当前位置:首页>文档>专题03平面与平面所成角(二面角)(含探索性问题)(典型题型归类训练)(解析版)_02高考数学_2025年新高考资料_二轮复习

专题03平面与平面所成角(二面角)(含探索性问题)(典型题型归类训练)(解析版)_02高考数学_2025年新高考资料_二轮复习

  • 2026-04-07 16:39:15 2026-04-07 16:39:15

文档预览

专题03平面与平面所成角(二面角)(含探索性问题)(典型题型归类训练)(解析版)_02高考数学_2025年新高考资料_二轮复习
专题03平面与平面所成角(二面角)(含探索性问题)(典型题型归类训练)(解析版)_02高考数学_2025年新高考资料_二轮复习
专题03平面与平面所成角(二面角)(含探索性问题)(典型题型归类训练)(解析版)_02高考数学_2025年新高考资料_二轮复习
专题03平面与平面所成角(二面角)(含探索性问题)(典型题型归类训练)(解析版)_02高考数学_2025年新高考资料_二轮复习
专题03平面与平面所成角(二面角)(含探索性问题)(典型题型归类训练)(解析版)_02高考数学_2025年新高考资料_二轮复习
专题03平面与平面所成角(二面角)(含探索性问题)(典型题型归类训练)(解析版)_02高考数学_2025年新高考资料_二轮复习
专题03平面与平面所成角(二面角)(含探索性问题)(典型题型归类训练)(解析版)_02高考数学_2025年新高考资料_二轮复习
专题03平面与平面所成角(二面角)(含探索性问题)(典型题型归类训练)(解析版)_02高考数学_2025年新高考资料_二轮复习
专题03平面与平面所成角(二面角)(含探索性问题)(典型题型归类训练)(解析版)_02高考数学_2025年新高考资料_二轮复习
专题03平面与平面所成角(二面角)(含探索性问题)(典型题型归类训练)(解析版)_02高考数学_2025年新高考资料_二轮复习
专题03平面与平面所成角(二面角)(含探索性问题)(典型题型归类训练)(解析版)_02高考数学_2025年新高考资料_二轮复习
专题03平面与平面所成角(二面角)(含探索性问题)(典型题型归类训练)(解析版)_02高考数学_2025年新高考资料_二轮复习
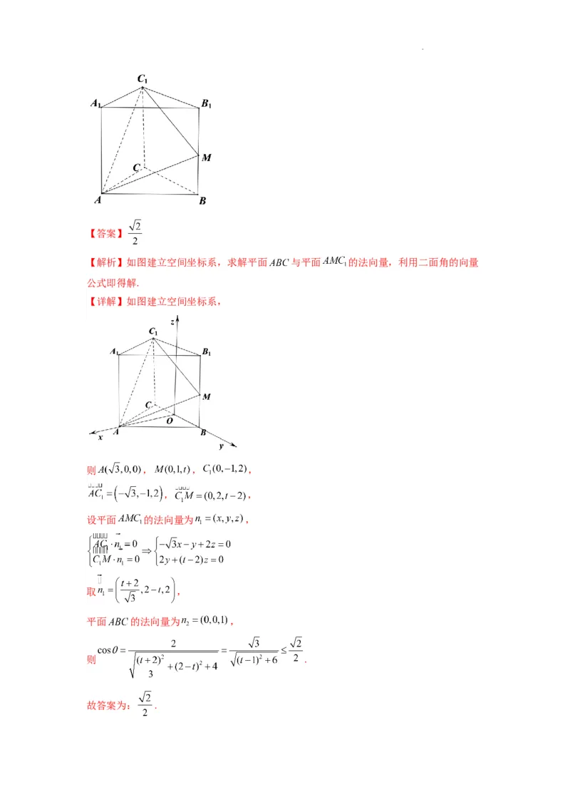
专题03平面与平面所成角(二面角)(含探索性问题)(典型题型归类训练)(解析版)_02高考数学_2025年新高考资料_二轮复习
专题03平面与平面所成角(二面角)(含探索性问题)(典型题型归类训练)(解析版)_02高考数学_2025年新高考资料_二轮复习
专题03平面与平面所成角(二面角)(含探索性问题)(典型题型归类训练)(解析版)_02高考数学_2025年新高考资料_二轮复习
专题03平面与平面所成角(二面角)(含探索性问题)(典型题型归类训练)(解析版)_02高考数学_2025年新高考资料_二轮复习
专题03平面与平面所成角(二面角)(含探索性问题)(典型题型归类训练)(解析版)_02高考数学_2025年新高考资料_二轮复习
专题03平面与平面所成角(二面角)(含探索性问题)(典型题型归类训练)(解析版)_02高考数学_2025年新高考资料_二轮复习
专题03平面与平面所成角(二面角)(含探索性问题)(典型题型归类训练)(解析版)_02高考数学_2025年新高考资料_二轮复习
专题03平面与平面所成角(二面角)(含探索性问题)(典型题型归类训练)(解析版)_02高考数学_2025年新高考资料_二轮复习
专题03平面与平面所成角(二面角)(含探索性问题)(典型题型归类训练)(解析版)_02高考数学_2025年新高考资料_二轮复习
专题03平面与平面所成角(二面角)(含探索性问题)(典型题型归类训练)(解析版)_02高考数学_2025年新高考资料_二轮复习
专题03平面与平面所成角(二面角)(含探索性问题)(典型题型归类训练)(解析版)_02高考数学_2025年新高考资料_二轮复习
专题03平面与平面所成角(二面角)(含探索性问题)(典型题型归类训练)(解析版)_02高考数学_2025年新高考资料_二轮复习
专题03平面与平面所成角(二面角)(含探索性问题)(典型题型归类训练)(解析版)_02高考数学_2025年新高考资料_二轮复习
专题03平面与平面所成角(二面角)(含探索性问题)(典型题型归类训练)(解析版)_02高考数学_2025年新高考资料_二轮复习
专题03平面与平面所成角(二面角)(含探索性问题)(典型题型归类训练)(解析版)_02高考数学_2025年新高考资料_二轮复习
专题03平面与平面所成角(二面角)(含探索性问题)(典型题型归类训练)(解析版)_02高考数学_2025年新高考资料_二轮复习
专题03平面与平面所成角(二面角)(含探索性问题)(典型题型归类训练)(解析版)_02高考数学_2025年新高考资料_二轮复习
专题03平面与平面所成角(二面角)(含探索性问题)(典型题型归类训练)(解析版)_02高考数学_2025年新高考资料_二轮复习
专题03平面与平面所成角(二面角)(含探索性问题)(典型题型归类训练)(解析版)_02高考数学_2025年新高考资料_二轮复习
专题03平面与平面所成角(二面角)(含探索性问题)(典型题型归类训练)(解析版)_02高考数学_2025年新高考资料_二轮复习
专题03平面与平面所成角(二面角)(含探索性问题)(典型题型归类训练)(解析版)_02高考数学_2025年新高考资料_二轮复习
专题03平面与平面所成角(二面角)(含探索性问题)(典型题型归类训练)(解析版)_02高考数学_2025年新高考资料_二轮复习
专题03平面与平面所成角(二面角)(含探索性问题)(典型题型归类训练)(解析版)_02高考数学_2025年新高考资料_二轮复习
专题03平面与平面所成角(二面角)(含探索性问题)(典型题型归类训练)(解析版)_02高考数学_2025年新高考资料_二轮复习
专题03平面与平面所成角(二面角)(含探索性问题)(典型题型归类训练)(解析版)_02高考数学_2025年新高考资料_二轮复习
专题03平面与平面所成角(二面角)(含探索性问题)(典型题型归类训练)(解析版)_02高考数学_2025年新高考资料_二轮复习
专题03平面与平面所成角(二面角)(含探索性问题)(典型题型归类训练)(解析版)_02高考数学_2025年新高考资料_二轮复习
