当前位置:首页>文档>难点05一次函数反比例函数实际应用、面积、存在性、最值(6大热考题型)解析版_02中考总复习(2026版更新中)_02-数学-中考总复习_2025中考复习资料_2025年中考数学一轮知识梳理

难点05一次函数反比例函数实际应用、面积、存在性、最值(6大热考题型)解析版_02中考总复习(2026版更新中)_02-数学-中考总复习_2025中考复习资料_2025年中考数学一轮知识梳理

  • 2026-04-07 16:34:13 2026-04-07 16:32:42

文档预览

难点05一次函数反比例函数实际应用、面积、存在性、最值(6大热考题型)解析版_02中考总复习(2026版更新中)_02-数学-中考总复习_2025中考复习资料_2025年中考数学一轮知识梳理
难点05一次函数反比例函数实际应用、面积、存在性、最值(6大热考题型)解析版_02中考总复习(2026版更新中)_02-数学-中考总复习_2025中考复习资料_2025年中考数学一轮知识梳理
难点05一次函数反比例函数实际应用、面积、存在性、最值(6大热考题型)解析版_02中考总复习(2026版更新中)_02-数学-中考总复习_2025中考复习资料_2025年中考数学一轮知识梳理
难点05一次函数反比例函数实际应用、面积、存在性、最值(6大热考题型)解析版_02中考总复习(2026版更新中)_02-数学-中考总复习_2025中考复习资料_2025年中考数学一轮知识梳理
难点05一次函数反比例函数实际应用、面积、存在性、最值(6大热考题型)解析版_02中考总复习(2026版更新中)_02-数学-中考总复习_2025中考复习资料_2025年中考数学一轮知识梳理
难点05一次函数反比例函数实际应用、面积、存在性、最值(6大热考题型)解析版_02中考总复习(2026版更新中)_02-数学-中考总复习_2025中考复习资料_2025年中考数学一轮知识梳理
难点05一次函数反比例函数实际应用、面积、存在性、最值(6大热考题型)解析版_02中考总复习(2026版更新中)_02-数学-中考总复习_2025中考复习资料_2025年中考数学一轮知识梳理
难点05一次函数反比例函数实际应用、面积、存在性、最值(6大热考题型)解析版_02中考总复习(2026版更新中)_02-数学-中考总复习_2025中考复习资料_2025年中考数学一轮知识梳理
难点05一次函数反比例函数实际应用、面积、存在性、最值(6大热考题型)解析版_02中考总复习(2026版更新中)_02-数学-中考总复习_2025中考复习资料_2025年中考数学一轮知识梳理
难点05一次函数反比例函数实际应用、面积、存在性、最值(6大热考题型)解析版_02中考总复习(2026版更新中)_02-数学-中考总复习_2025中考复习资料_2025年中考数学一轮知识梳理
难点05一次函数反比例函数实际应用、面积、存在性、最值(6大热考题型)解析版_02中考总复习(2026版更新中)_02-数学-中考总复习_2025中考复习资料_2025年中考数学一轮知识梳理
难点05一次函数反比例函数实际应用、面积、存在性、最值(6大热考题型)解析版_02中考总复习(2026版更新中)_02-数学-中考总复习_2025中考复习资料_2025年中考数学一轮知识梳理
难点05一次函数反比例函数实际应用、面积、存在性、最值(6大热考题型)解析版_02中考总复习(2026版更新中)_02-数学-中考总复习_2025中考复习资料_2025年中考数学一轮知识梳理
难点05一次函数反比例函数实际应用、面积、存在性、最值(6大热考题型)解析版_02中考总复习(2026版更新中)_02-数学-中考总复习_2025中考复习资料_2025年中考数学一轮知识梳理
难点05一次函数反比例函数实际应用、面积、存在性、最值(6大热考题型)解析版_02中考总复习(2026版更新中)_02-数学-中考总复习_2025中考复习资料_2025年中考数学一轮知识梳理
难点05一次函数反比例函数实际应用、面积、存在性、最值(6大热考题型)解析版_02中考总复习(2026版更新中)_02-数学-中考总复习_2025中考复习资料_2025年中考数学一轮知识梳理
难点05一次函数反比例函数实际应用、面积、存在性、最值(6大热考题型)解析版_02中考总复习(2026版更新中)_02-数学-中考总复习_2025中考复习资料_2025年中考数学一轮知识梳理
难点05一次函数反比例函数实际应用、面积、存在性、最值(6大热考题型)解析版_02中考总复习(2026版更新中)_02-数学-中考总复习_2025中考复习资料_2025年中考数学一轮知识梳理
难点05一次函数反比例函数实际应用、面积、存在性、最值(6大热考题型)解析版_02中考总复习(2026版更新中)_02-数学-中考总复习_2025中考复习资料_2025年中考数学一轮知识梳理
难点05一次函数反比例函数实际应用、面积、存在性、最值(6大热考题型)解析版_02中考总复习(2026版更新中)_02-数学-中考总复习_2025中考复习资料_2025年中考数学一轮知识梳理
难点05一次函数反比例函数实际应用、面积、存在性、最值(6大热考题型)解析版_02中考总复习(2026版更新中)_02-数学-中考总复习_2025中考复习资料_2025年中考数学一轮知识梳理
难点05一次函数反比例函数实际应用、面积、存在性、最值(6大热考题型)解析版_02中考总复习(2026版更新中)_02-数学-中考总复习_2025中考复习资料_2025年中考数学一轮知识梳理
难点05一次函数反比例函数实际应用、面积、存在性、最值(6大热考题型)解析版_02中考总复习(2026版更新中)_02-数学-中考总复习_2025中考复习资料_2025年中考数学一轮知识梳理
难点05一次函数反比例函数实际应用、面积、存在性、最值(6大热考题型)解析版_02中考总复习(2026版更新中)_02-数学-中考总复习_2025中考复习资料_2025年中考数学一轮知识梳理
难点05一次函数反比例函数实际应用、面积、存在性、最值(6大热考题型)解析版_02中考总复习(2026版更新中)_02-数学-中考总复习_2025中考复习资料_2025年中考数学一轮知识梳理
难点05一次函数反比例函数实际应用、面积、存在性、最值(6大热考题型)解析版_02中考总复习(2026版更新中)_02-数学-中考总复习_2025中考复习资料_2025年中考数学一轮知识梳理
难点05一次函数反比例函数实际应用、面积、存在性、最值(6大热考题型)解析版_02中考总复习(2026版更新中)_02-数学-中考总复习_2025中考复习资料_2025年中考数学一轮知识梳理
难点05一次函数反比例函数实际应用、面积、存在性、最值(6大热考题型)解析版_02中考总复习(2026版更新中)_02-数学-中考总复习_2025中考复习资料_2025年中考数学一轮知识梳理
难点05一次函数反比例函数实际应用、面积、存在性、最值(6大热考题型)解析版_02中考总复习(2026版更新中)_02-数学-中考总复习_2025中考复习资料_2025年中考数学一轮知识梳理
难点05一次函数反比例函数实际应用、面积、存在性、最值(6大热考题型)解析版_02中考总复习(2026版更新中)_02-数学-中考总复习_2025中考复习资料_2025年中考数学一轮知识梳理
难点05一次函数反比例函数实际应用、面积、存在性、最值(6大热考题型)解析版_02中考总复习(2026版更新中)_02-数学-中考总复习_2025中考复习资料_2025年中考数学一轮知识梳理
难点05一次函数反比例函数实际应用、面积、存在性、最值(6大热考题型)解析版_02中考总复习(2026版更新中)_02-数学-中考总复习_2025中考复习资料_2025年中考数学一轮知识梳理
难点05一次函数反比例函数实际应用、面积、存在性、最值(6大热考题型)解析版_02中考总复习(2026版更新中)_02-数学-中考总复习_2025中考复习资料_2025年中考数学一轮知识梳理
难点05一次函数反比例函数实际应用、面积、存在性、最值(6大热考题型)解析版_02中考总复习(2026版更新中)_02-数学-中考总复习_2025中考复习资料_2025年中考数学一轮知识梳理
难点05一次函数反比例函数实际应用、面积、存在性、最值(6大热考题型)解析版_02中考总复习(2026版更新中)_02-数学-中考总复习_2025中考复习资料_2025年中考数学一轮知识梳理
难点05一次函数反比例函数实际应用、面积、存在性、最值(6大热考题型)解析版_02中考总复习(2026版更新中)_02-数学-中考总复习_2025中考复习资料_2025年中考数学一轮知识梳理
难点05一次函数反比例函数实际应用、面积、存在性、最值(6大热考题型)解析版_02中考总复习(2026版更新中)_02-数学-中考总复习_2025中考复习资料_2025年中考数学一轮知识梳理
难点05一次函数反比例函数实际应用、面积、存在性、最值(6大热考题型)解析版_02中考总复习(2026版更新中)_02-数学-中考总复习_2025中考复习资料_2025年中考数学一轮知识梳理
难点05一次函数反比例函数实际应用、面积、存在性、最值(6大热考题型)解析版_02中考总复习(2026版更新中)_02-数学-中考总复习_2025中考复习资料_2025年中考数学一轮知识梳理
难点05一次函数反比例函数实际应用、面积、存在性、最值(6大热考题型)解析版_02中考总复习(2026版更新中)_02-数学-中考总复习_2025中考复习资料_2025年中考数学一轮知识梳理
难点05一次函数反比例函数实际应用、面积、存在性、最值(6大热考题型)解析版_02中考总复习(2026版更新中)_02-数学-中考总复习_2025中考复习资料_2025年中考数学一轮知识梳理
难点05一次函数反比例函数实际应用、面积、存在性、最值(6大热考题型)解析版_02中考总复习(2026版更新中)_02-数学-中考总复习_2025中考复习资料_2025年中考数学一轮知识梳理
难点05一次函数反比例函数实际应用、面积、存在性、最值(6大热考题型)解析版_02中考总复习(2026版更新中)_02-数学-中考总复习_2025中考复习资料_2025年中考数学一轮知识梳理
难点05一次函数反比例函数实际应用、面积、存在性、最值(6大热考题型)解析版_02中考总复习(2026版更新中)_02-数学-中考总复习_2025中考复习资料_2025年中考数学一轮知识梳理
难点05一次函数反比例函数实际应用、面积、存在性、最值(6大热考题型)解析版_02中考总复习(2026版更新中)_02-数学-中考总复习_2025中考复习资料_2025年中考数学一轮知识梳理
难点05一次函数反比例函数实际应用、面积、存在性、最值(6大热考题型)解析版_02中考总复习(2026版更新中)_02-数学-中考总复习_2025中考复习资料_2025年中考数学一轮知识梳理
难点05一次函数反比例函数实际应用、面积、存在性、最值(6大热考题型)解析版_02中考总复习(2026版更新中)_02-数学-中考总复习_2025中考复习资料_2025年中考数学一轮知识梳理
难点05一次函数反比例函数实际应用、面积、存在性、最值(6大热考题型)解析版_02中考总复习(2026版更新中)_02-数学-中考总复习_2025中考复习资料_2025年中考数学一轮知识梳理
难点05一次函数反比例函数实际应用、面积、存在性、最值(6大热考题型)解析版_02中考总复习(2026版更新中)_02-数学-中考总复习_2025中考复习资料_2025年中考数学一轮知识梳理
难点05一次函数反比例函数实际应用、面积、存在性、最值(6大热考题型)解析版_02中考总复习(2026版更新中)_02-数学-中考总复习_2025中考复习资料_2025年中考数学一轮知识梳理
难点05一次函数反比例函数实际应用、面积、存在性、最值(6大热考题型)解析版_02中考总复习(2026版更新中)_02-数学-中考总复习_2025中考复习资料_2025年中考数学一轮知识梳理
难点05一次函数反比例函数实际应用、面积、存在性、最值(6大热考题型)解析版_02中考总复习(2026版更新中)_02-数学-中考总复习_2025中考复习资料_2025年中考数学一轮知识梳理
难点05一次函数反比例函数实际应用、面积、存在性、最值(6大热考题型)解析版_02中考总复习(2026版更新中)_02-数学-中考总复习_2025中考复习资料_2025年中考数学一轮知识梳理
难点05一次函数反比例函数实际应用、面积、存在性、最值(6大热考题型)解析版_02中考总复习(2026版更新中)_02-数学-中考总复习_2025中考复习资料_2025年中考数学一轮知识梳理
难点05一次函数反比例函数实际应用、面积、存在性、最值(6大热考题型)解析版_02中考总复习(2026版更新中)_02-数学-中考总复习_2025中考复习资料_2025年中考数学一轮知识梳理
难点05一次函数反比例函数实际应用、面积、存在性、最值(6大热考题型)解析版_02中考总复习(2026版更新中)_02-数学-中考总复习_2025中考复习资料_2025年中考数学一轮知识梳理
难点05一次函数反比例函数实际应用、面积、存在性、最值(6大热考题型)解析版_02中考总复习(2026版更新中)_02-数学-中考总复习_2025中考复习资料_2025年中考数学一轮知识梳理
难点05一次函数反比例函数实际应用、面积、存在性、最值(6大热考题型)解析版_02中考总复习(2026版更新中)_02-数学-中考总复习_2025中考复习资料_2025年中考数学一轮知识梳理
难点05一次函数反比例函数实际应用、面积、存在性、最值(6大热考题型)解析版_02中考总复习(2026版更新中)_02-数学-中考总复习_2025中考复习资料_2025年中考数学一轮知识梳理
难点05一次函数反比例函数实际应用、面积、存在性、最值(6大热考题型)解析版_02中考总复习(2026版更新中)_02-数学-中考总复习_2025中考复习资料_2025年中考数学一轮知识梳理
难点05一次函数反比例函数实际应用、面积、存在性、最值(6大热考题型)解析版_02中考总复习(2026版更新中)_02-数学-中考总复习_2025中考复习资料_2025年中考数学一轮知识梳理
难点05一次函数反比例函数实际应用、面积、存在性、最值(6大热考题型)解析版_02中考总复习(2026版更新中)_02-数学-中考总复习_2025中考复习资料_2025年中考数学一轮知识梳理
