当前位置:首页>文档>专题02函数及其性质(讲练)(解析版)_02中考总复习(2026版更新中)_02-数学-中考总复习_2024年中考复习资料_二轮复习资料_完2024年中考数学二轮复习课件+讲义+练习(全国通用)

专题02函数及其性质(讲练)(解析版)_02中考总复习(2026版更新中)_02-数学-中考总复习_2024年中考复习资料_二轮复习资料_完2024年中考数学二轮复习课件+讲义+练习(全国通用)

  • 2026-05-13 23:32:52 2026-04-04 05:45:47

文档预览

专题02函数及其性质(讲练)(解析版)_02中考总复习(2026版更新中)_02-数学-中考总复习_2024年中考复习资料_二轮复习资料_完2024年中考数学二轮复习课件+讲义+练习(全国通用)
专题02函数及其性质(讲练)(解析版)_02中考总复习(2026版更新中)_02-数学-中考总复习_2024年中考复习资料_二轮复习资料_完2024年中考数学二轮复习课件+讲义+练习(全国通用)
专题02函数及其性质(讲练)(解析版)_02中考总复习(2026版更新中)_02-数学-中考总复习_2024年中考复习资料_二轮复习资料_完2024年中考数学二轮复习课件+讲义+练习(全国通用)
专题02函数及其性质(讲练)(解析版)_02中考总复习(2026版更新中)_02-数学-中考总复习_2024年中考复习资料_二轮复习资料_完2024年中考数学二轮复习课件+讲义+练习(全国通用)
专题02函数及其性质(讲练)(解析版)_02中考总复习(2026版更新中)_02-数学-中考总复习_2024年中考复习资料_二轮复习资料_完2024年中考数学二轮复习课件+讲义+练习(全国通用)
专题02函数及其性质(讲练)(解析版)_02中考总复习(2026版更新中)_02-数学-中考总复习_2024年中考复习资料_二轮复习资料_完2024年中考数学二轮复习课件+讲义+练习(全国通用)
专题02函数及其性质(讲练)(解析版)_02中考总复习(2026版更新中)_02-数学-中考总复习_2024年中考复习资料_二轮复习资料_完2024年中考数学二轮复习课件+讲义+练习(全国通用)
专题02函数及其性质(讲练)(解析版)_02中考总复习(2026版更新中)_02-数学-中考总复习_2024年中考复习资料_二轮复习资料_完2024年中考数学二轮复习课件+讲义+练习(全国通用)
专题02函数及其性质(讲练)(解析版)_02中考总复习(2026版更新中)_02-数学-中考总复习_2024年中考复习资料_二轮复习资料_完2024年中考数学二轮复习课件+讲义+练习(全国通用)
专题02函数及其性质(讲练)(解析版)_02中考总复习(2026版更新中)_02-数学-中考总复习_2024年中考复习资料_二轮复习资料_完2024年中考数学二轮复习课件+讲义+练习(全国通用)
专题02函数及其性质(讲练)(解析版)_02中考总复习(2026版更新中)_02-数学-中考总复习_2024年中考复习资料_二轮复习资料_完2024年中考数学二轮复习课件+讲义+练习(全国通用)
专题02函数及其性质(讲练)(解析版)_02中考总复习(2026版更新中)_02-数学-中考总复习_2024年中考复习资料_二轮复习资料_完2024年中考数学二轮复习课件+讲义+练习(全国通用)
专题02函数及其性质(讲练)(解析版)_02中考总复习(2026版更新中)_02-数学-中考总复习_2024年中考复习资料_二轮复习资料_完2024年中考数学二轮复习课件+讲义+练习(全国通用)
专题02函数及其性质(讲练)(解析版)_02中考总复习(2026版更新中)_02-数学-中考总复习_2024年中考复习资料_二轮复习资料_完2024年中考数学二轮复习课件+讲义+练习(全国通用)
专题02函数及其性质(讲练)(解析版)_02中考总复习(2026版更新中)_02-数学-中考总复习_2024年中考复习资料_二轮复习资料_完2024年中考数学二轮复习课件+讲义+练习(全国通用)
专题02函数及其性质(讲练)(解析版)_02中考总复习(2026版更新中)_02-数学-中考总复习_2024年中考复习资料_二轮复习资料_完2024年中考数学二轮复习课件+讲义+练习(全国通用)
专题02函数及其性质(讲练)(解析版)_02中考总复习(2026版更新中)_02-数学-中考总复习_2024年中考复习资料_二轮复习资料_完2024年中考数学二轮复习课件+讲义+练习(全国通用)
专题02函数及其性质(讲练)(解析版)_02中考总复习(2026版更新中)_02-数学-中考总复习_2024年中考复习资料_二轮复习资料_完2024年中考数学二轮复习课件+讲义+练习(全国通用)
专题02函数及其性质(讲练)(解析版)_02中考总复习(2026版更新中)_02-数学-中考总复习_2024年中考复习资料_二轮复习资料_完2024年中考数学二轮复习课件+讲义+练习(全国通用)
专题02函数及其性质(讲练)(解析版)_02中考总复习(2026版更新中)_02-数学-中考总复习_2024年中考复习资料_二轮复习资料_完2024年中考数学二轮复习课件+讲义+练习(全国通用)
专题02函数及其性质(讲练)(解析版)_02中考总复习(2026版更新中)_02-数学-中考总复习_2024年中考复习资料_二轮复习资料_完2024年中考数学二轮复习课件+讲义+练习(全国通用)
专题02函数及其性质(讲练)(解析版)_02中考总复习(2026版更新中)_02-数学-中考总复习_2024年中考复习资料_二轮复习资料_完2024年中考数学二轮复习课件+讲义+练习(全国通用)
专题02函数及其性质(讲练)(解析版)_02中考总复习(2026版更新中)_02-数学-中考总复习_2024年中考复习资料_二轮复习资料_完2024年中考数学二轮复习课件+讲义+练习(全国通用)
专题02函数及其性质(讲练)(解析版)_02中考总复习(2026版更新中)_02-数学-中考总复习_2024年中考复习资料_二轮复习资料_完2024年中考数学二轮复习课件+讲义+练习(全国通用)
专题02函数及其性质(讲练)(解析版)_02中考总复习(2026版更新中)_02-数学-中考总复习_2024年中考复习资料_二轮复习资料_完2024年中考数学二轮复习课件+讲义+练习(全国通用)
专题02函数及其性质(讲练)(解析版)_02中考总复习(2026版更新中)_02-数学-中考总复习_2024年中考复习资料_二轮复习资料_完2024年中考数学二轮复习课件+讲义+练习(全国通用)
专题02函数及其性质(讲练)(解析版)_02中考总复习(2026版更新中)_02-数学-中考总复习_2024年中考复习资料_二轮复习资料_完2024年中考数学二轮复习课件+讲义+练习(全国通用)
专题02函数及其性质(讲练)(解析版)_02中考总复习(2026版更新中)_02-数学-中考总复习_2024年中考复习资料_二轮复习资料_完2024年中考数学二轮复习课件+讲义+练习(全国通用)
专题02函数及其性质(讲练)(解析版)_02中考总复习(2026版更新中)_02-数学-中考总复习_2024年中考复习资料_二轮复习资料_完2024年中考数学二轮复习课件+讲义+练习(全国通用)
专题02函数及其性质(讲练)(解析版)_02中考总复习(2026版更新中)_02-数学-中考总复习_2024年中考复习资料_二轮复习资料_完2024年中考数学二轮复习课件+讲义+练习(全国通用)
专题02函数及其性质(讲练)(解析版)_02中考总复习(2026版更新中)_02-数学-中考总复习_2024年中考复习资料_二轮复习资料_完2024年中考数学二轮复习课件+讲义+练习(全国通用)
专题02函数及其性质(讲练)(解析版)_02中考总复习(2026版更新中)_02-数学-中考总复习_2024年中考复习资料_二轮复习资料_完2024年中考数学二轮复习课件+讲义+练习(全国通用)
专题02函数及其性质(讲练)(解析版)_02中考总复习(2026版更新中)_02-数学-中考总复习_2024年中考复习资料_二轮复习资料_完2024年中考数学二轮复习课件+讲义+练习(全国通用)
专题02函数及其性质(讲练)(解析版)_02中考总复习(2026版更新中)_02-数学-中考总复习_2024年中考复习资料_二轮复习资料_完2024年中考数学二轮复习课件+讲义+练习(全国通用)
专题02函数及其性质(讲练)(解析版)_02中考总复习(2026版更新中)_02-数学-中考总复习_2024年中考复习资料_二轮复习资料_完2024年中考数学二轮复习课件+讲义+练习(全国通用)
专题02函数及其性质(讲练)(解析版)_02中考总复习(2026版更新中)_02-数学-中考总复习_2024年中考复习资料_二轮复习资料_完2024年中考数学二轮复习课件+讲义+练习(全国通用)
专题02函数及其性质(讲练)(解析版)_02中考总复习(2026版更新中)_02-数学-中考总复习_2024年中考复习资料_二轮复习资料_完2024年中考数学二轮复习课件+讲义+练习(全国通用)
专题02函数及其性质(讲练)(解析版)_02中考总复习(2026版更新中)_02-数学-中考总复习_2024年中考复习资料_二轮复习资料_完2024年中考数学二轮复习课件+讲义+练习(全国通用)
专题02函数及其性质(讲练)(解析版)_02中考总复习(2026版更新中)_02-数学-中考总复习_2024年中考复习资料_二轮复习资料_完2024年中考数学二轮复习课件+讲义+练习(全国通用)
专题02函数及其性质(讲练)(解析版)_02中考总复习(2026版更新中)_02-数学-中考总复习_2024年中考复习资料_二轮复习资料_完2024年中考数学二轮复习课件+讲义+练习(全国通用)
专题02函数及其性质(讲练)(解析版)_02中考总复习(2026版更新中)_02-数学-中考总复习_2024年中考复习资料_二轮复习资料_完2024年中考数学二轮复习课件+讲义+练习(全国通用)
专题02函数及其性质(讲练)(解析版)_02中考总复习(2026版更新中)_02-数学-中考总复习_2024年中考复习资料_二轮复习资料_完2024年中考数学二轮复习课件+讲义+练习(全国通用)
专题02函数及其性质(讲练)(解析版)_02中考总复习(2026版更新中)_02-数学-中考总复习_2024年中考复习资料_二轮复习资料_完2024年中考数学二轮复习课件+讲义+练习(全国通用)
专题02函数及其性质(讲练)(解析版)_02中考总复习(2026版更新中)_02-数学-中考总复习_2024年中考复习资料_二轮复习资料_完2024年中考数学二轮复习课件+讲义+练习(全国通用)
专题02函数及其性质(讲练)(解析版)_02中考总复习(2026版更新中)_02-数学-中考总复习_2024年中考复习资料_二轮复习资料_完2024年中考数学二轮复习课件+讲义+练习(全国通用)
专题02函数及其性质(讲练)(解析版)_02中考总复习(2026版更新中)_02-数学-中考总复习_2024年中考复习资料_二轮复习资料_完2024年中考数学二轮复习课件+讲义+练习(全国通用)
专题02函数及其性质(讲练)(解析版)_02中考总复习(2026版更新中)_02-数学-中考总复习_2024年中考复习资料_二轮复习资料_完2024年中考数学二轮复习课件+讲义+练习(全国通用)
专题02函数及其性质(讲练)(解析版)_02中考总复习(2026版更新中)_02-数学-中考总复习_2024年中考复习资料_二轮复习资料_完2024年中考数学二轮复习课件+讲义+练习(全国通用)
专题02函数及其性质(讲练)(解析版)_02中考总复习(2026版更新中)_02-数学-中考总复习_2024年中考复习资料_二轮复习资料_完2024年中考数学二轮复习课件+讲义+练习(全国通用)
专题02函数及其性质(讲练)(解析版)_02中考总复习(2026版更新中)_02-数学-中考总复习_2024年中考复习资料_二轮复习资料_完2024年中考数学二轮复习课件+讲义+练习(全国通用)
专题02函数及其性质(讲练)(解析版)_02中考总复习(2026版更新中)_02-数学-中考总复习_2024年中考复习资料_二轮复习资料_完2024年中考数学二轮复习课件+讲义+练习(全国通用)
专题02函数及其性质(讲练)(解析版)_02中考总复习(2026版更新中)_02-数学-中考总复习_2024年中考复习资料_二轮复习资料_完2024年中考数学二轮复习课件+讲义+练习(全国通用)
专题02函数及其性质(讲练)(解析版)_02中考总复习(2026版更新中)_02-数学-中考总复习_2024年中考复习资料_二轮复习资料_完2024年中考数学二轮复习课件+讲义+练习(全国通用)
专题02函数及其性质(讲练)(解析版)_02中考总复习(2026版更新中)_02-数学-中考总复习_2024年中考复习资料_二轮复习资料_完2024年中考数学二轮复习课件+讲义+练习(全国通用)
专题02函数及其性质(讲练)(解析版)_02中考总复习(2026版更新中)_02-数学-中考总复习_2024年中考复习资料_二轮复习资料_完2024年中考数学二轮复习课件+讲义+练习(全国通用)
专题02函数及其性质(讲练)(解析版)_02中考总复习(2026版更新中)_02-数学-中考总复习_2024年中考复习资料_二轮复习资料_完2024年中考数学二轮复习课件+讲义+练习(全国通用)
专题02函数及其性质(讲练)(解析版)_02中考总复习(2026版更新中)_02-数学-中考总复习_2024年中考复习资料_二轮复习资料_完2024年中考数学二轮复习课件+讲义+练习(全国通用)
专题02函数及其性质(讲练)(解析版)_02中考总复习(2026版更新中)_02-数学-中考总复习_2024年中考复习资料_二轮复习资料_完2024年中考数学二轮复习课件+讲义+练习(全国通用)
专题02函数及其性质(讲练)(解析版)_02中考总复习(2026版更新中)_02-数学-中考总复习_2024年中考复习资料_二轮复习资料_完2024年中考数学二轮复习课件+讲义+练习(全国通用)
专题02函数及其性质(讲练)(解析版)_02中考总复习(2026版更新中)_02-数学-中考总复习_2024年中考复习资料_二轮复习资料_完2024年中考数学二轮复习课件+讲义+练习(全国通用)
专题02函数及其性质(讲练)(解析版)_02中考总复习(2026版更新中)_02-数学-中考总复习_2024年中考复习资料_二轮复习资料_完2024年中考数学二轮复习课件+讲义+练习(全国通用)
专题02函数及其性质(讲练)(解析版)_02中考总复习(2026版更新中)_02-数学-中考总复习_2024年中考复习资料_二轮复习资料_完2024年中考数学二轮复习课件+讲义+练习(全国通用)
专题02函数及其性质(讲练)(解析版)_02中考总复习(2026版更新中)_02-数学-中考总复习_2024年中考复习资料_二轮复习资料_完2024年中考数学二轮复习课件+讲义+练习(全国通用)
专题02函数及其性质(讲练)(解析版)_02中考总复习(2026版更新中)_02-数学-中考总复习_2024年中考复习资料_二轮复习资料_完2024年中考数学二轮复习课件+讲义+练习(全国通用)
专题02函数及其性质(讲练)(解析版)_02中考总复习(2026版更新中)_02-数学-中考总复习_2024年中考复习资料_二轮复习资料_完2024年中考数学二轮复习课件+讲义+练习(全国通用)
专题02函数及其性质(讲练)(解析版)_02中考总复习(2026版更新中)_02-数学-中考总复习_2024年中考复习资料_二轮复习资料_完2024年中考数学二轮复习课件+讲义+练习(全国通用)
专题02函数及其性质(讲练)(解析版)_02中考总复习(2026版更新中)_02-数学-中考总复习_2024年中考复习资料_二轮复习资料_完2024年中考数学二轮复习课件+讲义+练习(全国通用)
专题02函数及其性质(讲练)(解析版)_02中考总复习(2026版更新中)_02-数学-中考总复习_2024年中考复习资料_二轮复习资料_完2024年中考数学二轮复习课件+讲义+练习(全国通用)
专题02函数及其性质(讲练)(解析版)_02中考总复习(2026版更新中)_02-数学-中考总复习_2024年中考复习资料_二轮复习资料_完2024年中考数学二轮复习课件+讲义+练习(全国通用)
专题02函数及其性质(讲练)(解析版)_02中考总复习(2026版更新中)_02-数学-中考总复习_2024年中考复习资料_二轮复习资料_完2024年中考数学二轮复习课件+讲义+练习(全国通用)
专题02函数及其性质(讲练)(解析版)_02中考总复习(2026版更新中)_02-数学-中考总复习_2024年中考复习资料_二轮复习资料_完2024年中考数学二轮复习课件+讲义+练习(全国通用)
专题02函数及其性质(讲练)(解析版)_02中考总复习(2026版更新中)_02-数学-中考总复习_2024年中考复习资料_二轮复习资料_完2024年中考数学二轮复习课件+讲义+练习(全国通用)
专题02函数及其性质(讲练)(解析版)_02中考总复习(2026版更新中)_02-数学-中考总复习_2024年中考复习资料_二轮复习资料_完2024年中考数学二轮复习课件+讲义+练习(全国通用)
专题02函数及其性质(讲练)(解析版)_02中考总复习(2026版更新中)_02-数学-中考总复习_2024年中考复习资料_二轮复习资料_完2024年中考数学二轮复习课件+讲义+练习(全国通用)
专题02函数及其性质(讲练)(解析版)_02中考总复习(2026版更新中)_02-数学-中考总复习_2024年中考复习资料_二轮复习资料_完2024年中考数学二轮复习课件+讲义+练习(全国通用)
专题02函数及其性质(讲练)(解析版)_02中考总复习(2026版更新中)_02-数学-中考总复习_2024年中考复习资料_二轮复习资料_完2024年中考数学二轮复习课件+讲义+练习(全国通用)
专题02函数及其性质(讲练)(解析版)_02中考总复习(2026版更新中)_02-数学-中考总复习_2024年中考复习资料_二轮复习资料_完2024年中考数学二轮复习课件+讲义+练习(全国通用)
专题02函数及其性质(讲练)(解析版)_02中考总复习(2026版更新中)_02-数学-中考总复习_2024年中考复习资料_二轮复习资料_完2024年中考数学二轮复习课件+讲义+练习(全国通用)
专题02函数及其性质(讲练)(解析版)_02中考总复习(2026版更新中)_02-数学-中考总复习_2024年中考复习资料_二轮复习资料_完2024年中考数学二轮复习课件+讲义+练习(全国通用)
专题02函数及其性质(讲练)(解析版)_02中考总复习(2026版更新中)_02-数学-中考总复习_2024年中考复习资料_二轮复习资料_完2024年中考数学二轮复习课件+讲义+练习(全国通用)
