文档
办公文件
生活文档
学习资料
当前位置:
首页
>
文档
>2023考研数学(一)试卷公众号:小乖考研免费分享_04.数学一历年真题_普通版本数学一
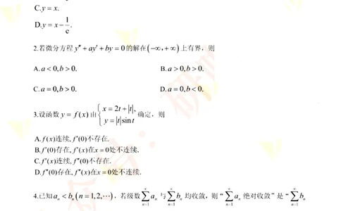
2023考研数学(一)试卷公众号:小乖考研免费分享_04.数学一历年真题_普通版本数学一
2026-04-04 22:49:57
2026-02-06 18:18:07
文档预览
文档信息
文档格式
pdf
文档大小
6.784 MB
文档页数
5 页
上传时间
2026-02-06 18:18:07
下载文档
本文档来自网络内容,如有侵犯您的权益请联系我们删除,联系邮箱:wyl860211@qq.com。
上一篇
2023考研数学(一)答案公众号:小乖考研免费分享_04.数学一历年真题_普通版本数学一
下一篇
2023考研数学(三)答案公众号:小乖考研免费分享_06.数学三历年真题_普通版本数学三
最新文档
专题03建议信+咨询信+申请信(讲义)(原卷版)_02高考数学_2025年新高考资料_二轮复习_01高考语文等多个文件_上好课2025年高考英语二轮复习讲练测(新高考通用)_第七部分写作
专题03建议信+咨询信+申请信(测试)(解析版)_02高考数学_2025年新高考资料_二轮复习_01高考语文等多个文件_上好课2025年高考英语二轮复习讲练测(新高考通用)_第七部分写作
专题03应用文写作之书信邮件类(下)(解析版)_03高考英语_2025年新高考资料_二轮复习_2025年高考英语二轮热点题型归纳与变式演练(新高考通用)340016860_第三部分写作
难点17几何综合模型(5大热考模型)原卷版_02中考总复习(2026版更新中)_02-数学-中考总复习_2025中考复习资料_2025年中考数学一轮知识梳理_难点17几何综合模型(5大热考模型)
专题03应用文写作之书信邮件类(下)(解析版)_02高考数学_2025年新高考资料_二轮复习_01高考语文等多个文件_2025年高考英语二轮热点题型归纳与变式演练(新高考通用)_第三部分写作
难点16辅助圆四种常考模型(解析版)_02中考总复习(2026版更新中)_02-数学-中考总复习_2025中考复习资料_2025年中考数学一轮知识梳理_难点16辅助圆四种常考模型
专题03应用文写作之书信邮件类(下)(原题版)_03高考英语_2025年新高考资料_二轮复习_2025年高考英语二轮热点题型归纳与变式演练(新高考通用)340016860_第三部分写作
专题03应用文写作之书信邮件类(下)(原题版)_02高考数学_2025年新高考资料_二轮复习_01高考语文等多个文件_2025年高考英语二轮热点题型归纳与变式演练(新高考通用)_第三部分写作
专题03平面向量(选填题10种考法)(解析版)_02高考数学_新高考复习资料_2024年新高考资料_二轮复习资料_2024届高三数学二轮复习《考法分类》专题训练(新高考)_1、选填题
难点11锐角三角函数的常考题型(6大热考题型)(解析版)_02中考总复习(2026版更新中)_02-数学-中考总复习_2025中考复习资料_2025年中考数学一轮知识梳理
热门文档
专题03平面向量(选填题10种考法)(原卷版)_02高考数学_新高考复习资料_2024年新高考资料_二轮复习资料_2024届高三数学二轮复习《考法分类》专题训练(新高考)_1、选填题
专题03平面与平面所成角(二面角)(含探索性问题)(典型题型归类训练)(解析版)_02高考数学_2025年新高考资料_二轮复习
难点11锐角三角函数的常考题型(6大热考题型)(原卷版)_02中考总复习(2026版更新中)_02-数学-中考总复习_2025中考复习资料_2025年中考数学一轮知识梳理
难点10相似三角形的常考题型(9大热考题型)(解析版)_02中考总复习(2026版更新中)_02-数学-中考总复习_2025中考复习资料_2025年中考数学一轮知识梳理
专题03平面与平面所成角(二面角)(含探索性问题)(典型题型归类训练)(解析版)_02高考数学_2025年新高考资料_专项复习_立体几何与空间向量
难点09与圆有关的计算常考题型(5大热考题型)(解析版)_02中考总复习(2026版更新中)_02-数学-中考总复习_2025中考复习资料_2025年中考数学一轮知识梳理
专题03平面与平面所成角(二面角)(含探索性问题)(典型题型归类训练)(解析版)_02高考数学_2024年新高考资料_3.2024专项复习_立体几何与空间向量
难点05一次函数反比例函数实际应用、面积、存在性、最值(6大热考题型)解析版_02中考总复习(2026版更新中)_02-数学-中考总复习_2025中考复习资料_2025年中考数学一轮知识梳理
专题03平面与平面所成角(二面角)(含探索性问题)(典型题型归类训练)(原卷版)_02高考数学_新高考复习资料_2024年新高考资料_专项复习资料_立体几何与空间向量
专题03平面与平面所成角(二面角)(含探索性问题)(典型题型归类训练)(原卷版)_02高考数学_2025年新高考资料_专项复习_立体几何与空间向量
随机文档
难点04特殊三角形的常考题型(8大热考题型)(解析版)_02中考总复习(2026版更新中)_02-数学-中考总复习_2025中考复习资料_2025年中考数学一轮知识梳理
专题03导数及其应用(选填题)(解析版)_02高考数学_通用版(老高考)复习资料_2024年复习资料_完五年(2019-2023)高考真题分项汇编(全国通用)_解析版
专题03导数及其应用(选填题)(文科)(解析版)_02高考数学_通用版(老高考)复习资料_2024年复习资料_完五年(2019-2023)高考真题分项汇编(全国通用)_解析版
专题03导数及其应用(选填题)(文科)(原卷版)_02高考数学_通用版(老高考)复习资料_2024年复习资料_完五年(2019-2023)高考真题分项汇编(全国通用)
难点02与三角形有关的常考题型(6大热考题型)(解析版)_02中考总复习(2026版更新中)_02-数学-中考总复习_2025中考复习资料_2025年中考数学一轮知识梳理
难点01相交线与平行线的常考题型(6大热考题型)(原卷版)_02中考总复习(2026版更新中)_02-数学-中考总复习_2025中考复习资料_2025年中考数学一轮知识梳理
阶段背记07中国地理分区(晨读晚默)(原卷版)_02中考总复习(2026版更新中)_09-地理-中考总复习_2024年中考复习资料_一轮复习_❤2024年中考地理一轮复习讲练测(全国通用)_晨读晚默
阶段测试03认识大洲(解析版)_02中考总复习(2026版更新中)_09-地理-中考总复习_2024年中考复习资料_一轮复习_❤2024年中考地理一轮复习讲练测(全国通用)_配套练习
阶段测试01地球和地图(原卷版)_02中考总复习(2026版更新中)_09-地理-中考总复习_2024年中考复习资料_一轮复习_❤2024年中考地理一轮复习讲练测(全国通用)_配套练习
阶段填图07中国地理分区(答案版)_02中考总复习(2026版更新中)_09-地理-中考总复习_2024年中考复习资料_一轮复习_❤2024年中考地理一轮复习讲练测(全国通用)_晨读晚默+填图_填图