难点05一次函数反比例函数实际应用、面积、存在性、最值(6大热考题型)解析版_02中考总复习(2026版更新中)_02-数学-中考总复习_2025中考复习资料_2025年中考数学一轮知识梳理
难点05一次函数反比例函数实际应用、面积、存在性、最值(6大热考题型)解析版_02中考总复习(2026版更新中)_02-数学-中考总复习_2025中考复习资料_2025年中考数学一轮知识梳理
难点05一次函数反比例函数实际应用、面积、存在性、最值(6大热考题型)解析版_02中考总复习(2026版更新中)_02-数学-中考总复习_2025中考复习资料_2025年中考数学一轮知识梳理
难点05一次函数反比例函数实际应用、面积、存在性、最值(6大热考题型)解析版_02中考总复习(2026版更新中)_02-数学-中考总复习_2025中考复习资料_2025年中考数学一轮知识梳理
难点05一次函数反比例函数实际应用、面积、存在性、最值(6大热考题型)解析版_02中考总复习(2026版更新中)_02-数学-中考总复习_2025中考复习资料_2025年中考数学一轮知识梳理
难点05一次函数反比例函数实际应用、面积、存在性、最值(6大热考题型)解析版_02中考总复习(2026版更新中)_02-数学-中考总复习_2025中考复习资料_2025年中考数学一轮知识梳理
难点05一次函数反比例函数实际应用、面积、存在性、最值(6大热考题型)解析版_02中考总复习(2026版更新中)_02-数学-中考总复习_2025中考复习资料_2025年中考数学一轮知识梳理
难点05一次函数反比例函数实际应用、面积、存在性、最值(6大热考题型)解析版_02中考总复习(2026版更新中)_02-数学-中考总复习_2025中考复习资料_2025年中考数学一轮知识梳理
难点05一次函数反比例函数实际应用、面积、存在性、最值(6大热考题型)解析版_02中考总复习(2026版更新中)_02-数学-中考总复习_2025中考复习资料_2025年中考数学一轮知识梳理
难点05一次函数反比例函数实际应用、面积、存在性、最值(6大热考题型)解析版_02中考总复习(2026版更新中)_02-数学-中考总复习_2025中考复习资料_2025年中考数学一轮知识梳理
难点05一次函数反比例函数实际应用、面积、存在性、最值(6大热考题型)解析版_02中考总复习(2026版更新中)_02-数学-中考总复习_2025中考复习资料_2025年中考数学一轮知识梳理
难点05一次函数反比例函数实际应用、面积、存在性、最值(6大热考题型)解析版_02中考总复习(2026版更新中)_02-数学-中考总复习_2025中考复习资料_2025年中考数学一轮知识梳理
难点05一次函数反比例函数实际应用、面积、存在性、最值(6大热考题型)解析版_02中考总复习(2026版更新中)_02-数学-中考总复习_2025中考复习资料_2025年中考数学一轮知识梳理
难点05一次函数反比例函数实际应用、面积、存在性、最值(6大热考题型)解析版_02中考总复习(2026版更新中)_02-数学-中考总复习_2025中考复习资料_2025年中考数学一轮知识梳理
难点05一次函数反比例函数实际应用、面积、存在性、最值(6大热考题型)解析版_02中考总复习(2026版更新中)_02-数学-中考总复习_2025中考复习资料_2025年中考数学一轮知识梳理
难点05一次函数反比例函数实际应用、面积、存在性、最值(6大热考题型)解析版_02中考总复习(2026版更新中)_02-数学-中考总复习_2025中考复习资料_2025年中考数学一轮知识梳理
难点05一次函数反比例函数实际应用、面积、存在性、最值(6大热考题型)解析版_02中考总复习(2026版更新中)_02-数学-中考总复习_2025中考复习资料_2025年中考数学一轮知识梳理
难点05一次函数反比例函数实际应用、面积、存在性、最值(6大热考题型)解析版_02中考总复习(2026版更新中)_02-数学-中考总复习_2025中考复习资料_2025年中考数学一轮知识梳理
难点05一次函数反比例函数实际应用、面积、存在性、最值(6大热考题型)解析版_02中考总复习(2026版更新中)_02-数学-中考总复习_2025中考复习资料_2025年中考数学一轮知识梳理
难点05一次函数反比例函数实际应用、面积、存在性、最值(6大热考题型)解析版_02中考总复习(2026版更新中)_02-数学-中考总复习_2025中考复习资料_2025年中考数学一轮知识梳理
难点05一次函数反比例函数实际应用、面积、存在性、最值(6大热考题型)解析版_02中考总复习(2026版更新中)_02-数学-中考总复习_2025中考复习资料_2025年中考数学一轮知识梳理
难点05一次函数反比例函数实际应用、面积、存在性、最值(6大热考题型)解析版_02中考总复习(2026版更新中)_02-数学-中考总复习_2025中考复习资料_2025年中考数学一轮知识梳理
难点05一次函数反比例函数实际应用、面积、存在性、最值(6大热考题型)解析版_02中考总复习(2026版更新中)_02-数学-中考总复习_2025中考复习资料_2025年中考数学一轮知识梳理
难点05一次函数反比例函数实际应用、面积、存在性、最值(6大热考题型)解析版_02中考总复习(2026版更新中)_02-数学-中考总复习_2025中考复习资料_2025年中考数学一轮知识梳理
难点05一次函数反比例函数实际应用、面积、存在性、最值(6大热考题型)解析版_02中考总复习(2026版更新中)_02-数学-中考总复习_2025中考复习资料_2025年中考数学一轮知识梳理
难点05一次函数反比例函数实际应用、面积、存在性、最值(6大热考题型)解析版_02中考总复习(2026版更新中)_02-数学-中考总复习_2025中考复习资料_2025年中考数学一轮知识梳理
难点05一次函数反比例函数实际应用、面积、存在性、最值(6大热考题型)解析版_02中考总复习(2026版更新中)_02-数学-中考总复习_2025中考复习资料_2025年中考数学一轮知识梳理
难点05一次函数反比例函数实际应用、面积、存在性、最值(6大热考题型)解析版_02中考总复习(2026版更新中)_02-数学-中考总复习_2025中考复习资料_2025年中考数学一轮知识梳理
难点05一次函数反比例函数实际应用、面积、存在性、最值(6大热考题型)解析版_02中考总复习(2026版更新中)_02-数学-中考总复习_2025中考复习资料_2025年中考数学一轮知识梳理
难点05一次函数反比例函数实际应用、面积、存在性、最值(6大热考题型)解析版_02中考总复习(2026版更新中)_02-数学-中考总复习_2025中考复习资料_2025年中考数学一轮知识梳理
难点05一次函数反比例函数实际应用、面积、存在性、最值(6大热考题型)解析版_02中考总复习(2026版更新中)_02-数学-中考总复习_2025中考复习资料_2025年中考数学一轮知识梳理
难点05一次函数反比例函数实际应用、面积、存在性、最值(6大热考题型)解析版_02中考总复习(2026版更新中)_02-数学-中考总复习_2025中考复习资料_2025年中考数学一轮知识梳理
难点05一次函数反比例函数实际应用、面积、存在性、最值(6大热考题型)解析版_02中考总复习(2026版更新中)_02-数学-中考总复习_2025中考复习资料_2025年中考数学一轮知识梳理
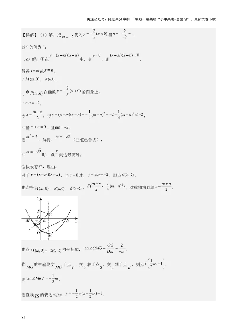
难点05一次函数反比例函数实际应用、面积、存在性、最值(6大热考题型)解析版_02中考总复习(2026版更新中)_02-数学-中考总复习_2025中考复习资料_2025年中考数学一轮知识梳理
难点05一次函数反比例函数实际应用、面积、存在性、最值(6大热考题型)解析版_02中考总复习(2026版更新中)_02-数学-中考总复习_2025中考复习资料_2025年中考数学一轮知识梳理
难点05一次函数反比例函数实际应用、面积、存在性、最值(6大热考题型)解析版_02中考总复习(2026版更新中)_02-数学-中考总复习_2025中考复习资料_2025年中考数学一轮知识梳理
难点05一次函数反比例函数实际应用、面积、存在性、最值(6大热考题型)解析版_02中考总复习(2026版更新中)_02-数学-中考总复习_2025中考复习资料_2025年中考数学一轮知识梳理
难点05一次函数反比例函数实际应用、面积、存在性、最值(6大热考题型)解析版_02中考总复习(2026版更新中)_02-数学-中考总复习_2025中考复习资料_2025年中考数学一轮知识梳理
难点05一次函数反比例函数实际应用、面积、存在性、最值(6大热考题型)解析版_02中考总复习(2026版更新中)_02-数学-中考总复习_2025中考复习资料_2025年中考数学一轮知识梳理
难点05一次函数反比例函数实际应用、面积、存在性、最值(6大热考题型)解析版_02中考总复习(2026版更新中)_02-数学-中考总复习_2025中考复习资料_2025年中考数学一轮知识梳理
难点05一次函数反比例函数实际应用、面积、存在性、最值(6大热考题型)解析版_02中考总复习(2026版更新中)_02-数学-中考总复习_2025中考复习资料_2025年中考数学一轮知识梳理
难点05一次函数反比例函数实际应用、面积、存在性、最值(6大热考题型)解析版_02中考总复习(2026版更新中)_02-数学-中考总复习_2025中考复习资料_2025年中考数学一轮知识梳理
难点05一次函数反比例函数实际应用、面积、存在性、最值(6大热考题型)解析版_02中考总复习(2026版更新中)_02-数学-中考总复习_2025中考复习资料_2025年中考数学一轮知识梳理
难点05一次函数反比例函数实际应用、面积、存在性、最值(6大热考题型)解析版_02中考总复习(2026版更新中)_02-数学-中考总复习_2025中考复习资料_2025年中考数学一轮知识梳理
难点05一次函数反比例函数实际应用、面积、存在性、最值(6大热考题型)解析版_02中考总复习(2026版更新中)_02-数学-中考总复习_2025中考复习资料_2025年中考数学一轮知识梳理

文档信息

文档格式
docx
文档大小
5.820 MB
文档页数
103 页
上传时间
2026-04-07 16:32:42

文档内容

关注公众号:陆陆高分冲刺 ~领取:最新版“小中高考-总复习”、最新试卷下载 难点 05 一次函数反比例函数实际应用、面积、存在性、最值 (6 大热考题型) 题型一:方案选择问题 题型二:费用最少、利润最大问题 题型三:反比例函数面积问题 题型四:特殊三角形存在性问题 题型五:特殊四边形存在性问题 题型六:最值问题 题型一:方案选择问题 求最值的本质为求最优方案,解法有两种: ①可将所有求得的方案的值计算出来,再进行比较; ②直接利用所求值与其变量之间满足的一次函数关系式求解,由一次函数的增减性可直接确定最优方案及 最值;若为分段函数,则应分类讨论,先计算出每个分段函数的取值,再进行比较. 【提示】一次函数本身并没有最值,但在实际问题中,自变量的取值往往有一定的限制,其图象为射线或 线段.涉及最值问题的一般思路:确定函数表达式→确定函数增减性→根据自变量的取值范围确定最值. 【中考母题学方法】 【典例1】(电话计费)(2023·四川·中考真题)某移动公司推出A,B两种电话计费方式. 计费方式 月使用费/元 主叫限定时间/min 主叫超时费/(元/min) 被叫 A 免费 B 108 免费 (1)设一个月内用移动电话主叫时间为tmin,根据上表,分别写出在不同时间范围内,方式A,方式B的计 费金额关于t的函数解析式; (2)若你预计每月主叫时间为350min,你将选择A,B哪种计费方式,并说明理由; (3)请你根据月主叫时间t的不同范围,直接写出最省钱的计费方式. 【答案】(1)见解析; (2)选方式B计费,理由见解析; (3)见解析. 1关注公众号:陆陆高分冲刺 ~领取:最新版“小中高考-总复习”、最新试卷下载 【分析】(1)根据题意,设两种计费金额分别为 、 ,分别计算 三个不同 范围内的A、B两种方式的计费金额即可; (2)令 ,根据(1)中范围求出对应两种计费金额,选择费用低的方案即可; (3)令 ,求出此时 的值 ,当主叫时间 时,方式A省钱;当主叫时间 时,方式A和B 一样;当主叫时间 时,方式B省钱; 【详解】(1)解:根据题意,设两种计费金额分别为 、 当 时,方式A的计费金额为 元,方式B的计费金额为108元; 方式A的计费金额 ,方式B的计费金额为108元; 当 时,方式A的计费金额为 ,方式B的计费金额为 总结如下表: 主叫时间 /分钟 方式A计费( ) 方式B计费( ) 78 108 108 (2)解:当 时, ,故选方式B计费. (3)解:令 ,有 解得 ∴当 时,方式A更省钱; 当 时,方式A和B金额一样; 当 时,方式B更省钱. 【点睛】本题考查了一次函数在电话计费中的应用,根据题意分段讨论是求解的关键. 【变式1-1】(租车问题)(2023·内蒙古呼和浩特·中考真题)学校通过劳动教育促进学生树德、增智、强 2关注公众号:陆陆高分冲刺 ~领取:最新版“小中高考-总复习”、最新试卷下载 体、育美全面发展,计划组织八年级学生到“开心”农场开展劳动实践活动.到达农场后分组进行劳动, 若每位老师带38名学生,则还剩6名学生没老师带;若每位老师带40名学生,则有一位老师少带6名学 生.劳动实践结束后,学校在租车总费用2300元的限额内,租用汽车送师生返校,每辆车上至少要有1名 老师.现有甲、乙两种大型客车,它们的载客量和租金如下表所示 甲型客车 乙型客车 载客量/(人/辆) 45 30 租金/(元/辆) 400 280 (1)参加本次实践活动的老师和学生各有多少名? (2)租车返校时,既要保证所有师生都有车坐,又要保证每辆车上至少有1名老师,则共需租车________辆; (3)学校共有几种租车方案?最少租车费用是多少? 【答案】(1)参加本次实践活动的老师有6名,学生有234名 (2)6 (3)学校共有两套租车方案,最少租车费用是2160元 【分析】(1)设参加本次实践活动的老师有x名,根据“若每位老师带38名学生,则还剩6名学生没老 师带;若每位老师带40名学生,则有一位老师少带6名学生”列出方程求解即可; (2)根据每辆车上至少有1名老师,参加本次实践活动的老师有6名,得出汽车总数不超过6辆,根据要 保证所有师生都有车坐,得出汽车总数不少于 辆,即可解答; (3)设租用甲客车a辆,则租用乙客车 辆,列出不等式组,解得 ,设租车费用为y元, 得出 ,根据一次函数增减性得出y随a的增大而增大,即可解答. 