专题02函数及其性质(讲练)(解析版)_02中考总复习(2026版更新中)_02-数学-中考总复习_2024年中考复习资料_二轮复习资料_完2024年中考数学二轮复习课件+讲义+练习(全国通用)
专题02函数及其性质(讲练)(解析版)_02中考总复习(2026版更新中)_02-数学-中考总复习_2024年中考复习资料_二轮复习资料_完2024年中考数学二轮复习课件+讲义+练习(全国通用)
专题02函数及其性质(讲练)(解析版)_02中考总复习(2026版更新中)_02-数学-中考总复习_2024年中考复习资料_二轮复习资料_完2024年中考数学二轮复习课件+讲义+练习(全国通用)
专题02函数及其性质(讲练)(解析版)_02中考总复习(2026版更新中)_02-数学-中考总复习_2024年中考复习资料_二轮复习资料_完2024年中考数学二轮复习课件+讲义+练习(全国通用)
专题02函数及其性质(讲练)(解析版)_02中考总复习(2026版更新中)_02-数学-中考总复习_2024年中考复习资料_二轮复习资料_完2024年中考数学二轮复习课件+讲义+练习(全国通用)
专题02函数及其性质(讲练)(解析版)_02中考总复习(2026版更新中)_02-数学-中考总复习_2024年中考复习资料_二轮复习资料_完2024年中考数学二轮复习课件+讲义+练习(全国通用)
专题02函数及其性质(讲练)(解析版)_02中考总复习(2026版更新中)_02-数学-中考总复习_2024年中考复习资料_二轮复习资料_完2024年中考数学二轮复习课件+讲义+练习(全国通用)
专题02函数及其性质(讲练)(解析版)_02中考总复习(2026版更新中)_02-数学-中考总复习_2024年中考复习资料_二轮复习资料_完2024年中考数学二轮复习课件+讲义+练习(全国通用)
专题02函数及其性质(讲练)(解析版)_02中考总复习(2026版更新中)_02-数学-中考总复习_2024年中考复习资料_二轮复习资料_完2024年中考数学二轮复习课件+讲义+练习(全国通用)
专题02函数及其性质(讲练)(解析版)_02中考总复习(2026版更新中)_02-数学-中考总复习_2024年中考复习资料_二轮复习资料_完2024年中考数学二轮复习课件+讲义+练习(全国通用)
专题02函数及其性质(讲练)(解析版)_02中考总复习(2026版更新中)_02-数学-中考总复习_2024年中考复习资料_二轮复习资料_完2024年中考数学二轮复习课件+讲义+练习(全国通用)
专题02函数及其性质(讲练)(解析版)_02中考总复习(2026版更新中)_02-数学-中考总复习_2024年中考复习资料_二轮复习资料_完2024年中考数学二轮复习课件+讲义+练习(全国通用)
专题02函数及其性质(讲练)(解析版)_02中考总复习(2026版更新中)_02-数学-中考总复习_2024年中考复习资料_二轮复习资料_完2024年中考数学二轮复习课件+讲义+练习(全国通用)
专题02函数及其性质(讲练)(解析版)_02中考总复习(2026版更新中)_02-数学-中考总复习_2024年中考复习资料_二轮复习资料_完2024年中考数学二轮复习课件+讲义+练习(全国通用)
专题02函数及其性质(讲练)(解析版)_02中考总复习(2026版更新中)_02-数学-中考总复习_2024年中考复习资料_二轮复习资料_完2024年中考数学二轮复习课件+讲义+练习(全国通用)
专题02函数及其性质(讲练)(解析版)_02中考总复习(2026版更新中)_02-数学-中考总复习_2024年中考复习资料_二轮复习资料_完2024年中考数学二轮复习课件+讲义+练习(全国通用)
专题02函数及其性质(讲练)(解析版)_02中考总复习(2026版更新中)_02-数学-中考总复习_2024年中考复习资料_二轮复习资料_完2024年中考数学二轮复习课件+讲义+练习(全国通用)
专题02函数及其性质(讲练)(解析版)_02中考总复习(2026版更新中)_02-数学-中考总复习_2024年中考复习资料_二轮复习资料_完2024年中考数学二轮复习课件+讲义+练习(全国通用)
专题02函数及其性质(讲练)(解析版)_02中考总复习(2026版更新中)_02-数学-中考总复习_2024年中考复习资料_二轮复习资料_完2024年中考数学二轮复习课件+讲义+练习(全国通用)
专题02函数及其性质(讲练)(解析版)_02中考总复习(2026版更新中)_02-数学-中考总复习_2024年中考复习资料_二轮复习资料_完2024年中考数学二轮复习课件+讲义+练习(全国通用)
专题02函数及其性质(讲练)(解析版)_02中考总复习(2026版更新中)_02-数学-中考总复习_2024年中考复习资料_二轮复习资料_完2024年中考数学二轮复习课件+讲义+练习(全国通用)
专题02函数及其性质(讲练)(解析版)_02中考总复习(2026版更新中)_02-数学-中考总复习_2024年中考复习资料_二轮复习资料_完2024年中考数学二轮复习课件+讲义+练习(全国通用)
专题02函数及其性质(讲练)(解析版)_02中考总复习(2026版更新中)_02-数学-中考总复习_2024年中考复习资料_二轮复习资料_完2024年中考数学二轮复习课件+讲义+练习(全国通用)
专题02函数及其性质(讲练)(解析版)_02中考总复习(2026版更新中)_02-数学-中考总复习_2024年中考复习资料_二轮复习资料_完2024年中考数学二轮复习课件+讲义+练习(全国通用)
专题02函数及其性质(讲练)(解析版)_02中考总复习(2026版更新中)_02-数学-中考总复习_2024年中考复习资料_二轮复习资料_完2024年中考数学二轮复习课件+讲义+练习(全国通用)
专题02函数及其性质(讲练)(解析版)_02中考总复习(2026版更新中)_02-数学-中考总复习_2024年中考复习资料_二轮复习资料_完2024年中考数学二轮复习课件+讲义+练习(全国通用)
专题02函数及其性质(讲练)(解析版)_02中考总复习(2026版更新中)_02-数学-中考总复习_2024年中考复习资料_二轮复习资料_完2024年中考数学二轮复习课件+讲义+练习(全国通用)
专题02函数及其性质(讲练)(解析版)_02中考总复习(2026版更新中)_02-数学-中考总复习_2024年中考复习资料_二轮复习资料_完2024年中考数学二轮复习课件+讲义+练习(全国通用)
专题02函数及其性质(讲练)(解析版)_02中考总复习(2026版更新中)_02-数学-中考总复习_2024年中考复习资料_二轮复习资料_完2024年中考数学二轮复习课件+讲义+练习(全国通用)
专题02函数及其性质(讲练)(解析版)_02中考总复习(2026版更新中)_02-数学-中考总复习_2024年中考复习资料_二轮复习资料_完2024年中考数学二轮复习课件+讲义+练习(全国通用)
专题02函数及其性质(讲练)(解析版)_02中考总复习(2026版更新中)_02-数学-中考总复习_2024年中考复习资料_二轮复习资料_完2024年中考数学二轮复习课件+讲义+练习(全国通用)
专题02函数及其性质(讲练)(解析版)_02中考总复习(2026版更新中)_02-数学-中考总复习_2024年中考复习资料_二轮复习资料_完2024年中考数学二轮复习课件+讲义+练习(全国通用)
专题02函数及其性质(讲练)(解析版)_02中考总复习(2026版更新中)_02-数学-中考总复习_2024年中考复习资料_二轮复习资料_完2024年中考数学二轮复习课件+讲义+练习(全国通用)
专题02函数及其性质(讲练)(解析版)_02中考总复习(2026版更新中)_02-数学-中考总复习_2024年中考复习资料_二轮复习资料_完2024年中考数学二轮复习课件+讲义+练习(全国通用)
专题02函数及其性质(讲练)(解析版)_02中考总复习(2026版更新中)_02-数学-中考总复习_2024年中考复习资料_二轮复习资料_完2024年中考数学二轮复习课件+讲义+练习(全国通用)
专题02函数及其性质(讲练)(解析版)_02中考总复习(2026版更新中)_02-数学-中考总复习_2024年中考复习资料_二轮复习资料_完2024年中考数学二轮复习课件+讲义+练习(全国通用)
专题02函数及其性质(讲练)(解析版)_02中考总复习(2026版更新中)_02-数学-中考总复习_2024年中考复习资料_二轮复习资料_完2024年中考数学二轮复习课件+讲义+练习(全国通用)
专题02函数及其性质(讲练)(解析版)_02中考总复习(2026版更新中)_02-数学-中考总复习_2024年中考复习资料_二轮复习资料_完2024年中考数学二轮复习课件+讲义+练习(全国通用)
专题02函数及其性质(讲练)(解析版)_02中考总复习(2026版更新中)_02-数学-中考总复习_2024年中考复习资料_二轮复习资料_完2024年中考数学二轮复习课件+讲义+练习(全国通用)
专题02函数及其性质(讲练)(解析版)_02中考总复习(2026版更新中)_02-数学-中考总复习_2024年中考复习资料_二轮复习资料_完2024年中考数学二轮复习课件+讲义+练习(全国通用)
专题02函数及其性质(讲练)(解析版)_02中考总复习(2026版更新中)_02-数学-中考总复习_2024年中考复习资料_二轮复习资料_完2024年中考数学二轮复习课件+讲义+练习(全国通用)
专题02函数及其性质(讲练)(解析版)_02中考总复习(2026版更新中)_02-数学-中考总复习_2024年中考复习资料_二轮复习资料_完2024年中考数学二轮复习课件+讲义+练习(全国通用)
专题02函数及其性质(讲练)(解析版)_02中考总复习(2026版更新中)_02-数学-中考总复习_2024年中考复习资料_二轮复习资料_完2024年中考数学二轮复习课件+讲义+练习(全国通用)
专题02函数及其性质(讲练)(解析版)_02中考总复习(2026版更新中)_02-数学-中考总复习_2024年中考复习资料_二轮复习资料_完2024年中考数学二轮复习课件+讲义+练习(全国通用)
专题02函数及其性质(讲练)(解析版)_02中考总复习(2026版更新中)_02-数学-中考总复习_2024年中考复习资料_二轮复习资料_完2024年中考数学二轮复习课件+讲义+练习(全国通用)
专题02函数及其性质(讲练)(解析版)_02中考总复习(2026版更新中)_02-数学-中考总复习_2024年中考复习资料_二轮复习资料_完2024年中考数学二轮复习课件+讲义+练习(全国通用)
专题02函数及其性质(讲练)(解析版)_02中考总复习(2026版更新中)_02-数学-中考总复习_2024年中考复习资料_二轮复习资料_完2024年中考数学二轮复习课件+讲义+练习(全国通用)
专题02函数及其性质(讲练)(解析版)_02中考总复习(2026版更新中)_02-数学-中考总复习_2024年中考复习资料_二轮复习资料_完2024年中考数学二轮复习课件+讲义+练习(全国通用)
专题02函数及其性质(讲练)(解析版)_02中考总复习(2026版更新中)_02-数学-中考总复习_2024年中考复习资料_二轮复习资料_完2024年中考数学二轮复习课件+讲义+练习(全国通用)
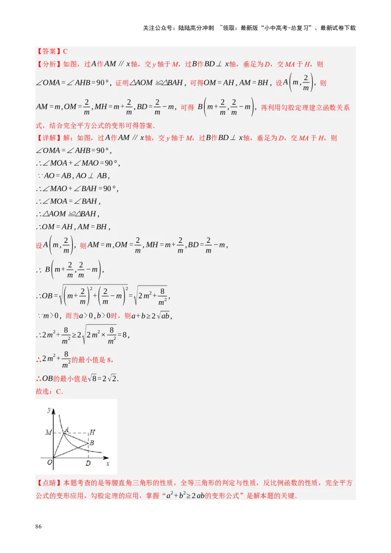
专题02函数及其性质(讲练)(解析版)_02中考总复习(2026版更新中)_02-数学-中考总复习_2024年中考复习资料_二轮复习资料_完2024年中考数学二轮复习课件+讲义+练习(全国通用)

文档信息

文档格式
docx
文档大小
4.966 MB
文档页数
126 页
上传时间
2026-04-04 05:45:47

文档内容

关注公众号:陆陆高分冲刺 ~领取:最新版“小中高考-总复习”、最新试卷下载 专题 02 函数及其性质 目 录 一、考情分析 二、知识建构 考点一 平面直角坐标系与函数 【真题研析 · 规律探寻】 题型01 由点在坐标系的位置确定坐标中未知数的值或取值范围 题型02 平面直角坐标系中面积问题 题型03 求平移后点的坐标 题型04 求旋转后点的坐标 题型05 求关于坐标轴对称后点的坐标 题型06 求自变量的取值范 题型07 函数图象的识别 题型08 画函数图象 题型09 动点问题的函数图象 【核心提炼 · 查漏补缺】 【好题必刷 · 强化落实】 考点二 一次函数、反比例函数、二次函数的性质 【真题研析 · 规律探寻】 题型01 正比例函数的图象与性质 题型02 求一次函数解析式 题型03一次函数的图象与性质 题型04 一次函数与方程、不等式 题型05 求反比例函数解析式 题型06 反比例函数的性质 题型07 反比例函数k的几何意义 题型08 反比例函数与一次函数综合 1关注公众号:陆陆高分冲刺 ~领取:最新版“小中高考-总复习”、最新试卷下载 题型09 反比例函数与几何综合 题型10 求二次函数的解析式 题型11 二次函数的图象与性质 题型12 二次函数的图象与各系数符号 题型13 二次函数与一次函数、反比例函数综合判断 题型14 求二次函数最值 题型15 二次函数的平移问题 【核心提炼 · 查漏补缺】 【好题必刷 · 强化落实】 2关注公众号:陆陆高分冲刺 ~领取:最新版“小中高考-总复习”、最新试卷下载 考点要求 命题预测 该专题内容是初中代数最重要的部分,是代数的基础,非常重要,年年都会考查,分值为 平面直角坐 10分左右.预计2024年各地中考还将出现,在选择、填空题中出现的可能性较大. 标系与函数 一次函数在中考数学中主要考察其图象、性质以及其简单应用,其中,图象的性质经常 以选择、填空题形式出现,而简单应用题型的考察较为灵活,单独考察一次函数的题目占比 并不是很多,更多的是考察一次函数与其他几何知识的结合. 反比例函数在中考数学中主要考察其图象与性质,常和一次函数的图象结合考察,题型 一次函数、 以选择题为主;另外,在填空题中,对反比例函数点的坐标特征考察的比较多,而且难度逐 反比例函 增大,考题常结合其他规则几何图形的性质一起出题,多数题目的技巧性较强,复习中需要 数、二次函 多加注意.另外解答题中还会考察反比例函数的解析式的确定,也是常和一次函数结合,顺 数的性质 带也会考察其与不等式的关系. 在中考中,二次函数的出题形式不固定,题目的难度都在中上等,也常作为中考中难度 较大的一类压轴题的问题背景,占的分值也较高.而考察的内容主要有:二次函数图象与性 质、解析式的求法、几何变化、以及函数与几何图形相关的综合应用等. 3关注公众号:陆陆高分冲刺 ~领取:最新版“小中高考-总复习”、最新试卷下载 考点一 平面直角坐标系与函数 题型01 由点在坐标系的位置确定坐标中未知数的值或取值范围 第一象限 x>0,y>0 第二象限 x<0,y>0 在象限内 第三象限 x<0,y<0 第四象限 x>0,y<0 x轴 y=0 4关注公众号:陆陆高分冲刺 ~领取:最新版“小中高考-总复习”、最新试卷下载 点P(x,y) 坐标轴上 y轴 x=0 的位置 原点 x=y=0 在角平分线上 第一、三象限 x=y 第二、四象限 x= -y 平行x轴 所有点的 纵 坐标相等 在平行坐标轴的直线上 平行y轴 所有点的 横 坐标相等 1.(2023·山东日照·统考中考真题)若点M(m+3,m−1)在第四象限,则m的取值范围是 . 【答案】−3m>−3 【分析】根据第四象限的点横坐标为正,纵坐标为负进行求解即可. 【详解】解:∵点M(m+3,m−1)在第四象限, ∴¿, 解得−30,根据a为正整数,则a>0,即可. 【详解】∵点P(4,2−a)在第一象限中, ∴2−a>0, ∴a<2, ∵a为正整数, ∴a>0, ∴02,且x≠3 【答案】A 【分析】根据分式与二次根式的性质即可求解. 【详解】依题意可得x-3≠0,x-2≥0 解得x≥2,且x≠3 故选A. 【点睛】此题主要考查函数的自变量取值,解题的关键是熟知分式与二次根式的性质. √x+1 2.(2022·湖北恩施·统考中考真题)函数y= 的自变量x的取值范围是( ) x−3 A.x≠3 B.x≥3 C.x≥−1且x≠3 D.x≥−1 【答案】C 【分析】根据分式有意义的条件与二次根式有意义的条件得出不等式组,解不等式组即可求解. √x+1 【详解】解:∵ 有意义, x−3 ∴x+1≥0,x−3≠0, 解得x≥−1且x≠3, 故选C. 【点睛】本题考查了求函数自变量的取值范围,掌握分式有意义的条件与二次根式有意义的条件是解题的 关键. 25关注公众号:陆陆高分冲刺 ~领取:最新版“小中高考-总复习”、最新试卷下载 1 3.(2022·湖南娄底·统考中考真题)函数y= 的自变量x的取值范围是 . √x−1 【答案】x>1 1 【分析】由 有意义可得:x−1>0,再解不等式可得答案. √x−1 1 【详解】解:由 有意义可得: √x−1 x−1≥0 { , 即x−1>0, √x−1≠0 解得:x>1. 故答案为:x>1 【点睛】本题考查的是二次根式与分式有意义的条件,函数自变量的取值范围,理解函数自变量的取值范 围的含义是解本题的关键. 题型07 函数图象的识别 1.(2023·浙江绍兴·统考中考真题)已知点M(−4,a−2),N(−2,a),P(2,a)在同一个函数图象上,则这 个函数图象可能是( ) A. B. C. D. 【答案】B 【分析】点M(−4,a−2),N(−2,a),P(2,a)在同一个函数图象上,可得N、P关于y轴对称,当x<0时, y随x的增大而增大,即可得出答案. 【详解】解:∵N(−2,a),P(2,a), ∴得N、P关于y轴对称, ∴选项A、C错误, ∵M(−4,a−2),N(−2,a)在同一个函数图象上, ∴当x<0时,y随x的增大而增大, ∴选项D错误,选项B正确. 故选:B. 【点睛】此题考查了函数的图象.注意掌握排除法在选择题中的应用是解此题的关键. 2.(2022·青海·统考中考真题)2022年2月5日,电影《长津湖》在青海剧场首映,小李一家开车去观看. 最初以某一速度匀速行驶,中途停车加油耽误了十几分钟,为了按时到达剧场,小李在不违反交通规则的 前提下加快了速度,仍保持匀速行驶.在此行驶过程中,汽车离剧场的距离y(千米)与行驶时间t(小时) 26关注公众号:陆陆高分冲刺 ~领取:最新版“小中高考-总复习”、最新试卷下载 的函数关系的大致图象是( ) A. B. C. D. 【答案】B 【分析】首先看清横轴和纵轴表示的量,然后根据实际情况:汽车行驶的路程y与行驶的时间t之间的关 系进行判断即可. 【详解】解:由题意可得函数图像分为三段:第一段由左向右呈下降趋势,第二段与x轴平行,第三段由 左向右呈下降趋势,且比第一段更陡,故选项B符合, 随着时间的增多,汽车离剧场的距离越来越近,即离x轴越来越近,排除A、C、D; 故选:B. 