专题03平面与平面所成角(二面角)(含探索性问题)(典型题型归类训练)(解析版)_02高考数学_2025年新高考资料_二轮复习
专题03平面与平面所成角(二面角)(含探索性问题)(典型题型归类训练)(解析版)_02高考数学_2025年新高考资料_二轮复习
专题03平面与平面所成角(二面角)(含探索性问题)(典型题型归类训练)(解析版)_02高考数学_2025年新高考资料_二轮复习
专题03平面与平面所成角(二面角)(含探索性问题)(典型题型归类训练)(解析版)_02高考数学_2025年新高考资料_二轮复习
专题03平面与平面所成角(二面角)(含探索性问题)(典型题型归类训练)(解析版)_02高考数学_2025年新高考资料_二轮复习
专题03平面与平面所成角(二面角)(含探索性问题)(典型题型归类训练)(解析版)_02高考数学_2025年新高考资料_二轮复习
专题03平面与平面所成角(二面角)(含探索性问题)(典型题型归类训练)(解析版)_02高考数学_2025年新高考资料_二轮复习
专题03平面与平面所成角(二面角)(含探索性问题)(典型题型归类训练)(解析版)_02高考数学_2025年新高考资料_二轮复习
专题03平面与平面所成角(二面角)(含探索性问题)(典型题型归类训练)(解析版)_02高考数学_2025年新高考资料_二轮复习
专题03平面与平面所成角(二面角)(含探索性问题)(典型题型归类训练)(解析版)_02高考数学_2025年新高考资料_二轮复习
专题03平面与平面所成角(二面角)(含探索性问题)(典型题型归类训练)(解析版)_02高考数学_2025年新高考资料_二轮复习
专题03平面与平面所成角(二面角)(含探索性问题)(典型题型归类训练)(解析版)_02高考数学_2025年新高考资料_二轮复习
专题03平面与平面所成角(二面角)(含探索性问题)(典型题型归类训练)(解析版)_02高考数学_2025年新高考资料_二轮复习
专题03平面与平面所成角(二面角)(含探索性问题)(典型题型归类训练)(解析版)_02高考数学_2025年新高考资料_二轮复习
专题03平面与平面所成角(二面角)(含探索性问题)(典型题型归类训练)(解析版)_02高考数学_2025年新高考资料_二轮复习
专题03平面与平面所成角(二面角)(含探索性问题)(典型题型归类训练)(解析版)_02高考数学_2025年新高考资料_二轮复习
专题03平面与平面所成角(二面角)(含探索性问题)(典型题型归类训练)(解析版)_02高考数学_2025年新高考资料_二轮复习
专题03平面与平面所成角(二面角)(含探索性问题)(典型题型归类训练)(解析版)_02高考数学_2025年新高考资料_二轮复习
专题03平面与平面所成角(二面角)(含探索性问题)(典型题型归类训练)(解析版)_02高考数学_2025年新高考资料_二轮复习
专题03平面与平面所成角(二面角)(含探索性问题)(典型题型归类训练)(解析版)_02高考数学_2025年新高考资料_二轮复习
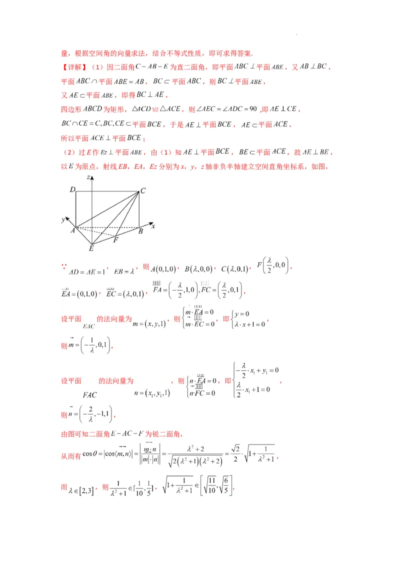
专题03平面与平面所成角(二面角)(含探索性问题)(典型题型归类训练)(解析版)_02高考数学_2025年新高考资料_二轮复习
专题03平面与平面所成角(二面角)(含探索性问题)(典型题型归类训练)(解析版)_02高考数学_2025年新高考资料_二轮复习
专题03平面与平面所成角(二面角)(含探索性问题)(典型题型归类训练)(解析版)_02高考数学_2025年新高考资料_二轮复习

文档信息

文档格式
docx
文档大小
4.576 MB
文档页数
58 页
上传时间
2026-04-07 16:39:15

文档内容

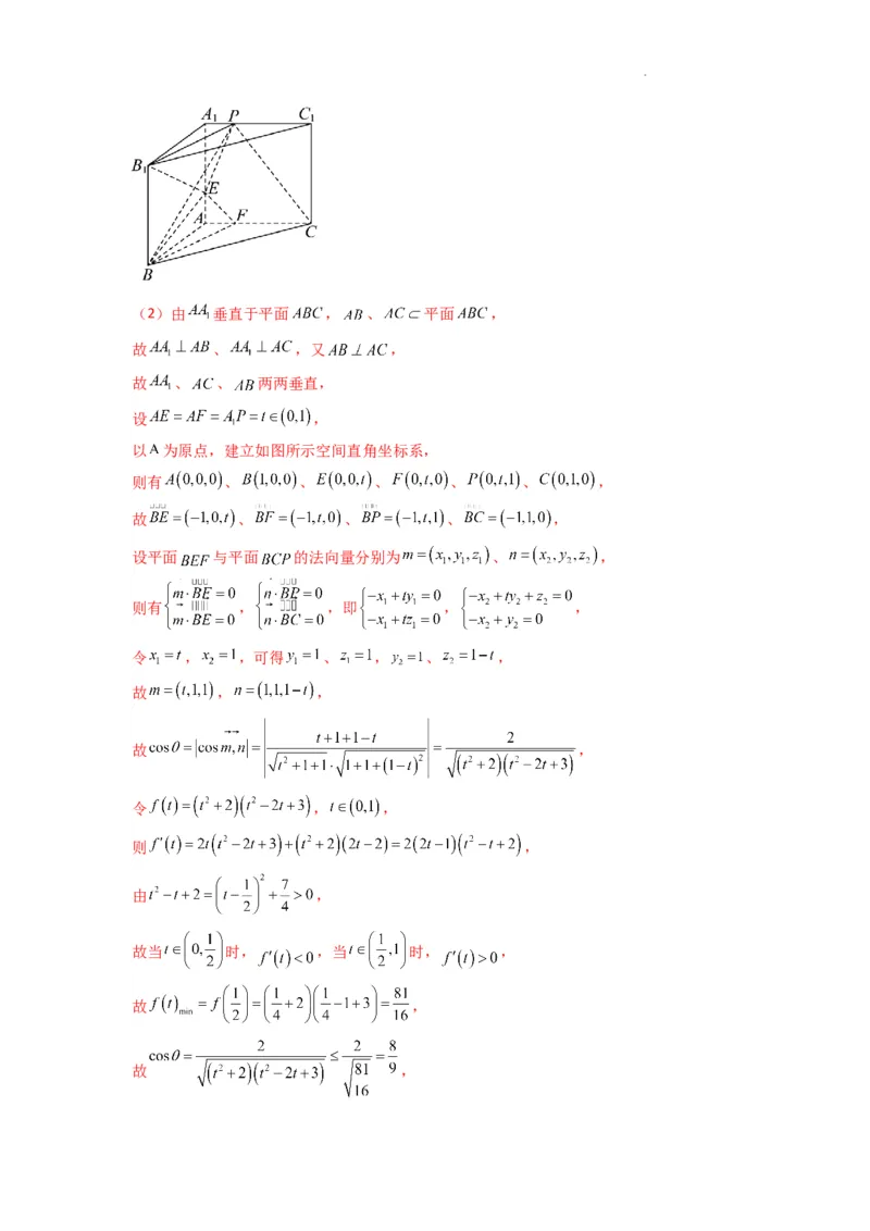
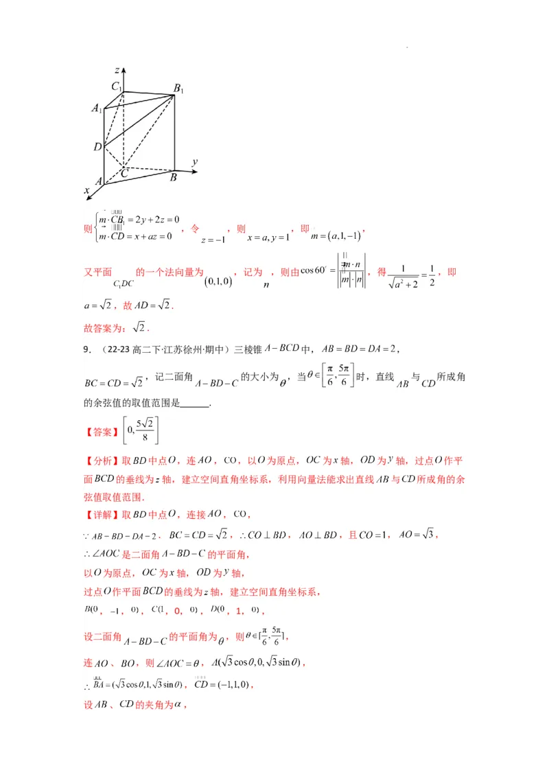
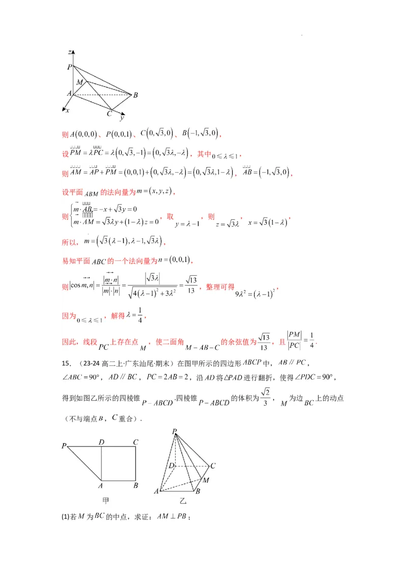
专题 03 平面与平面所成角(二面角)(含探索性问题) (典型题型归类训练) 目录 一、必备秘籍..............................................1 二、典型题型..............................................2 题型一:求二面角.......................................2 题型二:已知二面角求参数..............................10 题型三:求二面角最值(范围)..........................21 三、专项训练.............................................34 一、必备秘籍 1、二面角的平面角定义:从二面角棱上任取一点 ,在二面角的两个半平面内分别作 棱的垂线 、 ,则 称为二面角的平面角. 2、二面角的范围: 3、向量法求二面角平面角 (1)如图①, , 是二面角 的两个面内与棱 垂直的直线,则二面角 的大小 . (2)如图②③, , 分别是二面角 的两个半平面 的法向量,则二面角 学科网(北京)股份有限公司的大小 满足: ; (特别说明,有些题目会提醒求锐二面 角;有些题目没有明显提示,需考生自己看图判定为锐二面角还是钝二面角.) 二、典型题型 题型一:求二面角 1.(2024·河北沧州·一模)已知正四棱柱 的底面边长与侧棱长之比为 ,则平面 与平面 夹角的余弦值为 . 【答案】 【分析】建立空间直角坐标系,利用面面角的向量法求解. 【详解】如图,以点 为原点,以 为 轴,建立空间直角坐标系, 正四棱柱 的底面边长为 ,则 , 所以 则 , 设平面 与平面 的法向量分别为 , 则 ,令 ,则 , 学科网(北京)股份有限公司,令 ,则 , 设向量 的夹角为 ,则 , 所以平面 与平面 夹角的余弦值为 . 故答案为: 2.(2024高三·全国·专题练习)已知正三棱柱ABC-ABC 的棱长均为a,D是侧棱CC 的 1 1 1 1 中点,则平面ABC与平面ABD的夹角的余弦值为 . 1 【答案】 【详解】 以A为坐标原点,以面ABC内垂直于AC的直线为x轴,以AC所在直线为y轴,以AA 所 1 在直线为z轴,建立空间直角坐标系如图所示. 