【详解】(1)解:设参加本次实践活动的老师有x名, , 解得: , ∴ , 答:参加本次实践活动的老师有6名,学生有234名; (2)解:∵每辆车上至少有1名老师,参加本次实践活动的老师有6名, ∴汽车总数不超过6辆, ∵要保证所有师生都有车坐, 3关注公众号:陆陆高分冲刺 ~领取:最新版“小中高考-总复习”、最新试卷下载 ∴汽车总数不少于 (辆),则汽车总数最少为6辆, ∴共需租车6辆, 故答案为:6. (3)解:设租用甲客车a辆,则租用乙客车 辆, , 解得: , ∵a为整数, ∴ 或 , 方案一:租用甲客车4辆,则租用乙客车2辆; 方案二:租用甲客车5辆,则租用乙客车1辆; 设租车费用为y元, , ∵ , ∴y随a的增大而增大, ∴当 时,y最小, , 综上:学校共有两套租车方案,最少租车费用是2160元. 【点睛】本题主要考查了一元一次方程的实际应用,一元一次不等式组的实际应用,一次函数的实际应用, 解题的关键是正确理解题意,根据题意找出数量关系,列出方程、不等式组、一次函数表达式. 【变式1-2】(购买方案)(2024·河南周口·三模)某家用电器厂生产一种电饭煲和一种电热水壶,电饭煲 每个定价200元,电热水壶每个定价60元.厂方在开展促销活动期间,向客户提供以下两种优惠方案: 方案一:每买一个电饭煲就赠送一个电热水壶; 方案二:电饭煲和电热水壶都按定价的 付款. 某厨具店计划购进80个电饭煲和x个电热水壶 .设选择方案一需付款 元,选择方案二需付款 元. (1)分别写出 , 关于x的函数表达式. 4关注公众号:陆陆高分冲刺 ~领取:最新版“小中高考-总复习”、最新试卷下载 (2)当 时. ①请通过计算说明该厨具店选择上面哪种方案更省钱. ②若两种优惠方案可以同时使用(使用方案一优惠过的商品不能再使用方案二优惠,使用方案二优惠过的 商品不能再使用方案一优惠),请你设计出更省钱的购买方案,并计算出该方案所需费用. 【答案】(1) , (2)①该厨具店选择方案二更省钱;②先按方案一购买80个电饭煲,再按方案二购买120个电热水壶.该 方案所需费用为21760元 【分析】本题考查了用代数式表示和一次函数的实际应用,解题的关键是正确理解题意,根据题意正确列 出函数表达式. (1)根据题目所给的两个方案,分别列出代数表达式即可; (2)①将 分别代入(1)中得出的两个函数表达式,即可解答;②先按方案一购买80个电饭煲, 再按方案二购买120个电热水壶最省钱,计算即可. 【详解】(1)解:根据题意可得: , . (2)解:①当 时, , . ∵ , ∴该厨具店选择方案二更省钱. ②更省钱的购买方案: 先按方案一购买80个电饭煲,再按方案二购买120个电热水壶. 该方案所需费用为 (元). 【中考模拟即学即练】 1.(2024·河南周口·三模)春和 景明,草长莺飞的四月和五月,全家最适合周末去附近的公园里踏青或 爬山,并且进行野餐,某便民商店计划在春天踏春之际购进 , 两种不同型号的野餐垫共 个,已知 购进 型号的野餐垫 个和 型号的野餐垫 个需要 元,购进 型号的野餐垫 个和 型号的野餐垫 个需要 元. (1)求该商店购进每个 型号和 型号的野餐垫的价格; 5关注公众号:陆陆高分冲刺 ~领取:最新版“小中高考-总复习”、最新试卷下载 (2)该商店在调查后根据实际需求,现在决定购进 型号的野餐垫不超过 型号野餐垫数量的 ,为使购进 野餐垫的总费用最低,应购进型 号野餐垫和 型号的野餐垫各多少个?购进野餐垫的总费用最低为多少元? 【答案】(1)购进每个 型号野餐垫的价格为 元,购进每个 型号的野餐垫的价格为 元 (2)为使购进野餐垫的总费用最低,应购进 型号的野餐垫 个, 型号的野餐垫个,购进野餐垫的总费用 最低为 元 【分析】本题考查了二元一次方程组、一次函数和不等式的应用,解题的关键是理解题意,正确列出等量 关系式. (1)设购进每个 型号野餐垫的价格为 元,购进每个 型号野餐垫的价格为 元,根据题意列出二元一 次方程组即可求解; (2)设该商店购进 型号野餐垫 个,总费用为 元,则购进 型号野餐垫 个,根据题意得出 , ,再根据一次函数的性质即可求解. 【详解】(1)解:设购进每个 型号野餐垫的价格为 元,购进每个 型号野餐垫的价格为 元, 根据题意可得: , 解得: , 答:购进每个 型号野餐垫的价格为 元,购进每个 型号的野餐垫的价格为 元; (2)设该商店购进 型号野餐垫 个,总费用为 元,则购进 型号野餐垫 个, 由题意可得: , 其中 , 解得: , , 随 的增大而减小, 当 时, 最小,最小值为 元, 答:为使购进野餐垫的总费用最低,应购进 型号的野餐垫 个, 型号的野餐垫 个,购进野餐垫的 6关注公众号:陆陆高分冲刺 ~领取:最新版“小中高考-总复习”、最新试卷下载 总费用最低为 元. 2.(2024·山西忻州·三模)“传承红色基因,赓续红色血脉”.某中学八年级510名师生一起乘坐客车去 参观八路军太行纪念馆,下面是王老师和小强、小国同学有关租车问题的对话. 王老师:“客运公司有A,B两种型号的客车可供租用,A型客车每辆租金1000元,B型客车每辆租金800 元.” 小强:“七年级540人,租用6辆A型客车和4辆B型客车恰好坐满.” 小国:“九年级525人,租用5辆A型客车和5辆B型客车恰好坐满.” 根据以上对话,解答下列问题: (1)分别求每辆A型客车和B型客车坐满后的载客人数; (2)因司机紧缺,客运公司只能给八年级师生安排10辆客车,要使八年级每位师生都有座位,八年级应租 用A,B两种客车各多少辆才能使租金最少? 【答案】(1)每辆A型客车坐满后载客60人,每辆B型客车坐满后载客45人 (2)八年级租用4辆A型客车,6辆B型客车所需的租金最少 【分析】本题考查了二元一次方程组、一元一次不等式组以及一次函数的应用, (1)设每辆A型客车坐满后载客x人,每辆B型客车坐满后载客y人,根据题意列出二元一次方程组,解 方程组即可求解; (2)设租用m辆A型客车, 辆B型客车,所需租金w元,先根据题意列出关于 的一元一次不等 式组,求出 ,再表示出 ,结合一次函数的性质求解即可. 【详解】(1)设每辆A型客车坐满后载客x人,每辆B型客车坐满后载客y人. 根据题意得 , 解得 . 答:每辆A型客车坐满后载客60人,每辆B型客车坐满后载客45人. 7关注公众号:陆陆高分冲刺 ~领取:最新版“小中高考-总复习”、最新试卷下载 (2)设租用m辆A型客车, 辆B型客车,所需租金w元. 根据题意得 , 解得 , . ∵ , ∴w随m的增大而增大, ∴当 时,w取最小值, ∴ . 答:八年级租用4辆A型客车,6辆B型客车所需的租金最少. 3.(2024·山东青岛·模拟预测)自 2022年新课程标准颁布以来,某校高度重视新课标的学习和落实,开 展了信息技术与教学深度融合的“精准化教学”.该校计划购买 A,B两种型号的教学设备,已知A型设 备价格比 B型设备价格每台高 ,用20000元购买B型设备的数量比用33000元购买A型设备的数量少 5 台. (1)求 A,B型设备每台的价格分别是多少元. (2)该校计划购买两种设备共60台,要求A型设备的数量不少于B型设备数量的 .设购买a台A型设备, 购买总费用为 元,求 关于a的函数表达式,并设计出购买总费用最低的购买方案. 【答案】(1) , 型设备单价分别是2200,2000元 (2) ,当购买12台 型设备,则购买 型设备48台时,购买费用最低 【分析】本题考查了分式方程的应用,一元一次不等式的应用,一次函数的应用,理解题意列出关系式是 解题的关键. (1)设 型设备的单价为 元,则 型设备的单价为 元,根据题意建立分式方程,解方程即可 求解; (2)设购买 台 型设备,购买 型设备 台,根据题意建立一元一次不等式,求得最小整数解; 根据单价乘以数量即可求的 与 的函数关系式,根据一次函数的性质即可求得最少购买费用. 8关注公众号:陆陆高分冲刺 ~领取:最新版“小中高考-总复习”、最新试卷下载 【详解】(1)解:设 型设备的单价为 元,则 型设备的单价为 元, 根据题意得: , 解得 ,经检验 是原方程的解, ∴ 型设备的单价为 元; 答: , 型设备单价分别是2200,2000元; (2) 设购买 台 型设备, 购买 型设备 台,依题意, .解得 , 的最小整数解为12, 购买总费用为 元, , , , 随 的增大而增大, 时, 取得最小值,此时 . 答:当购买12台 型设备,则购买 型设备48台时,购买费用最低. 4.(2024·湖南长沙·模拟预测)为响应国家关于推动各级各类生产设备、服务设备更新和技术改造的号召, 某公司计划将办公电脑全部更新为国产某品牌,市场调研发现, 品牌的电脑单价比 品牌电脑的单价少 1000元,通过预算得知,用 万元购买 品牌电脑比购买 品牌电脑多10台. (1)试求 , 两种品牌电脑的单价分别是多少元; (2)该公司计划购买 , 两种品牌的电脑一共40台,且购买 品牌电脑的数量不少于 品牌电脑的 ,试 求出该公司费用最少的购买方案. 【答案】(1) 品牌电脑的单价是 元, 品牌电脑的单价是 元; (2)该公司费用最少的购买方案为购买 台 电脑,购买 台 电脑,最少需要 元. 【分析】本题考查了分式方程的应用、一元一次不等式的应用以及一次函数的应用,解题的关键是: (1)找准等量关系,正确列出分式方程;( )根据各数量之间的关系,找出 关于 的函数关系式. (1)设 品牌电脑的单价是 万元,则 品牌电脑的单价是 万元,利用数量 总价 单价,结合 “用 万元购买 品牌电脑比购买 品牌电脑多10台”,可列出关于 的分式方程,解之检验后,可得出 9关注公众号:陆陆高分冲刺 ~领取:最新版“小中高考-总复习”、最新试卷下载 品牌电脑的单价,再将其代入即可求出 品牌电脑的单价; (2)设购买 台 品牌电脑,则购买 台 品牌电脑,根据买 品牌电脑的数量不少于 品牌电脑 的 ,可列出关于 的一元一次不等式,解之可得出 的取值范围,设学校购买这些电脑需要 元,利用 总价 单价 数量,可找出 关于 的函数关系式,再利用一次函数的性质,即可解决最值问题. 【详解】(1)解:设 品牌电脑的单价是 万元,则 品牌电脑的单价是 万元,根据题意得: , 化简得 解得: , (舍去), 经检验, 是所列方程的解,且符合题意, ∴ 品牌电脑的单价是 万元 元,则 品牌电脑的单价是 万元即 元. 答: 品牌电脑的单价是 元, 品牌电脑的单价是 元; (2)解:设购买 台 品牌电脑,则购买 台 品牌电脑, 根据题意得: , 解得: . 设学校购买这些电脑需要 元,则 , 即 , , 随 的增大而减小, 当 时, 取得最小值,最小值为 (元).此时 , ∴该公司费用最少的购买方案为购买 台 电脑,购买 台 电脑,最少需要 元. 题型二:费用最少、利润最大问题 【中考母题学方法】 【典例2】(一次函数与二元一次方程组结合)(2024·内蒙古呼伦贝尔·中考真题)某超市从某水果种植基 10关注公众号:陆陆高分冲刺 ~领取:最新版“小中高考-总复习”、最新试卷下载 地购进甲、乙两种优质水果,经调查,这两种水果的进价和售价如表所示: 水果种类 进价(元/千克) 售价(元/千克) 甲 22 乙 25 该超市购进甲种水果18千克和乙种水果6千克需366元:购进甲种水果30千克和乙种水果15千克需705 元. (1)求 的值; (2)该超市决定每天购进甲、乙两种水果共150千克进行销售,其中甲种水果的数量不少于50千克,且不大 于120千克.实际销售时,若甲种水果超过80千克,则超过部分按每千克降价5元销售.求超市当天销售 完这两种水果获得的利润 (元)与购进甲种水果的数量 (千克)之间的函数关系式(写出自变量 的 取值范围),并求出在获得最大利润时,超市的进货方案以及最大利润. 【答案】(1) , (2) ,购进甲种水果80千克,乙种水果70千克,最大利润为1060元 【分析】本题考查了二元一次方程组的应用,一次函数的应用,解题的关键是∶ (1)根据“购进甲种水果18千克和乙种水果6千克需366元:购进甲种水果30千克和乙种水果15千克 需705元”列方程求解即可; (2)分 , 两种情况讨论,根据总利润等于甲的利润与乙的利润列出函数关系式, 然后利用一次函数的性质求解即可. 【详解】(1)解:根据题意,得 , 解得 ; (2)解:当 时, 根据题意,得 , ∵ , ∴ 随 的增大而增大, 11关注公众号:陆陆高分冲刺 ~领取:最新版“小中高考-总复习”、最新试卷下载 ∴当 时, 有最大值,最大值为 , 即购进甲种水果80千克,乙种水果70千克,最大利润为1060元; 当 时, 根据题意,得 , ∵ , ∴ 随 的增大而减小, ∴ 时, 有最大值,最大值为 , 即购进甲种水果80千克,乙种水果70千克,最大利润为1060元; 综上, ,购进甲种水果80千克,乙种水果70千克,最大利润为1060元. 【变式2-1】(一次函数与二元一次方程组、不等式综合)(2024·四川达州·中考真题)为拓宽销售渠道, 助力乡村振兴,某乡镇帮助农户将 、 两个品种的柑橘加工包装成礼盒再出售.已知每件 品种柑橘礼 盒比 品种柑橘礼盒的售价少 元.且出售 件 品种柑橘礼盒和 件 品种柑橘礼盒的总价共 元. (1)求 、 两种柑橘礼盒每件的售价分别为多少元? (2)已知加工 、 两种柑橘礼盒每件的成本分别为50元、 元、该乡镇计划在某农产品展销活动中售出 、 两种柑橘礼盒共1000盒,且 品种柑橘礼盒售出的数量不超过 品种柑橘礼盒数量的 倍.总成 本不超过 元.要使农户收益最大,该乡镇应怎样安排 、 两种柑橘礼盒的销售方案,并求出农户 在这次农产品展销活动中的最大收益为多少元? 【答案】(1) 、 两种柑橘礼盒每件的售价分别为 元 (2)要使农户收益最大,销售方案为售出 种柑橘礼盒 盒,售出 种柑橘礼盒 盒,最大收益为 元 【分析】本题考查了二元一次方程组的应用;一元一次不等式的应用,一次函数的应用; (1)设 、 两种柑橘礼盒每件的售价分别为a元,b元,根据题意列出二元一次方程组,即可求解; (2)设售出 种柑橘礼盒 盒,则售出 种柑橘礼盒 盒,根据题意列出不等式组,得出 ,设收益为 元,根据题意列出函数关系式,进而根据一次函数的性质,即可求解. 【详解】(1)解:设 、 两种柑橘礼盒每件的售价分别为 元,b元,根据题意得, 12关注公众号:陆陆高分冲刺 ~领取:最新版“小中高考-总复习”、最新试卷下载 解得: 答: 、 两种柑橘礼盒每件的售价分别为 元; (2)解:设售出 种柑橘礼盒 盒,则售出 种柑橘礼盒 盒,根据题意得, 解得: 设收益为 元,根据题意得, ∵ ∴ 随 的增大而减小, ∴当 时, 取得最大值,最大值为 (元) ∴售出 种柑橘礼盒 (盒) 答:要使农户收益最大,销售方案为售出 种柑橘礼盒 盒,售出 种柑橘礼盒 盒,最大收益为 元. 