【点睛】此题主要考查了函数图象,解题的关键是根据函数图象的性质分析得出函数的类型和所需要的条 件,结合实际意义得到正确的结论. 3.(2023·山东滨州·统考中考真题)由化学知识可知,用pH表示溶液酸碱性的强弱程度,当pH>7时溶液 呈碱性,当pH<7时溶液呈酸性.若将给定的NaOH溶液加水稀释,那么在下列图象中,能大致反映NaOH溶 液的pH与所加水的体积V之间对应关系的是( ) A. B. C. D. 【答案】B 【分析】根据题意,NaOH溶液呈碱性,随着加入水的体积的增加,溶液的浓度越来越低,pH的值则接近 7,据此即可求解. 【详解】解:∵NaOH溶液呈碱性,则pH>7,随着加入水的体积的增加,溶液的浓度越来越低,pH的值则 接近7, 故选:B. 【点睛】本题考查了函数的图象,数形结合是解题的关键. 4.(2023·四川·统考中考真题)向高为10的容器(形状如图)中注水,注满为止,则水深h与注水量v的 函数关系的大致图象是( ) A. B. C. D. 【答案】D 【分析】从水瓶的构造形状上看,从底部到顶部的变化关系为:开始宽,逐渐细小,再变宽,再从函数的 27关注公众号:陆陆高分冲刺 ~领取:最新版“小中高考-总复习”、最新试卷下载 图象上看,选出答案. 【详解】解:从水瓶的构造形状上看,从底部到顶部的变化关系为:开始宽,逐渐细小,再变宽. 则注入的水量v随水深h的变化关系为:先慢再快,最后又变慢, 那么从函数的图象上看, C对应的图象变化为先快再慢,最后又变快,不符合; A、B对应的图象中间没有变化,只有D符合条件. 故选:D. 【点睛】本题主要考查函数的定义及函数的图象的关系,抓住变量之间的变化关系是解题的关键. 题型08 画函数图象 【解题技巧】此类题型考查利用列表法画函数图象,根据函数图象获取信息,画出函数图象,从函数图象 获取信息是解题的关键. 1.(2022·山东临沂·统考中考真题)杠杆原理在生活中被广泛应用(杠杆原理:阻力×阻力臂=动力×动力 臂),小明利用这一原理制作了一个称量物体质量的简易“秤”(如图1).制作方法如下: 第一步:在一根匀质细木杆上标上均匀的刻度(单位长度1cm),确定支点O,并用细麻绳固定,在支点 O左侧2cm的A处固定一个金属吊钩,作为秤钩; 第二步:取一个质量为0.5kg的金属物体作为秤砣. (1)图1中,把重物挂在秤钩上,秤砣挂在支点О右侧的B处,秤杆平衡,就能称得重物的质量.当重物的 质量变化时,OB的长度随之变化.设重物的质量为xkg,OB的长为ycm.写出y关于x的函数解析式; 若00, ∴y随x的增大而增大, ∵当y=0时,x=0;当y=48时,x=12, ∴00,y<0,进而求解. 1 【详解】解:由函数y=− −√x,可得自变量的范围为:x>0,可得:y<0, √x 1 所以函数y=− −√x的图象位于第四象限, √x 故选:A. 【点睛】本题考查了函数的图象,正确求得x>0,y<0是解题的关键. 2.(2023·黑龙江绥化·统考模拟预测)如图,将线段AB先向右平移5个单位,再将所得线段绕原点按顺 时针方向旋转90°,则点B的对应点B'的坐标是( ) 45关注公众号:陆陆高分冲刺 ~领取:最新版“小中高考-总复习”、最新试卷下载 A.(−4,1) B.(−1,2) C.(4,−1) D.(1,−2) 【答案】D 【分析】在平面直角坐标系内,把一个图形各个点的横坐标都加上(或减去)一个整数a,相应的新图形 就是把原图形向右(或向左)平移a个单位长度;如果把它各个点的纵坐标都加(或减去)一个整数a, 相应的新图形就是把原图形向上(或向下)平移a个单位长度;图形或点旋转之后要结合旋转的角度和图 形的特殊性质来求出旋转后的点的坐标.常见的是旋转特殊角度如:30°,45°,60°,90°,180°. 【详解】解:如图,将线段AB先向右平移5个单位,得到点B(2,1),连接OB,将OB绕原点顺时针旋转 90°, 则B'对应坐标为(1,−2), 故选:D. 【点睛】本题考查了图形的平移与旋转,熟练运用平移与旋转的性质是解题的关键. 3.(2023·河北石家庄·校联考模拟预测)平面直角坐标系中,点A(−3,2),B(1,4),C(x,y),若AC∥x 轴,则线段BC的最小值及此时点C的坐标分别为( ) A.2,(1,2) B.6,(−3,4) C.4,(1,0) D.1,(0,4) 【答案】A 【分析】由AC∥x轴,A(−3,2),根据坐标的定义可求得y值,根据线段BC最小,确定BC⊥ AC,垂 足为点C,进一步求得BC的最小值和点C的坐标. 【详解】解:如图, 46关注公众号:陆陆高分冲刺 ~领取:最新版“小中高考-总复习”、最新试卷下载 ∵AC∥x轴, ∴C点的纵坐标为与A点的纵坐标相同,即y=2, ∵当BC⊥ AC时,线段BC最短,此时BC∥y轴, ∴此时C点的横坐标与B点的横坐标相同,即x=1, 即C(1,2),此时BC=4−2=2. 故选:A. 【点睛】本题考查了坐标与图形的性质,熟记点到坐标轴的距离与这个点坐标的区别及点到直线垂线段最 短是解题的关键. 4.(2023·湖北黄石·统考模拟预测)如图所示平面直角坐标系,Rt△OAB 中, AO=2,∠A=90°,∠ABO=30°. 将Rt△OAB绕着AB的中点M旋转180°,则点O的对应点的坐 标为( ) A.(4,√3) B.(4+√2,√3) C.(5,√3) D.(5−√2,√2) 【答案】C 【分析】连接O'A并延长交y轴于E,连接BO',求出O'E,OE的长度即可求解. 【详解】解:连接O' A并延长交y轴于E,连接BO', 47关注公众号:陆陆高分冲刺 ~领取:最新版“小中高考-总复习”、最新试卷下载 ∵AM=BM,OM=O'M, ∴四边形AOBO'是平行四边形, ∴EO'∥x轴,AO'=OB, ∴AE⊥y轴, ∵AO=2,∠A=90°,∠ABO=30°, ∴∠AOB=60°,OB=2OA=4, ∴∠AOE=30°, 1 √3 ∴AE= OA=1,OE= OA=√3 2 2 ∵AO'=OB=4, ∴O'E=1+4=5, ∴点O的对应点O'的坐标为(5,√3), 故选:C. 【点睛】本题考查了旋转的性质、含30°的直角三角形.掌握相关结论是解题关键. 5.(2023·河北石家庄·校联考二模)一艘海上搜救船在巡逻过程中发现点A处有一艘船发出求救信号,如 图是搜救船上显示的雷达示意图,图上标注了以搜救船为中心的等距线(图中所示的同心圆,单位:海 里)及角度,要让搜救船在第一时间抵达故障船所在的位置,应该将搜救船的航行方案调整为( ) A.向北偏西150°方向航行4海里 B.向南偏西120°方向航行3海里 C.向北偏西60°方向航行4海里 D.向东偏北150°方向航行3海里 【答案】C 【分析】根据方向角的定义:以正南或正北为基准,到目标所在线形成的小于90°的角,进行判断即可. 【详解】解:根据方向角的定义可知,搜救船的航行方案调整为向北偏西60°方向航行4海里, 故选:C. 【点睛】本题考查利用方向角确定位置.熟练掌握方向角的定义,是解题的关键. 6.(2023·广东肇庆·统考三模)某部影片的盈利额(即影片的票房收入与固定成本之差)记为y,观影人 数记为x,其函数图象如图(1)所示.由于目前该片盈利未达到预期,相关人员提出了两种调整方案,图 (2)、图(3)中的实线分别为调整后y与x的函数图象. 给出下列四种说法: 48关注公众号:陆陆高分冲刺 ~领取:最新版“小中高考-总复习”、最新试卷下载 ①图(2)对应的方案是:提高票价,并提高成本; ②图(2)对应的方案是:保持票价不变,并降低成本; ③图(3)对应的方案是:提高票价,并保持成本不变: ④图(3)对应的方案是:提高票价,并降低成本. 其中,正确的说法是( ) A.①③ B.①④ C.②③ D.②④ 【答案】C 【分析】本题主要考查函数的图象的应用,解题时要能熟练掌握并能学会读图分析是关键.依据题,分析 图象变化前后的实际意义即可得答案. 【详解】解:由图可知,点A的纵坐标的相反数表示成本,一次函数的比例系数表示票价. 图(2)对应的方案是:保持票价不变,并降低成本,故①错误,②正确; 图(3)对应的方案是:提高票价,并保持成本不变,故③正确,④错误. 故选:C. 7.(2023·广东东莞·校联考二模)如图,⊙O的半径为2,弦CD垂直直径AB于点E,且E是OA的中点, 点P从点E出发(点P与点E不重合),沿E→D→B的路线运动,设AP=x,sin∠APC= y,那么y 与x之间的关系图象大致是( ) A. B. C. D. 【答案】C AE 1 【分析】本题考查动点问题的函数图象,当点P在线段ED时,y=sin∠APC= = ,推出当10,m−3=−4<0,由第四象限(+,−),可知点P(−m,m−3)在第四象 限; 当点P在x轴上时,由x轴上的点的纵坐标为0可得m−3=0,解得m=3. 故答案为:四;3. 10.(2023·四川眉山·校考三模)平面直角坐标系内有一点M(x,y),已知x,y满足 √4x+3+(5 y−2) 2=0,则点M关于y轴对称的点N在第 象限. 【答案】一 3 2 【分析】根据√4x+3+(5 y−2) 2=0得到x=− ,y= ,确定M的位置,后确定对称点的坐标,解答即 4 5 可. 【详解】∵√4x+3+(5 y−2) 2=0, 3 2 ∴x=− ,y= , 4 5 ( 3 2) ∴M − , , 4 5 (3 2) ∴N , , 4 5 故点N在第一象限, 故答案为:一. 【点睛】本题考查了实数的非负性,关于y轴对称纵坐标不变,横坐标变相反数,熟练掌握对称点的确定 是解题的关键. 11.(2023·陕西西安·西安市曲江第一中学校考模拟预测)中国象棋是一种古老的棋类游戏,大约有两千 年的历史,是中华文明非物质文化经典产物.如图,若在象棋盘上建立平面直角坐标系,使“帅”位于点 (−1,−2),“马”位于点(3,−2),则“兵”位于点 . 【答案】(−3,1) 【分析】由“帅”位于点(−1,−2),“马”位于点(3,−2),可得每个小方格代表的长度为1,再根据 “帅”到“兵”的移动方式即可确定“兵”所在点的坐标. 【详解】解:∵“帅”位于点(−1,−2),“马”位于点(3,−2),“帅”与“马”相距4个小方格, ∴每个小方格代表的长度为1,“帅”与“马”在直线y=−2上, 由图可知,“帅”向上移动3格,向左移动2格到达“兵”, ∴“兵”位于点(−1−2,−2+3)上,即(−3,1). 52关注公众号:陆陆高分冲刺 ~领取:最新版“小中高考-总复习”、最新试卷下载 故答案为:(−3,1). 【点睛】本题考查实际问题中用坐标表示位置,解题的关键是通过已知点坐标得出每个小方格代表的长度. 12.(2023·广西钦州·校考模拟预测)如图所示,在平面直角坐标系中,已知A(0,1)、B(2,0)、C(4,3). (1)在平面直角坐标系中画出△ABC,并画出△ABC关于y轴对称的△A B C 1 1 1 (2)已知P为x轴上一点,若△ABP的面积为4.求点P的坐标. 【答案】(1)见解析 (2)P 10,0 或 P 6,0 【分析】(1)确定点B(2,0)、C(4,3)关于y轴的对称点B (−2,0)、C (−4,3),顺次连接A,B ,C 三点, 1 1 1 1 △A B C 即为所求: 1 1 1 1 1 (2)由P 为 x 轴上一点,S = OA⋅BP= ×1×BP=4,得BP=8,进面求得点坐标. △ABP 2 2 【详解】(1)解:如图所示,确定点B(2,0)、C(4,3)关于y轴的对称点B (−2,0)、C (−4,3),顺次连接 1 1 A,B ,C 三点,△A B C 即为所求: 1 1 1 1 1 53关注公众号:陆陆高分冲刺 ~领取:最新版“小中高考-总复习”、最新试卷下载 (2)∵ P 为 x 轴上一点,A(0,1)、B(2,0), 1 1 ∴OA=1,S = OA⋅BP= ×1×BP=4. △ABP 2 2 ∴BP=8. ∵B(2,0), ∴ P 点的横坐标为: 2+8=10 或2−8=−6;. ∴P(10,0)或 P(−6,0). 【点睛】本题考查轴对称,直角坐标系内三角形面积计算;直角坐标系内,由点坐标求线段长度是解题的 关键. 13.(2023·广东茂名·统考三模)已知函数y= y + y ,其中y =(4−a)xa2−4a−1是反比例函数,y 与x−5 1 2 1 2 1 成正比例,函数的自变量x的取值范围是x≥ ,且当x=2时,y=−1. 2 (1)解析式探究,根据给定的条件,可以确定出该函数的解析式为: (2)下表是y与x的几组对应值 1 x 1 2 3 4 5 6 7 8 2 2 4 18 7 y m 0 −1 − 0 n 3 5 7 2 表中表中m= ,n= (3)根据表中数据,在平面直角坐标系中,描点并画出该函数的图象; (4)结合画出的函数图象,解决问题: 估计y + y =−x+5时,x的值约为 (精确到0.1). 1 2 4 1 【答案】(1)y= +x−5(x≥ ), x 2 7 5 (2) ; 2 3 (3)详见解析 (4)4.6 【分析】本题考查了反比例函数的图象,函数和方程的关系,数形结合是解题的关键. 54关注公众号:陆陆高分冲刺 ~领取:最新版“小中高考-总复习”、最新试卷下载 4 (1)求得y 用待定系数法设y =k x−5),则y= +k(x−5),将已知条件代入得关于k方程组,即可求 1 2 2 x 得该函数解析式; 1 (2)把x= 和x=6分别代入(1)求得的解析式,即可求得m、n的值; 2 (3)在平面直角坐标系中描点,用平滑曲线从左到右顺次连接各点,画出图象; (3)函数y= y + y 和直线y=−x+5的交点在4和5之间,通过分析得出结论. 1 2 【详解】(1)∵y =(4−a)xa2−4a−1是反比例函数, 1 ∴4−a≠0且a2−4a−1=−1, 解得a=0, 4 ∴y = , 1 x 4 设y =k(x−5),则y= +k(x−5), 2 x ∵当x=2时,y=−1. 4 ∴−1= +k(2−5), 2 解得k=1, 4 1 ∴y= +x−5(x≥ ), x 2 4 1 故答案为:y= +x−5(x≥ ), x 2 1 4 7 (2)把x= 代入y= +x−5得,y= , 2 x 2 7 ∴m= , 2 4 5 把x=6代入y= +x−5得,y= , x 3 5 ∴n= , 3 7 5 故答案为 , ; 2 3 (3)根据表中数据,在平面直角坐标系中描点,画出图象. 55关注公众号:陆陆高分冲刺 ~领取:最新版“小中高考-总复习”、最新试卷下载 (4)观察图象,函数y= y + y 和直线y=−x+5的交点在4和5之间, 1 2 4 当x=4.5时,y= +x−5≈0.4,y=−x+5=0.5, x 4 当x=4.6时,y= +x−5≈0.47,y=−x+5=0.4, x 4 当x=4.7时,y= +x−5≈0.55,y=−x+5=0.3, x ∴估计y + y =−x+5时,x的值约为4.6, 1 2 故答案为4.6. 考点二 一次函数、反比例函数、二次函数的性质 题型01 正比例函数的图象与性质 图象特征 正比例函数y=kx(k为常数,k≠0)必过点(0,0)、(1,k). b 一次函数y=kx+b(k,b是常数,k≠0)必过点(0,b)、(- ,0) k k>0 k<0 增减性 从左向右看图像呈上升趋势, 从左向右看图像呈下降趋势, y随x的增大而增大 y随x的增大而减少 56关注公众号:陆陆高分冲刺 ~领取:最新版“小中高考-总复习”、最新试卷下载 y y y y y y x x x x x x O O O O O O 图象 b>0 b=0 b<0 b>0 b=0 b<0 经过象限 一、二、三 一、三 一、三、四 一、二、四 二、四 二、三、四 与y轴 b>0,交点在y轴正半轴上;b=0,交点在原点;b<0,交点在y轴负半轴上 交点位置 2 1.(2021·湖南益阳·统考中考真题)正比例函数y=2x与反比例函数y= 的图象或性质的共有特征之一 x 是( ) A.函数值y随x的增大而增大 B.图象在第一、三象限都有分布 C.图象与坐标轴有交点 D.图象经过点(2,1) 【答案】B 【分析】根据正比例函数和反比例函数的图象与性质逐项判断即可得. 2 【详解】A、正比例函数y=2x,函数值y随x的增大而增大;反比例函数y= ,在每一象限内,函数值y x 随x的增大而减小,则此项不符题意; 2 B、正比例函数y=2x的图象在第一、三象限都有分布,反比例函数y= 的图象在第一、三象限都有分布, x 则此项符合题意; 2 C、正比例函数y=2x的图象与坐标轴的交点为原点,反比例函数y= 的图象与坐标轴没有交点,则此项 x 不符题意; D、正比例函数y=2x,当x=2时,y=4,即其图象经过点(2,4),不经过点(2,1),则此项不符题意; 故选:B. 【点睛】本题考查了正比例函数和反比例函数的图象与性质,熟练掌握正比例函数和反比例函数的图象与 性质是解题关键. 2.(2023·甘肃武威·统考中考真题)若直线y=kx(k是常数,k≠0)经过第一、第三象限,则k的值可为 ( ) 1 A.−2 B.−1 C.− D.2 2 【答案】D 57关注公众号:陆陆高分冲刺 ~领取:最新版“小中高考-总复习”、最新试卷下载 【分析】通过经过的象限判断比例系数k的取值范围,进而得出答案. 【详解】 直线y=kx(k是常数,k≠0)经过第一、第三象限, k>0, ∵ ∴k的值可为2, ∴ 故选:D. 【点睛】本题考查正比例函数的图象与性质,熟记比例系数与图象经过的象限之间的关系是解题的关键. 3.(2021·四川成都模拟预测)在正比例函数y=kx中,y的值随着x值的增大而减小,则点P(3,k)在第 象限. 【答案】四 【详解】解:∵正比例函数y=kx中,函数y的值随x值的增大而减小, ∴k<0, ∴点P(3,k)在第四象限. 故答案为:四. 4.(2023·山东·统考中考真题)一个函数过点(1,3),且y随x增大而增大,请写出一个符合上述条件的函 数解析式 . 【答案】y=3x(答案不唯一) 【分析】根据题意及函数的性质可进行求解. 【详解】解:由一个函数过点(1,3),且y随x增大而增大,可知该函数可以为y=3x(答案不唯一); 故答案为y=3x(答案不唯一). 【点睛】本题主要考查正比例函数的性质,熟练掌握正比例函数的性质是解题的关键. 题型02 求一次函数解析式 确定一次函数解析式的方法:1)依据题意中等量关系直接列出解析式;2)待定系数法. 用待定系数法求一次函数表达式的一般步骤: 1)设出函数的一般形式y=kx(k≠0)或y=kx+b(k≠0); 2)根据已知条件(自变量与函数的对应值)代入表达式得到关于待定系数的方程或方程组; 3)解方程或方程组求出k,b的值; 4)将所求得的k,b的值代入到函数的一般形式中,从而得到一次函数解析式. 1.(2023·江苏苏州·统考中考真题)已知一次函数y=kx+b的图象经过点(1,3)和(−1,2),则k2−b2= . 【答案】−6 【分析】把点(1,3)和(−1,2)代入y=kx+b,可得¿,再整体代入求值即可. 