因为ABC-ABC 是各棱长均等于a的正三棱柱,D是侧棱CC 的中点,所以A(0,0,0), 1 1 1 1 B( a, ,a),D(0,a, ),C (0,a,a),故AB =( a, ,a), =(0,a, ),DC = 1 1 1 1 (0,0, ). 设平面ABD的法向量为n=(x,y,z), 1 则 即 令y=1,则z=-2,x= ,故n=( ,1,-2). 又平面ABC的一个法向量为m=(0,0,1),所以|cos 〈m,n〉|= = = ,所以平面ABC与平面ABD的夹角的余弦值为 . 1 【考查意图】 考查向量法求二面角 3.(2024高三·全国·专题练习)在四棱锥 中,底面 是正方形,若 学科网(北京)股份有限公司,则二面角 的平面角的余弦值为 . 【答案】 【分析】 设点 是线段 的中点,由 得 ,根据已知得 ,进而得到 平面 , ,可建如图所示的空间坐标系,利用向量法求解. 【详解】 设点 是线段 的中点,连接 ,由 得 , 由 得 ,所以 , 又正方形中 , , 平面 , 平面 , 故 平面 ,又 平面 ,所以 , 在平面 内,过 作 ,交 于 ,则 , 故可建如图所示的空间坐标系. 则 ,故 . 设平面 的法向量 ,则 即 , 取 ,则 ,故 . 而平面 的法向量为 ,故 . 二面角 的平面角为锐角,故其余弦值为 . 故答案为: . 学科网(北京)股份有限公司4.(2024·湖北黄石·三模)如图,在三棱锥 中, , , 分别是侧棱 , , 的中点, , 平面 . (1)求证:平面 平面 ; (2)如果 , ,求二面角 的余弦值. 【答案】(1)证明见解析 (2) 【分析】(1)易得 ,根据线面垂直的性质证明 ,再根据线面垂直的 判定定理证明 平面 ,再根据面面垂直的判定定理即可得证; (2)易得 两两垂直,求出 ,以点 为原点,建立空间直角坐标系,利 用向量法求解即可. 【详解】(1)因为 , , 分别是侧棱 , , 的中点, 所以 , 因为 ,所以 , 因为 平面 , 平面 , 所以 , 又 平面 , 所以 平面 , 学科网(北京)股份有限公司又因为 平面 , 所以平面 平面 ; (2)因为 平面 , 平面 , 所以 , 因为 ,所以 , 所以 , 因为 平面 , , 所以 平面 , 又 平面 ,所以 , 所以 两两垂直, 如图,以点 为原点,建立空间直角坐标系, 则 , 故 , 设平面 的法向量为 , 则有 ,可取 , 因为 平面 , 所以 即为平面 的一条法向量, 故 , 所以二面角 的余弦值 . 5.(23-24高二下·湖北·期中)如图,在三棱柱 中,底面 侧面 学科网(北京)股份有限公司, , , . (1)证明: ; (2)若三棱锥 的体积为 , 为锐角,求平面 与平面 的夹角. 【答案】(1)证明见解析; (2)30°. 【分析】(1)先利用面面垂直的性质结合已知证明四边形 为菱形,再由线面垂直 的判定定理证明 平面 ,最后可得结果; (2)由等体积法和三角形的面积公式可求出 ,进而得到,然后以C为原点建 立如图所示坐标系,求出平面 的法向量为 ,最后代入空间二面角的向量 公式求出即可. 【详解】(1)∵平面 平面 , 平面 , 平面 平面 , , ∴ 平面 , ∵ 平面 ,∴ , ∵ ,∴ , ∵ ,∴四边形 为菱形, ∴ , ∵ , , 平面 , ∴ 平面 . 又 平面 ∴ . (2)设 为点 到平面 的距离, , 由(1)知 ∴ ∴ , 学科网(北京)股份有限公司∴ ∴ , ∵ 为锐角∴ , 取 中点 ,则 , 以C为原点,以 、 、 分别为x轴、y轴、z轴,建立空间直角坐标系.如图所示: 则 , , , ,设平面 的法向量为 , 则 取 ,则 , 由(1)知, 为平面 的法向量 , , 所以,平面 与平面 的夹角为 . 6.(2024·广东深圳·二模)如图,三棱柱 中,侧面 底面ABC,且 , . (1)证明: 平面ABC; (2)若 , ,求平面 与平面 夹角的余弦值. 【答案】(1)证明见解析; 学科网(北京)股份有限公司(2) . 【分析】(1)取BC的中点M,连结MA、 ,根据等腰三角形性质和线面垂直判定定 理得 平面 ,进而由 得 ,再证明 平面ABC即可得证. (2)建立空间直角坐标系,用向量法求解即可;也可用垂面法作出垂直于 的垂面,从 而得出二面角的平面角再进行求解即可. 【详解】(1)取BC的中点M,连结MA、 . 因为 , ,所以 , , 由于AM, 平面 ,且 , 因此 平面 , 因为 平面 ,所以 , 又因为 ,所以 , 因为平面 平面ABC,平面 平面 ,且 平面 ,所以 平面ABC, 因为 ,所以 平面ABC. (2)法一:因为 ,且 ,所以 . 以AB,AC, 所在直线分别为x轴,y轴,z轴,建立如图所示的空间直角坐标系 , 则 , , , . 学科网(北京)股份有限公司所以 , , . 设平面 的法向量为 ,则 ,可得 , 令 ,则 , 设平面 的法向量为 ,则 ,可得 , 令 ,则 , 设平面 与平面 夹角为 ,则 , 所以平面 与平面 夹角的余弦值为 . 法二:将直三棱柱 补成长方体 . 连接 ,过点C作 ,垂足为P,再过P作 ,垂足为Q,连接CQ, 因为 平面 ,且 平面 , 所以 , 又因为 ,由于BD, 平面 ,且 , 所以 平面 ,则 为直角三角形, 由于 平面 ,所以 , 因为 , 平面CPQ,且 ,所以 平面CPQ, 因为 平面CPQ,所以 , 则∠CQP为平面 与平面 的夹角或补角, 在 中,由等面积法可得 , 因为 ,所以 , 学科网(北京)股份有限公司因此平面 与平面 夹角的余弦值为 . 题型二:已知二面角求参数 1.(2024·河南三门峡·模拟预测)如图,在多面体 中,四边形 为菱形,四 边形 为矩形,且 , 是线段 上的一个动 点,且 . (1)试探究当 为何值时, ∥平面 ,并给出证明; (2)若平面 与平面 夹角的余弦值为 ,求 的值. 【答案】(1) ,证明见解析 (2) 【分析】(1)若 ∥平面 ,根据线面平行的性质可知 ,若 ,由线面平 行的判定定理可知 ∥平面 ,即可得结果; (2)取 的中点 ,连接 ,可证 平面 ,建系,利用空间向量处理面面夹 角问题. 【详解】(1)当 时, ∥平面 ,证明如下: 设 ,则 为 的中点,连接 , 若 ∥平面 ,且 平面 ,平面 平面 , 可知 ∥ , 又因为 ∥ ,可知 为平行四边形, 则 ,可知 ; 当 时, 为 的中点, 学科网(北京)股份有限公司因为 为 的中点,四边形 为矩形,所以 , 又因为 ∥ ,所以四边形 为平行四边形,所以 ∥ , 且 平面 平面 , 所以 ∥平面 ; 综上所述:当且仅当 时, ∥平面 . (2)因为四边形 为菱形,且 , 所以 为等边三角形,且 . 