【变式2-2】(一次函数与分式方程结合)(2024·四川眉山·中考真题)眉山是“三苏”故里,文化底蕴深 厚.近年来眉山市旅游产业蓬勃发展,促进了文创产品的销售,某商店用 元购进的 款文创产品和用 元购进的 款文创产品数量相同.每件 款文创产品进价比 款文创产品进价多 元. (1)求 , 两款文创产品每件的进价各是多少元? (2)已知 , 文创产品每件售价为 元, 款文创产品每件售价为 元,根据市场需求,商店计划再用 不超过 元的总费用购进这两款文创产品共 件进行销售,问:怎样进货才能使销售完后获得的利润 最大,最大利润是多少元? 【答案】(1) 款文创产品每件的进价 元, 文创产品每件的进价是 元; (2)购进 款文创产品 件,购进 款文创产品 件,才能使销售完后获得的利润最大,最大利润是 元. 【分析】( )设 款文创产品每件的进价 元,则 文创产品每件的进价是 元,根据题意,列出 分式方程即可求解; ( )设购进 款文创产品 件,则购进 款文创产品 件,总利润为 ,利用一次一次不等式求 13关注公众号:陆陆高分冲刺 ~领取:最新版“小中高考-总复习”、最新试卷下载 出 的取值范围,再根据题意求出 与 的一次函数,根据一次函数的性质解答即可求解; 本题考查了分式方程的应用,一次函数的应用,根据题意,列出分式方程和一次函数解析式是解题的关键. 【详解】(1)解:设 款文创产品每件的进价 元,则 文创产品每件的进价是 元, 根据题意得, , 解得 , 经检验, 是原分式方程的解, ∴ 答: 款文创产品每件的进价 元,则 文创产品每件的进价是 元; (2)解:设购进 款文创产品 件,则购进 款文创产品 件,总利润为 , 根据题意得, , 解得 , 又由题意得, , , 随 的增大而增大, 当 时,利润最大, ∴购进 款文创产品 件,购进 款文创产品 件,获得的利润最大, , 答:购进 款文创产品 件,购进 款文创产品 件,才能使销售完后获得的利润最大,最大利润是 元. 【变式2-3】(一次函数与分式方程、不等式结合)(2024·内蒙古赤峰·中考真题)一段高速公路需要修复, 现有甲、乙两个工程队参与施工,已知乙队平均每天修复公路比甲队平均每天修复公路多3千米,且甲队 单独修复60千米公路所需要的时间与乙队单独修复90千米公路所需要的时间相等. (1)求甲、乙两队平均每天修复公路分别是多少千米; (2)为了保证交通安全,两队不能同时施工,要求甲队的工作时间不少于乙队工作时间的2倍,那么15天的 工期,两队最多能修复公路多少千米? 【答案】(1)甲队平均每天修复公路6千米,则乙队平均每天修复公路9千米; (2)15天的工期,两队最多能修复公路 千米. 【分析】本题考查了分式方程的应用,一元一次不等式的应用,一次函数的应用. 14关注公众号:陆陆高分冲刺 ~领取:最新版“小中高考-总复习”、最新试卷下载 (1)设甲队平均每天修复公路 千米,则乙队平均每天修复公路 千米,根据“甲队单独修复60千 米公路所需要的时间与乙队单独修复90千米公路所需要的时间相等”列分式方程求解即可; (2)设甲队的工作时间为 天,则乙队的工作时间为 天,15天的工期,两队能修复公路 千米, 求得 关于 的一次函数,再利用“甲队的工作时间不少于乙队工作时间的2倍”求得 的范围,利用一 次函数的性质求解即可. 【详解】(1)解:设甲队平均每天修复公路 千米,则乙队平均每天修复公路 千米, 由题意得 , 解得 , 经检验, 是原方程的解,且符合题意, , 答:甲队平均每天修复公路6千米,则乙队平均每天修复公路9千米; (2)解:设甲队的工作时间为 天,则乙队的工作时间为 天,15天的工期,两队能修复公路 千 米, 由题意得 , , 解得 , ∵ , ∴ 随 的增加而减少, ∴当 时, 有最大值,最大值为 , 答:15天的工期,两队最多能修复公路 千米. 【中考模拟即学即练】 1.(2024·四川德阳·中考真题)罗江糯米咸鹅蛋是德阳市非物质文化遗产之一,至今有200多年历史,采 用罗江当地林下养殖的鹅产的散养鹅蛋,经过传统秘方加以糯米、青豆等食材以16道工序手工制作而成. 为了迎接端午节,进一步提升糯米咸鹅蛋的销量,德阳某超市将购进的糯米咸鹅蛋和肉粽进行组合销售, 有A、B两种组合方式,其中A组合有4枚糯米咸鹅蛋和6个肉粽,B组合有6枚糯米咸鹅蛋和10个肉粽. 15关注公众号:陆陆高分冲刺 ~领取:最新版“小中高考-总复习”、最新试卷下载 A、B两种组合的进价和售价如下表: 价格 A B 进价(元/件) 94 146 售价(元/件) 120 188 (1)求每枚糯米咸鹅蛋和每个肉粽的进价分别为多少? (2)根据市场需求,超市准备的B种组合数量是A种组合数量的3倍少5件,且两种组合的总件数不超过95 件,假设准备的两种组合全部售出,为使利润最大,该超市应准备多少件A种组合?最大利润为多少? 【答案】(1)16元, 6元 (2)25件, 3590元 【分析】本题考查二元一次方程组的应用、不等式的应用和一次函数的性质,根据题意列出式子是本题的 关键. (1)根据表格与“A组合有4枚糯米咸鹅蛋和6个肉粽,B组合有6枚糯米咸鹅蛋和10个肉粽”即可列方 程求解; (2)设A种组合的数量,表示出B种组合数量,根据“两种组合的总件数不超过95件”列不等式求出A 种组合的数量的最大值,再根据题意表示出利润的表达式,根据一次函数的性质即可求得结果. 【详解】(1)解:设每枚糯米咸鹅蛋的进价 元,每个肉粽的进价 元. 根据题意可得: , 解得: , 答:每枚糯米咸鹅蛋的进价16元,每个肉粽的进价6元. (2)解:设该超市应准备 件A种组合,则B种组合数量是 件,利润为W元, 根据题意得: , 解得: , 则利润 , 16关注公众号:陆陆高分冲刺 ~领取:最新版“小中高考-总复习”、最新试卷下载 可以看出利润 是 的一次函数, 随着 的增大而增大, ∴当 最大时, 最大, 即当 时, , 答:为使利润最大,该超市应准备25件A种组合,最大利润3590元. 2.(2024·四川广安·中考真题)某小区物管中心计划采购 , 两种花卉用于美化环境.已知购买2株 种花卉和3株 种花卉共需要21元;购买4株 种花卉和5株 种花卉共需要37元. (1)求 , 两种花卉的单价. (2)该物管中心计划采购 , 两种花卉共计10000株,其中采购 种花卉的株数不超过 种花卉株数的4 倍,当 , 两种花卉分别采购多少株时,总费用最少?并求出最少总费用. 【答案】(1) 种花卉的单价为3元/株, 种花卉的单价为5元/株 (2)当购进 种花卉8000株, 种花卉2000株时,总费用最少,最少费用为34000元 【分析】本题考查了二元一次方程组的应用,一元一次不等式的应用,一次函数的应用,根据题意列出方 程组,不等式以及一次函数关系式是解题的关键. (1)设 种花卉的单价为 元/株, 种花卉的单价为 元/株,根据题意列出二元一次方程组,解方程组 即可求解; (2)设采购 种花卉 株,则 种花卉 株,总费用为 元,根据题意列出不等式,得出 ,进而根据题意,得到 ,根据一次函数的性质即可求解. 【详解】(1)解:设 种花卉的单价为 元/株, 种花卉的单价为 元/株, 由题意得: , 解得: , 答: 种花卉的单价为3元/株, 种花卉的单价为5元/株. (2)解:设采购 种花卉 株,则 种花卉 株,总费用为 元, 由题意得: , , 解得: , 在 中, , 17关注公众号:陆陆高分冲刺 ~领取:最新版“小中高考-总复习”、最新试卷下载 随 的增大而减小, 当 时 的值最小, , 此时 . 答:当购进 种花卉8000株, 种花卉2000株时,总费用最少,最少费用为34000元. 3.(2024·云南·中考真题) 、 两种型号的吉祥物具有吉祥如意、平安幸福的美好寓意,深受大家喜欢. 某超市销售 、 两种型号的吉祥物,有关信息见下表: 成本(单位:元/个) 销售价格(单位:元/个) 型 35 a 号 型号 42 若顾客在该超市购买8个 种型号吉祥物和7个 种型号吉祥物,则一共需要670元;购买4个 种型号 吉祥物和5个 种型号吉祥物,则一共需要410元. (1)求 、 的值; (2)若某公司计划从该超市购买 、 两种型号的吉祥物共90个,且购买 种型号吉祥物的数量 (单位: 个)不少于 种型号吉祥物数量的 ,又不超过 种型号吉祥物数量的2倍.设该超市销售这90个吉祥物 获得的总利润为 元,求 的最大值. 注:该超市销售每个吉祥物获得的利润等于每个吉祥物的销售价格与每个吉祥物的成本的差. 【答案】(1) (2) 【分析】本题考查了一次函数、一元一次不等式、二元一次方程组的应用,根据题意正确列出方程和函数 解析式是解题的关键. (1)根据“购买8个 种型号吉祥物和7个 种型号吉祥物,则一共需要670元;购买4个 种型号吉祥 物和5个 种型号吉祥物,则一共需要410元”建立二元一次方程组求解,即可解题; (2)根据“且购买 种型号吉祥物的数量 (单位:个)不少于 种型号吉祥物数量的 ,又不超过 种 型号吉祥物数量的2倍.”建立不等式求解,得到 ,再根据总利润 种型号吉祥物利润 18关注公众号:陆陆高分冲刺 ~领取:最新版“小中高考-总复习”、最新试卷下载 种型号吉祥物利润建立关系式,最后根据一次函数的性质即可得到 的最大值. 【详解】(1)解:由题知, , 解得 ; (2)解: 购买 种型号吉祥物的数量 个, 则购买 种型号吉祥物的数量 个, 且购买 种型号吉祥物的数量 (单位:个)不少于 种型号吉祥物数量的 , , 解得 , 种型号吉祥物的数量又不超过 种型号吉祥物数量的2倍. , 解得 , 即 , 由题知, , 整理得 , 随 的增大而减小, 当 时, 的最大值为 . 4.(2024·黑龙江绥化·中考真题)为了响应国家提倡的“节能环保”号召,某共享电动车公司准备投入资 金购买 、 两种电动车.若购买 种电动车 辆、 种电动车 辆,需投入资金 万元;若购买 种电动车 辆、 种电动车 辆,需投入资金 万元.已知这两种电动车的单价不变. (1)求 、 两种电动车的单价分别是多少元? (2)为适应共享电动车出行市场需求,该公司计划购买 、 两种电动车 辆,其中 种电动车的数量不 多于 种电动车数量的一半.当购买 种电动车多少辆时,所需的总费用最少,最少费用是多少元? (3)该公司将购买的 、 两种电动车投放到出行市场后,发现消费者支付费用 元与骑行时间 之间 19关注公众号:陆陆高分冲刺 ~领取:最新版“小中高考-总复习”、最新试卷下载 的对应关系如图.其中 种电动车支付费用对应的函数为 ; 种电动车支付费用是 之内,起步价 元,对应的函数为 .请根据函数图象信息解决下列问题. ①小刘每天早上需要骑行 种电动车或 种电动车去公司上班.已知两种电动车的平均行驶速度均为3 (每次骑行均按平均速度行驶,其它因素忽略不计),小刘家到公司的距离为 ,那么小刘 选择______种电动车更省钱(填写 或 ). ②直接写出两种电动车支付费用相差 元时, 的值______. 【答案】(1) 、 两种电动车的单价分别为1000元、 元 (2)当购买 种电动车 辆时所需的总费用最少,最少费用为 元 (3)① ② 或40 【分析】本题考查了二元一次方程组的应用,一元一次不等式的应用,一次函数的应用; (1)设 、 两种电动车的单价分别为 元、 元,根据题意列二元一次方程组,解方程组,即可求解; (2)设购买 种电动车 辆,则购买 种电动车 辆,根据题意得出 的范围,进而根据一次函 数的性质,即可求解; (3)①根据函数图象,即可求解; ②分别求得 的函数解析式,根据 ,解方程,即可求解. 【详解】(1)解:设 、 两种电动车的单价分别为 元、 元 由题意得, 20关注公众号:陆陆高分冲刺 ~领取:最新版“小中高考-总复习”、最新试卷下载 解得 答: 、 两种电动车的单价分别为1000元、 元 (2)设购买 种电动车 辆,则购买 种电动车 辆, 由题意得 解得: 设所需购买总费用为 元,则 , 随着 的增大而减小, 取正整数 时, 最少 (元) 答:当购买 种电动车 辆时所需的总费用最少,最少费用为 元 (3)解:①∵两种电动车的平均行驶速度均为3 ,小刘家到公司的距离为 , ∴所用时间为 分钟, 根据函数图象可得当 时, 更省钱, ∴小刘选择 种电动车更省钱, 故答案为: . ②设 ,将 代入得, 解得: ∴ ; 当 时, , 21关注公众号:陆陆高分冲刺 ~领取:最新版“小中高考-总复习”、最新试卷下载 当 时,设 ,将 , 代入得, 解得: ∴ 依题意,当 时, 即 解得: 当 时, 即 解得: (舍去)或 故答案为: 或40. 5.(2024·黑龙江大兴安岭地·中考真题)为了增强学生的体质,某学校倡导学生在大课间开展踢毽子活动, 需购买甲、乙两种品牌毽子.已知购买甲种品牌毽子10个和乙种品牌毽子5个共需200元;购买甲种品牌 毽子15个和乙种品牌毽子10个共需325元. (1)购买一个甲种品牌毽子和一个乙种品牌毽子各需要多少元? (2)若购买甲乙两种品牌毽子共花费1000元,甲种品牌毽子数量不低于乙种品牌毽子数量的5倍且不超过乙 种品牌毽子数量的16倍,则有几种购买方案? (3)若商家每售出一个甲种品牌毽子利润是5元,每售出一个乙种品牌毽子利润是4元,在(2)的条件下, 学校如何购买毽子商家获得利润最大?最大利润是多少元? 【答案】(1)购买一个甲种品牌毽子需15元,购买一个乙种品牌毽子需10元 (2)共有3种购买方案 (3)学校购买甲种品牌毽子60个,购买乙种品牌毽子10个,商家获得利润最大,最大利润是340元 【分析】本题考查了二元一次方程组、一元一次不等式组以及一次函数的应用, (1)设购买一个甲种品牌毽子需a元,购买一个乙种品牌毽子需b元,根据题意列出二元一次方程组,问 22关注公众号:陆陆高分冲刺 ~领取:最新版“小中高考-总复习”、最新试卷下载 题得解; (2)设购买甲种品牌毽子x个,购买乙种品牌毽子 个,根据题意列出一元一次不等式组,解不 等式组即可求解; (3)设商家获得总利润为y元,即有一次函数 ,根据一次函数的性质即可求解. 【详解】(1)解:设购买一个甲种品牌毽子需a元,购买一个乙种品牌毽子需b元.由题意得: , 解得: , 答:购买一个甲种品牌毽子需15元,购买一个乙种品牌毽子需10元; (2)解:设购买甲种品牌毽子x个,购买乙种品牌毽子 个. 