【详解】解:∵一次函数y=kx+b的图象经过点(1,3)和(−1,2), 58关注公众号:陆陆高分冲刺 ~领取:最新版“小中高考-总复习”、最新试卷下载 ∴¿,即¿, ∴k2−b2=(k+b)(k−b)=3×(−2)=−6; 故答案为:−6 【点睛】本题考查的是一次函数的性质,利用待定系数法求解一次函数的解析式,利用平方差公式分解因 式,熟练的利用平方差公式求解代数式的值是解本题的关键. 1 2.(2022·湖南益阳·统考中考真题)如图,直线y= x+1与x轴交于点A,点A关于y轴的对称点为A′, 2 经过点A′和y轴上的点B(0,2)的直线设为y=kx+b. (1)求点A′的坐标; (2)确定直线A′B对应的函数表达式. 【答案】(1)A′(2,0) (2)y=﹣x+2 【分析】(1)利用直线解析式求得点A坐标,利用关于y轴的对称点的坐标的特征解答即可; (2)利用待定系数法解答即可. 1 【详解】(1)解:令y=0,则 x+1=0, 2 ∴x=﹣2, ∴A(﹣2,0). ∵点A关于y轴的对称点为A′, ∴A′(2,0). (2)解:设直线A′B的函数表达式为y=kx+b, ∴¿, 解得:¿, ∴直线A′B对应的函数表达式为y=﹣x+2. 【点睛】本题主要考查了一次函数图象的性质、一次函数图象上点的坐标的特征、待定系数法确定函数的 解析式、关于y轴的对称点的坐标的特征等知识,利用待定系数法求函数解析式是解题的关键. 5 3.(2023·浙江温州·统考中考真题)如图,在直角坐标系中,点A(2,m)在直线y=2x− 上,过点A的 2 直线交y轴于点B(0,3). 59关注公众号:陆陆高分冲刺 ~领取:最新版“小中高考-总复习”、最新试卷下载 (1)求m的值和直线AB的函数表达式. 5 (2)若点P(t,y )在线段AB上,点Q(t−1,y )在直线y=2x− 上,求y −y 的最大值. 1 2 2 1 2 3 3 【答案】(1)m= ,y=− x+3 2 4 15 (2) 2 【分析】(1)把点A的坐标代入直线解析式可求解m,然后设直线AB的函数解析式为y=kx+b,进而根 据待定系数法可进行求解函数解析式; 3 5 9 (2)由(1)及题意易得y =− t+3(0≤t≤2),y =2(t−1)− =2t− ,则有 1 4 2 2 2 3 ( 9) 11 15 y −y =− t+3− 2t− =− t+ ,然后根据一次函数的性质可进行求解. 1 2 4 2 4 2 5 3 【详解】(1)解:把点A(2,m)代入y=2x− ,得m= . 2 2 ( 3) 设直线AB的函数表达式为y=kx+b,把点A 2, ,B(0,3)代入得 2 ¿,解得¿, 3 ∴直线AB的函数表达式为y=− x+3. 4 5 (2)解:∵点P(t,y )在线段AB上,点Q(t−1,y )在直线y=2x− 上, 1 2 2 3 5 9 ∴y =− t+3(0≤t≤2),y =2(t−1)− =2t− , 1 4 2 2 2 3 ( 9) 11 15 ∴y −y =− t+3− 2t− =− t+ . 1 2 4 2 4 2 11 ∵k=− <0, 4 ∴y −y 的值随x的增大而减小, 1 2 15 ∴当t=0时,y −y 的最大值为 . 1 2 2 【点睛】本题主要考查一次函数的图象与性质,熟练掌握一次函数的图象与性质是解题的关键. 60关注公众号:陆陆高分冲刺 ~领取:最新版“小中高考-总复习”、最新试卷下载 题型03一次函数的图象与性质 b b 一、在直线y=kx+b(k≠0)中,令y=0,则x=− ,即直线y=kx+b与x轴交于(− ,0) k k 令x=0,则y=b,即直线y=kx+b与y轴交于(0,b) b 1)当− > 0时,即k,b异号时,直线与x轴交于正半轴. k b 2)当− = 0,即b=0时,直线经过原点. k b 3)当− < 0,即k,b同号时,直线与x轴交于负半轴. k 二、两个一次函数表达式(直线l1:y1=k1x+b1与l2:y2=k2x+b2)的位置关系: 1)当k1=k2,b1=b2时,两直线重合; 2) 当k1=k2,b1≠b2时,两直线平行; 3)当k1≠k2,b1=b2时,两直线交于y轴上的同一点(0,b); 4)当k1•k2=-1时,两直线垂直; 5)当k1≠k2时,两直线相交. 一次函数图 一次函数y=kx+b(k≠0)的图象可由正比例函数y=kx(k≠0)的图象平移得到: 象与正比例 当b>0时,向上平移b个单位长度; 函数图象的 当b<0时,向下平移|b|个单位长度 关系 平移口诀:左加有减,上加下减 一次函数图 因为一次函数的图象是一条直线,由两点确定一条直线可知画一次函数图象时,只要取两 象确定方法 点即可, b 1)画一次函数的图象,只需过图象上两点作直线即可,一般取(0,b),(− ,0)两点; k 2)画正比例函数的图象,只要取一个不同于原点的点即可. 1.(2023·山东临沂·统考中考真题)对于某个一次函数y=kx+b(k≠0),根据两位同学的对话得出的结 论,错误的是( ) 61关注公众号:陆陆高分冲刺 ~领取:最新版“小中高考-总复习”、最新试卷下载 1 A.k>0 B.kb<0 C.k+b>0 D.k=− b 2 【答案】C 【分析】首先根据一次函数的性质确定k,b的符号,再确定一次函数y=kx+b (k≠0)系数的符号,判断 出函数图象所经过的象限. 【详解】解:∵一次函数y=kx+b的图象不经过第二象限, ∴k>0,b<0,故选项A正确,不符合题意; ∴kb<0,故选项B正确,不符合题意; ∵一次函数y=kx+b的图象经过点(2,0), ∴2k+b=0,则b=−2k, ∴k+b=k−2k=−k<0,故选项C错误,符合题意; ∵b=−2k, 1 ∴k=− b,故选项D正确,不符合题意; 2 故选:C. 【点睛】本题考查一次函数图象与系数的关系,解决此类题目的关键是确定k、b的正负. 2.(2022·安徽·统考中考真题)在同一平面直角坐标系中,一次函数y=ax+a2与y=a2x+a的图像可能是 ( ) A. B. C. D. 【答案】D 【分析】分为a>0和a<0两种情况,利用一次函数图像的性质进行判断即可. 【详解】解:当x=1时,两个函数的函数值:y=a+a2,即两个图像都过点(1,a+a2),故选项A、C不符 合题意; 当a>0时,a2>0,一次函数y=ax+a2经过一、二、三象限,一次函数y=a2x+a经过一、二、三象限, 都与y轴正半轴有交点,故选项B不符合题意; 62关注公众号:陆陆高分冲刺 ~领取:最新版“小中高考-总复习”、最新试卷下载 当a<0时,a2>0,一次函数y=ax+a2经过一、二、四象限,与y轴正半轴有交点,一次函数y=a2x+a经 过一、三、四象限,与y轴负半轴有交点,故选项D符合题意. 故选:D. 【点睛】本题主要考查了一次函数的图像性质.理解和掌握它的性质是解题的关键. 一次函数y=kx+b的图像有四种情况: ①当k>0,b>0时,函数y=kx+b的图像经过第一、二、三象限; ②当k>0,b<0时,函数y=kx+b的图像经过第一、三、四象限; ③当k<0,b>0时,函数y=kx+b的图像经过第一、二、四象限; ④当k<0,b<0时,函数y=kx+b的图像经过第二、三、四象限. 3.(2023·江苏无锡·统考中考真题)将函数y=2x+1的图像向下平移2个单位长度,所得图像对应的函数 表达式是( ) A.y=2x−1 B.y=2x+3 C.y=4x−3 D.y=4x+5 【答案】A 【分析】根据题目条件函数y=2x+1的图像向下平移2个单位长度,则b的值减少2,代入方程中即可. 【详解】解:∵函数y=2x+1的图像向下平移2个单位长度, ∴y=2x+1−2=2x−1, 故答案为:A. 【点睛】本题主要考查函数平移,根据题目信息判断是沿y轴移动还是沿x轴移动是解题的关键. (3 ) 4.(2021·江苏苏州·统考中考真题)已知点A(√2,m),B ,n 在一次函数y=2x+1的图像上,则m与n 2 的大小关系是( ) A.m>n B.m=n C.m0, ∴y随x的增大而增大. 9 ∵2< , 4 3 ∴√2< . 2 ∴m0,则点A(a,b)在( ) 63关注公众号:陆陆高分冲刺 ~领取:最新版“小中高考-总复习”、最新试卷下载 A.第四象限 B.第三象限 C.第二象限 D.第一象限 【答案】B 【分析】根据一次函数的性质求出a的范围,再根据每个象限点的坐标特征判断A点所处的象限即可. 【详解】∵在一次函数y=−5ax+b(a≠0)中,y的值随x值的增大而增大, ∴−5a>0,即a<0, 又∵ab>0, ∴b<0, ∴点A(a,b)在第三象限, 故选:B 【点睛】本题考查了一次函数的性质和各个象限坐标特点,能熟记一次函数的性质是解此题的关键. 6.(2021·江苏扬州·统考中考真题)如图,一次函数y=x+√2的图像与x轴、y轴分别交于点A、B,把直 线AB绕点B顺时针旋转30°交x轴于点C,则线段AC长为( ) A.√6+√2 B.3√2 C.2+√3 D.√3+√2 【答案】A 【分析】根据一次函数表达式求出点A和点B坐标,得到△OAB为等腰直角三角形和AB的长,过点C作 CD⊥AB,垂足为D,证明△ACD为等腰直角三角形,设CD=AD=x,结合旋转的度数,用两种方法表示出 BD,得到关于x的方程,解之即可. 【详解】解:∵一次函数y=x+√2的图像与x轴、y轴分别交于点A、B, 令x=0,则y=√2,令y=0,则x=−√2, 则A(−√2,0),B(0,√2), 则△OAB为等腰直角三角形,∠ABO=45°, ∴AB=√(√2) 2+(√2) 2=2, 过点C作CD⊥AB,垂足为D, ∵∠CAD=∠OAB=45°, ∴△ACD为等腰直角三角形,设CD=AD=x, ∴AC=√AD2+CD2=√2x, ∵旋转, ∴∠ABC=30°, ∴BC=2CD=2x, ∴BD=√BC2−CD2=√3x, 64关注公众号:陆陆高分冲刺 ~领取:最新版“小中高考-总复习”、最新试卷下载 又BD=AB+AD=2+x, ∴2+x=√3x, 解得:x=√3+1, ∴AC=√2x=√2(√3+1)=√6+√2, 故选A. 【点睛】本题考查了一次函数与坐标轴的交点问题,等腰直角三角形的判定和性质,直角三角形的性质, 勾股定理,二次根式的混合运算,知识点较多,解题的关键是作出辅助线,构造特殊三角形. 7.(2023·四川南充·统考中考真题)如图,直线y=kx−2k+3(k为常数,k<0)与x,y轴分别交于点 2 3 A,B,则 + 的值是 . OA OB 【答案】1 2k−3 【分析】根据一次函数解析式得出OA= ,OB=−2k+3,然后代入化简即可. k 【详解】解:y=kx−2k+3, 3 ∴当y=0时,x=− +2,当x=0时,y=−2k+3, k 3 2k−3 ∴OA=− +2= ,OB=−2k+3, k k 2 3 2 3 2k 3 2k−3 + = + = − = =1 ∴OA OB 2k−3 3−2k 2k−3 2k−3 2k−3 , k 故答案为:1. 【点睛】题目主要考查一次函数与坐标轴的交点及求代数式的值,熟练掌握一次函数的性质是解题关键. 8.(2022·浙江绍兴·统考中考真题)已知(x ,y ),(x ,y ),(x ,y )为直线y=−2x+3上的三个 1 1 2 2 3 3 65关注公众号:陆陆高分冲刺 ~领取:最新版“小中高考-总复习”、最新试卷下载 点,且x 0,则y y >0 B.若x x <0,则y y >0 1 2 1 3 1 3 1 2 C.若x x >0,则y y >0 D.若x x <0,则y y >0 2 3 1 3 2 3 1 2 【答案】D 【分析】根据一次函数的性质和各个选项中的条件,可以判断是否正确,从而可以解答本题. 【详解】解:∵直线y=−2x+3 ∴y随x增大而减小,当y=0时,x=1.5 ∵(x,y),(x,y),(x,y)为直线y=−2x+3上的三个点,且x0,则x,x 同号,但不能确定yy 的正负,故选项A不符合题意; 1 2 1 2 1 3 若xx<0,则x,x 异号,但不能确定yy 的正负,故选项B不符合题意; 1 3 1 3 1 2 若xx>0,则x,x 同号,但不能确定yy 的正负,故选项C不符合题意; 2 3 2 3 1 3 若xx<0,则x,x 异号,则x,x 同时为负,故y,y 同时为正,故yy>0,故选项D符合题意. 2 3 2 3 1 2 1 2 1 2 故选:D. 【点睛】本题考查一次函数图象上点的坐标特征,解题的关键是明确题意,利用一次函数的性质解答. 题型04 一次函数与方程、不等式 一、一次函数与一元一次方程 思路:由于任何一个一元一次方程可以转化为 ax+b=0(a、b为常数,a≠0)的形式,所以解一元一次方程 可以转化为:当某个一次函数的值为0时,求自变量的值. 从“数”上看:方程ax+b = 0(a≠0)的解⇔函数y=ax+b(a≠0)中,y=0时对应的x的值 从“形”上看:方程ax+b = 0 (a≠0)的解⇔函数y=ax+b(a≠0)的图像与x轴交点的横坐标. 二、一次函数与二元一次方程组 思路:一般地,二元一次方程mx+ny=p(m、n、p是常数,且m≠0,n≠0)都能写成y=ax+b(a、b为常 数,且a≠0)的形式.因此,一个二元一次方程对应一个一次函数,又因为一个一次函数对应一条直线,所 以一个二元一次方程也对应一条直线,进一步可知,一个二元一次方程组对应两个一次函数,因而也对应 两条直线. 从“数”的角度看:解二元一次方程组相当于考虑自变量为何值时,两个函数的值相等,以及这两个函数 值是何值; 从“形”的角度看:解二元一次方程组相当于确定两条直线的交点坐标,一般地,如果一个二元一次方程 组有唯一解,那么这个解就是方程组对应的两条直线的交点坐标. 三、一次函数与一元一次不等式 思路:关于x的一元一次不等式kx+b>0(或<0)的解集是以直线y=kx+b和x轴的交点为分界点,x轴上 (下)方的图象所对应的x的取值范围. 从函数的角度看:解一元一次不等式就是寻求使一次函数y=ax+b(a≠0)的值大于(或小于)0的自变量 66关注公众号:陆陆高分冲刺 ~领取:最新版“小中高考-总复习”、最新试卷下载 的取值范围; 从函数图象的角度看:就是确定直线y=ax+b(a≠0)在x轴上(或下)方部分的横坐标满足的条件. 1.(2022·广西梧州·统考中考真题)如图,在平面直角坐标系中,直线y=2x+b与直线y=−3x+6相交 于点A,则关于x,y的二元一次方程组¿的解是( ) A.¿ B.¿ C.¿ D.¿ 【答案】B 【分析】由图象交点坐标可得方程组的解. 【详解】解:由图象可得直线y=2x+b与直线y=−3x+6相交于点A(1,3), ∴关于x,y的二元一次方程组¿的解是¿. 故选:B. 【点睛】本题考查一次函数与二元一次方程的关系,解题关键是理解直线交点坐标中x与y的值为方程组 的解. 2.(2023·宁夏·统考中考真题)在同一平面直角坐标系中,一次函数y =ax+b(a≠0)与 1 y =mx+n(m≠0)的图象如图所示,则下列结论错误的是( ) 2 A.y 随x的增大而增大 1 B.by 1 2 D.关于x,y的方程组¿的解为¿ 【答案】C 【分析】结合图象,逐一进行判断即可. 【详解】解:A、y 随x的增大而增大,故选项A正确; 1 67关注公众号:陆陆高分冲刺 ~领取:最新版“小中高考-总复习”、最新试卷下载 B、由图象可知,一次函数y =ax+b(a≠0)的图象与y轴的交点在y =mx+n(m≠0)的图象与y轴的交点 1 2 的下方,即by 时,求x的取值范围. 1 2 3 【答案】(1)m=2,y =− ❑ x (2)x<−1或0y 1 2 【点睛】本题考查了反比例函数与一次函数的交点问题,解决本题的关键是掌握反比例函数与一次函数的 性质. 题型06 反比例函数的性质 1)反比例函数的图象是双曲线,它有两个分支,它的图象与x轴、y轴都没有交点,即双曲线的 两个分支无限接近坐标轴,但永远达不到坐标轴. 图象特征 2)反比例函数的图象既是轴对称图形,又是中心对称图形,其对称轴为直线y=±x,对称中心为 原点. 表达 k y= (k为常数,k≠0) x 式 图象 性 k>0 k<0 质 经过 一、三象限(x、y同号) 二、四象限(x、y异号) 象限 增减 在每个象限内,y随x的增大而减小 在每个象限内,y随x的增大而增大 性 ①图象关于原点对称,即若(a,b)在双曲线的一支上,则(-a,-b)在双曲线的另一支上; 对称 ②图象关于直线y=x 对称,即若(a,b)在双曲线的一支上,则(b,a)在双曲线的另一支上; 性 ③图象关于直线y=−x对称,即若(a,b)在双曲线的一支上,则(-b,-a)在双曲线的另一支 上. 即:反比例函数的图象关于直线y=±x成轴对称,关于原点成中心对称. 71关注公众号:陆陆高分冲刺 ~领取:最新版“小中高考-总复习”、最新试卷下载 1)反比例函数的图象不是连续的,因此在描述反比例函数的增减性时,一定要有“在其每个象限内”这 个前提.当k>0时,在每一象限(第一、三象限)内y随x的增大而减小,但不能笼统地说当k>0时,y 随x的增大而减小.同样,当k<0时,也不能笼统地说y随x的增大而增大. 2)反比例函数图象的位置和函数的增减性,都是由常数k的符号决定的,反过来,由双曲线所在位置和函 数的增减性,也可以推断出k的符号. 3)双曲线是由两个分支组成的,一般不说两个分支经过第一、三象限(或第二、四象限),而说图象的 两个分支分别在第一、三象限(或第二、四象限). k 1.(2021·贵州遵义·统考中考真题)已知反比例函数y= (k≠0)的图象如图所示,则一次函数y=kx+2 x 的图象经过( ) A.第一、二、三象限 B.第一、三、四象限 C.第一、二、四象限 D.第二、三、四象限 【答案】C 【分析】由反比例函数的图象的分别确定k<0, 再确定一次函数y=kx+2的图象经过的象限即可得到答案. k 【详解】解:∵ 反比例函数y = (k≠0)的图象分布在二,四象限, x ∴k<0, ∴ 一次函数y=kx+2的图象经过一,二,四象限, 故选:C. 【点睛】本题考查的是一次函数与反比例函数的图象与性质,掌握一次函数与反比例函数的图象与k,b的 关系是解题的关键. 5 2.(2021·贵州黔西·中考真题)对于反比例函数y=﹣ ,下列说法错误的是( ) x A.图象经过点(1,﹣5) B.图象位于第二、第四象限 C.当x<0时,y随x的增大而减小 D.当x>0时,y随x的增大而增大 【答案】C 【分析】根据题目中的函数解析式和反比例函数的性质,可以判断各个选项中的说法是否正确,从而可以 72关注公众号:陆陆高分冲刺 ~领取:最新版“小中高考-总复习”、最新试卷下载 解答本题. 5 【详解】解:反比例函数y=﹣ , x 5 A、当x=1时,y=﹣ =﹣5,图像经过点(1,-5),故选项A不符合题意; 1 B、∵k=﹣5<0,故该函数图象位于第二、四象限,故选项B不符合题意; C、当x<0时,y随x的增大而增大,故选项C符合题意; D、当x>0时,y随x的增大而增大,故选项D不符合题意; 故选C. 