取 的中点 ,连接 ,则 , 又 , 平面 , 所以 平面 , 以 为坐标原点, 的方向分别为 轴的正方向,建立如图所示的空间直角 坐标系. 则 , 设 ,由 可得 , 所以 ,即 , 所以 . 设平面 的法向量为 ,则 , 令 ,则 .可得 , 由题意可知: 为平面 的一个法向量, 设平面 与平面 的夹角为 , 学科网(北京)股份有限公司则 , 整理得 ,解得 或 (舍), 所以 的值为 . 2.(2024·全国·模拟预测)在四棱锥 中,底面 为矩形,点 为 的中 点,且 . (1)求证: . (2)若 ,点 为棱 上一点,平面 与平面 所成锐二面角的余弦值为 ,求 的值. 【答案】(1)证明见解析; (2) . 【分析】(1) 为 的中点,有 ,通过 证得 ,可得 平面 ,则有 ,可得 . (2) ,以点 为原点建立空间直角坐标系,由平面 与平面 所成锐二面角 的余弦值为 ,求两个平面的法向量,解出 的值. 【详解】(1)取 的中点 ,连接 ,如图(1). 因为点 分别为 的中点,所以 . 学科网(北京)股份有限公司因为 , , 所以 ,得 , 所以 ,所以 . 又 , , 平面 ,所以 平面 . 因为 平面 ,所以 . 又 ,所以 . (2)因为 , 平面 , 所以 平面 .因为 平面 ,所以 . 如图(2),以点 为原点,分别以 所在直线为 轴、 轴、 轴,建立空间直 角坐标系. 令 ,则 , 所以 . 设 ,则 ,所以 . 设平面 的一个法向量为 ,则有 令 ,得 ,则 . 设平面 的一个法向量为 ,则有 令 ,得 , ,则 . 因为平面 与平面 所成锐二面角的余弦值为 , 所以 , 学科网(北京)股份有限公司解得 .故 . 3.(2024·全国·模拟预测)如图所示, 内接于圆 , 为圆 的直径, , , ,且 平面 , 为 的中点. (1)求证:平面 平面 ; (2)在线段 上是否存在一点 ,使得平面 与平面 所成的夹角的余弦值为 , 若存在,请指出点 的位置;若不存在,请说明理由. 【答案】(1)证明见解析 (2)存在点 且 【分析】(1)由 是圆 的直径,得到 ,再由 平面 ,得到 , ,然后以 为坐标原点,建立空间直角坐标系,分别求得平面 和平面 的法向量,由两法向量的数量积为零求解; (2)假设存在点 ,设 , ,求得平面 的一个法向量为 ,然后由 求解. 【详解】(1)解:由题意知: 是圆 的直径,则 , 因为 平面 , 平面 , 平面 , 所以 , . 以 为坐标原点,建立如图所示空间直角坐标系, 则 , , , . 学科网(北京)股份有限公司设 是平面 的法向量, 则 令 .则 ,故 . , , 设 是平面 的法向量, 则 , 令 , , ,故 . ,则平面 平面 . (2)存在点 ,且 , 使得平面 与平面 所成的锐二面角的余弦值为 , 理由如下: 设 , , 故 , . 设平面 的一个法向量为 , 则 , 令 ,则 , , 所以 . 由(1)知 是平面 的法向量, . 整理得 ,解得 或 (舍去). 4.(23-24高三下·湖南长沙·阶段练习)如图,在四棱锥 中,四边形 是矩 形, 是正三角形,且平面 平面 , , 为棱 的中点,四棱锥 的体积为 . 学科网(北京)股份有限公司(1)若 为棱 的中点,求证: 平面 ; (2)在棱 上是否存在点 ,使得平面 与平面 所成夹角的余弦值为 ?若存 在,求出线段 的长度;若不存在,请说明理由. 【答案】(1)证明见解析 (2)存在, 【分析】(1)合理构造图形,利用线线平行证明线面平行即可. (2)建立空间直角坐标系,利用面面角的向量求法处理即可. 【详解】(1)取 中点 ,连接 分别为 的中点, , 底面四边形 是矩形, 为棱 的中点, , 故四边形 是平行四边形, , 又 平面 平面 , //平面 . (2)假设在棱 上存在点 满足题意,如图:连接 , , , 在等边 中, 为 的中点,所以 , 又平面 平面 ,平面 平面 平面 , 平面 ,则 是四棱锥 的高, 设 ,则 , 学科网(北京)股份有限公司∴ ,所以 , 以点 为原点, 的方向分别为 轴的正方向,建立如图所示的空间直角坐标 系, 则 , 故 , 设 , . 设平面 的一个法向量为 , 则 所以可取 . 易知平面 的一个法向量为 , , , 故存在点 满足题意. 5.(23-24高二下·江苏南京·期中)在三棱柱 中,已知 , , , ,M是BC的中点. 学科网(北京)股份有限公司(1)求证: ; (2)在棱 上是否存在点P,使得二面角 的正弦值为 ?若存在,求线段AP 的长度;若不存在,请说明理由. 【答案】(1)证明见解析 (2)存在, 的长度为 . 【分析】(1)根据余弦定理得到 和 ,再由线面垂直的判定条件得到 平面 ,然后证明 平面 ,进而证明 . (2)建立空间直角坐标系,根据点 在棱 上设出 ,再求出两个半平面的法 向量,根据二面角的大小得到关于 的方程,解方程即可求得点 的位置. 【详解】(1)因为 , , 所以根据余弦定理可得 , 代入数值解得 , 所以 ,所以 . 又因为 ,M是BC的中点, 所以 , , 所以在 中, , , 解得 , 所以 ,所以 . 因为 ,所以 , 又 , , 平面 , 平面 , 所以 平面 , 学科网(北京)股份有限公司而 平面 , 所以 . 又 , , 平面 , 平面 , 所以 平面 , 而 平面 ,所以 . (2)由(1)得, 平面 , , 所以以 为原点, 为 轴, 为 轴,建立如图所示空间直角坐标系, 所以 , , , , 根据三棱柱的性质可知, . 假设存在符合题意的 点, 所以设 所以 , 设平面 的法向量为 , 由 ,得到 ,取 ,所以 , 所以平面 的法向量为 而且平面 的法向量为 , 因为二面角 的正弦值为 ,所以二面角的余弦值为 , 学科网(北京)股份有限公司所以 ,解得 , 又因为 ,所以 , 此时 ,所以 . 综上,在棱 上存在点P,使得二面角 的正弦值为 , 的长度为 . 6.(23-24高三下·河南信阳·阶段练习)如图,在三棱柱 中, , , , 平面 . (1)求证:平面 垂直平面 ; (2)若二面角 的大小为 ,求 与平面 所成的角的正弦值. 