由题意得: , 解得: , 和 均为正整数, ,62,64, ,7,4, 共有3种购买方案. (3)设商家获得总利润为y元, , , 23关注公众号:陆陆高分冲刺 ~领取:最新版“小中高考-总复习”、最新试卷下载 , 随x的增大而减小, 当 时, , 答:学校购买甲种品牌毽子60个,购买乙种品牌毽子10个,商家获得利润最大,最大利润是340元. 6.(2024·四川广元·中考真题)近年来,中国传统服饰备受大家的青睐,走上国际时装周舞台,大放异彩. 某服装店直接从工厂购进长、短两款传统服饰进行销售,进货价和销售价如下表: 价格/类别 短款 长款 进货价(元/件) 80 90 销售价(元/件) 100 120 (1)该服装店第一次用4300元购进长、短两款服装共50件,求两款服装分别购进的件数; (2)第一次购进的两款服装售完后,该服装店计划再次购进长、短两款服装共200件(进货价和销售价都不 变),且第二次进货总价不高于16800元.服装店这次应如何设计进货方案,才能获得最大销售利润,最 大销售利润是多少? 【答案】(1)长款服装购进30件,短款服装购进20件; (2)当购进120件短款服装,80件长款服装时有最大利润,最大利润是4800元. 【分析】本题考查了二元一次方程组的实际应用,一元一次不等式的实际应用,列出正确的等量关系和不 等关系是解题的关键. (1)设购进服装x件,购进长款服装y件,根据“用4300元购进长、短两款服装共50件,”列二元一次 方程组计算求解; (2)设第二次购进m件短款服装,则购进 件长款服装,根据“第二次进货总价不高于16800 元”列不等式计算求解,然后结合一次函数的性质分析求最值. 【详解】(1)解:设购进短款服装x件,购进长款服装y件, 由题意可得 , 解得 , 答:长款服装购进30件,短款服装购进20件. 24关注公众号:陆陆高分冲刺 ~领取:最新版“小中高考-总复习”、最新试卷下载 (2)解:设第二次购进m件短款服装,则购进 件长款服装, 由题意可得 , 解得: , 设利润为w元,则 , ∵ , ∴w随m的增大而减小, ∴当 时, ∴ (元). 答:当购进120件短款服装,80件长款服装时有最大利润,最大利润是4800元. 7.(2024·江苏宿迁·中考真题)某商店购进A、B两种纪念品,已知纪念品A的单价比纪念品B的单价高 10元.用600元购进纪念品A的数量和用400元购进纪念品B的数量相同. (1)求纪念品A、B的单价分别是多少元? (2)商店计划购买纪念品A、B共400件,且纪念品A的数量不少于纪念品B数量的2倍,若总费用不超过 11000元,如何购买这两种纪念品使总费用最少? 【答案】(1)纪念品A、B的单价分别是 元和 元 (2)A种纪念品购进 件,B种纪念品购进 件,两种纪念品使总费用最少 【分析】本题考查了分式方程的应用以及一次函数的应用,解题的关键是正确分析题目中的等量关系. (1)设A种纪念品的单价是x元,则B种纪念品的单价是 元,利用数量 总价 单价,结合“用 600元购进纪念品A的数量和用400元购进纪念品B的数量相同”,可得出关于x的分式方程,解之即可; (2)设购买a件A种纪念品,总费用为 元,利用总价 单价 数量,可得出关于a的一次函数,求出a 的取值范围,根据函数的增减性解题即可. 【详解】(1)解:设A种纪念品的单价为 元,则B种纪念品的单价为 元, , 解得:x=30, 经检验x=30是原方程的解, ∴B种纪念品的单价为 元, 25关注公众号:陆陆高分冲刺 ~领取:最新版“小中高考-总复习”、最新试卷下载 答:纪念品A、B的单价分别是 元和 元. (2)解:设A种纪念品购进 件,总费用为 元, 则 , 又∵ , 解得 , ∵ , ∴y随x的增大而增大, ∴当 时,购买这两种纪念品使总费用最少, 这时A种纪念品购进 件,B种纪念品购进 件,两种纪念品使总费用最少. 8.(2024·江苏南通·中考真题)某快递企业为提高工作效率,拟购买A、B两种型号智能机器人进行快递 分拣. 相关信息如下: 信息一 A型机器人台数 B型机器人台数 总费用(单位:万元) 1 3 260 3 2 360 信息二 (1)求A、B两种型号智能机器人的单价; (2)现该企业准备用不超过700万元购买A、B两种型号智能机器人共10台.则该企业选择哪种购买方案, 能使每天分拣快递的件数最多? 【答案】(1)A型智能机器人的单价为80万元,B型智能机器人的单价为60万元 (2)选择购买A型智能机器人5台,购买B型智能机器人5台 【分析】本题考查了一元一次不等式的应用,二元一次方程组的应用,掌握二元一次方程组,一元一次不 26关注公众号:陆陆高分冲刺 ~领取:最新版“小中高考-总复习”、最新试卷下载 等式的应用是解题的关键. (1)设A型智能机器人的单价为x万元,B型智能机器人的单价为y万元,根据题意列出方程组,计算结 果即可; (2)设购买A型智能机器人a台,则购买B型智能机器人 台,先求出a的取值范围,再得出每天 分拣快递的件数 当a取得最大值时,每天分拣快递的件数最多. 【详解】(1)解:设A型智能机器人的单价为x万元,B型智能机器人的单价为y万元, 解得 , 答:A型智能机器人的单价为80万元,B型智能机器人的单价为60万元; (2)解:设购买A型智能机器人a台,则购买B型智能机器人 台, ∴ , ∴ , ∵每天分拣快递的件数 , ∴当 时,每天分拣快递的件数最多为 万件, ∴选择购买A型智能机器人5台,购买B型智能机器人5台. 题型三:反比例函数面积问题 【类型一:三角形面积与k的关系】 1 1 1 S = |k| S = |k| S = |k| △ABC 2 △ABC 2 △BCD 2 27关注公众号:陆陆高分冲刺 ~领取:最新版“小中高考-总复习”、最新试卷下载 1 S =|k| S =|k| S = |k| △ABC △ABC △DBC 2 S =2|k| S =2|k| S =S △ABC △ABC △BDE △BFE 【类型二:四边形面积与k的关系】 S =|k| S =|k| S =|k| ❑ ❑ ❑ S =2|k| S =2|k| S=|k −k | △ABC △ABC 1 2 S=|k −k | S=|k −k | S=|k −k | 1 2 1 2 1 2 【类型三:重叠部分面积与k的关系】 28关注公众号:陆陆高分冲刺 ~领取:最新版“小中高考-总复习”、最新试卷下载 S =S S =S S =S △ABC 四BEDC △ABF 四EFCD 四BCHG 四HDEF 【类型四:反比例函数与图形中点与k的关系】 D为AB中点, 点E为平行四边形ADBC的对 点E为矩形ADBC的对角线的 3 角线的交点 交点 S = |k| △ABC 2 S =3|k| S =2|k| ▱ACBD 矩 3 S =S = |k| △ACD △BCD 4 【类型五:反比例函数中的特殊线段的关系】 BC⊥x轴,BA⊥y轴 AC=BD DE∥BC DF=EG,DE∥AC 【中考母题学方法】 【典例3】(2024·江苏宿迁·中考真题)如图,点A在双曲线 上,连接AO并延长,交双曲线 于点B,点C为x轴上一点,且 ,连接 ,若 的面积是6,则k的值为 ( ) 29关注公众号:陆陆高分冲刺 ~领取:最新版“小中高考-总复习”、最新试卷下载 A.2 B.3 C.4 D.5 【答案】C 【分析】本题考查了反比例函数的 的几何意义,掌握反比例函数的 几何意义是解题的关键. 过点A作 轴,过点B作 轴,根据相似三角形的判定和性质得出 ,确定 , 然后结合图形及面积求解即可. 【详解】解:过点A作 轴,过点B作 轴,如图所示: ∴ , ∴ , ∵点A在双曲线 上,点B在 , ∴ ∴ , ∴ , ∴ , ∴ , ∵ , 轴, ∴ , 30关注公众号:陆陆高分冲刺 ~领取:最新版“小中高考-总复习”、最新试卷下载 ∵ , ∴ , ∴ ∴ ∴ , 故选:C. 【变式3-1】(2024·广西贺州·三模)如图,在直角坐标系中, 与x轴相切于点B, 为 的直径, 点C在函数 的图象上,D为y轴上一点,则 的面积为 . 【答案】1 【分析】本题考查了反比例函数系数k的几何意义,切线的性质;根据反比例函数系数k的几何意义可得 ,由切线的性质可得 轴,再根据三角形的面积公式列式求解即可. 【详解】解:∵点C在函数 的图象上, ∴ , ∵CB为 的直径, ∴ , ∵ 与 轴相切于点 , ∴ 轴, ∴ 轴, ∴ , 故答案为:1. 31关注公众号:陆陆高分冲刺 ~领取:最新版“小中高考-总复习”、最新试卷下载 【变式3-2】(2024·山东滨州·模拟预测)如图,垂直于x轴的直线l分别交反比例函数 的图象、 的图象于点A、B,若 的面积为5,则 . 【答案】10 【分析】本题考查反比例函数 值的几何意义,根据题意可得: ,结合 的面积 ,即可得出结果. 【详解】解:由题意,得: , ∵ 的面积 , ∴ ; 故答案为:10. 【变式3-3】(2024·黑龙江齐齐哈尔·中考真题)如图,反比例函数 的图象经过平行四边形 的顶点 , 在 轴上,若点 , ,则实数 的值为 . 【答案】 【分析】本题考查了反比例函数,根据 的纵坐标相同以及点 在反比例函数上得到 的坐标,进而用 32关注公众号:陆陆高分冲刺 ~领取:最新版“小中高考-总复习”、最新试卷下载 代数式表达AB的长度,然后根据 列出一元一次方程求解即可. 【详解】 是平行四边形 纵坐标相同 的纵坐标是 在反比例函数图象上 将 代入函数中,得到 的纵坐标为 即: 解得: 故答案为: . 【变式3-4】(2024·内蒙古呼伦贝尔·中考真题)如图,在平面直角坐标系中,点 , 的坐标分别为 , ,过点 作 轴交 轴于点 ,点 为线段 上的一点,且 .反比例函数 的图象经过点 交线段 于点 ,则四边形 的面积是 . 33关注公众号:陆陆高分冲刺 ~领取:最新版“小中高考-总复习”、最新试卷下载 【答案】 【分析】本题主要考查了反比例函数的图象与性质,反比例函数图象上点的坐标特征,反比例函数 的几 何意义,作 轴于 ,作 轴于 ,则 ,由点 , 的坐标分别为 , 得 , , ,然后证明 得 ,求出 , 则 ,故有 点坐标为 ,求出反比例函数解析式 ,再求出 ,最后根据 即可求解,熟练掌握知识点的应用是解题的关键. 【详解】如图,作 轴于 ,作 轴于 ,则 , ∵点 , 的坐标分别为 , , ∴ , , , ∵ , ∴ , ∴ , ∵ , ∴ , ∴ , , ∴ , ∴ 点坐标为 ,代入 得, , 34关注公众号:陆陆高分冲刺 ~领取:最新版“小中高考-总复习”、最新试卷下载 ∴反比例函数解析式为 , ∵ 轴, ∴点 与点 纵坐标相等,且 在反比例函数图象上, ∴ , ∴ , ∴ , 故答案为: . 【变式3-5】(2024·广东广州·中考真题)如图,平面直角坐标系 中,矩形 的顶点 在函数 的图象上, , .将线段 沿 轴正方向平移得线段 (点 平移后的对应点为 ), 交函数 的图象于点 ,过点 作 轴于点 ,则下列结论: ① ; ② 的面积等于四边形 的面积; ③ 的最小值是 ; ④ . 其中正确的结论有 .(填写所有正确结论的序号) 【答案】①②④ 【分析】由 ,可得 ,故①符合题意;如图,连接 , , , 与 的交点为 ,利用 的几何意义可得 的面积等于四边形 的面积;故②符合题意;如图,连接 ,证 35关注公众号:陆陆高分冲刺 ~领取:最新版“小中高考-总复习”、最新试卷下载 明四边形 为矩形,可得当 最小,则 最小,设 ,可得 的最小值为 ,故③ 不符合题意;如图,设平移距离为 ,可得 ,证明 ,可得 ,再 进一步可得答案. 【详解】解:∵ , ,四边形 是矩形; ∴ , ∴ ,故①符合题意; 如图,连接 , , , 与 的交点为 , ∵ , ∴ , ∴ , ∴ 的面积等于四边形 的面积;故②符合题意; 如图,连接 , ∵ 轴, , ∴四边形 为矩形, 36关注公众号:陆陆高分冲刺 ~领取:最新版“小中高考-总复习”、最新试卷下载 ∴ , ∴当 最小,则 最小, 设 , ∴ , ∴ , ∴ 的最小值为 ,故③不符合题意; 如图,设平移距离为 , ∴ , ∵反比例函数为 ,四边形 为矩形, ∴ , , ∴ , , , , ∴ , ∴ , ∴ , ∵ , ∴ , ∴ ,故④符合题意; 故答案为:①②④ 【点睛】本题考查的是反比例函数的图象与性质,平移的性质,矩形的判定与性质,相似三角形的判定与 性质,勾股定理的应用,作出合适的辅助线是解本题的关键. 37关注公众号:陆陆高分冲刺 ~领取:最新版“小中高考-总复习”、最新试卷下载 【中考模拟即学即练】 1.(2024·安徽安庆·三模)已知反比例 与 的图像如图所示, 为x轴正半轴上一 动点,过点 作 轴,分别交反比例函数 与 的图像于点 , ,点 , (点 在点 的上方)在 轴上,且 ,则四边形 的面积为( ) A. B. C. D. 【答案】B 【分析】本题考查反比例函数系数 的几何意义,理解反比例函数系数 的几何意义是解题的关键. 利用反比例函数系数k的几何意义可得 , ,再根据同底等高的三角形面积相等,得到 ,由平行四边形的面积公式进而求出答案 【详解】解:连接 、 、 , 38关注公众号:陆陆高分冲刺 ~领取:最新版“小中高考-总复习”、最新试卷下载 轴, , 四边形 为平行四边形, , 轴, , 由反比例函数系数 的几何意义得, , , , , 故选:B. 2.(2024·广东深圳·模拟预测)如图,在直角坐标系中, 与x轴相切于点B, 为 的直径,点C 在函数 的图象上,D为y轴上一点,若 的面积为1,则 . 【答案】4 【分析】本题考查了反比例函数k值的几何意义及反比例函数图象上点的坐标特征,切线的性质,熟练掌 39关注公众号:陆陆高分冲刺 ~领取:最新版“小中高考-总复习”、最新试卷下载 握k值的几何意义是关键.连接 ,证明 ,根据 ,得出 ,根据反 比例函数k值的几何意义进行解答即可. 【详解】解:连接 ,如图所示: ∵ 与x轴相切于点B, 为 的直径, D为y轴上一点, ∴ 轴, 轴, ∴ , ∵ , ∴ , ∵点C在函数 的图象上, ∴ . 故答案为:4. 3.(2024·江苏盐城·模拟预测)如图,反比例函数 在第三象限的图象是 , 在第 四象限的图象是 ,点A、C在 上,过A点作 轴交 于B点,过C点作 轴于D点,点P为x 轴上任意一点,连接 ,若 ,则 . 40关注公众号:陆陆高分冲刺 ~领取:最新版“小中高考-总复习”、最新试卷下载 【答案】 【分析】此题考查了反比例函数的图象和性质,设点 ,得到 ,设设点 , 则 ,根据 求出 ,即可得到答案. 