【点睛】本题考查的是反比例函数的性质,熟练掌握反比例函数的性质是解题的关键. 4 3.(2022·广东·统考中考真题)点(1,y ),(2,y ),(3,y ),(4,y )在反比例函数y= 图象上,则y , 1 2 3 4 x 1 y ,y ,y 中最小的是( ) 2 3 4 A.y B.y C.y D.y 1 2 3 4 【答案】D 【分析】根据反比例函数的性质,当k>0时,在每一个向西安内,y随x的增大而减少,可直接进行求解. 4 【详解】解:由反比例函数解析式y= 可知:4>0, x ∴在每个象限内,y随x的增大而减小, 4 ∵点(1,y ),(2,y ),(3,y ),(4,y )在反比例函数y= 图象上, 1 2 3 4 x ∴y >y >y >y , 1 2 3 4 故选D. 【点睛】本题主要考查反比例函数的性质,熟练掌握反比例函数的性质是解题的关键. m−2 4.(2022·四川成都·统考中考真题)若反比例函数y= 的图像经过第二、四象限,则m的取值范围 x 是 . 【答案】m<2 【分析】由反比例函数图像经过第二、四象限,得出m﹣2<0,求出m范围即可. m−2 【详解】解:∵反比例函数y= 的图像经过第二、四象限, x ∴m﹣2<0, 得:m<2. 故答案为:m<2. 【点睛】本题主要考查了反比例函数图像的性质,根据反比例函数图像的性质,列出关于m的不等式,是 解题的关键. k 5.(2020·广东广州·统考中考真题)已知反比例函数y= 的图象分别位于第二、第四象限,化简: x 73关注公众号:陆陆高分冲刺 ~领取:最新版“小中高考-总复习”、最新试卷下载 k2 16 − +√(k+1) 2−4k. k−4 k−4 【答案】5 【分析】由反比例函数图象的性质可得k<0,化简分式时注意去绝对值. 【详解】由题意得k<0. k2 16 k2−16 (k+4)(k−4) − +√(k+1) 2−4k= +√k2+2k+1−4k= +√k2−2k+1 k−4 k−4 k−4 k−4 =k+4+√(k−1) 2=k+4+|k−1|=k+4−k+1=5 【点睛】本题考查反比例函数图象的性质和分式的化简,关键在于去绝对值时符号的问题. 题型07 反比例函数k的几何意义 2 3 1.(2023·湖南湘西·统考中考真题)如图,点A在函数y= (x>0)的图象上,点B在函数y= (x>0)的 x x 图象上,且AB∥x轴,BC⊥x轴于点C,则四边形ABCO的面积为( ) A.1 B.2 C.3 D.4 【答案】B 1 【分析】延长BA交y轴于点D,根据反比例函数k值的几何意义得到S = ×2=1,S =3,根 △ADO 2 矩形OCBD 据四边形ABCO的面积等于S −S ,即可得解. 矩形OCBD △ADO 【详解】解:延长BA交y轴于点D, ∵AB∥x轴, ∴DA⊥ y轴, 74关注公众号:陆陆高分冲刺 ~领取:最新版“小中高考-总复习”、最新试卷下载 2 ∵点A在函数y= (x>0)的图象上, x 1 ∴S = ×2=1, △ADO 2 3 ∵BC⊥x轴于点C,DB⊥ y轴,点B在函数y= (x>0)的图象上, x ∴S =3, 矩形OCBD ∴四边形ABCO的面积等于S −S =3−1=2; 矩形OCBD △ADO 故选B. 【点睛】本题考查反比例函数与几何图形的综合应用.熟练掌握反比例函数中k的几何意义,是解题的关 键. 2 2.(2022·湖南郴州·统考中考真题)如图,在函数y= (x>0)的图像上任取一点A,过点A作y轴的垂线 x 8 交函数y=− (x<0)的图像于点B,连接OA,OB,则△AOB的面积是( ) x A.3 B.5 C.6 D.10 【答案】B 1 1 【分析】作AD⊥x轴,BC⊥x轴,由S = S ,S = S 即可求解; ΔOBE 2 OCBE ΔAOE 2 ADOE 【详解】解:如图,作AD⊥x轴,BC⊥x轴, ∵S =BC⋅BE=8,S =AD⋅AE=2 OCBE ADOE ∴S +S =10 OCBE ADOE 75关注公众号:陆陆高分冲刺 ~领取:最新版“小中高考-总复习”、最新试卷下载 1 1 ∵S = S ,S = S ΔOBE 2 OCBE ΔAOE 2 ADOE 1 ∴S =S +S = (S +S )=5 ΔAOB ΔOBE ΔAOE 2 OCBE ADOE 故选:B. 【点睛】本题主要考查反比例函数的应用,掌握反比例函数相关知识,结合图像进行求解是解题的关键. 3 n 3.(2023·福建·统考中考真题)如图,正方形四个顶点分别位于两个反比例函数y= 和y= 的图象的四 x x 个分支上,则实数n的值为( ) 1 1 A.−3 B.− C. D.3 3 3 【答案】A 3 【分析】如图所示,点B在y= 上,证明△AOC≌△OBD,根据k的几何意义即可求解. x 【详解】解:如图所示,连接正方形的对角线,过点A,B分别作x轴的垂线,垂足分别为C,D,点B在 3 y= 上, x ∵OB=OA,∠AOB=∠BDO=∠ACO=90°, ∴∠CAO=90°−∠AOC=∠BOD. ∴△AOC≌△OBD. 3 |n| ∴S =S = = . △AOC △OBD 2 2 ∵A点在第二象限, ∴n=−3. 76关注公众号:陆陆高分冲刺 ~领取:最新版“小中高考-总复习”、最新试卷下载 故选:A. 【点睛】本题考查了正方形的性质,反比例函数的k的几何意义,熟练掌握以上知识是解题的关键. 4.(2023·浙江衢州·统考中考真题)如图,点A、B在x轴上,分别以OA,AB为边,在x轴上方作正方 k 形OACD,ABEF.反比例函数y= (k>0)的图象分别交边CD,BE于点P,Q.作PM⊥x轴于点M, x QN⊥ y轴于点N.若OA=2AB,Q为BE的中点,且阴影部分面积等于6,则k的值为 . 【答案】24 【分析】设OA=4a,则AB=2a,从而可得A(4a,0)、B(6a,0),由正方形的性质可得C(4a,4a),由 ( k ) 1 QN⊥ y轴,点P在CD上,可得P ,4a ,由于Q为BE的中点,BE⊥x轴,可得BQ= AB=a, 4a 2 k k 则Q(6a,a),由于点Q在反比例函数y= (k>0)的图象上可得k=6a2,根据阴影部分为矩形,且长为 , x 4a 宽为a,面积为6,从而可得12×4ak×a=6,即可求解. 【详解】解:设OA=4a, ∵OA=2AB, ∴AB=2a, ∴OB=AB+OA=6a, ∴B(6a,0), 在正方形ABEF中,AB=BE=2a, ∵Q为BE的中点, ∴BQ=12AB=a, ∴Q(6a,a), k ∵Q在反比例函数y= (k>0)的图象上, x ∴k=6a×a=6a2, ∵四边形OACD是正方形, ∴C(6a,6a), ∵P在CD上, ∴P点纵坐标为4a, k ∵P点在反比例函数y= (k>0)的图象上, x 77关注公众号:陆陆高分冲刺 ~领取:最新版“小中高考-总复习”、最新试卷下载 k ∴P点横坐标为x= , 4a ( k ) ∴P ,4a , 4a ∵∠HMO=∠HNO=∠NOM=90°, ∴四边形OMHN是矩形, k ∴NH= ,MH=a, 4a k ∴S =NH×MH= ×a=6, ▭OMHN 4a ∴k=24, 故答案为:24. 【点睛】本题考查反比例函数图象的性质及正方形的性质及矩形的面积公式,读懂题意,灵活运用所学知 识是解题的关键. ( 5) ( 5) k 5.(2023·湖北黄石·统考中考真题)如图,点A a, 和B b, 在反比例函数y= (k>0)的图象上, a b x 15 a 其中a>b>0.过点A作AC⊥x轴于点C,则△AOC的面积为 ;若△AOB的面积为 ,则 = 4 b . 5 【答案】 2 2 ( 5) 5 【分析】根据A a, ,得出OC=a,AC= ,根据三角形面积公式,即可求出△AOC的面积;过点B作 a a 5 5 BD⊥x轴于点D,BD交OA于点E,根据S =S +S = ,S =S +S = ,得 △OBD △ODE △OBE 2 △AOC △ODE 四边形DCAE 2 a b 3 出S =S ,进而得出S =S ,根据梯形面积公式,列出方程,化简得 − = ,令 △OBE 四边形DCAE △AOB 梯形BDCA b a 2 a 1 3 a x= ,则x− = ,求出x的值,根据a>b>0,得出 >1,即x>1,即可解答. b x 2 b ( 5) 【详解】解:∵A a, , a 78关注公众号:陆陆高分冲刺 ~领取:最新版“小中高考-总复习”、最新试卷下载 5 ∴OC=a,AC= , a 1 1 5 5 ∴S = OC⋅AC= ⋅a⋅ = , △AOC 2 2 a 2 过点B作BD⊥x轴于点D,BD交OA于点E, ( 5) ∵B b, , b 5 ∴OD=b,BD= , b 1 1 5 5 ∴S = OD⋅BD= ⋅ ⋅b= , △OBD 2 2 b 2 5 5 ∵S =S +S = ,S =S +S = , △OBD △ODE △OBE 2 △AOC △ODE 四边形DCAE 2 ∴S =S , △OBE 四边形DCAE ∴S =S +S =S +S =S , △AOB △OBE △ABE 四边形DCAE △ABE 梯形BDCA 1 1 (5 5) 15 ∴S = CD(AC+BD)= ×(a−b) + = , 梯形BDCA 2 2 a b 4 a b 3 整理得: − = , b a 2 a 令x= , b 1 3 则x− = , x 2 1 解得:x =− (舍),x =2, 1 2 2 ∵a>b>0, a ∴ >1,即x>1, b a ∴ =2, b 5 故答案为: ,2. 2 79关注公众号:陆陆高分冲刺 ~领取:最新版“小中高考-总复习”、最新试卷下载 【点睛】本题主要考查了反比例函数的图象和性质,解题的关键是是掌握反比例函数图象上点的坐标特征, 灵活运用面积关系建立方程. k 6.(2023·浙江绍兴·统考中考真题)如图,在平面直角坐标系xOy中,函数y= (k为大于0的常数, x x>0)图象上的两点A(x ,y ),B(x ,y ),满足x =2x .△ABC的边AC∥x轴,边BC∥y轴,若 1 1 2 2 2 1 △OAB的面积为6,则△ABC的面积是 . 【答案】2 【分析】过点A、B作AF⊥ y轴于点F,AD⊥x轴于点D,BE⊥x于点E,利用 S =S +S +S =k+6,S =S +S =k+S ,得到 五 边形FABEO △AFO △ABO △BOE 五边形FABEO 矩形AFOD 梯形ADEB 梯形ADEB S =6,结合梯形的面积公式解得x y =8,再由三角形面积公式计算 梯形ADEB 1 1 1 1 1 1 1 S = AC⋅BC= (x −x )⋅(y −y )= x ⋅ y = x y ,即可解答. △ABC 2 2 2 1 1 2 2 1 2 1 4 1 1 【详解】解:如图,过点A、B作AF⊥ y轴于点F,AD⊥x轴于点D,BE⊥x于点E, ∵S =S +S +S =k+6 五边形FABEO △AFO △ABO △BOE S =S +S =k+S 五边形FABEO 矩形AFOD 梯形ADEB 梯形ADEB ∴S =6 梯形ADEB (y + y )(x −x ) ∴ 2 1 2 1 =6 2 ∵ x =2x 2 1 1 ∴y = y 2 2 1 1 ( y + y )(2x −x ) (y + y )(x −x ) 2 1 1 1 1 3 ∴ 2 1 2 1 = = y x =6 2 2 4 1 1 ∴x y =8 1 1 ∴k=8 80关注公众号:陆陆高分冲刺 ~领取:最新版“小中高考-总复习”、最新试卷下载 1 1 1 1 1 1 S = AC⋅BC= (x −x )⋅(y −y )= x ⋅ y = x y = ×8=2 △ABC 2 2 2 1 1 2 2 1 2 1 4 1 1 4 故答案为:2. 【点睛】本题考查反比例函数中k的几何意义,是重要考点,掌握相关知识是解题关键. 题型08 反比例函数与一次函数综合 1.涉及自变量取值范围 当一次函数与反比例函数相交时,联立两个解析式,构造方程组,然后求出交点坐标.针对 y1>y2时 自变量x的取值范围,只需观察一次函数的图象高于反比例函数图象的部分所对应的x的范围.例如,如 x>x x y2时,x的取值范围为 A或 B ;同理,当y10,即a<0,两者 一致,故B选项正确; C选项中,根据一次函数y随x增大而增大可判断a>0,反比例函数过一、三象限,则-a>0,即a<0,两者 矛盾,故C选项错误; D选项中,根据一次函数y随x增大而减小可判断a<0,反比例函数过二、四象限,则-a<0,即a>0,两者 矛盾,故D选项错误; 故选:B. 【点睛】本题考查了一次函数、反比例函数图象共存问题,解决此类题目要熟练掌握一次函数、反比例函 数图象与系数的关系. k 2.(2022·四川攀枝花·统考中考真题)如图,正比例函数y=k x与反比例函数y= 2的图像交于A(1,m)、 1 x k B两点,当k x≤ 2时,x的取值范围是( ) 1 x A.−1≤x<0或x≥1 B.x≤−1或0 2的解集; 1 x (3)P为y轴上一点,若△PAB的面积为3,求P点的坐标. 4 【答案】(1)y=x+5;y=− x (2)−40, (3)(0,3)或(0,7). 【分析】(1)利用待定系数法即可求出函数解析式; (2)根据图像位置关系即可得解; (3)设P(0,m),当点P在直线下方时,画出图形,根据S =S +S 关系列方程,然后解方程即 △PAB △PDA △PDB 可得解,同理,当点P在直线上方时,画出图形,根据S =S −S −S 列方程求解即可. △PAB △PAN △PBM 梯形ANMB k k 【详解】(1)解:将点A(−4,1)代入y= 2得1= 2 , x −4 ∴k =−4, 2 4 ∴反比例函数的解析式为y=− ; x 4 4 将点B(m,4)代入y=− 得4=− , x m ∴m=−1, 将点A(−4,1)、B(−1,4)分别代入y=k x+b得¿, 1 解得¿, ∴一次函数的解析式为y=x+5; k (2)根据图像可知,当−4 2, 1 x 83关注公众号:陆陆高分冲刺 ~领取:最新版“小中高考-总复习”、最新试卷下载 k ∴不等式k x+b> 2的解集为−40; 1 x (3)①如图过点P作x轴平行线l与AB交于点D,分别过点A,B作直线l垂线,垂足分别为点C、E, 设P(0,m),则D(m−5,m), ∴PD=5−m, 则S =S +S , △PAB △PDA △PDB 1 1 = PD⋅CA+ PD⋅BE, 2 2 1 = PD(BE+CA), 2 3 = PD, 2 3 = (5−m), 2 ∵△PAB的面积为3, 3 ∴ (5−m)=3, 2 ∴m=3, 即P点的坐标为(0,3). ②如图,过A作AN⊥ y轴于点N,过B作BM⊥ y轴于点M,设P(0,m), 84关注公众号:陆陆高分冲刺 ~领取:最新版“小中高考-总复习”、最新试卷下载 由(1)得:A(−4,1),B(1,4), ∴M(0,4),N(0,1), ∴PM=m−4,PN=m−1,MN=3, 则S =S −S −S △PAB △PAN △PBM 梯形ANMB 1 1 1 = AN·PN− BM·PM− (BM+AN)·MN 2 2 2 1 1 1 = ×4×(m−1)− ×1×(m−4)− (1+4)×3 2 2 2 1 15 =2m−2− m+2− , 2 2 3 15 = m− =3, 2 2 ∴m=7, 即P点的坐标为(0,7), 综上所述:P(0,3)或(0,7). 【点睛】本题考查反比例函数与一次函数综合、待定系数法求函数解析式、利用图像解不等式、坐标与图 形等知识,掌握反比例函数与一次函数图像与性质是解题关键. 题型09 反比例函数与几何综合 解反比例函数与几何图形的综合题,一般先设出几何图形中的未知数,然后结合函数的图像用含未知 数的式子表示出几何图形与图像的交点坐标,再由函数解析式及几何图形的性质写出含未知数及待求字母 系数的当成(组),解方程(组)即可得所求几何图形的未知量或函数解析式中待定字母的值.这类型的题 目主要包括反比例函数与三角形的综合、反比例函数与四边形(平行四边形、矩形、菱形)的综合、反比 例函数与正方形的综合、反比例函数与圆的综合等四种题型. 2 1.(2022·江苏宿迁·统考中考真题)如图,点A在反比例函数y= (x>0)的图像上,以OA为一边作等腰 x 直角三角形OAB,其中∠OAB=90°,AO=AB,则线段OB长的最小值是( ) A.1 B.√2 C.2√2 D.4 85关注公众号:陆陆高分冲刺 ~领取:最新版“小中高考-总复习”、最新试卷下载 【答案】C 【分析】如图,过A作AM∥x轴,交y轴于M,过B作BD⊥x轴,垂足为D,交MA于H,则 ( 2) ∠OMA=∠AHB=90°, 证明△AOM≌△BAH, 可得OM=AH,AM=BH, 设A m, , 则 m 2 2 2 ( 2 2 ) AM=m,OM= ,MH=m+ ,BD= −m, 可得 B m+ , −m , 再利用勾股定理建立函数关系 m m m m m 式,结合完全平方公式的变形可得答案. 【详解】解:如图,过A作AM∥x轴,交y轴于M,过B作BD⊥x轴,垂足为D,交MA于H,则 ∠OMA=∠AHB=90°, ∴∠MOA+∠MAO=90°, ∵AO=AB,AO⊥ AB, ∴∠MAO+∠BAH=90°, ∴∠MOA=∠BAH, ∴△AOM≌△BAH, ∴OM=AH,AM=BH, ( 2) 2 2 2 设A m, , 则AM=m,OM= ,MH=m+ ,BD= −m, m m m m ( 2 2 ) ∴ B m+ , −m , m m ∴OB= √ ( m+ 2) 2 + ( 2 −m ) 2 = √ 2m2+ 8 , m m m2 ∵m>0, 而当a>0,b>0时,则a+b≥2√ab, 8 √ 8 ∴2m2+ ≥2 2m2× =8, m2 m2 8 ∴2m2+ 的最小值是8, m2 ∴OB的最小值是√8=2√2. 故选:C. 【点睛】本题考查的是等腰直角三角形的性质,全等三角形的判定与性质,反比例函数的性质,完全平方 公式的变形应用,勾股定理的应用,掌握“a2+b2≥2ab的变形公式”是解本题的关键. 86关注公众号:陆陆高分冲刺 ~领取:最新版“小中高考-总复习”、最新试卷下载 12 2.(2022·江西·统考中考真题)已知点A在反比例函数y= (x>0)的图象上,点B在x轴正半轴上,若 x △OAB为等腰三角形,且腰长为5,则AB的长为 . 【答案】5或2√5或√10 【分析】因为等腰三角形的腰不确定,所以分三种情况分别计算即可. 