【答案】(1)证明见解析 (2) 【分析】(1)通过证明 平面 ,证明平面 垂直平面 ; (2)建立空间直角坐标系,由二面角 的大小为 ,求出 ,向量法求 与平面 所成的角的正弦值. 【详解】(1) 平面 , 平面 ,则 , , ,有 ,则 , 平面 , ,所以 平面 ; 平面 ,所以平面 平面 ; (2) , 平面 , 以 为原点, 的方向为 轴的正方向,建立如图所示的空间直角坐标系, 设 ,则 学科网(北京)股份有限公司, ,设平面 的一个法向 量为 , 则有 ,令 ,则 ,即 , 平面 的一个法向量 , 二面角 的大小为 , ,解得 ,得 , , ,设平面 的一个法向量为 , 则有 ,令 ,则 ,即 , 与平面 所成的角的正弦值为 . 题型三:求二面角最值(范围) 1.(23-24高二上·湖北武汉·阶段练习)如图,在三棱柱 中,底面是边长为2 的等边三角形, , , 分别是线段 , 的中点, 在平面 内的射影为 .若点 为线段 上的动点(不包括端点),锐二面角 余弦值的取值范围为 . 学科网(北京)股份有限公司【答案】 【分析】建立空间直角坐标系,利用空间向量夹角公式进行求解即可. 【详解】连接 ,因为 在平面 内的射影为 , 所以 垂直于平面 内 这两条线段, 又因为底面是边长为2的等边三角形, 是线段 中点, 所以 , 因此建立如图所示的空间直角坐标系, , 设 , , 则 , 设平面 的法向量为 , 因此有 , 设平面 的法向量为 , 因此有 , 所以 , 令 , 学科网(北京)股份有限公司所以 , 设 , 则 , 二次函数 的开口向上,对称轴为 , 所以当 时,该二次函数单调递增, 所以当 时,该二次函数有最小值 , 当 时,该二次函数有最大值 , 所以 ,即 , 故答案为: 【点睛】关键点睛:本题的关键是利用换元法,结合二次函数的单调性求解值域. 2.(19-20高二·全国·课后作业)如图所示,在正方体 中,点 是棱 上的动点( 点可以运动到端点 和 ),设在运动过程中,平面 与平面 所 成的最小角为 ,则 . 【答案】 【分析】设正方体的棱长为1, ,以 为坐标原点, , , 所在 的直线为 轴、 轴、 轴建立空间直角坐标系,确定 、 坐标进而得到 、 的坐 标表示,求面 、面 的法向量,结合图形根据法向量夹角与二面角的关系,有 关于 的二面角余弦值的函数,求最值即可得 的值 【详解】以点 为坐标原点, , , 所在的直线分别为 轴、 轴、 轴建立空 学科网(北京)股份有限公司间直角坐标系,如图所示: 设正方体的棱长为1, ,则易得 , , 则 , ,设平面 的一个法向量为 则 ,令 ,得平面 的一个法向量为 由平面 为xOz平面,可知其一个法向量为 由图知:平面 与平面 所成的二面角为锐角,设其为 ,则 当 即 时, 取最小值 , 取最大值 ,此时最小角 ,即 【点睛】本题考查了空间向量与立体几何,构建空间坐标系并用坐标表示相关点坐标,将 平面中两相交线段用向量的坐标形式表示求法向量,根据平面法向量夹角与二面角的关 系,结合向量的数量积坐标公式得到二面角余弦值 3.(19-20高二上·浙江绍兴·期末)如图,正三棱柱 中,各棱长均等于 , 为线段 上的动点,则平面 与平面 所成的锐二面角余弦值的最大值为 . 学科网(北京)股份有限公司【答案】 【解析】如图建立空间坐标系,求解平面 与平面 的法向量,利用二面角的向量 公式即得解. 【详解】如图建立空间坐标系, 则 , , , , , 设平面 的法向量为 , 取 , 平面 的法向量为 , 则 . 故答案为: . 学科网(北京)股份有限公司【点睛】本题考查了向量法求解二面角,考查了学生空间想象,转化划归,数学运算的能 力,属于中档题. 4.(2024·重庆·模拟预测)如图,ACDE为菱形, , ,平面 平面ABC,点F在AB上,且 ,M,N分别在直线CD,AB上. (1)求证: 平面ACDE; (2)把与两条异面直线都垂直且相交的直线叫做这两条异面直线的公垂线,若 , MN为直线CD,AB的公垂线,求 的值; (3)记直线BE与平面ABC所成角为 ,若 ,求平面BCD与平面CFD所成角余 弦值的范围. 【答案】(1)证明见解析 (2) (3) 【分析】(1)先通过余弦定理及勾股定理得到 ,再根据面面垂直的性质证明; (2)以C为原点,CA的方向为x轴正方向,建立如图所示空间直角坐标系 ,利用 向量的坐标运算根据 ,列方程求解即可; (3)利用向量法求面面角,然后根据 列不等式求解. 【详解】(1) , , 所以 , , , ,则 , 又因为平面 平面ABC,平面 平面 面 , 故 平面ACDE; 学科网(北京)股份有限公司(2)以C为原点,CA的方向为x轴正方向,建立如图所示空间直角坐标系 , 由 ,可得 , , 所以 所以 , , 设 ,则 , 设 ,则 , , 由题知, , 解得 , ,故 ; (3) ,设 , 则 , , 可取平面ABC的法向量 , 则 , , 则 , 整理得 ,故 , , , , 记平面CDF的法向量为 ,则有 , 可得 , 学科网(北京)股份有限公司记平面CBD的法向量为 ,则有 , 可得 , 记平面BCD与平面CFD所成角为 , 则 , , 所以 , , 故 . 5.(23-24高二上·湖北·期末)如图,四边形 为矩形, ≌ ,且二面角 为直二面角. (1)求证:平面 平面 ; (2)设 是 的中点, ,二面角 的平面角的大小为 ,当 时,求 的取值范围. 【答案】(1)证明见解析 (2) 【分析】(1)先证明 ,继而证明 ,根据线面垂直的判定定理证明 平面 ,再根据面面垂直的判定定理,即可证明结论; (2)建立空间直角坐标系,求得相关点的坐标,求出平面 和平面 的一个法向 学科网(北京)股份有限公司量,根据空间角的向量求法,结合不等式性质,即可求得答案. 【详解】(1)因二面角 为直二面角,即平面 平面 ,又 , 平面 平面 , 平面 ,则 平面 , 又 平面 ,即得 , 四边形 为矩形, ≌ ,则 ,即 , 平面 ,于是 平面 , 平面 , 所以平面 平面 ; (2)过E作 平面 ,由(1)知 平面 , 平面 ,故 , 以 为原点,射线EB,EA,Ez分别为x,y,z轴非负半轴建立空间直角坐标系,如图, ∵ , ,则 , , , , , , , 设平面 的法向量为 ,则 ,即 , 则 , 设平面 的法向量为 ,则 ,即 , 则 , 由图可知二面角 为锐二面角, 从而有 , 而 ,则 , , 学科网(北京)股份有限公司所以 . 