【详解】解:设点 ,则 , ∵ 轴, ∴点B的纵坐标是b, ∵点B在 上, ∴点 , ∴ ,点P到 的距离为 , ∵ , ∴ , 设点 ,则 , ∵过 点作 轴于 点, ∴ ,点P到 的距离为 , ∴ , 即 , ∴ , 41关注公众号:陆陆高分冲刺 ~领取:最新版“小中高考-总复习”、最新试卷下载 ∴ 故答案为: 4.(2024·浙江宁波·模拟预测)如图,过原点的线段 的两端点 , 分别在反比例函数 和 的图象上,过点 作 轴的垂线,垂足为 .若 的面积为1,则 的值为 . 【答案】 【分析】本题考查了反比例函数 值几何意义,熟练掌握相似三角形的判定和性质是关键.作 轴, 根据 值几何意义得到 ,利用面积可知 ,再利用三角形相似可得 ,继而求出 值即可. 【详解】解:如图,作 轴,垂足为 , 点 在反比例函数 的图象上, , , , , 42关注公众号:陆陆高分冲刺 ~领取:最新版“小中高考-总复习”、最新试卷下载 , , , 反比例函数图象上在第二象限, . 故答案为: . 5.(2024·湖南长沙·模拟预测)如图,点 , 分别在函数 图像的两支上( 在第一象限), 连结 交 轴于点 .点 , 在函数 图像上, 轴, 轴,连结 , . 若 , 的面积为12,四边形 的面积为15,则 的值为 . 【答案】 【分析】依据题意,设 ,再由 轴, 轴, ,可得 , , ,再结合 的面积为12,四边形 的面积为15,即可得解. 【详解】解:设 , ∵ 轴,且点E在函数 上, ∴ . 43关注公众号:陆陆高分冲刺 ~领取:最新版“小中高考-总复习”、最新试卷下载 ∵ ,且点B在函数 上, ∴ . ∵ 轴,点D在函数 上, ∴ . ∵ 的面积为12, ∴ . ∴ . 【点睛】本题主要考查反比例函数与图形的综合,掌握反比例函数图象的性质,几何图形点坐标的计算方 法,相似三角形的判定和性质,图形面积的计算方法是解题的关键. 6.(2024·安徽合肥·三模)如图,在平面直角坐标系xOy中,将直角 向右平移到 位置,A的对 应点是C,O的对应点是E,函数 的图象经过 与 的交点 ,连接 并延长交 轴于点 ,若 的面积为3,则 的值是 . 【答案】6 【分析】本题主要考查反比例函数函数k的几何意义,设 的长为 ,则 ,表示出点 的坐标为 ,证明 ,得 ,知 【详解】解:设 的长为 ,则 44关注公众号:陆陆高分冲刺 ~领取:最新版“小中高考-总复习”、最新试卷下载 当 时,点 的坐标为 , ∴ , 又 是直角三角形,且 ∴ ∵ ∴ ∵ ∴ ∴ ∴ ∴ 故答案为:6 7.(2024·安徽六安·模拟预测)如图,在平面直角坐标系中,矩形 的边 分别在 轴、 轴上, 点 的坐标为 ,双曲线 分别与边 交于点 ,则阴影部分的面积是 . 【答案】7 【分析】本题考查反比例函数 的几何意义,解题的关键是正确理解 的几何意义,本题属于中等题型. 先 出 ,再求出阴影部分的面积. 45关注公众号:陆陆高分冲刺 ~领取:最新版“小中高考-总复习”、最新试卷下载 【详解】解: 矩形 中, , 点A与点P的横坐标相同,点B与点P的纵坐标相同, 将 代入 得: ,将 代入 得: , , , . 故答案为:7. 8.(2024·广东深圳·模拟预测)如图,在平面直角坐标系中,等边 和菱形 的边 、 都 在x轴上,反比例函数 的图象经过点C.已知 的面积为 ,则k的值为 . 【答案】 【分析】本题考查反比例函数k的几何意义、菱形的性质、等边三角形的性质,连接 ,根据等边三角 形及菱形得到 是菱形,结合反比例函数k的几何意义列式求解即可得到答案; 【详解】解:连接 , , 46关注公众号:陆陆高分冲刺 ~领取:最新版“小中高考-总复习”、最新试卷下载 ∵等边 和菱形 的边 、 都在x轴上, ∴ , , 轴, ∴ , ∴四边形 是菱形, ∵ 的面积为 , ∴ , ∴ , ∵反比例函数 的图象经过点C, ∴ , 解得: , 故答案为: . 9.(2024·辽宁·模拟预测)如图,在平面直角坐标系中, 的边 轴,边 轴,且点 在反比例函数 (k为大于0的常数, )的图象上.若 的面积是 2,则k的值是 . 【答案】8 【分析】根据边 轴,边 轴,得到 ,根据题意, ,结合反比 例函数的性质解答即可. 本题考查了反比例函数的性质,熟练掌握性质是解题的关键. 47关注公众号:陆陆高分冲刺 ~领取:最新版“小中高考-总复习”、最新试卷下载 【详解】解:∵边 轴,边 轴, ∴ , 根据题意, , 的面积是2, ∴ , , ∴ , 解得 , 故答案为:8. 10.(2024·湖南娄底·模拟预测)如图,点C、E在坐标轴上,矩形 分别交某反比例函数于点F、 G, , , 的面积为9,则该反比例函数解析式为 . 【答案】 【分析】本题考查了待定系数法求反比例函数的解析式,矩形的性质,正确地求出反比例函数的解析式是 解题的关键. 由反比例函数k的几何意义得到 的面积= 的面积= ,根据 的面积=矩形的面积- 的面积- 的面积- 的面积可求出k,即可求出答案. 【详解】解:设反比例函数解析式为 , ∵矩形 分别交某反比例函数于点F、G, , , ∴ , 的面积= 的面积= , ∵ 的面积=矩形的面积- 的面积- 的面积- 的面积=9,矩形的面积 , 48关注公众号:陆陆高分冲刺 ~领取:最新版“小中高考-总复习”、最新试卷下载 ∴ , 解得 (负值已舍去), ∴反比例函数解析式为 . 故答案为: . 11.(2024·福建莆田·模拟预测)如图,过原点的直线与反比例函数 和 的图象在第一象限内分 别交于点A,B.过点A作 轴于点C,过点B作 ,交 的延长线于点D.若 的面 积为 ,则 . 【答案】9 【分析】本题考查了一次函数与反比例函数的交点问题,反比例函数k值的几何意义,相似三角形的性质 和判定,熟练掌握反比例函数 值的几何意义是关键. 根据 值的几何意义得到 ,利用相似得到 ,继而有 ,再利用相似得到 ,继而求出 值. 【详解】解:由题意可知, , , , ∵点 在反比例函数 图象上, , 49关注公众号:陆陆高分冲刺 ~领取:最新版“小中高考-总复习”、最新试卷下载 ∵ 的面积为 , , , 如图,作 轴,垂足为点 , , , , , , 故答案为:9. 12.(2024·贵州黔东南·一模)如图,平行四边形 中, , ,它的边 在 轴的负 半轴上,对角线 在 轴的正半轴上.反比例函数 的图像经过点 . (1)求反比例函数的表达式; (2)过点 的直线与反比例函数在第三象限的图像相交于点 ,连接BD,直接写出 面积的取值范围. 50关注公众号:陆陆高分冲刺 ~领取:最新版“小中高考-总复习”、最新试卷下载 【答案】(1) (2) 【分析】本题主要考查反比例与几何图形的关系,根据几何图形面积的计算方法求反比例函数的 值, (1)如图所示,过点 作 轴于点 ,设 ,根据反比例函数图象的性质可得四边形 是 矩形, ,根据平行四边形的性质可得 ,结合 ,可得求 出 ,由此可得 ,即可求解; (2)设 ,点 到 的距离为 ,由三角形的面积公式得 ,再根据点 位于第三象限的特点即可求解. 【详解】(1)解:如图所示,过点 作 轴于点 ,设 , ∵平行四边形 中,边 在 轴的负半轴上,对角线 在 轴的正半轴上, ∴ , ∴四边形 是矩形, ∴ , ∵四边形 平行四边形, ∴ , ∵ ,即 , ∴ , 51关注公众号:陆陆高分冲刺 ~领取:最新版“小中高考-总复习”、最新试卷下载 ∴C(−2,0), ∴ , ∴ , ∴反比例函数解析式为: ; (2)解:根据题意,设 , ∵ , ∴设点 到 的距离为 ,则 , ∴ , ∵点 位于第三象限,即 ,且 , ∴ ,则 , ∴ . 13.(2024·甘肃兰州·模拟预测)如图,已知点A在正比例函数 的图象上,过点A作 轴于点 B,以 为边作正方形 ,点D在反比例函数 的图象上. (1)当点A的横坐标为2时,求反比例函数的表达式; (2)若正方形 的面积为m,试用含m的代数式表示k的值. 【答案】(1) 52关注公众号:陆陆高分冲刺 ~领取:最新版“小中高考-总复习”、最新试卷下载 (2) 【分析】本题考查了反比例函数与一次函数图象上点的坐标特征,利用正方形的边长相等来表示各个点坐 标是解题的关键. (1)先求A的横坐标,就可以得到D的坐标,即可求k的值; (2)由正方形 的面积为m,得边长为 ,可表示出D和A的纵坐标为 ,进而求出D的坐标, 代入反比例函数 即可. 【详解】(1)解:∵点A在正比例函数 的图象上, ∴当 时, , ∴ , ∴ , ∵四边形 是正方形, ∴ ∴ ∴ . ∵点D在反比例函数 的图象上, ∴ , ∴反比例函数的表达式为 . (2)解:∵正方形 的面积为m, ∴ , ∴点D和点A的纵坐标为 , 把点A的纵坐标为 代入 得, , 53关注公众号:陆陆高分冲刺 ~领取:最新版“小中高考-总复习”、最新试卷下载 解得, , ∴点A的坐标为 , ∴ , ∴点D的坐标为 . 将点D的坐标代入 ,得 . 题型四:特殊三角形存在性问题 【中考母题学方法】 【典例4】(2023·四川绵阳·中考真题)如图,过原点O的直线与反比例函数 的图象交于 , 两点,一次函数 的图象过点A与反比例函数交于另一点 . (1)求反比例函数的解析式;当 时,根据图象直接写出x的取值范围; (2)在y轴上是否存在点 ,使得 为等腰三角形?若存在,求出点 的坐标;若不存在,请说明理 由. 【答案】(1) , 或 54关注公众号:陆陆高分冲刺 ~领取:最新版“小中高考-总复习”、最新试卷下载 (2)点M的坐标为 或 或 或 【分析】本题考查待定系数法求反比例函数解析式及等腰三角形,熟知待定系数法及利用分类讨论的数学 思想是解题的关键. (1)将点A坐标代入反比例函数解析式即可求出k,利用数形结合的思想即可求出x的取值范围. (2)先求出点C坐标,再根据分类讨论的数学思想即可解决问题. 【详解】(1)解:由题知,将A点坐标代入反比例函数解析式得, , 所以反比例函数的解析式为 . 由函数图象可知,在直线x=0和x=1之间的部分及直线x=2右侧的部分, 反比例函数 的图象在一次函数 的图象的上方,即 . 所以x的取值范围是: 或x>2. (2)将x=2代入反比例函数解析式得 , 所以点C的坐标为 . 则 . 如图: 当 时, , 所以点 坐标为( 或 . 55关注公众号:陆陆高分冲刺 ~领取:最新版“小中高考-总复习”、最新试卷下载 当 时,点 在 的垂直平分线上, 又因为点C坐标为 , 所以点 坐标为 . 当 时,点M在OC的垂直平分线上, 过点 作 轴于点 , 令 ,则 , , 在 N中, 即 , 解得 . 所以点M的坐标为 . 综上所述:点M的坐标为 或 或 或 . 【变式4-1】(2023·黑龙江牡丹江·中考真题)如图,在平面直角坐标系中, 的顶点B,C在x轴上, D在y轴上, , 的长是方程 的两个根( ).请解答下列问题: (1)求点B的坐标; (2)若 ,直线 分别交x轴、y轴、 于点E,F,M,且M是 的中点,直线 交 延长线于点N,求 的值; (3)在(2)的条件下,点P在y轴上,在直线EF上是否存在点Q,使 是腰长为5的等腰三角形?若 56关注公众号:陆陆高分冲刺 ~领取:最新版“小中高考-总复习”、最新试卷下载 存在,请直接写出等腰三角形的个数和其中两个点Q的坐标;若不存在,请说明理由. 【答案】(1) (2) (3)存在,等腰三角形的个数是8个, , , , 【分析】(1)解方程得到 , 的长,从而得到点B的坐标; (2)由 , ,得 .由 , 是 中点,得到点M的坐标,代入直 线 中,求得b的值,从而得到直线的解析式,进而求得点E,点F的坐标,由坐标特点可得 .过点C作 于H,过点N作 于K.从而 , ,进而得到 ,易证 ,可得 ,因此 ,由 可得 , , ,从而通过解直角三角形在 中,得到 ,在 中, ,因此求得 ,最终可得结果 ; (3)分 , , 三大类求解,共有8种情况. 【详解】(1)解方程 ,得 , . , , . ; (2) , . 四边形 是平行四边形, , . 是 中点, 57关注公众号:陆陆高分冲刺 ~领取:最新版“小中高考-总复习”、最新试卷下载 . . 将 代入 ,得 . . , . . 过点C作 于H,过点N作 于K. , . ∴ ∵ ∴ ∴ ∴ ∴ ∵ ∴ , , ∴在 中, 在 中, ∴ ∴ 58关注公众号:陆陆高分冲刺 ~领取:最新版“小中高考-总复习”、最新试卷下载 (3)解:由(2)知:直线 解析式为 , , 设 , , ①当 时, , , 解得 或 , 或 , ∴ , , , , 如图, 、 、 、 都是以5为腰的等腰三角形, ; ②当 时, 59关注公众号:陆陆高分冲刺 ~领取:最新版“小中高考-总复习”、最新试卷下载 由①知: , , ∵ , ∴ 不可能等于5, 如图, , 都是以5为腰的等腰三角形, ; ③当 时, 由①知: , , 当 时, , 解得 (舍去), , ∴ , 如图, 60关注公众号:陆陆高分冲刺 ~领取:最新版“小中高考-总复习”、最新试卷下载 当 时, , 解得 (舍去), , ∴ , 如图, 综上,等腰三角形的个数是8个, 符合题意的Q坐标为 , , , 【点睛】本题考查了一次函数的图像与性质,一次函数与平行四边形,等腰三角形的综合问题,数形结合 思想是解题的关键. 【变式4-2】(2024·浙江·模拟预测)如图,直线 与 轴相交于点 ,与 轴相交于点 ,与反 61关注公众号:陆陆高分冲刺 ~领取:最新版“小中高考-总复习”、最新试卷下载 比例函数 的图象相交于 两点.过点 作 轴的垂线,垂足为 ,连接 、 ,并延 长 ,与直线 相交于点 .在第一象限找点 ,使以 为顶点的四边形为平行四边形, 反比例函数 , 经过点 . (1)求 的面积. (2)在反比例函数 的图象上找点 ,使 是直角三角形,求出符合要求的点 的坐 标. (3)如图 ,在反比例函数 的图象上有一点 , 轴于点 , 轴于点 , 分别交反比例函数 的图象于 两点,求 的面积. 【答案】(1)15 (2) 、 、 、 (3) 或 【分析】(1)先求出 ,由 ,解得 , ,再由 即可求解; (2)先根据勾股定理逆定理得到 是直角三角形, ,①当 为平行四边形的对角线时, 62关注公众号:陆陆高分冲刺 ~领取:最新版“小中高考-总复习”、最新试卷下载 此时为平行四边形 ,则 ,求得经过点N的反比例函数的表达式为 ,设 , 当 ,联立 ,可求 ,当 ,则 ,得到 ,解得: 或 (舍),则 ;②当 为平 行四边形的对角线时,此时为平行四边形 ,此时也为矩形,此时 ,同上可求反比例函数的 表达式为 ,当 ,联立 ,解得 ,则 ,当 时,此时点 与点N重合,则 ,综上所述,点D的坐标为: 、 、 、 ; (3)设点 , ,当点E在 上时,由题意可得, ,因此 , 所以 , , ,故 ;当点E在 上时,同理可得 . 