【详解】解:①当AO=AB时,AB=5; ②当AB=BO时,AB=5; ③当OA=OB时,则OB=5,B(5,0), 12 设A(a, )(a>0), a ∵OA=5, √ 12 2 ∴ a2+( ) =5, a 解得:a =3,a =4, 1 2 ∴A(3,4)或(4,3), ∴AB=√(3−5) 2+42=2√5或AB=√(4−5) 2+32=√10; 综上所述,AB的长为5或2√5或√10. 故答案为:5或2√5或√10. 【点睛】本题考查了等腰三角形的性质,反比例函数图象上点的坐标特征,考查分类讨论的思想,当时, 求出点的坐标是解题的关键. 3.(2023·安徽·统考中考真题)如图,O是坐标原点,Rt△OAB的直角顶点A在x轴的正半轴上, k AB=2,∠AOB=30°,反比例函数y= (k>0)的图象经过斜边OB的中点C. x (1)k= ; (2)D为该反比例函数图象上的一点,若DB∥AC,则OB2−BD2的值为 . 87关注公众号:陆陆高分冲刺 ~领取:最新版“小中高考-总复习”、最新试卷下载 【答案】 √3 4 【分析】(1)根据已知条件得出A,B的坐标,根据直角三角形斜边上的中线等于斜边的得出C的坐标, 进而即可求解; (2)根据题意,求得直线AC,BD,联立BD与反比例函数解析式,得出D的坐标,进而根据两点距离公 式求得OB2,BD2,进而即可求解. 【详解】解:(1)∵AB=2,∠AOB=30°,∠OAB=90°, ∴OA=2√3,OB=2AB=4 ∴A(2√3,0),B(2√3,2), ∵C是OB的中点, ∴C(√3,1), k ∵反比例函数y= (k>0)的图象经过斜边OB的中点C. x ∴k=√3; √3 ∴反比例数解析式为y= x 故答案为:√3; (2)∵A(2√3,0),C(√3,1) 设直线AC的解析式为y=kx+b ∴¿ 解得:¿ √3 ∴直线AC的解析式为y=− x+2, 3 ∵DB∥AC, √3 设直线BD的解析式为y=− x+b,将点B(2√3,2)代入并解得b=4, 3 √3 ∴直线BD的解析式为y=− x+4, 3 √3 ∵反比例数解析式为y= x 联立¿ 解得:¿或¿ 当¿时, BD2=(2√3+3−2√3) 2+(2−2+√3) 2=9+3=12 当¿时, BD2=(2√3−2√3+3) 2+(2+√3−2) 2=9+3=12 OB2=(2√3) 2+22=16 ∴OB2−BD2 =4, 故答案为:4. 88关注公众号:陆陆高分冲刺 ~领取:最新版“小中高考-总复习”、最新试卷下载 【点睛】本题考查了反比例函数与几何图形,反比例函数与一次函数交点问题,熟练掌握反比例函数的性 质是解题的关键. a 4.(2023·浙江宁波·统考中考真题)如图,点A,B分别在函数y= (a>0)图象的两支上(A在第一象 x b 限),连接AB交x轴于点C.点D,E在函数y= (b<0,x<0)图象上,AE∥x轴,BD∥y轴,连接 x DE,BE.若AC=2BC,△ABE的面积为9,四边形ABDE的面积为14,则a−b的值为 ,a 的值为 . 【答案】 12 9 【分析】如图,延长BD,AE交于点Q,BD与x轴交于点K,而AE∥x轴,BD∥y轴,可得∠Q=90°, ( a) ( a) ( a) ( b) (bm a) △BDE的面积是5,设A m, ,B n, ,则Q n, ,D n, ,E , ,利用面积可得 m n m n a m (b−a)(bm−an)=10na①,(n−m)(a−b)=18n②,由OK∥AQ,AC=2BC,可得QK=2BK,可 得n=−2m③,再利用方程思想解题即可. 【详解】解:如图,延长BD,AE交于点Q,BD与x轴交于点K,而AE∥x轴,BD∥y轴, ∴∠Q=90°, ∵△ABE的面积为9,四边形ABDE的面积为14, ∴△BDE的面积是5, ( a) ( a) 设A m, ,B n, , m n ( a) ( b) (bm a) ∴Q n, ,D n, ,E , m n a m b a bm bm a a ∴BD= − ,EQ= −n,AE=m− ,BQ= − , n n a a m n 89关注公众号:陆陆高分冲刺 ~领取:最新版“小中高考-总复习”、最新试卷下载 1(b a)(bm ) 1( bm)( a a) ∴ − −n =5, m− − =9, 2 n n a 2 a m n 整理得:(b−a)(bm−an)=10na①,(n−m)(a−b)=18n②, ∵OK∥AQ,AC=2BC, BK BC 1 ∴ = = , QK AC 2 ∴QK=2BK, a ( a) ∴ =2× − ,则n=−2m③, m n 把③代入②得:−3m(a−b)=18×(−2m), ∴a−b=12,即b=a−12④, 把③代入①得:(b−a)(b+2a)=−20a⑤, 把④代入⑤得:a=9; 故答案为:12;9 【点睛】本题考查的是反比例函数的几何应用,平行线分线段成比例的应用,坐标与图形面积,熟练的利 用方程思想解题是关键. 5.(2021·河南·统考中考真题)如图,大、小两个正方形的中心均与平面直角坐标系的原点O重合,边分 k 别与坐标轴平行,反比例函数y= 的图象与大正方形的一边交于点A(1,2),且经过小正方形的顶点B. x (1)求反比例函数的解析式; (2)求图中阴影部分的面积. 2 【答案】(1)反比例函数的解析式为y= ;(2)阴影部分的面积为8. x 【分析】(1)利用待定系数法即可求解; (2)根据点B是小正方形在第一象限的一个点,知其横纵坐标相等,求得点B的坐标,继而求得小正方 形的面积,再求得大正方形的面积,从而求得阴影部分的面积. k 【详解】解:(1)由题意,点A(1,2)在反比例函数y= 的图象上, x ∴k=1×2=2, 2 ∴反比例函数的解析式为y= ; x (2)点B是小正方形在第一象限的一个点,由题意知其横纵坐标相等, 90关注公众号:陆陆高分冲刺 ~领取:最新版“小中高考-总复习”、最新试卷下载 设B(a,a),则有k=a×a=2, ∴a=√2,即B(√2,√2), ∴小正方形的边长为2√2, ∴小正方形的面积为(2√2) 2=8, 大正方形经过点A(1,2),则大正方形的边长为4, ∴大正方形的面积为42=16, ∴图中阴影部分的面积为16-8=8. 【点睛】本题考查了反比例函数与几何的综合,反比例函数图象上点的坐标特征,解题的关键是根据点的 坐标,利用待定系数法求出反比例函数解析式. 题型10 求二次函数的解析式 求二次函数解析式的一般方法: 1)一般式y=ax2+bx+c.代入三个点的坐标列出关于a, b, c的方程组,并求出a, b, c,就可以写出二次 函数的解析式. 2)顶点式y=a(x-h)2+k.根据顶坐标点(h,k),可设顶点式y=a(x-h)2+k,再将另一点的坐标代入,即可求 出a的值,从而写出二次函数的解析式. 3)交点式y=a(x-x)(x-x).当抛物线与x轴的两个交点为(x,0)、(x,0)时,可设y=a(x-x)(x-x),再将 1 2 1 2 1 2 另一点的坐标代入即可求出a的值,从而写出二次函数的解析式. 1.(2023·江苏泰州·统考中考真题)函数y与自变量x的部分对应值如表所示,则下列函数表达式中,符 合表中对应关系的可能是( ) x 1 2 4 y 4 2 1 a A.y=ax+b(a<0) B.y= (a<0) x C.y=ax2+bx+c(a>0) D.y=ax2+bx+c(a<0) 【答案】C 【分析】根据反比例函数的坐标特征,一次函数的性质,二次函数的坐标特征即可判断. 【详解】解:A、若直线y=ax+b过点(1,4),(2,2), 则¿,解得¿, 所以y=−2x+6, 当x=4时,y=−2,故(4,1)不在直线y=ax+b上,故A不合题意; B、由表格可知,y与x的每一组对应值的积是定值为4,所以y是x的反比例函数,a=4>0,不合题意; 91关注公众号:陆陆高分冲刺 ~领取:最新版“小中高考-总复习”、最新试卷下载 C、把表格中的函数y与自变量x的对应值代入y=ax2+bx+c得 ¿,解得¿,符合题意; D、由C可知,不合题意. 故选:C. 【点睛】主要考查反比例函数、一次函数以及二次函数图象上点的坐标特征,熟练掌握待定系数法是解题 的关键. 2.(2021·广东广州·统考中考真题)抛物线y=ax2+bx+c经过点(−1,0)、(3,0),且与y轴交于点(0,−5), 则当x=2时,y的值为( ) A.−5 B.−3 C.−1 D.5 【答案】A 【分析】解法一:先利用待定系数法求出抛物线解析式,再求函数值即可. 解法二:利用二次函数图象的对称性可知:x=2和x=0对应的函数值相等,从而得解. 【详解】解:∵抛物线y=ax2+bx+c经过点(−1,0)、(3,0),且与y轴交于点(0,−5), ∴¿, 解方程组得¿, 5 10 ∴抛物线解析式为y= x2− x−5, 3 3 5 10 当x=2时,y= ×4− ×2−5=−5. 3 3 故选择A. 解法二:抛物线y=ax2+bx+c经过点(−1,0)、(3,0), −1+3 ∴抛物线的对称轴为:x= =1, 2 0+2 又∵ =1, 2 ∴x=2和x=0的函数值相等,即均为−5, 故选择A. 【点睛】本题考查待定系数法求抛物线解析式,和函数值,掌握系数法求抛物线解析式方法和函数值求法 是解题关键.同时利用数形结合思想和对称性解题会起到事半功倍的效果. 3.(2023·浙江宁波·统考中考真题)如图,已知二次函数y=x2+bx+c图象经过点A(1,−2)和B(0,−5). (1)求该二次函数的表达式及图象的顶点坐标. 92关注公众号:陆陆高分冲刺 ~领取:最新版“小中高考-总复习”、最新试卷下载 (2)当y≤−2时,请根据图象直接写出x的取值范围. 【答案】(1)y=x2+2x−5,顶点坐标为(−1,−6); (2)−3≤x≤1 【分析】(1)把A(1,−2)和B(0,−5)代入y=x2+bx+c,建立方程组求解解析式即可,再把解析式化 为顶点式,可得顶点坐标; (2)把y=−2代入函数解析式求解x的值,再利用函数图象可得y≤−2时x的取值范围. 【详解】(1)解:∵二次函数y=x2+bx+c图象经过点A(1,−2)和B(0,−5). ∴¿,解得:¿, ∴抛物线为y=x2+2x−5=(x+1) 2−6, ∴顶点坐标为:(−1,−6); (2)当y=−2时,(x+1) 2−6=−2, ∴(x+1) 2=4 解得:x =1,x =−3, 1 2 如图,当y≤−2时, ∴−3≤x≤1. 【点睛】本题考查的是利用待定系数法求解二次函数的解析式,二次函数的顶点坐标,利用图象法解不等 式,熟练的运用数形结合的方法解题是关键. 题型11 二次函数的图象与性质 二次函数的图象是一条关于某条直线对称的曲线,这条曲线叫抛物线,该直线叫做抛物线的对称轴, 图象特征 对称轴与抛物线的交点叫做抛物线的顶点. 基本形式 y=ax2 y=ax2+k y=a(x-h)2 y=a(x-h)2+k y=ax2+bx+c 93关注公众号:陆陆高分冲刺 ~领取:最新版“小中高考-总复习”、最新试卷下载 y y y y y h>0,k>0 a>0 k>0 h<0 h>0 x x x x x O O O O h<0,k<0 O 图 象 y y y y y h<0,k>0 x x x x O O a<0 O k<0 h<0 O h>0 h>0,k<0 x O b 对称轴 y轴 y轴 x=h x=h x=− 2a b 4ac−b2 (− , 顶点坐标 (0,0) (0,k) (h,0) (h,k) 2a 4a ) a>0 开口向上,顶点是最低点,此时 y 有最小值; 最 a<0 开口向下,顶点是最高点,此时y有最大值. 值 4ac−b2 【小结】二次函数最小值(或最大值)为0(k或 ). 4a 增 a>0 在对称轴的左边y随x的增大而减小,在对称轴的右边y随x的增大而增大. 减 a<0 在对称轴的左边y随x的增大而增大,在对称轴的右边y随x的增大而减小. 性 1.(2023·辽宁大连·统考中考真题)已知抛物线y=x2−2x−1,则当0≤x≤3时,函数的最大值为( ) A.−2 B.−1 C.0 D.2 【答案】D 【分析】把抛物线y=x2−2x−1化为顶点式,得到对称轴为x=1,当x=1时,函数的最小值为−2,再分 别求出x=0和x=3时的函数值,即可得到答案. 【详解】解:∵y=x2−2x−1=(x−1) 2−2, ∴对称轴为x=1,当x=1时,函数的最小值为−2, 当x=0时,y=x2−2x−1=−1,当x=3时,y=32−2×3−1=2, ∴当0≤x≤3时,函数的最大值为2, 故选:D 94关注公众号:陆陆高分冲刺 ~领取:最新版“小中高考-总复习”、最新试卷下载 【点睛】此题考查了二次函数的最值,熟练掌握二次函数的性质是解题的关键. 2.(2023·甘肃兰州·统考中考真题)已知二次函数y=−3(x−2) 2−3,下列说法正确的是( ) A.对称轴为x=−2 B.顶点坐标为(2,3) C.函数的最大值是-3D.函数的最小值是-3 【答案】C 【分析】根据二次函数的图象及性质进行判断即可. 【详解】二次函数y=−3(x−2) 2−3的对称轴为x=2,顶点坐标为(2,−3) ∵−3<0 ∴二次函数图象开口向下,函数有最大值,为y=−3 ∴A、B、D选项错误,C选项正确 故选:C 【点睛】本题考查二次函数的图象及性质,熟练掌握二次函数图象和性质是解题的关键. 3.(2023·四川甘孜·统考中考真题)下列关于二次函数y=(x−2) 2−3的说法正确的是( ) A.图象是一条开口向下的抛物线 B.图象与x轴没有交点 C.当x<2时,y随x增大而增大 D.图象的顶点坐标是(2,−3) 【答案】D 【分析】由二次函数解析式可得抛物线开口方向、对称轴、顶点坐标,与x轴的交点个数,由此解答即可. 【详解】解:A、∵a=1>0,图象的开口向上,故此选项不符合题意; B、∵ y=(x−2) 2−3=x2−4x+1, ∴ Δ=(−4) 2−4×1×1=12>0, 即图象与x轴有两个交点, 故此选项不符合题意; C、∵抛物线开口向上,对称轴为直线x=2, ∴当x<2时,y随x增大而减小, 故此选项不符合题意; D、∵ y=(x−2) 2−3, ∴图象的顶点坐标是(2,−3), 故此选项符合题意; 故选:D. 【点睛】本题考查了二次函数的图象性质,解题的关键是掌握二次函数图象与系数的关系. 4.(2022·湖北荆门·统考中考真题)抛物线y=x2+3上有两点A(x,y),B(x,y),若y<y,则下 1 1 2 2 1 2 列结论正确的是( ) A.0≤x<x B.x<x≤0 1 2 2 1 C.x<x≤0或0≤x<x D.以上都不对 2 1 1 2 【答案】D 【分析】根据二次函数图象及性质,即可判定. 95关注公众号:陆陆高分冲刺 ~领取:最新版“小中高考-总复习”、最新试卷下载 【详解】∵抛物线y=x2+3开口向上,在其图象上有两点A(x,y),B(x,y),且y<y, 1 1 2 2 1 2 ∴|x|<|x|, 1 2 ∴0≤x<x,或x<x≤0,或x20 开口向上 a的正负决定开口方向,a的大小决定开 口的大小(|a|越大,抛物线的开口小). a<0 开口向下 b=0 坐标轴是y轴 b ab>0(a,b同号) 对称轴在y轴左侧 左同右异 ab<0((a,b异号)) 对称轴在y轴右侧 c=0 图象过原点 c决定了抛物线与y轴交点的位置. c c>0 与y轴正半轴相交 c<0 与y轴负半轴相交 二、二次函数y=ax2+bx+c(a≠0)的常见结论 自变量x的值 函数值 图象上对应点的位置 结论 x轴的上方 4a-2b+c >0 -2 4a-2b+c x轴上 4a-2b+c =0 x轴的下方 4a-2b+c <0 x轴的上方 a-b+c >0 -1 a-b+c x轴上 a-b+c =0 x轴的下方 a-b+c <0 x轴的上方 a+b+c >0 1 a+b+c x轴上 a+b+c =0 x轴的下方 a+b+c <0 96关注公众号:陆陆高分冲刺 ~领取:最新版“小中高考-总复习”、最新试卷下载 x轴的上方 4a+2b+c >0 2 4a+2b+c x轴上 4a+2b+c =0 x轴的下方 4a+2b+c <0 1.(2022·四川成都·统考中考真题)如图,二次函数y=ax2+bx+c的图像与x轴相交于A(−1,0),B两 点,对称轴是直线x=1,下列说法正确的是( ) A.a>0 B.当x>−1时,y的值随x值的增大而增大 C.点B的坐标为(4,0) D.4a+2b+c>0 【答案】D 【分析】结合二次函数图像与性质,根据条件与图像,逐项判定即可. 【详解】解:A、根据图像可知抛物线开口向下,即a<0,故该选项不符合题意; B、根据图像开口向下,对称轴为x=1,当x>1,y随x的增大而减小;当x<1,y随x的增大而增大,故 当−11,y随x的增大而减小,故该选项不符合题意; C、根据二次函数y=ax2+bx+c的图像与x轴相交于A(−1,0),B两点,对称轴是直线x=1,可得对称轴 x +(−1) x= B =1,解得x =3,即B(3,0),故该选项不符合题意; B 2 D、根据B(3,0)可知,当x=2时,y=4a+2b+c>0,故该选项符合题意; 故选:D. 【点睛】本题考查二次函数的图像与性质,根据图像得到抛物线开口向下,根据对称轴以及抛物线与x轴 交点A(−1,0)得到B(3,0)是解决问题的关键. 2.(2023·湖南娄底·统考中考真题)已知二次函数y=ax2+bx+c的图象如图所示,给出下列结论:① abc<0;②4a−2b+c>0;③a−b>m(am+b)(m为任意实数);④若点(−3,y )和点(3,y )在该图象 1 2 上,则y >y .其中正确的结论是( ) 1 2 97关注公众号:陆陆高分冲刺 ~领取:最新版“小中高考-总复习”、最新试卷下载 A.①② B.①④ C.②③ D.②④ 【答案】D 【分析】由抛物线的开口向下,与y轴交于正半轴,对称轴在y轴的左边,可得a<0,c>0, b<0,故① 不符合题意;当x=0与x=−2时的函数值相等,可得4a−2b+c=c>0,故②符合题意;当x=−1时函数 值最大,可得a−b≥m(am+b),故③不符合题意;由点(−3,y )和点(3,y )在该图象上,而 1 2 3−(−1)=4>(−1)−(−3)=2,且离抛物线的对称轴越远的点的函数值越小,可得④符合题意. 【详解】解:∵抛物线的开口向下,与y轴交于正半轴,对称轴在y轴的左边, b ∴a<0,c>0,x=− <0, 2a ∴b<0, ∴abc>0,故①不符合题意; ∵对称轴为直线x=−1, ∴当x=0与x=−2时的函数值相等, ∴4a−2b+c=c>0,故②符合题意; ∵当x=−1时函数值最大, ∴a−b+c≥am2+bm+c, ∴a−b≥m(am+b);故③不符合题意; ∵点(−3,y )和点(3,y )在该图象上, 1 2 而3−(−1)=4>(−1)−(−3)=2,且离抛物线的对称轴越远的点的函数值越小, ∴y >y .故④符合题意; 1 2 故选:D. 