【点睛】关键点睛:本题第二问的关键是建立合适的空间直角坐标系,从而得到 ,再根据 即可得到其范围. 6.(2023·全国·模拟预测)如图,在直三棱柱 中, , , 垂直于平面 .点 , , 分别为边 , , 上的动点(不 包括顶点),且满足 . (1)求三棱锥 的体积的最大值; (2)记平面 与平面 所成的锐二面角为 ,当 最小时,求 的值,并说明点 所处的位置. 【答案】(1) (2) ; 在 中点 【分析】 (1)设出 ,由体积公式结合二次函数性质计算即可得; (2)建立空间直角坐标系后,得到平面 与平面 法向量,即可表示出 ,结合 导数即可得 的最大值,亦可得到 所处的位置. 【详解】(1)由 垂直于平面 ,且 为直三棱柱,故 平面 , 故 为三棱锥 的高,设 ,则 , 由 ,故 ,则 , 故 , 故 时,三棱锥 的体积有最大值 ; 学科网(北京)股份有限公司(2)由 垂直于平面 , 、 平面 , 故 、 ,又 , 故 、 、 两两垂直, 设 , 以 为原点,建立如图所示空间直角坐标系, 则有 、 、 、 、 、 , 故 、 、 、 , 设平面 与平面 的法向量分别为 、 , 则有 , ,即 , , 令 , ,可得 、 , 、 , 故 , , 故 , 令 , , 则 , 由 , 故当 时, ,当 时, , 故 , 故 , 学科网(北京)股份有限公司由 为锐角时, 随 的增大而减小,故当 最小时,有 最大, 即此时 ,此时 ,即点 在 中点. 7.(23-24高二上·重庆九龙坡·期末)如图所示,四边形 为正方形,四边形 , 为两个全等的等腰梯形, , , , . (1)当点 为线段 的中点时,求证: ; (2)当点 在线段 上时(包含端点),求平面 和平面 的夹角的余弦值的取值 范围. 【答案】(1)证明见解析 (2) 【分析】(1)根据线面垂直的判定定理即可证明结论; (2)建立空间直角坐标系,利用空间角的向量求法求出平面 和平面 的夹角的余 弦值的表达式,进行合理变形,结合二次函数的性质求得余弦的最值,即可求得答案. 【详解】(1)因为点 为线段 的中点,且 , 所以 , 因为 ,且四边形 为正方形,故 , 所以 ,而 平面 , 故 平面 ,又 平面 , 所以 ; (2)设正方形 的中心为 ,分别取 的中点为 , 设点 为线段 的中点,由(1)知 四点共面,且 平面 , 连接 , 平面 ,故 , 学科网(北京)股份有限公司又 平面 ,故平面 平面 , 且平面 平面 , 由题意可知四边形 为等腰梯形,故 , 平面 ,故 平面 , 故以 为坐标原点, 为 轴建立空间直角坐标系, 因为 ,则 ,又 ,故 , 设 到底面 的距离为 , 四边形 , 为两个全等的等腰梯形,且 , 故 ,又 , 故 ,则 , , 设 , 设平面 的一个法向量为 , 则 ,令 , , 设平面 的一个法向量为 , 则 ,令 , , 故 , 令 ,则 , 令 ,则 , 学科网(北京)股份有限公司令 ,则 在 上单调递增, 故当 时, ,当 时, , 故 , 即平面 和平面 的夹角的余弦值得取值范围为 . 【点睛】关键点点睛:本题的关键在于求出平面夹角的余弦值之后,要对其表达式进行变 形,从而结合二次函数的单调性求得余弦的最值,从而得到其取值范围. 三、专项训练 1.(2024高三·全国·专题练习)如图, 是三棱锥 的高, , ,E是 的中点,若 , , ,则二面角 的正 弦值为 . 【答案】 【分析】 以点 为坐标原点建立空间直角坐标系,分别求得平面 和平面 的法向量,利用空 间向量即可求得二面角 的正弦值. 【详解】 过点 作 ,如图建立空间直角坐标系, 学科网(北京)股份有限公司因为 , ,所以 , 又 ,所以 ,则 , , 所以 , 可得 , , , ,所以 , 则 , , , 设平面 的法向量为 , 则 ,令 ,则 , , 所以 ; 设平面 的法向量为 , 则 ,令 ,则 , , 所以 ; 所以 . 设二面角 的大小为 ,则 , 所以 , 即二面角 的正弦值为 . 故答案为: 2.(2024高三·全国·专题练习)如图,三棱锥 中, , , ,E为BC的中点.若点F满足 ,则二面角 的正 弦值为 . 学科网(北京)股份有限公司【答案】 【分析】 根据几何体性质,建立以点 为原点的空间直角坐标系,利用空间向量即可求得二面角 的正弦值为 . 【详解】不妨设 , ,所以 , . , , 又 , 平面 , 可得 平面 ; 以点 为原点, 所在直线分别为 轴,建立空间直角坐标系,如图所示: 设 , 设平面 与平面 的一个法向量分别为 , 二面角 平面角为 ,而 , 因为 ,所以 ,即有 , 可得 ,取 ,所以 ; 且 ,取 ,所以 , 所以 ,从而 . 所以二面角 的正弦值为 . 故答案为: 3.(23-24高三下·江苏镇江·开学考试)已知 是圆锥 的底面直径, 是底面圆周上 学科网(北京)股份有限公司的一点, ,则二面角 的余弦值为 . 【答案】 / 【分析】根据题意,建立空间直角坐标系利用向量法求解. 【详解】如图,以点 为坐标原点, 分别为 轴,过点 垂直 为 轴,建立 空间直角坐标系, 点 为底面圆周上一点,则 ,又 , , , , , , , , , , 设平面 的一个法向量为 ,则 , 即 ,令 ,得 , , , 又易知平面 的一个法向量为 , , 如图,锐二面角 的余弦值为 . 故答案为: . 4.(2024高二上·江苏·专题练习)在正方体 中,点E为 的中点,则直 线 与 所成的角的余弦值为 ;平面 与平面 所成锐二面角的余弦 值为 . 学科网(北京)股份有限公司【答案】 【分析】依题意,建立空间直角坐标系,利用空间向量法即可得解. 【详解】以 为原点, 所在直线分别为 轴、 轴、 轴,建立如图所示的空间 直角坐标系,设棱长为1, 则 , , , , 故直线 与 所成的角的余弦值是 . 设平面 的一个法向量为 ,则 , 取 ,则 ,故 , 易得平面 的一个法向量为 , , 故平面 与平面 所成锐二面角的余弦值为 . 故答案为: ; . 5.(23-24高二上·广东汕尾·期末)如图,二面角 的棱上有两个点 ,线段 与 分别在这个二面角的两个面内,并且都垂直于棱 ,若 ,则二面角 的余弦值为 . 学科网(北京)股份有限公司【答案】 【分析】设二面角 的平面角为 ,得到 ,结合 ,利用向量的运算法则,即可求解. 【详解】在棱上有两个点 ,线段 与 在这个二面角的两个面内,且 , 因为 ,可得 , 设二面角 的平面角为 , 则 ,且 , 则 , 即 ,解得 . 