【详解】(1)解:把 代入 得, , ∴ , 63关注公众号:陆陆高分冲刺 ~领取:最新版“小中高考-总复习”、最新试卷下载 把 代入 得, , ∴ , ∴ , ∴ , , ∴ , 由 ,解得 或 , ∴ , , ∴ ; (2)解:设直线 的解析式为 ,把 代入得, , ∴ , ∴直线 的解析式为 , 把 代入 得, , ∴ , ∵ , , ∴ , ∴ 是直角三角形, ,即 , 设 , ①当 为平行四边形的对角线时,此时为平行四边形 , 有 , 64关注公众号:陆陆高分冲刺 ~领取:最新版“小中高考-总复习”、最新试卷下载 解得 , ∴ , 代入 得 , ∴反比例函数的表达式为 ,设 ,如图, 当 ,联立 , 解得 , ∴ , 当 ,则 , ∴ , 解得: 或 (舍), ∴ ; ②当 为平行四边形的对角线时,此时为平行四边形 ,此时也为矩形, 有 , 65关注公众号:陆陆高分冲刺 ~领取:最新版“小中高考-总复习”、最新试卷下载 解得 , ∴ , 同上可求反比例函数的表达式为 ,如图, 当 ,联立 , 解得 , ∴ , 当 时,此时点 与点N重合, ∴ , 综上所述,点D的坐标为: 、 、 、 ; (3)解:如图, 66关注公众号:陆陆高分冲刺 ~领取:最新版“小中高考-总复习”、最新试卷下载 设点 , ∵ 轴于点 , 轴于点 , 分别交反比例函数 的图象于 两点, ∴ , 当点E在 上时,由题意可得, , ∴ , ∵ , , , ∴ ; 当点E在 上时,同理可得 , 综上所述, 的面积为 或 . 【点睛】本题考查了反比例函数与几何的综合,待定系数法求函数解析式,反比例函数图像与一次函数图 像的交点问题,平行四边形的存在性问题,直角三角形的存在性问题,勾股定理,以及反比例函数k的几 何意义等,难度很大,熟练掌握知识点是解决本题的关键. 【中考模拟即学即练】 1.(2024·吉林松原·模拟预测)如图,一次函数 与反比例函数 的图象交于A、B两 点,与x轴交于点C,其中点A的坐标为 67关注公众号:陆陆高分冲刺 ~领取:最新版“小中高考-总复习”、最新试卷下载 (1)求反比例函数的解析式; (2)若点P在x轴上,且 是直角三角形,求点P的坐标. 【答案】(1) (2) 或 【分析】(1)把 代入 求出 ,再把 代入 求出k的值即可; (2)当 时,得到 ;当 时,过点A作 轴于点D,得到 , 根据直线 的表达式为 和 ,推出 ,推出 , 得到 , 推出 ,得到 ,得到 . 【详解】(1)解:将 代入 , 得, , ∴ , ∴ , 将 代入 ,得, , ∴ , ∴反比例函数表达式为 ; (2)解:①当 时, 轴, ∴ ; 68关注公众号:陆陆高分冲刺 ~领取:最新版“小中高考-总复习”、最新试卷下载 ②当 时, 如图,过点A作 轴于点D, 则 , ∵ , ∴ , , ∵直线 的表达式为 , ∴当 时, , ∴ , ∴ , ∴ , ∴ , ∴ , ∴ , ∴ , ∴ , ∴ , ∴ , ∴ , ∴ 或 . 【点睛】本题主要考查了反比例函数与一次函数的综合.熟练掌握待定系数法求函数解析式,等腰直角三 角形性质,分类讨论,是解题的关键. 2.(2024·四川成都·模拟预测)如图,在平面直角坐标系中,直线 与反比例函数 的图象 69关注公众号:陆陆高分冲刺 ~领取:最新版“小中高考-总复习”、最新试卷下载 交于点A,B(点A在点B的左侧),已知点A的纵坐标是1. (1)求反比例函数的表达式; (2)如图,将直线 向上平移2个单位长度后得到新的直线 ,点M在直线 上,设点M的横坐标 为 .连接 , . ①求 的面积; ②当 是直角三角形时,求点M的坐标. 【答案】(1) (2)①4;② 或 【分析】本题主要考查一次函数和反比例函数的图像和性质,一次函数和反比例函数的交点问题,熟练掌 握一次函数和反比例函数的图像和性质是解题的关键. (1)根据题意求出 ,代入反比例函数即可求出答案; (2)①过点M作 轴交直线 于点N,则 ,根据对称性质得到 ,分情况计算出面积 即可; ②分当 时,当 时两种情况分类讨论即可. 【详解】(1)解:把 代入 ,得 70关注公众号:陆陆高分冲刺 ~领取:最新版“小中高考-总复习”、最新试卷下载 又∵直线 与反比例函数 的图象交于点A,B 故反比例函数的表达式为 (2)解:①如图, 过点M作 轴交直线 于点N,则 ,由对称性可知, 当 时, 当 时, 综上所述, 的面积为4 ②由题意可知,直线 的函数表达式为 ,令 ,则 ;令 ,则 直线 与x轴的交点为 ,与y轴的交点为(0,2) , 点M在直线 的第一象限图象上,当 是直角三角形时,存在以下两种情况. (i)当 时, 设 ,过点 作一条直线 平行 轴,过点 作垂线交直线 于 71关注公众号:陆陆高分冲刺 ~领取:最新版“小中高考-总复习”、最新试卷下载 点 ,使 . 根据坐标系可知, , 根据勾股定理可得, , , 由①得: , 解得 , ; (ii)当 时,设 ,连接 是直角三角形,且点O是线段 的中点, . 整理,得 ,解得 , (舍去) 72关注公众号:陆陆高分冲刺 ~领取:最新版“小中高考-总复习”、最新试卷下载 综上所述,当 是直角三角形时,点M的坐标为 或(2,1). 3.(2024·湖南·模拟预测)如图,反比例函数 图象与正比例函数 图象相交于点 与点 . (1)试求反比例函数 与正比例函数 的函数表达式及点 的坐标. (2)请直接写出 的解集. (3)现把 的图象绕 点顺时针旋转 得到了 .试问在 函数图象上是否存在一动点 , 使 是以 为底边的等腰三角形?如果有,请求出这个点 的坐标;如果没有,请说明理由. 【答案】(1)反比例函数表达式为 ;正比例函数表达式为 ; (2) 或 (3)存在, 或 【分析】(1)利用待定系数法确定即可得到表达式,再联立方程组求解即可得到答案; (2) 的解集是指反比例函数图象在正比例函数图象上方部分对应的自变量的取值范围,数形结合 求解即可得答案; (3)由旋转性质,结合直线性质得到 ,根据点的对称性及中垂线的判定与性质得到 ,若 使 是以 为底边的等腰三角形,则 ,结合含 的直角三角形性质得到线段 , 73关注公众号:陆陆高分冲刺 ~领取:最新版“小中高考-总复习”、最新试卷下载 最后由两点之间距离公式列方程求解即可得到答案. 【详解】(1)解: 反比例函数 图象与正比例函数 图象相交于点 , ,即反比例函数表达式为 ; ,即正比例函数表达式为 ; 反比例函数 图象与正比例函数 图象相交于点 与点 , 联立 ,解得 或 ,即 ; (2)解: 的解集是指反比例函数图象在正比例函数图象上方部分对应的自变量的取值范围,如图 所示: 、 , 当 或 时,反比例函数图象在正比例函数图象上方,即 的解集是 或 (3)解:如图所示: 把 的图象绕 点顺时针旋转 得到了 , 74关注公众号:陆陆高分冲刺 ~领取:最新版“小中高考-总复习”、最新试卷下载 直线 垂直直线 , 与 关于原点 对称, 直线 是线段 的垂直平分线, 当 在直线 上时,由垂直平分线性质可得 , 若使 是以 为底边的等腰三角形,则 , 此时 是等边三角形, 在 中, , ,则 ,由勾股定理可得 , 设 ,则 ,解得 或 , 或 . 【点睛】本题考查一次函数与反比例函数综合,涉及待定系数法确定函数表达式、直线与双曲线的交点、 利用图象法解不等式、函数与特殊三角形、中垂线的判定与性质、含 的直角三角形性质、勾股定理、 两点之间距离公式等知识,熟练掌握一次函数与反比例函数图象与性质、灵活运用相关几何性质是解决问 题的关键. 题型五:特殊四边形存在性问题 【中考母题学方法】 【典例5】(2023·四川泸州·中考真题)如图,在平面直角坐标系 中,直线 与 , 轴分别 相交于点A,B,与反比例函数 的图象相交于点C,已知 ,点C的横坐标为2. 75关注公众号:陆陆高分冲刺 ~领取:最新版“小中高考-总复习”、最新试卷下载 (1)求 , 的值; (2)平行于 轴的动直线与 和反比例函数的图象分别交于点D,E,若以B,D,E,O为顶点的四边形为平 行四边形,求点D的坐标. 【答案】(1) , ; (2)点D的坐标为 或 【分析】(1)求得 ,利用待定系数法即可求得直线的式,再求得 ,据此即可求解; (2)设点 ,则点 ,利用平行四边形的性质得到 ,解方程即可求解. 【详解】(1)解:∵ , ∴ , ∵直线 经过点 , ∴ ,解得, , ∴直线的解析式为 , ∵点C的横坐标为2, ∴ , ∴ , ∵反比例函数 的图象经过点C, ∴ ; (2)解:由(1)得反比例函数的解析式为 , 令 ,则 , ∴点 , 设点 ,则点 , ∵以B,D,E,O为顶点的四边形为平行四边形, ∴ , 76关注公众号:陆陆高分冲刺 ~领取:最新版“小中高考-总复习”、最新试卷下载 ∴ ,整理得 或 , 由 得 , 整理得 , 解得 , ∵ , ∴ , ∴点 ; 由 得 , 整理得 , 解得 , ∵ , ∴ , ∴点 ; 综上,点D的坐标为 或 . 【点睛】此题是反比例函数综合题,主要考查了待定系数法,平行四边形的性质,解一元二次方程,用方 程的思想解决问题是解本题的关键. 【变式5】(2023·甘肃兰州·中考真题)在平面直角坐标系中,给出如下定义: 为图形 上任意一点, 如果点 到直线 的距离等于图形 上任意两点距离的最大值时,那么点 称为直线 的“伴随点”. 例如:如图1,已知点 , , 在线段 上,则点 是直线 : 轴的“伴随点”. 77关注公众号:陆陆高分冲刺 ~领取:最新版“小中高考-总复习”、最新试卷下载 (1)如图2,已知点 , , 是线段 上一点,直线 过 , 两点,当点 是 直线 的“伴随点”时,求点 的坐标; (2)如图3, 轴上方有一等边三角形 , 轴,顶点A在 轴上且在 上方, ,点 是 上一点,且点 是直线 : 轴的“伴随点”.当点 到 轴的距离最小时,求等边三角形 的边长; (3)如图4,以 , , 为顶点的正方形 上始终存在点 ,使得点 是直线 : 的“伴随点”.请直接写出 的取值范围. 【答案】(1) (2) (3) 或 【分析】(1)过点 作 于点 ,根据新定义得出 ,根据已知得出 ,则 ,即可求解; (2)当 到 轴的距离最小时,点 在线段 上,设 的边长为 ,以 为圆心 为半径作圆,当 与 轴相切时,如图所示,切点为 ,此时点 是直线 : 轴的“伴随点”.且点 到 轴的距离 最小,则 的纵坐标为 ,即 , 是等边三角形,且 轴,设 交于点 ,则 ,得出 ,根据 即可求解; (3)由正方形的边长为1,即可求出P到 的距离为 ,从而可得P既在正方形的边上,也在到 距 78关注公众号:陆陆高分冲刺 ~领取:最新版“小中高考-总复习”、最新试卷下载 离为 的直线上,当 时, 向上平移2个单位长度得 ,分别求出 过A、C时b的值;当 时, 向下平移2个单位长度得 ,分别求出 过A、C时b的值,即可求出b的取值范围. 【详解】(1)解:如图所示,过点 作 于点 , ∵ , ,则 ,点 是直线 的“伴随点”时, ∴ , ∵ , , ∴ , ∵ , ∴ , ∴ , ∴ ; (2)解:当 到 轴的距离最小时, ∴点 在线段 上, 设 的边长为 ,以 为圆心 为半径作圆,当 与 轴相切时,如图所示,切点为 ,此时点 是 直线 : 轴的“伴随点”.且点 到 轴的距离最小, 79关注公众号:陆陆高分冲刺 ~领取:最新版“小中高考-总复习”、最新试卷下载 则 的纵坐标为 ,即 , ∵ 是等边三角形,且 轴,设 交于点 ,则 , ∴ , ∴ , ∵ , ∴ , 解得: 或 (舍去), ∴等边三角形 的边长为 ; (3)解:由题意知,正方形 的边长为1,所以正方形 上任意两点距离的最大值为 ,即正方形 上始终存在点P,P到 的距离为 .则 向上或者向下平移2个单位长 度得到直线 ∵ 与 平行,且两直线间的距离为 , ∴P既在 上,又在正方形 的边上, ∴ 与正方形 有交点. 当 时, 为 , 80关注公众号:陆陆高分冲刺 ~领取:最新版“小中高考-总复习”、最新试卷下载 当 过A时, ,即 , 当 过C时, ,即 ; ∴ ; 当 时, 为 , 当 过A时, ,即 , 当 过C时, ,即 ; ∴ ; 综上,当 或 时,正方形 上始终存在点 ,使得点 是直线 : 的“伴随 点”. 【点睛】本题考查了几何新定义,解直角三角形,切线的性质,直线与坐标轴交点问题,正方形的性质, 理解新定义是解题的关键. 【中考模拟即学即练】 1.(2024·广东广州·一模)如图,四边形 为正方形,点 在 轴上,点 在 轴上,且 , ,反比例函数 在第一象限的图象经过正方形的顶点 . (1)求点 的坐标和反比例函数的解析式; (2)若点 为直线 上的一动点(不与点 重合),在 轴上是否存在点 ,使以点 、 、 、 为 顶点的四边形是平行四边形?若存在,求出点 的坐标;若不存在,请说明理由. 【答案】(1) , 81关注公众号:陆陆高分冲刺 ~领取:最新版“小中高考-总复习”、最新试卷下载 (2)存在, 或 或 【分析】本题考查了反比例函数综合应用,熟练掌握平行四边形的存在性求法是解答本题的关键. (1)利用三角形全等求出点 坐标,由点 坐标求出反比例函数解析式即可; (2)根据点 为定点,分三种情况讨论:当 为平行四边形的对角线时,当 为平行四边形的对角 线时,当 为平行四边形的对角线时即可. 【详解】(1)解:如图,过点 作 轴,垂足为 , 是正方形, , , , , , , 在 和 中, , , , , , , 在反比例函数图象上, , 82关注公众号:陆陆高分冲刺 ~领取:最新版“小中高考-总复习”、最新试卷下载 反比例函数解析式为: ; (2)解:存在,理由如下: 根据(1)中求 点坐标,同理可得点 坐标 , 设直线 解析式为 , 代入点 坐标得: , 解得: , 直线 解析式为: , 设 , , 当 为平行四边形的对角线时, 得: , 即: , 解得: , ; 当 为平行四边形的对角线时, 得: , 即: , 解得: , ; 当 为平行四边形的对角线时, 83关注公众号:陆陆高分冲刺 ~领取:最新版“小中高考-总复习”、最新试卷下载 得: , 即: , 解得: , ; 综上所述,符合条件的点 有3个,坐标为 或 或 . 2.(2023·广东广州·中考真题)已知点 在函数 的图象上. (1)若 ,求n的值; (2)抛物线 与x轴交于两点M,N(M在N的左边),与y轴交于点G,记抛物线的顶点为 E. ①m为何值时,点E到达最高处; ②设 的外接圆圆心为C, 与y轴的另一个交点为F,当 时,是否存在四边形 为平 行四边形?