【点睛】本题考查的是二次函数的图象与性质,熟记二次函数的开口方向,与y轴的交点坐标,对称轴方 程,增减性的判定,函数的最值这些知识点是解本题的关键. 3.(2023·四川广安·统考中考真题)如图所示,二次函数y=ax2+bx+c(a、b、c为常数,a≠0)的图 象与x轴交于点A(−3,0),B(1,0).有下列结论:①abc>0;②若点(−2,y )和(−0.5,y )均在抛物线上, 1 2 则y 0.其中正确的有( ) 1 2 98关注公众号:陆陆高分冲刺 ~领取:最新版“小中高考-总复习”、最新试卷下载 A.1个 B.2个 C.3个 D.4个 【答案】C 【分析】根据二次函数图像的性质、二次函数图像与系数的关系以及与x轴交点问题逐项分析判断即可. 【详解】解:由图可知,二次函数开口方向向下,与y轴正半轴交于一点, ∴a<0,c>0. b ∵− <0, 2a ∴b<0. ∴abc>0. 故①正确. ∵ A(−3,0),B(1,0)是关于二次函数对称轴对称, b ∴− =−1. 2a ∴(−2,y )在对称轴的左边,(−0.5,y )在对称轴的右边,如图所示, 1 2 ∴y 0;②2a+b=0;③4a+2b+c>0;④am2+bm>a+b;⑤3a+c>0.其中正确 的有( ) A.4个 B.3个 C.2个 D.1个 【答案】B 【分析】由抛物线的开口方向、与y轴交点以及对称轴的位置可判断a、b、c的符号,由此可判断①正确; b 由抛物线的对称轴为x=1,得到− =1,即可判断②;可知x=2时和x=0时的y值相等可判断③正确; 2a 由图知x=1时二次函数有最小值,可判断④错误;由抛物线的对称轴为x=1可得b=−2a,因此 y=ax2−2ax+c,根据图像可判断⑤正确. 【详解】①∵抛物线的开口向上, ∴a>0. ∵抛物线与y轴交点在y轴的负半轴上, ∴c<0. b 由− >0得,b<0, 2a ∴abc>0, 故①正确; ②∵抛物线的对称轴为x=1, 100关注公众号:陆陆高分冲刺 ~领取:最新版“小中高考-总复习”、最新试卷下载 b ∴ − =1, 2a ∴ b=−2a, ∴ 2a+b=0,故②正确; ③由抛物线的对称轴为x=1,可知x=2时和x=0时的y值相等. 由图知x=0时,y<0, ∴x=2时,y<0. 即4a+2b+c<0. 故③错误; ④由图知x=1时二次函数有最小值, ∴a+b+c≤am2+bm+c, ∴a+b≤am2+bm, a+b≤m(ax+b), 故④错误; b ⑤由抛物线的对称轴为x=1可得− =1, 2a ∴b=−2a, ∴y=ax2−2ax+c, 当x=−1时,y=a+2a+c=3a+c. 由图知x=−1时y>0, ∴3a+c>0. 故⑤正确. 综上所述:正确的是①②⑤,有3个, 故选:B. 【点睛】本题主要考查了二次函数的图像与系数的关系,二次函数的对称轴及顶点位置.熟练掌握二次函 数图像的性质及数形结合是解题的关键. 题型13 二次函数与一次函数、反比例函数综合判断 1.(2021·广东深圳·统考中考真题)二次函数y=ax2+bx+1的图象与一次函数y=2ax+b在同一平面直 角坐标系中的图象可能是( ) A. B. C. D. 【答案】A 101关注公众号:陆陆高分冲刺 ~领取:最新版“小中高考-总复习”、最新试卷下载 【分析】先分析二次函数y=ax2+bx+1的图像的开口方向即对称轴位置,而一次函数y=2ax+b的图像 b 恒过定点(− ,0),即可得出正确选项. 2a b b 【详解】二次函数y=ax2+bx+1的对称轴为x=− ,一次函数y=2ax+b的图像恒过定点(− ,0), 2a 2a b 所以一次函数的图像与二次函数的对称轴的交点为(− ,0),只有A选项符合题意. 2a 故选A. 【点睛】本题考查了二次函数的图像与性质、一次函数的图像与性质,解决本题的关键是能推出一次函数 b y=2ax+b的图像恒过定点(− ,0),本题蕴含了数形结合的思想方法等. 2a 2.(2021·江西·中考真题)在同一平面直角坐标系中,二次函数y=ax2与一次函数y=bx+c的图象如图 所示,则二次函数y=ax2+bx+c的图象可能是( ) A. B. C. D. 【答案】D 【分析】根据二次函数y=ax2与一次函数y=bx+c的图象可知a>0,b>0,c<0,从而判断出二次函数 y=ax2+bx+c的图象. 【详解】解:∵二次函数y=ax2的图象开口向上, ∴a>0, ∵次函数y=bx+c的图象经过一、三、四象限, ∴b>0,c<0, 对于二次函数y=ax2+bx+c的图象, ∵a>0,开口向上,排除A、B选项; ∵a>0,b>0, b ∴对称轴x=− <0, 2a ∴D选项符合题意; 故选:D. 【点睛】本题考查了一次函数的图象以及二次函数的图象,根据二次函数的图象和一次函数图象经过的象 限,找出a>0,b>0,c<0是解题的关键. 3.(2022·山东菏泽·统考中考真题)根据如图所示的二次函数y=ax2+bx+c的图象,判断反比例函数 a y= 与一次函数y=bx+c的图象大致是( ) x 102关注公众号:陆陆高分冲刺 ~领取:最新版“小中高考-总复习”、最新试卷下载 A. B. C. D. 【答案】A a 【分析】先根据二次函数的图象,确定a、b、c的符号,再根据a、b、c的符号判断反比例函数y= 与一 x 次函数y=bx+c的图象经过的象限即可. 【详解】解:由二次函数图象可知a>0,c<0, b 由对称轴x=− >0,可知b<0, 2a a 所以反比例函数y= 的图象在一、三象限, x 一次函数y=bx+c经过二、三、四象限. 故选:A. 【点睛】本题主要考查二次函数图象的性质、一次函数的图象的性质、反比例函数图象的性质,关键在于 通过二次函数图象推出a、b、c的取值范围. b 4.(2021·山东青岛·统考中考真题)已知反比例函数y= 的图象如图所示,则一次函数y=cx+a和二次 x 函数y=ax2+bx+c在同一直角坐标系中的图象可能是( ) A. B. C. D. 【答案】D 【分析】根据反比例函数的图象得出b<0,逐一分析四个选项,根据二次函数图象的开口以及对称轴与y 轴的关系,抛物线与y轴的交点,即可得出a、b、c的正负,由此即可得出一次函数图象经过的象限,再 与函数图象进行对比即可得出结论. 【详解】解:∵反比例函数的图象在二、四象限, ∴b<0, A、∵二次函数图象开口向上,对称轴在y轴右侧,交y轴的负半轴, ∴a>0,b<0,c<0, ∴一次函数图象应该过第一、二、四象限,A错误; B、∵二次函数图象开口向下,对称轴在y轴右侧, ∴a<0,b>0, 103关注公众号:陆陆高分冲刺 ~领取:最新版“小中高考-总复习”、最新试卷下载 ∴与b<0矛盾,B错误; C、∵二次函数图象开口向下,对称轴在y轴右侧, ∴a<0,b>0, ∴与b<0矛盾,C错误; D、∵二次函数图象开口向上,对称轴在y轴右侧,交y轴的负半轴, ∴a<0,b<0,c<0, ∴一次函数图象应该过第一、二、四象限,D正确. 故选:D. 【点睛】本题主要考查了一次函数、反比例函数、二次函数的图象与性质,根据函数图象与系数的关系进 行判断是解题的关键,同时考查了数形结合的思想. 题型14 求二次函数最值 自变量取值范围 图象 最大值 最小值 b y 当 x=− 时,二次函 2a x a>0 4ac−b2 O 数取得最小值 4a 全体实数 b y 当 x=− 时,二次函 2a a<0 4ac−b2 x 数取得最大值 4a O 当x=x2时,二次函数取 b y 当 x=− 时,二次函 2a 得最大值y2 y 2 x 4ac−b2 数取得最小值 x O x 4a 1 2 104关注公众号:陆陆高分冲刺 ~领取:最新版“小中高考-总复习”、最新试卷下载 当x=x1时,二次函数取 b y 当 x=− 时,二次函 2a 得最大值y1 y 1 x 4ac−b2 x x 数取得最小值 1 2 4a y 2 当x=x2时,二次函数取 当x=x1时,二次函数取 y 得最大值y2 得最小值y1 x 1 x O x 2 y 2 y 1 备注:自变量的取值为x1≤x≤x2时,且二次项系数a<0的最值情况请自行推导. y y y x 1 x x O x x 1 x 2 x O x O x 1 2 2 y 1 y y y 2 2 1 y 2 y 1 1. 抛物线的增减性问题,由a的正负和对称轴同时确定,单一的直接说,y随x 的增大而增大(或减小) 是 不对的,必须附加一定的自变量x 取值范围. 2. 抛物线在平移的过程中,a的值不发生变化,变化的只是顶点的位置,且与平移方向有关. 3. 涉及抛物线的平移时,首先将表达式转化为顶点式 y=a(x-h)2+k的形式,因为二次函数平移遵循“上 加下减,左加右减”的原则,因此可以直接由解析式中常数的加或减求出变化后的解析式. 1.(2023·山东泰安·统考中考真题)二次函数y=−x2−3x+4的最大值是 . 25 【答案】 4 【分析】利用配方法把二次函数一般式化为顶点式,即可求解. 【详解】解:利用配方法,将一般式化成顶点式: 105关注公众号:陆陆高分冲刺 ~领取:最新版“小中高考-总复习”、最新试卷下载 3 25 y=−x2−3x+4 =−(x+ )2+ 2 4 ∵二次函数开口向下, ∴顶点处取最大值, 3 25 即当x=− 时,最大值为 . 2 4 25 故答案为: . 4 【点睛】本题考查二次函数的相关知识.将一般式化为顶点式,顶点处取到最值.其中配方法是解决问题 的关键,也是易错点. 2.(2023·陕西·统考中考真题)在平面直角坐标系中,二次函数y=x2+mx+m2−m(m为常数)的图像 经过点(0,6),其对称轴在y轴左侧,则该二次函数有( ) 15 15 A.最大值5 B.最大值 C.最小值5 D.最小值 4 4 【答案】D 【分析】将(0,6)代入二次函数解析式,进而得出m的值,再利用对称轴在y轴左侧,得出m=3,再利 用二次函数的顶点式即可求出二次函数最值. 【详解】解:将(0,6)代入二次函数解析式y=x2+mx+m2−m得:6=m2−m,解得:m =3,m =−2, 1 2 b m ∵二次函数y=x2+mx+m2−m,对称轴在y轴左侧,即x=− =− <0, 2a 2 ∴m>0, ∴m=3, ∴y=x2+3x+6= ( x+ 3) 2 + 15 , 2 4 2 15 ∴当x=− 时,二次函数有最小值,最小值为 , 3 4 故选:D. 【点睛】此题主要考查了二次函数的性质以及二次函数的最值,正确得出m的值是解题关键. 3.(2022·内蒙古包头·中考真题)已知实数a,b满足b−a=1,则代数式a2+2b−6a+7的最小值等于 ( ) A.5 B.4 C.3 D.2 【答案】A 【分析】由已知得b=a+1,代入代数式即得a2-4a+9变形为(a-2)2+5,再根据二次函数性质求解. 【详解】解:∵b-a=1, ∴b=a+1, ∴a2+2b-6a+7 =a2+2(a+1)-6a+7 106关注公众号:陆陆高分冲刺 ~领取:最新版“小中高考-总复习”、最新试卷下载 =a2-4a+9 =(a-2)2+5, ∵(a-2)2≥0, ∴当a=2时,代数式a2+2b-6a+7有最小值,最小值为5, 故选:A. 【点睛】本题考查二次函数的最值,通过变形将代数式化成(a-2)2+5是解题的关键. 4.(2022·浙江绍兴·统考中考真题)已知函数y=−x2+bx+c(b,c为常数)的图象经过点(0,﹣3), (﹣6,﹣3). (1)求b,c的值. (2)当﹣4≤x≤0时,求y的最大值. (3)当m≤x≤0时,若y的最大值与最小值之和为2,求m的值. 【答案】(1)b=-6,c=-3 (2)x=-3时,y有最大值为6 (3)m=-2或−3−√10 【分析】(1)把(0,-3),(-6,-3)代入y=−x2+bx+c,即可求解; (2)先求出抛物线的顶点坐标为(-3,6),再由-4≤x≤0,可得当x=-3时,y有最大值,即可求解; (3)由(2)得当x>-3时,y随x的增大而减小;当x≤-3时,y随x的增大而增大,然后分两种情况: 当-3<m≤0时,当m≤-3时,即可求解. 【详解】(1)解:把(0,-3),(-6,-3)代入y=−x2+bx+c,得∶ ¿,解得:¿; (2)解:由(1)得:该函数解析式为y=−x2−6x−3=−(x+3) 2+6, ∴抛物线的顶点坐标为(-3,6), ∵-1<0 ∴抛物线开口向下, 又∵-4≤x≤0, ∴当x=-3时,y有最大值为6. (3)解:由(2)得:抛物线的对称轴为直线x=-3, ∴当x>-3时,y随x的增大而减小;当x≤-3时,y随x的增大而增大, ①当-3<m≤0时, 当x=0时,y有最小值为-3, 当x=m时,y有最大值为−m2−6m−3, ∴−m2−6m−3+(-3)=2, ∴m=-2或m=-4(舍去). ②当m≤-3时, 当x=-3时,y有最大值为6, ∵y的最大值与最小值之和为2, 107关注公众号:陆陆高分冲刺 ~领取:最新版“小中高考-总复习”、最新试卷下载 ∴y最小值为-4, ∴−(m+3) 2+6=-4, ∴m=−3−√10或m=−3+√10(舍去). 综上所述,m=-2或−3−√10. 【点睛】本题主要考查了二次函数的图象和性质,熟练掌握二次函数的图象和性质,并利用分类讨论思想 解答是解题的关键. 题型15 二次函数的平移问题 平移方式(n>0) 一般式y=ax2+bx+c 顶点式y=a(x–h) 2+k 平移口诀 向左平移n个单位 y=a(x+n)2+b(x+n)+c y=a(x-h+n) 2+k 左加 向右平移n个单位 y=a(x-n)2+b(x-n)+c y=a(x-h-n)2+k 右减 向上平移n个单位 y=ax2+bx+c+n y=a(x-h)2+k+n 上加 向下平移n个单位 y=ax2+bx+c-n y=a(x-h)2+k-n 下减 1.(2023·江苏徐州·统考中考真题)在平面直角坐标系中,将二次函数y=(x+1) 2+3的图象向右平移2个 单位长度,再向下平移1个单位长度,所得拋物线对应的函数表达式为( ) A.y=(x+3) 2+2 B.y=(x−1) 2+2 C.y=(x−1) 2+4 D.y=(x+3) 2+4 【答案】B 【分析】根据二次函数图象的平移“左加右减,上加下减”可进行求解. 【详解】解:由二次函数y=(x+1) 2+3的图象向右平移2个单位长度,再向下平移1个单位长度,所得拋 物线对应的函数表达式为y=(x−1) 2+2; 故选B. 【点睛】本题主要考查二次函数图象的平移,熟练掌握二次函数图象的平移是解题的关键. 2.(2021·江苏苏州·统考中考真题)已知抛物线y=x2+kx−k2的对称轴在y轴右侧,现将该抛物线先向右 平移3个单位长度,再向上平移1个单位长度后,得到的抛物线正好经过坐标原点,则k的值是( ) A.−5或2 B.−5 C.2 D.−2 【答案】B 【分析】根据二次函数图象左加右减,上加下减的平移规律进行解答即可. 【详解】解:函数y=x2+kx−k2向右平移3个单位,得:y=(x−3) 2+k(x−3)−k2; 再向上平移1个单位,得:y=(x−3) 2+k(x−3)−k2 +1, ∵得到的抛物线正好经过坐标原点 108关注公众号:陆陆高分冲刺 ~领取:最新版“小中高考-总复习”、最新试卷下载 ∴0=(0−3) 2+k(0−3)−k2 +1即k2+3k−10=0 解得:k=−5或k=2 ∵抛物线y=x2+kx−k2的对称轴在y轴右侧 k ∴x=− >0 2 ∴k<0 ∴k=−5 故选:B. 【点睛】此题主要考查了函数图象的平移,要求熟练掌握平移的规律:左加右减,上加下减. 3.(2021·广东·统考中考真题)把抛物线y=2x2+1向左平移1个单位长度,再向下平移3个单位长度, 得到的抛物线的解析式为 . 【答案】y=2x2+4x 【分析】直接根据“上加下减,左加右减”进行计算即可. 【详解】解:抛物线y=2x2+1向左平移1个单位长度, 再向下平移3个单位长度, 得到的抛物线的解析式为:y=2(x+1) 2+1−3, 即:y=2x2+4x 故答案为:y=2x2+4x. 【点睛】本题主要考查函数图像的平移,熟记函数图像的平移方式“上加下减,左加右减”是解题的关键 一、一次函数 正比例函数 一次函数 一般形式 y=kx+b(k是常数,且k≠0) y=kx+b(k,b是常数,且k≠0) 图象 经过原点的一条直线 一条直线 k的符号决定其增减性; k,b符号 k的符号决定其增减性, 区别 b的符号决定直线与y轴的交点位置; 的作用 同时决定直线所经过的象限 k,b的符号共同决定直线在直角坐标系的位置 求解析式 只需要一对x,y的对应值 需要两对x,y的对应值或两个点的坐标 的条件 或一个点的坐标 联系 1)正比例函数是特殊的一次函数. 109关注公众号:陆陆高分冲刺 ~领取:最新版“小中高考-总复习”、最新试卷下载 2)正比例函数图象与一次函数图象的画法一样,都是过两点画直线,但画一次函数的图象需取两个 不同的点,而画正比例函数的图象只要取一个不同于原点的点即可. 3)一次函数y=kx+b(k≠0)的图象可以看作是正比例函数y=kx(k≠0)的图象沿y轴向上(b>0) 或向下(b<0)平移|b|个单位长度得到的.由此可知直线y=kx+b(k≠0,b≠0)与直线y=kx (k≠0)平行. 4)一次函数与正比例函数有着共同的性质: ①当k>0时,y的值随x值的增大而增大; ②当k<0时,y的值随x值的增大而减小. 二、反比例系数k的几何意义 1.一点一垂线 【模型结论】反比例函数图象上一点关于坐标轴的垂线、与另一坐标轴上一点(含原点)围成的三角形面 1 积为 |k|. 2 y y y y x x x x O O O O y y y y x x x x O O O O 【拓展一】 【拓展二】 【拓展三】(前提:OA=AC) y y y A A A C C E E x x x C O B D O B D O B |k| 结论:S △AOB =S △COD S △AOE =S四边形CEBD S △AOC = 2.一点两垂线 110关注公众号:陆陆高分冲刺 ~领取:最新版“小中高考-总复习”、最新试卷下载 【模型结论】反比例函数图象上一点与坐标轴的两条垂线围成的矩形面积为|k|. y A x O B 【拓展一】 【拓展二】 【拓展三】 y y y A A E A E D C C F F G G x x x O B D O B D O C E B S =S S =S S ▱ =|k| 结论: 矩形ABOE 矩形CDOF 矩形AEFG 矩形CGBD ABCD 3.