故答案为: . 6.(23-24高二上·安徽亳州·期末)在正方体 中,设 ,若二面角 的平面角的正弦值为 ,则实数 的值为 . 【答案】 或 【分析】 建立空间直角坐标系,利用法向量方法用 表示二面角的平面角的余弦值,建立方程求解 即可. 【详解】 建立空间直角坐标系如图所示, 学科网(北京)股份有限公司设棱长为1, , 则 , , 设平面 ,平面 的一个法向量分别为 , 所以 , ,即 , , 分别令 ,则 , 故 , 设二面角 的平面角为 , 由 ,则 , 故由 , 解得 或 . 7.(22-23高二上·浙江温州·期中)如图,平行六面体 中,底面ABCD和 侧面BCC B 都是矩形,E是CD的中点,DE⊥CD,AB=2BC=2,且平面BCC B 与平面 1 1 1 1 1 DEB的夹角的余弦值为 ,则线段DE的长度为 . 1 1 学科网(北京)股份有限公司【答案】 【分析】先证明 平面ABCD,以E为坐标原点, 分别为 轴正方向 建立空间直角坐标系,求出平面 的一个法向量与平面 的一个法向量,由平面 与平面 夹角的余弦值为 ,列式求得线段 的长度. 【详解】 底面ABCD和侧面 是矩形, , , 又 , 平面 , 平面 , 平面 , 平面 , ; 又 ,且 , 平面ABCD, 平面ABCD. 平面ABCD. 以E为坐标原点,过E作 交 于 ,以 分别为 轴正方向, 建立如图所示的空间直角坐标系, 则 0, , 1, , 1, , 0, . 设 ,则 0, , 2, . 设平面 的一个法向量为 y, , 1, , 0, , 由 , 学科网(北京)股份有限公司令 ,得 ; 设平面 的一个法向量为 , 0, , 1, , 由 , 令 ,得 . 由平面 与平面 所成的夹角的余弦值为 , 得 ,解得 (负值舍去). . 故答案为: 8.(2023高二上·全国·专题练习)如图,在直三棱柱 中, , , 为 上一点.若二面角 的大小为 ,则 的长为 . 【答案】 【分析】建立空间直角坐标系,根据条件求得点D坐标,即得AD长. 【详解】如图,以 为坐标原点, , , 所在直线分别为x轴、y轴、z轴建立空 间直角坐标系 ,则 .设 ,则点D的坐标为 , , . 设平面 的法向量为 , 学科网(北京)股份有限公司则 ,令 ,则 ,即 , 又平面 的一个法向量为 ,记为 ,则由 ,得 ,即 ,故 . 故答案为: . 9.(22-23高二下·江苏徐州·期中)三棱锥 中, , ,记二面角 的大小为 ,当 时,直线 与 所成角 的余弦值的取值范围是 . 【答案】 【分析】取 中点 ,连 , ,以 为原点, 为 轴, 为 轴,过点 作平 面 的垂线为 轴,建立空间直角坐标系,利用向量法能求出直线 与 所成角的余 弦值取值范围. 【详解】取 中点 ,连接 , , . , , ,且 , , 是二面角 的平面角, 以 为原点, 为 轴, 为 轴, 过点 作平面 的垂线为 轴,建立空间直角坐标系, , , , ,0, , ,1, , 设二面角 的平面角为 ,则 , 连 、 ,则 , , , , 设 、 的夹角为 , 学科网(北京)股份有限公司则 , , , , , ,则 . 故答案为: 10.(23-24高三上·云南昆明·阶段练习)如图,在三棱锥 中, , , 平面 , , , 分别为棱 , 上的动点,且 . (1)证明:平面 平面 ; (2)若平面 与平面 所成角为 ,求 的值. 【答案】(1)证明见解析 (2) 【分析】(1)由线面垂直的性质得到 ,从而得到 平面 ,再由 ,得到 平面 ,即可得证; (2)法一:建立空间直角坐标系,设 ,利用空间向量法求出二面角的 余弦值,即可得到方程,求出 即可;法二:依题意 平面 ,设 为平面 与平 面 的交线,则 即可证明 , ,从而得到 为平面 与平面 所成角,再由面积比计算可得. 【详解】(1) 平面 , 平面 , 学科网(北京)股份有限公司又 , , 平面 , 平面 平面 . 又 , 平面 ,又 平面 平面 平面 . (2)法一(坐标法):如图,以 为原点, 、 、过点 且垂直于平面 的直线 分别为 轴、 轴、 轴建立空间直角坐标系, 则 , , , , 设 ,则 . 设平面 的法向量为 ,则 可取 , 取平面 的法向量为 . 设平面 与平面 所成角为 则 , 两边平方经整理可得 解得 或 (舍去), 当平面 与平面 所成角为 时, 法二(几何法):如图,由 , 平面 , 平面 , 所以 平面 ,设 为平面 与平面 的交线,则 由(1)可得 平面 ,, 平面 ,所以 , 而 , ,又 , 学科网(北京)股份有限公司为平面 与平面 所成角, ,所以 是 的角平分线, 在 中,设点 到 的距离为 ,则由 可得 , 11.(2024·辽宁葫芦岛·一模)如图, 为圆锥顶点, 是圆锥底面圆的圆心, , 是长度为 的底面圆的两条直径, ,且 , 为母线 上一点. (1)求证:当 为 中点时, 平面 ; (2)若 ,二面角 的余弦值为 ,试确定P点的位置. 【答案】(1)证明见详解 (2) 是线段 靠近点 的四等分点 【分析】(1)根据线面平行的判定定理即可证明; (2)建立空间直角坐标系,设 , ,求解平面 和平面 的法向 量,根据二面角 的余弦值为 求 ,即可得P点的位置. 【详解】(1)连接 ,因为 , 分别为 , 的中点, 所以 为 的中位线,所以 , 又 平面 , 平面 ,所以 平面 ; (2)如图:过点 作 交圆 与 , 以 为坐标原点, , , 所在直线分别为 轴, 轴, 轴建立空间直角坐标系, 学科网(北京)股份有限公司则 , , , , , 所以 , , 设 , ,则 ,所以 , 设平面 的法向量为 , 则 ,所以 ,令 ,则 , , 即 , 易知平面 的一个法向量为 , 则 , 解得 (负值舍去),所以 是线段 靠近点 的四等分点. 12.(23-24高三下·河南濮阳·开学考试)如图,在四棱柱 中,二面角 均为直二面角. 学科网(北京)股份有限公司(1)求证: 平面 ; (2)若 ,二面角 的正弦值为 ,求 的 值. 【答案】(1)证明见解析 (2) 【分析】(1)在平面 内取点E,过E作直线 , ,根据面垂直的性质 可证明 , ,再根据线面垂直的判定定理,即可证明结论; (2)建立空间直角坐标系,设 ,求得相关点坐标,求出平面 和平面 的法向量,根据空间角的向量求法,即可求得答案. 