,过点 作 轴于点 , 同理 可证: ,∴ , ,∴ ,(9分) 设直线 的解析式为 , ∴ ,解得: 或 (不合题意,舍去) 综上,符合条件的 的值为 或 .(10分) B卷(共50分) 一、填空题(每题4分,满分20分,将答案填在答题纸上) 19.【答案】 20.【答案】 21.【答案】122.【答案】 或 23.【答案】①②④⑤ 二、解答题 (本大题共3小题,共30分.解答应写出文字说明、证明过程或演算步骤.) 24.(满分8分) 【答案】(1)1台 型8小时的垃圾处理量,1台 型13小时的垃圾处理量 (2)1台 型机器人和1台 型机器人每小时分别处理垃圾0.3吨和0.2吨 (3)当采购 型机器人66台, 型机器人1台时,采购费用最低,为1334万元 【详解】解:(1)根据第二个线段图可得: 1台 型8小时的垃圾处理量 台 型13小时的垃圾处理量 吨; 故答案为:1台 型8小时的垃圾处理量,1台 型13小时的垃圾处理量;(2分) (2)设1台 型机器人和1台 型机器人每小时分别处理垃圾 吨和 吨, 则: ,解之可得: ,(3分) 经检验, 是原方程组的解,且符合题意, 答:1台 型机器人和1台 型机器人每小时分别处理垃圾0.3吨和0.2吨;(4分) (3)设采购 型机器人t台,则采购 型机器人 (台), 则: ,解之可得: ( 为整数),(5分) 由题意可知,采购费用为: ,(6分) ∵ ,∴ 随 的增大而减小, ∴当 时,采购费用最低,为 (万元),(7分) 此时 台,即采购 型机器人66台, 型机器人1台, 答:当采购 型机器人66台, 型机器人1台时,采购费用最低,为1334万元.(8分) 25.(满分10分) 【答案】(1) (2)D的坐标为 或 ;(3)证明见解析【详解】(1)解:∵抛物线 , 当 时, ,即 , , ∵ ,∴ , ,∴ , ,(1分) ∴ ,解得: ,∴抛物线为: ;(2分) (2)∵抛物线 ,∴对称轴为直线 , 设 , ,而 , , ,(3分) 由平行四边形 的性质可得: ,解得: ,∴ ,(4分) 由平行四边形 的性质可得: ,解得: ,∴ ; 综上:D的坐标为 或 ;(5分) (3)∵抛物线 ,∴对称轴为直线 , ∵ , ,∴ ,即 , 设直线 为 ,∴ ,解得: ,∴直线 为 ,(6分) 同理可得:直线 为 ,设直线 为 , ∴ ,∴结合题意可得: 即 有两个相等的实数根,∴ ,∴直线 为 ,(7分) ∴ ,解得: ,即 ,同理可得: , ∴ , ,(8分) 当直线 从左往右上升时, , ∴ , ,∴ ,(9分) 当直线 从左往右下降时, , , ,∴ ,∴ 为定值.(10分) 26.(满分12分) 【答案】(1) (2)见详解(3) 【详解】(1)解:如图1,作 于 , (1分) ∵ 是 的中点, (2分) 在 中, , (3分)(2)证明:如图2,连接 ,作 于 ,不妨设 , (4分) 四点共圆, (5分) (6分) 是 中点, 是等边三角形, (7分) (3)解:如图3,取 的中点 ,连接 ,在 上截取 , ∵ 是 的中点, ∴点 在以 为圆心, 为半径的圆上运动, ∴ ,(8分)∴当 、 、 共线时, 最大,(9分) 作 于 ,作 于 ,在 中, 由 得, (10分) 在 中, (11分) 由 得, (12分)