若存在,求此时顶点E的坐标;若不存在,请说明理由. 【答案】(1) 的值为1; (2)① ;②假设存在,顶点E的坐标为 ,或 . 【分析】(1)把 代入 得 ,即可求解; (2)① ,得 ,即可求解; ②求出直线 的表达式为: ,得到点 的坐标为 ;由垂径定理知,点 在 的中垂线上,则 ;由四边形 为平行四边形,则 ,求出 ,进而求解. 84关注公众号:陆陆高分冲刺 ~领取:最新版“小中高考-总复习”、最新试卷下载 【详解】(1)解:把 代入 得 ; 故 的值为1; (2)解:①在 中,令 ,则 , 解得 或 , , , 点 在函数 的图象上, , 令 ,得 , 即当 ,且 , 则 ,解得: (正值已舍去), 即 时,点 到达最高处; ②假设存在,理由: 对于 ,当 时, ,即点 , 由①得 , , , ,对称轴为直线 , 由点 、 的坐标知, , 作 的中垂线交 于点 ,交 轴于点 ,交 轴于点 ,则点 , 则 , 则直线 的表达式为: . 85关注公众号:陆陆高分冲刺 ~领取:最新版“小中高考-总复习”、最新试卷下载 当 时, , 则点 的坐标为 . 由垂径定理知,点 在 的中垂线上,则 . 四边形 为平行四边形, 则 , 解得: , 即 ,且 , 则 , ∴顶点E的坐标为 ,或 . 【点睛】本题为反比例函数和二次函数综合运用题,涉及到一次函数基本知识、解直角三角形、平行四边 形的性质、圆的基本知识,其中(3),数据处理是解题的难点. 题型六:最值问题 【中考母题学方法】 【典例6】(2023·江苏苏州·中考真题)如图,一次函数 的图象与反比例函数 的图象交于 点 .将点 沿 轴正方向平移 个单位长度得到点 为 轴正半轴上的点,点 的横坐标大于点 的横坐标,连接 的中点 在反比例函数 的图象上. 86关注公众号:陆陆高分冲刺 ~领取:最新版“小中高考-总复习”、最新试卷下载 (1)求 的值; (2)当 为何值时, 的值最大?最大值是多少? 【答案】(1) , (2)当 时, 取得最大值,最大值为 【分析】(1)把点 代入 ,得出 ,把点 代入 ,即可求得 ; (2)过点 作 轴的垂线,分别交 轴于点 ,证明 ,得出 ,进 而可得 ,根据平移的性质得出 , ,进而表示出 ,根据二次函数的性质 即可求解. 【详解】(1)解:把点 代入 , ∴ , 解得: ; 把点 代入 ,解得 ; (2)∵点 横坐标大于点 的横坐标, ∴点 在点 的右侧, 如图所示,过点 作 轴的垂线,分别交 轴于点 , ∵ , 87关注公众号:陆陆高分冲刺 ~领取:最新版“小中高考-总复习”、最新试卷下载 ∴ , 在 和 中, , ∴ , ∴ , ∵ , ∴ , ∴ , ∵将点 沿 轴正方向平移 个单位长度得到点 , ∴ , ∴ , ∴ , ∴ , ∴ , ∴当 时, 取得最大值,最大值为 . 【点睛】本题考查了一次函数与反比例函数综合,二次函数的性质,全等三角形的性质与判定,熟练掌握 以上知识是解题的关键. 【变式6-1】(2023·西藏·中考真题)如图,一次函数 与反比例函数 的图象相交于A,B两点, 且点A的坐标为 ,点B的坐标为 . (1)求 的值和反比例函数的解析式; (2)点A关于原点O的对称点为 ,在x轴上找一点P,使 最小,求出点 的坐标. 88关注公众号:陆陆高分冲刺 ~领取:最新版“小中高考-总复习”、最新试卷下载 【答案】(1)m=3,n=-3,反比例函数的解析式为: ; (2) ; 【分析】(1)将点 ,点 分别代入 之中,即可求出 的值;然后再将点 代 入 即可得到反比例函数的解析; (2)作点 关于 轴的对称点 ,连接 交 轴于点 ,连接 ,则 为最小,故得点 为所求 作的点,根据对称性先求出点 ,点 ,再利用待定系数法求出直线 的解析式为 ,由此可求出点 的坐标. 【详解】(1)解:将点 ,点 分别代入 之中, 得: , , 解得: , , ∴点 ,点 , 将点 代入之中,得: , ∴反比例函数的解析式为: , (2)作点 关于x轴的对称点 ,连接 交 轴于点 ,连接 ,如图: 则 为最小, 故得点 为所求作的点.理由如下: 在 轴上任取一点 ,连接 , , , ∵点 关于 轴的对称点 , ∴ 轴为线段 的垂直平分线, 89关注公众号:陆陆高分冲刺 ~领取:最新版“小中高考-总复习”、最新试卷下载 ∴ , ∴ , , 根据“两点之间线段最短”得: , 即: , ∴ 为最小. ∵点 ,点 与点 关于原点 对称, ∴点 的坐标为 , 又∵点 ,点 和点 关于 轴对称, ∴点 点的坐标为 , 设直线 的解析式为: , 将点 , 代入 , 得: ,解得: , ∴直线A'B'的解析式为: , 对于 ,当 时, , ∴点 的坐标为 . 【点睛】此题主要考查了一次函数与反比例函数的图象,利用轴对称求最短路线,熟练掌握待定系数法求 函数的解析式,理解利用轴对称求最短路线的思路和方法是解答此题的关键. 【变式6-2】(2024·四川眉山·中考真题)如图,在平面直角坐标系 中,一次函数 与反比例函 数 的图象交于点 , ,与 轴, 轴分别交于 , 两点. 90关注公众号:陆陆高分冲刺 ~领取:最新版“小中高考-总复习”、最新试卷下载 (1)求一次函数和反比例函数的表达式; (2)若点 在 轴上,当 的周长最小时,请直接写出点 的坐标; (3)将直线 向下平移 个单位长度后与 轴, 轴分别交于 , 两点,当 时,求 的值. 【答案】(1)一次函数的表达式为 ,反比例函数的表达式为 (2)点 的坐标为 (3) 或 【分析】本题考查了待定系数法求函数的解析式,轴对称-最短路径问题,勾股定理,正确地求出函数的解 析式是解题的关键. (1)根据已知条件列方程求得 ,得到反比例函数的表达式为 ,求得 ,解方程组即可得 到结论; (2)如图,作点A关于y轴的对称点E,连接 交y轴于P,则此时, 的周长最小,根据轴对称的 性质得到 ,得到直线 的解析式为 ,当 时, ,于是得到点P的坐标为 ; (3)将直线 向下平移a个单位长度后得直线 的解析式为 ,得到 ,根据勾股定理即可得到结论. 【详解】(1)解: 一次函数 与反比例函数 的图象交于点 , , , , 反比例函数的表达式为 , 91关注公众号:陆陆高分冲刺 ~领取:最新版“小中高考-总复习”、最新试卷下载 把 代入 得, , , , 把 , 代入 得, , 解得 , 一次函数的表达式为 ; (2)解:如图,作点 关于 轴的对称点 ,连接 交 轴于 , 此时, 的周长最小, 点 , , 设直线 的解析式为 , , 解得 , 直线 的解析式为 , 当 时, , 92关注公众号:陆陆高分冲刺 ~领取:最新版“小中高考-总复习”、最新试卷下载 点 的坐标为 ; (3)解:将直线 向下平移 个单位长度后与 轴, 轴分别交于 , 两点, 直线 的解析式为 , , , , , 解得 或 . 【变式6-3】(2023·四川宜宾·中考真题)如图,在平面直角坐标系 中,等腰直角三角形 的直角顶 点 ,顶点A、 恰好落在反比例函数 第一象限的图象上. (1)分别求反比例函数的表达式和直线 所对应的一次函数的表达式; (2)在x轴上是否存在一点P,使 周长的值最小.若存在,求出最小值;若不存在,请说明理由. 【答案】(1) , (2)在x轴上存在一点 ,使 周长的值最小,最小值是 . 【分析】(1)过点A作 轴于点E,过点B作 轴于点D,证明 ,则 ,由 得到点A的坐标是 ,由A、 恰好落在反比例函 93关注公众号:陆陆高分冲刺 ~领取:最新版“小中高考-总复习”、最新试卷下载 数 第一象限的图象上得到 ,解得 ,得到点A的坐标是 ,点B的坐标是 , 进一步用待定系数法即可得到答案; (2)延长 至点 ,使得 ,连接 交x轴于点P,连接 ,利用轴对称的性质得到 , ,则 ,由 知 是定值,此时 的周长为 最 小,利用待定系数法求出直线 的解析式,求出点P的坐标,再求出周长最小值即可. 【详解】(1)解:过点A作 轴于点E,过点B作 轴于点D, 则 , ∵点 , , ∴ , ∴ , ∵ 是等腰直角三角形, ∴ , ∵ , ∴ , ∴ , ∴ , ∴ , ∴点A的坐标是 , ∵A、 恰好落在反比例函数 第一象限的图象上. ∴ , 94关注公众号:陆陆高分冲刺 ~领取:最新版“小中高考-总复习”、最新试卷下载 解得 , ∴点A的坐标是 ,点B的坐标是 , ∴ , ∴反比例函数的解析式是 , 设直线 所对应的一次函数的表达式为 ,把点A和点B的坐标代入得, ,解得 , ∴直线 所对应的一次函数的表达式为 , (2)延长 至点 ,使得 ,连接 交x轴于点P,连接 , ∴点A与点 关于x轴对称, ∴ , , ∵ , ∴ 的最小值是 的长度, ∵ ,即 是定值, ∴此时 的周长为 最小, 设直线 的解析式是 , 则 , 95关注公众号:陆陆高分冲刺 ~领取:最新版“小中高考-总复习”、最新试卷下载 解得 , ∴直线 的解析式是 , 当 时, ,解得 , 即点P的坐标是 , 此时 , 综上可知,在x轴上存在一点 ,使 周长的值最小,最小值是 . 【点睛】此题考查了反比例函数和一次函数的图象和性质、用到了待定系数法求函数解析式、勾股定理求 两点间距离、轴对称最短路径问题、全等三角形的判定和性质等知识,数形结合和准确计算是解题的关键. 【中考模拟即学即练】 1.(2024·宁夏银川·三模)如图,直线 与反比例函数 的图像交于点 ,与 轴 交于点 ,平行于 轴的直线 交反比例函数的图像于点 ,交AB于点 ,连接BM. (1)求 的值和反比例函数的表达式; (2)当 时,求 的面积. (3)直线 沿 轴方向平移,当 为何值时, 的面积最大?最大面积是多少? 【答案】(1) (2) (3) 时, 的面积最大,最大值为 96关注公众号:陆陆高分冲刺 ~领取:最新版“小中高考-总复习”、最新试卷下载 【分析】(1)运用待定系数法即可求解; (2)作 轴于点 ,交 于点 ,根据一次函数,反比例函数可得 的值,根据勾股定理 可得AB的值,由此可求出 的值,根据相似三角形的判定和性质可得 的值,由此可求出点 的坐标,可得 的长度,根据三角形的面积公式即可求解; (3)根据题意可得 ,由此可用含 的式子表示 的面积,根据二次函数最大 值的计算方法即可求解. 【详解】(1)解:根据题意,把点 代入直线 得, , ∴ ,即 , ∴ , ∴ ; (2)解:如图所示,过点 作 轴于点 , 与 轴交于点 , 直线 与 轴交于点 , 令 ,则 , 解得, ,即 , ∴ , , ∴ , ∵ , 97关注公众号:陆陆高分冲刺 ~领取:最新版“小中高考-总复习”、最新试卷下载 ∴ ,则 , ∵ 轴, , ,即 , ∴ , ∴点 的横坐标为 , ∴当 时, ,即 , ∴点 的纵坐标为 ,且由(1)可得反比例函数解析式为 , ∴当 时, , 解得, ,即 , ∴ , ∴ , ∴ 的面积为 ; (3)解:直线 沿 轴平移,设 ,则 , ∵ , ∴ , ∴ ∴ , ∵ , ∴当 时, 的面积最大,且最大值为 . 98关注公众号:陆陆高分冲刺 ~领取:最新版“小中高考-总复习”、最新试卷下载 【点睛】本题主要考查一次函数,反比例函数的综合,掌握待定系数法求解析式,一次函数图象,反比例 函数图象的性质,相似三角形的判定和性质,二次函数求最值的计算方法是等知识是解题的关键. 2.(2024·湖南长沙·模拟预测)若定义纵坐标与横坐标平方的差为常数的点为“晨点” (1)当这个常数为 时,下列函数存在“晨点”的请划“ ”,不存在的请划“ ”. ① ( ) ② ( ) ③ ( ) (2)若二次函数 有且只有一个“晨点”,且点 关于该二次函数的“晨点”的对称点恰 好也是“晨点”,求这个二次函数的解析式; (3)已知 , ,其中 ,“晨点” 在 轴上,直线 和直线 上的另一个“晨点” 分别为 , ,若四边形 能组成平行四边形,且有四边形 面积不超过 ,则四边形周长是否 存在最大值,如果存在,请求出最大值,如果不存在请说明理由. 【答案】(1) ; ; (2) (3)四边形 的周长最大值为8 【分析】( )根据定义列式: ,逐一代入判断,即可求解, (2)设常数为 ,则: ,整理得: ,根据二次函数 有且只有一个“晨点”,得到方程 只有一个实根,当 ,且 时, ,该二次函数的“晨点”坐标为 ,设点 关于该二次函数的“晨 99关注公众号:陆陆高分冲刺 ~领取:最新版“小中高考-总复习”、最新试卷下载 点”的对称点坐标为 ,根据中点公式得到 ,即: ,根据 也是 “晨点”,得到 ,将 代入,即可求解, (3)设 ,由 是“晨点”,得到常数为: ,代入法求出直线 的解析式为: , 直线 的解析式为: ,设 , ,结合直线 和直线 上的另一 个“晨点”分别为 , ,得到: , ,进而得到 , ,代入得 , ,由四边形 能组成平行四边形,根据中点公式得到 , 解得: , ,得到: , , , , 是矩形,得到 , ,由 ,解得: ,代入 ,即可求解, 【点睛】本题考查了根的判别式,反比例函数的增减性,二次函数的增减性,平行四边形的性质,解题的 关键是:根据题意列出等量关系. 【详解】(1)解:① ,即: , ∵ , ∴ 无实根, ∴ 不存在常数为1的“晨点”, ② ,即: , 100关注公众号:陆陆高分冲刺 ~领取:最新版“小中高考-总复习”、最新试卷下载 当 时,函数 随 增大而减小, 随 增大而增大,必然存在交点, ∴ 存在常数为1的“晨点”, ③ ,即: , ∵ , ∴ 无实根, ∴ 不存在常数为1的“晨点”, 故答案为: ; ; , (2)解:设常数为 ,则: ,即: ,整理得: , ∵二次函数 有且只有一个“晨点”, ∴方程 只有一个实根, 当 ,且 时, , ∴该二次函数的“晨点”坐标为 , 设点 关于该二次函数的“晨点”的对称点坐标为 , 则: ,即: , ∵ 也是“晨点”, ∴ ,代入得: , ∴ ,解得: , 101关注公众号:陆陆高分冲刺 ~领取:最新版“小中高考-总复习”、最新试卷下载 故答案为: , (3)解:设 , ∵ 是“晨点”, ∴常数为: , 设直线 的解析式为: ,则: ,解得: , ∴直线 的解析式为: , 设直线 的解析式为: ,则: ,解得: , ∴直线 的解析式为: , ∵直线 和直线 上的另一个“晨点”分别为 , , ∴设 , ,则: , , 整理得: , , ∵ , , ∴ , , ∴ , , 当四边形 能组成平行四边形时, ,整理得: , ∵ , ∴ ,且 , ∴ , , 102关注公众号:陆陆高分冲刺 ~领取:最新版“小中高考-总复习”、最新试卷下载 则: , , , , ∴ 是矩形, ∴ , , ∴ ,解得: , 边形 的周长为: , 故答案为:四边形 的周长最大值为8. 103