两点一垂线 【模型结论一】反比例函数与正比例函数图象的交点及由交点向坐标轴所作垂线围成的三角形面积等于| k|, y y A B A O x x B O C C 结论: S = 2S = |k| △ABC △ABO 【模型结论二】反比例函数与一次函数图象的交点及坐标轴上任一点构成三角形的面积,等于坐标轴所分 的两个三角形面积之和. k 如左图,已知一次函数与反比例函数y= 交于A、B两点,且一次函数与x轴交于点C, x 1 1 1 S =S +S = co•|y |+ co•|y |= co(|y |+|y |) 则 △AOB △AOC △BOC 2 A 2 B 2 A B 111关注公众号:陆陆高分冲刺 ~领取:最新版“小中高考-总复习”、最新试卷下载 y y A A C C x x O O B B k 如右图,已知一次函数与反比例函数y= 交于A、B两点,且一次函数与y轴交于点C, x 1 1 1 S =S +S = co•|x |+ co•|x |= co(|x |+|x |) 则 △AOB △AOC △BOC 2 A 2 B 2 A B 4.两点两垂线 【模型结论】反比例函数与正比例函数图象的交点及由交点向坐标轴所作两条垂线围成的图形面积等于 2| k| y y y y x x x x O O O O 5.两点和原点 y y y C C A A C A D B B B M x x x O D O E F D O F 法一 法二 法三 S =S -S -S . 方法一: △AOB △COD △AOC △BOD 【分割】 S =S S =S 方法二:作AE⊥x轴于点E,交OB于点M,BF⊥x轴于点F,而 △OAM 四边形MEFB,则 △AOB 直 角梯形AEFB. S =S -S -S 方法三: △AOB 四边形COFD △AOC △BOF. 【补形】 112关注公众号:陆陆高分冲刺 ~领取:最新版“小中高考-总复习”、最新试卷下载 1 S =S -S = OD•(|y |-|y |) 方法四: △AOB △AOD △BOD 2 A B 1 S =S -S = OC•(|x |-|x |) 方法五: △AOB △BOC △AOC 2 B A 【拓展】 y C A D B M x O E F 方法一:当AD/AC(或BD/BF)=m时,则S 四边形OADB =m|k|. 方法二:作AE⊥x轴于E,则S △OAB =S 直角梯形AEFB (类型一). 6.两曲一平行 【模型讲解】两条双曲线上的两点的连线与一条(或两条)坐标轴平行,求这两点与原点或坐标轴上的点 围成的图形面积,过这两点作坐标轴的垂线,结合k的几何意义求解. 类型一 两条双曲线的k值符号相同 y y = k2/x y y = k2/x y y = k2/x y = k1/x y = k1/x y = k1/x x x x O O O 1 1 结论:S 阴影 =|k1|-|k2| S 阴影 = 2 |k1|- 2 |k2| y y = k2/x y y = k2/x D B y = k1/x C y = k1/x F x x O O E A 113关注公众号:陆陆高分冲刺 ~领取:最新版“小中高考-总复习”、最新试卷下载 S 结论:S 阴影 =|k1|-|k2| S 阴影 =|k1|-|k2|- 直角梯形AFDE 类型二 两条双曲线的k值符号相同 y = k2/x y = k2/x y = k2/x y y y A B A A B D y =k1/x y =k1/x y =k1/x x x x D O C B O C C O 1 S =S = ( S = 结论: △AOB △ACB 2 |k1|+|k2|) 阴影 |k1|+|k2| 三、二次函数 1. 二次函数的图象变换 1)二次函数的平移变换 平移方式(n>0) 一般式y=ax2+bx+c 顶点式y=a(x–h) 2+k 平移口诀 向左平移n个单位 y=a(x+n)2+b(x+n)+c y=a(x-h+n) 2+k 左加 向右平移n个单位 y=a(x-n)2+b(x-n)+c y=a(x-h-n)2+k 右减 向上平移n个单位 y=ax2+bx+c+n y=a(x-h)2+k+n 上加 向下平移n个单位 y=ax2+bx+c-n y=a(x-h)2+k-n 下减 2)二次函数图象的翻折与旋转 变换前 变换方式 变换后 口诀 绕顶点旋转180° y= -a(x-h)²+k a变号,h、k均不变 y=a(x-h)²+k 绕原点旋转180° y= -a(x+h)²-k a、h、k均变号 沿x轴翻折 y= -a(x-h)²-k a、k变号,h不变 沿y轴翻折 y= a(x+h)²+k a、h不变,h变号 2. 二次函数的对称性问题 抛物线的对称性的应用,主要体现在: 1)求一个点关于对称轴对称的点的坐标; 2)已知抛物线上两个点关于对称轴对称,求其对称轴. 114关注公众号:陆陆高分冲刺 ~领取:最新版“小中高考-总复习”、最新试卷下载 解此类题的主要根据:若抛物线上两个关于对称轴对称的点的坐标分别为(x1,y),(x2,y),则抛物线的对 x +x 称轴可表示为直线x= 1 2 . 2 解题技巧: b 1.抛物线上两点若关于直线,则这两点的纵坐标相同,横坐标与x=− 的差的绝对值相等; 2a b 2若二次函数与x轴有两个交点,则这两个交点关于直线x=− 对称; 2a 3二次函数y=ax2+bx+c与y=ax2-bx+c的图象关于y轴对称;二次函数y=ax2+bx+c与y=-ax2-bx-c的 图象于x轴对称. k 1.(2023·海南三亚·统考二模)若点(−1,4)在反比例函数y= 的图象上,则下列各点在此函数图象上的 x 是( ) ( 1 ) (1 ) A. − ,1 B.(−4,−1) C. ,2 D.(−4,1) 4 4 【答案】D 【分析】本题考查利用待定系数法求反比例函数解析式和反比例函数图象上点的坐标特征.先利用待定系 数法求出反比例函数解析式,再逐个选项判断即可. k 【详解】解:将点(−1,4)代入反比例函数解析式,得:4= , −1 解得:k=−4, −4 ∴反比例函数解析式为:y= . x 1 ( 1 ) 当x=− 时,y=16,故 − ,1 不在反比例函数图象上,故A不符合题意; 4 4 当x=−4时,y=1,故(−4,−1)不在反比例函数图象上,(−4,1)在反比例函数图象上,故B不符合题意, D符合题意; 1 (1 ) 当x= 时,y=−16,故 ,2 不在反比例函数图象上,故C不符合题意. 4 4 故选:D. 2.(2023·山东青岛·校考模拟预测)函数y=2(x+3) 2+5的图像是由y=2x2( )得到 A.先向下平移5个单位,再向右平移3个单位 B.先向上平移5个单位,再向左平移3个单位 C.先向上平移5个单位,再向右平移3个单位 D.先向上平移5个单位,再向右平移3个单位 【答案】B 115关注公众号:陆陆高分冲刺 ~领取:最新版“小中高考-总复习”、最新试卷下载 【分析】本题考查函数图像平移,根据函数图像平移法则:左加右减、上加下减,结合题中所给抛物线的 顶点式直接按要求平移即可得到答案. 【详解】解:y=2x2先向上平移5个单位,再向左平移3个单位得到y=2(x+3) 2+5, 故选:B. 3.(2023·新疆乌鲁木齐·模拟预测)如图,已知函数y=ax+b和y=kx的图象交于点P,则根据图象可得 不等式ax+b−4 B.x<−4 C.−4≤x<0 D.x<−2 【答案】A 【分析】本题考查了一次函数交点问题,根据函数图象写出一次函数y=ax+b的图象在一次函数y=kx图 象的下方的自变量的取值范围即可求解. 【详解】∵由函数图象可知,当x>−4时一次函数y=ax+b的图象在一次函数y=kx图象的下方, ∴关于x的不等式ax+b−4. 故选:A. 4.(2023·安徽·模拟预测)已知一次函数y=2x+3的图象经过点P(k,b),则关于x的一次函数y=kx+b (k,b为常数,且k≠0)的图象不可能是( ) A. B. C. D. 【答案】B 【分析】本题考查一次函数的性质及图象,熟练应用一次函数的性质是解答本题的关键.由函数经过点 P(k,b),代入解析式求出函数经过定点(−2,3),结合选项判断即可. 【详解】解:∵一次函数y=2x+3的图象经过点P(k,b), ∴b=2k+3, ∴y=kx+2k+3=k(x+2)+3, ∴对于任意实数k,恒有当x=−2时,y=3, ∴一次函数y=kx+b的图象经过定点(−2,3). 观察可知只有B项图象不满足条件. 116关注公众号:陆陆高分冲刺 ~领取:最新版“小中高考-总复习”、最新试卷下载 故选:B. 5.(2023·吉林长春·校考模拟预测)一块直角三角尺ABC按如图放置,顶点A的坐标为(0,√3),直角顶 k 点C的坐标为(−4,0),∠B=30°,反比例函数y= 过点B,则k的值为( ) x A.−4√3 B.−7√3 C.−21√3 D.−28√3 【答案】D 【分析】本题考查反比例函数与几何的综合应用,解直角三角形,相似三角形的判定和性质.过点B作 AC √3 BD⊥x轴于点D,根据锐角三角函数得到tan30°= = ,证明△CDB∽△AOC,得到 BC 3 AO OC AC √3 = = = ,求出CD=3,BD=4√3,进而求出点B的坐标,即可.解题的关键是求出点B的 CD BD BC 3 坐标. 【详解】解:过点B作BD⊥x轴于点D,则:∠BDC=90°, ∵顶点A的坐标为(0,√3),直角顶点C的坐标为(−4,0), ∴OA=√3,OC=4, ∵直角三角尺ABC,∠B=30°,∠ACB=90°, AC √3 ∴tan30°= = , BC 3 ∵∠BDC=90°=∠BCA=∠AOC, ∴∠DBC=∠ACO=90°−∠BCD, ∴△CDB∽△AOC, AO OC AC √3 √3 4 AC √3 ∴ = = = ,即: = = = , CD BD BC 3 CD BD BC 3 ∴CD=3,BD=4√3, ∴OD=OC+CD=7, 117关注公众号:陆陆高分冲刺 ~领取:最新版“小中高考-总复习”、最新试卷下载 ∴B(−7,4√3), k ∵反比例函数y= 过点B, x ∴k=−7×4√3=−28√3; 故选D. 6.(2023·四川成都·模拟预测)如图,已知二次函数y=ax2+bx+c的图象与x轴相交于A,B两点,与y 1 1 轴交于点C,OA=OC,对称轴为直线x=1,则下列结论:①abc<0;②a+ b+ c=0;③ 2 4 ac+b+1=0;④2+c是关于x的一元二次方程ax2+bx+c=0的一个根.其中正确的有( ) A.1个 B.2个 C.3个 D.4个 【答案】B 【分析】本题考查了抛物线与x轴交点及与二次函数图象与系数的关系,根据二次函数的开口方向,与y 轴的交点,对称轴可知a<0,c>0,b=−2a>0,由此即可判断①②;再根据C(0,c),OA=OC,得 到A(−c,0),即可推出ac−b+1=0,即可判断③;根据对称性求出B(2+c,0),即可判断④. 【详解】解:∵抛物线开口向下, ∴a<0, b ∵抛物线的对称轴为直线x=− =1, 2a ∴b=−2a>0, ∵抛物线与y轴的交点在x轴上方, ∴c>0, ∴abc<0,所以①正确; ∵点A到直线x=1的距离大于1, ∴点B到直线x=1的距离大于1, 即点B在(2,0)的右侧, ∴当x=2时,y>0, 即4a+2b+c>0, 1 1 ∴a+ b+ c>0,所以②错误; 2 4 ∵C(0,c),OA=OC, ∴A(−c,0), 118关注公众号:陆陆高分冲刺 ~领取:最新版“小中高考-总复习”、最新试卷下载 ∴ac2−bc+c=0,即ac−b+1=0,所以③错误; ∵点A与点B关于直线x=1对称, ∴B(2+c,0), ∴2+c是关于x的一元二次方程ax2+bx+c=0的一个根,所以④正确. 故选:B. 7.(2023·广东清远·统考三模)抛物线y=ax2+bx+c的对称轴是直线x=−2,抛物线与x轴的一个交点 在点(−4,0)和点(−3,0)之间,其部分图象如图所示,下列结论①4a−b=0;②a−b+c>0;③关于 x的方程ax2+bx+c=2有两个不相等实数根;④当x>−2时,y随x增大而增大;⑤abc>0;⑥y的最小 值为3.其中正确的个数是( ) A.2个 B.3个 C.4个 D.5个 【答案】B 【分析】本题考查了y=ax²+bx+c的图象与性质,根据对称轴确定抛物线与x轴的另一个交点,补全图 象是解题关键. 【详解】解:∵抛物线y=ax2+bx+c的对称轴是直线x=−2, b ∴− =−2, 2a ∴b=4a, 即:4a−b=0,故①正确; ∵抛物线与x轴的一个交点在点(−4,0)和点(−3,0)之间,对称轴是直线x=−2, ∴抛物线与x轴的另一个交点在点(−1,0)和点(0,0)之间, 补全图象如下: ∴当x=−1时,y=a−b+c>0,故②正确; 由图象可知:抛物线与直线y=2有两个交点, 119关注公众号:陆陆高分冲刺 ~领取:最新版“小中高考-总复习”、最新试卷下载 故关于x的方程ax2+bx+c=2有两个不相等实数根,故③正确; 由图象可知:当x>−2时,y随x增大而减小,故④错误; ∵图象开口向下, ∴a<0 ∵b=4a, ∴b<0 结合抛物线与x轴的两个交点范围可知,抛物线与y轴负半轴相交, ∴c<0, ∴abc<0,故⑤错误; 由图象可知:y的最大值为3,故⑥错误; 故选:B 8.(2023·广东茂名·统考二模)已知函数y=x2−2x+3在闭区间[0,m]上有最大值3,最小值2,则m的 取值范围是( ) A.m≥1 B.0≤m≤2 C.1≤m≤2 D.m≤2 【答案】C 【分析】本题考查了二次函数的性质,由二次函数的解析式可得出抛物线开口向上,对称轴为x=1,顶点 坐标为(1,2),与y轴的交点为(0,3),可画出大致图象,由函数y=x2−2x+3在闭区间[0,m]上有最 大值3,最小值2,结合图象即可得出答案,熟练掌握二次函数的性质,采用数形结合的思想是解此题的关 键. 【详解】解:∵二次函数y=x2−2x+3=(x−1) 2+2, ∴抛物线开口向上,对称轴为x=1,顶点坐标为(1,2), 当x=0时,y=3, ∴与y轴的交点为(0,3), 其大致图象如图所示: , 由对称性可知,当y=3时,x=0或x=2, ∵二次函数y=x2−2x+3在闭区间[0,m]上有最大值3,最小值2, ∴1≤m≤2, 故选:C. 9.(2023·四川广安·统考一模)如图是二次函数y=ax2+bx+c(a≠0)的图象,已知关于x的方程 ax2+bx+c=0的一个根为x =7,则另一个根x 为 . 1 2 120关注公众号:陆陆高分冲刺 ~领取:最新版“小中高考-总复习”、最新试卷下载 【答案】−1 【分析】本题主要考查二次函数的图象与性质,根据二次函数图象的对称性求出点(7,0)关于对称轴轴 x=1的对称点(−1,0)即可. 【详解】解:根据图象知,抛物线y=ax2+bx+c(a≠0)的对称轴为直线x=1,且与x轴的一个交点为 (7,0),则另一个交点为(−1,0), 所以,关于x的方程ax2+bx+c=0的另一个根为−1, 故答案为:−1. 10.(2023·四川广安·统考一模)已知二次函数y=x2−2tx+3的图象上两点A(m,h),B(n,h),且满足 1 −8≤m+n≤−6.当−4≤x≤−2时,该函数的最大值为2t+ ,则t的值为 . 2 13 【答案】− 4 【分析】本题考查了二次函数图象上点的坐标特征,二次函数的最值,根据二次函数的对称性以及对称轴 −2t m+n m+n 方程得到− = ,即t= ,由−8≤m+n≤−6得到−4≤t≤−3,根据题意x=−2时,函数有 2×1 2 2 1 最大值4+4t+3,则4+4t+3=2t+ ,解方程即可. 2 【详解】解:∵二次函数y=x2−2tx+3的图象上两点A(m,h),B(n,h), −2t m+n ∴− = , 2×1 2 m+n ∴t= , 2 ∵−8≤m+n≤−6, ∴−4≤t≤−3, 1 ∵当−4≤x≤−2时,该函数的最大值为2t+ , 2 1 ∴x=−2时,函数有最大值4+4t+3=2t+ , 2 13 解得t=− . 4 121关注公众号:陆陆高分冲刺 ~领取:最新版“小中高考-总复习”、最新试卷下载 13 故答案为:− . 4 11.(2023·广东佛山·佛山市南海区里水镇里水初级中学校考三模)如图,以平行四边形ABCO的顶点O 为原点,边OC所在直线为x轴,建立平面直角坐标系,顶点A、C的坐标分别是(2,4),(3,0),过点A的反 k 比例函数y= 的图象交BC于D. x (1)点B的坐标为______. (2)点D是BC的中点吗?请说明理由; (3)连接AD,求四边形AOCD的面积. 【答案】(1)(5,4) (2)理由见解析 (3)四边形AOCD的面积为9 【分析】本题考查反比例函数系数k的几何意义,平行四边形的性质,反比例函数的解析式,一次函数的 解析式. (1)根据平行四边形的性质即可求出B点坐标; (2)由点A的坐标进可得出反比例函数的解析式,利用待定系数法求出直线BC的解析式,即可求出D点 坐标,即可得出结论; 1 (3)由(2)知点D为BC的中点,△ABD的面积= 平行四边形AOCB的面积,即可求出四边形AOCD 4 的面积.. 【详解】(1)解:∵四边形ABCD是平行四边形,A、C的坐标分别是(2,4),(3,0), ∴OC=AB=3, ∴点B的坐标为:(5,4); k (2)解:把点A(2,4)代入反比例函数y= 得:k=8, x 8 ∴反比例函数的解析式为:y= ; x 设直线BC的解析式为:y=kx+b(k≠0), 把点B(5,4),C(3,0)代入得: ¿, 解得:¿, 122关注公众号:陆陆高分冲刺 ~领取:最新版“小中高考-总复习”、最新试卷下载 ∴直线BC的解析式为:y=2x−6, 解方程组 ¿ 得:¿或 ¿(不合题意,舍去), ∴点D的坐标为:(4,2), 即点D为BC的中点; (3)解:如图,连接AD, ∵点D为BC的中点, 1 ∴ △ABD的面积= 平行四边形AOCB的面积, 4 1 ∴四边形AOCD的面积=平行四边形AOCB的面积−△ABD的面积=3×4− ×3×4=9; 4 ∴四边形AOCD的面积为9. 12.(2023·吉林松原·校联考三模)如图,在平面直角坐标系中,二次函数y=−x2+bx+c的图象经过点 A(0,3),点B(−1,1). (1)求此二次函数的解析式; (2)当−3≤x≤3时,求二次函数y=−x2+bx+c的最大值和最小值; (3)点P为此函数图象上任意一点,其横坐标为m,过点P作PQ∥x轴,点Q的横坐标为−3m−2.已知 点P与点Q不重合,且线段PQ的长度随m的增大而增大. ①求m的取值范围; ②当PQ<14时,直接写出线段PQ与二次函数y=−x2+bx+c ( − 1 ≤x<3 ) 的图象交点个数及对应的m的 2 取值范围. 【答案】(1)y=−x2+x+3; 123关注公众号:陆陆高分冲刺 ~领取:最新版“小中高考-总复习”、最新试卷下载 13 (2)最大值: ,最小值:−9; 4 1 1 3 1 3 (3)− 3− =2 , 2 2 2 2 ∴当x=−3时,y =−32−3+3=−9; 最小值 (3)①PQ=|−3m−2−m|=|−4m−2|, 当−4m−2>0时,PQ=−4m−2的长度随m的增大而减小, 当−4m−2<0时,PQ=4m+2,PQ的长度随m增大而增大. ∴−4m−2<0满足题意, 1 解得:m>− ; 2 ②∵0