【详解】(1)证明:在平面 内取点E,过E作直线 ,由于二面角 为直二面角, 即平面 平面 ,平面 平面 , 平面 ,故 平面 , 平面 ,故 ; 同理过E作直线 ,由于二面角 为直二面角, 即平面 平面 ,平面 平面 , 平面 ,故 平面 , 平面 ,故 ; 由于 不平行,故 不重合, 平面 , 故 平面 ; (2)由题意可得,可以A为坐标原点,以 所在直线为 轴,建立空间直角 坐标系, 设 , 则 , 学科网(北京)股份有限公司设平面 的法向量为 ,则 , 即 ,令 ,则 , 设平面 的法向量为 ,则 , 即 ,令 ,则 , 二面角 的正弦值为 ,故其余弦值的绝对值为 , 即 ,即 ,解得 , 故 . 13.(2024·全国·模拟预测)已知四棱柱 如图所示,底面 为平行四 边形,其中点 在平面 内的投影为点 ,且 . (1)求证:平面 平面 ; (2)已知点 在线段 上(不含端点位置),且平面 与平面 的夹角的余弦值 为 ,求 的值. 【答案】(1)证明见解析 (2) 【分析】(1)不妨设 ,根据线面垂直的性质证明 ,利用勾股定理证明 ,再根据线面垂直和面面垂直的判定定理即可得证; (2)以 为坐标原点,建立的空间直角坐标系 ,利用向量法求解即可. 【详解】(1)不妨设 , 因为 平面 平面 ,故 , 学科网(北京)股份有限公司在 中, , 由余弦定理, , 得 ,故 ,则 , 因为 平面 ,所以 平面 , 而 平面 ,所以平面 平面 ; (2)由(1)知, 两两垂直, 如图所示,以 为坐标原点,建立的空间直角坐标系 , 则 , 故 , ,所以 , 设 ,则 ,即 , 所以 ; 设 为平面 的一个法向量, 则 , 令 ,则 ,所以 , 因为 轴 平面 ,则可取 为平面 的一个法向量, 设平面 与平面 的夹角为 , 则 , 解得 ,故 . 14.(23-24高二上·江西南昌·期末)已知平行四边形ABCD如图甲, ,沿AC将 折起,使点D到达点P位置,且 ,连 学科网(北京)股份有限公司接PB得三棱锥 如图乙. (1)证明; 平面ABC; (2)在线段PC上是否存在点M,使二面角 的余弦值为 ,若存在,求出 的值;若不存在,请说明理由. 【答案】(1)证明见解析 (2)存在,且 【分析】(1)推导出 ,证明出 平面 ,可得出 , 利用线面垂 直的判定定理可证得结论成立; (2)以点 为坐标原点, 、 、 的方向分别为 、 、 轴的正方向建立空间直 角坐标系,设 ,其中 ,利用空间向量法可得出关于 的等式,结合 求出 的值,即可得出结论. 【详解】(1)证明:翻折前,因为四边形 为平行四边形, ,则 , 因为 ,则 , , 由余弦定理可得 , 所以, ,则 ,同理可证 , 翻折后,则有 , , 因为 , , 、 平面 , 所以, 平面 , 因为 平面 ,则 , 因为 , 、 平面 ,所以, 平面 , (2)因为 平面 , ,以点 为坐标原点, 、 、 的方向分别为 、 、 轴的正方向建立如下图所示的空间直角坐标系, 学科网(北京)股份有限公司则 、 、 、 , 设 ,其中 , 则 , , 设平面 的法向量为 , 则 ,取 ,则 , , 所以, , 易知平面 的一个法向量为 , 则 ,整理可得 , 因为 ,解得 , 因此,线段 上存在点 ,使二面角 的余弦值为 ,且 . 15.(23-24高二上·广东汕尾·期末)在图甲所示的四边形 中, , , , ,沿 将 进行翻折,使得 , 得到如图乙所示的四棱锥 .四棱锥 的体积为 , 为边 上的动点 (不与端点 , 重合). (1)若 为 的中点,求证: ; 学科网(北京)股份有限公司(2)设 ,试问:是否存在实数 ,使得锐二面角 的余弦值为 ? 若存在,求出实数 的值;若不存在,请说明理由. 【答案】(1)证明见解析 (2)存在实数 【分析】(1)根据题意建立空间直角坐标系,利用空间向量法证明线线垂直即可; (2)利用空间向量法表示出锐二面角 的余弦值,求解实数 即可. 【详解】(1)因为在四边形 中, , , , 所以 , 在四棱锥 中, ,即 , , . 又 平面 , 平面 , , 所以 平面 ,即 是四棱锥 的高, 因此 ,所以 . 以 为原点, , , 所在直线分别为 轴, 轴, 轴,建立如图所示的空间直 角坐标系, 则 , , , . 又 为 的中点,所以 , 因此 , , 所以 ,所以 ,即 . (2)由(1)知, , , 设平面 的一个法向量为 , 学科网(北京)股份有限公司则 即 令 ,则 , 所以 是平面 的一个法向量. 因为 ,所以 , , 所以 ,所以 . 设平面 的一个法向量为 , 则 即 令 ,则 , , 所以 是平面 的一个法向量, 所以 , 可得 ,解得 或 . 又 ,所以 , 即存在实数 ,使得锐二面角 的余弦值为 . 【点睛】结论点睛:若直线 的方向向量分别为 ,平面 的法向量分别为 ,则 ①两异面直线 所成的角为 , ; ②直线 与平面 所成的角为 , ; ③二面角 的大小为 , . 16.(20-21高三上·山东青岛·期中)在多面体 中,平面 为正方形, , , ,二面角 的平面角的余弦值为 ,且 . 学科网(北京)股份有限公司(1)证明:平面 平面 ; (2)若 ,求平面 与平面 所成锐二面角的余弦值的取值范围. 【答案】(1)证明见解析; (2) . 【分析】(1)根据勾股定理及线面垂直的判定定理可得 平面 ,然后根据面面 垂直的判定定理即得; (2)由题可得 是二面角 的平面角,作 于点 ,根据面面垂直 的性质可得 平面 ,建立空间直角坐标系,利用坐标法结合面面角的向量求法 可得面面角的夹角的余弦值,然后利用换元法结合对勾函数的性质即得. 【详解】(1)∵ , , , ∴ ,即 , 又∵在正方形 中, , 且 , 平面 , 平面 , ∴ 平面 ,又 平面 , ∴平面 平面 ; (2)由(1)知, 是二面角 的平面角, 作 于点 ,则 , ,且平面 平面 , 平面 平面 , 平面 , ∴ 平面 , 取 中点 ,连接 ,则 , 如图,建立空间直角坐标系, 学科网(北京)股份有限公司则 , , , , , , , , 设平面 的一个法向量为 , 则 ,取 , , , 设平面 的一个法向量为 , 则 ,取 , ∴ , 令 ,则根据对勾函数的性质可得 或 , ∴ , ∴ ; 当 时, ; ∴ , 即平面 与平面 所成锐二面角的余弦值的取值范围为 . 学科网(北京)股份有限公司学科网(北京)股份有限公司