当前位置:首页>文档>专题03平面与平面所成角(二面角)(含探索性问题)(典型题型归类训练)(解析版)_新高考复习资料_2024年新高考资料_专项复习资料_立体几何与空间向量_教师版(含答案解析)

专题03平面与平面所成角(二面角)(含探索性问题)(典型题型归类训练)(解析版)_新高考复习资料_2024年新高考资料_专项复习资料_立体几何与空间向量_教师版(含答案解析)

  • 2026-04-21 01:28:27 2026-04-21 01:28:27

文档预览

专题03平面与平面所成角(二面角)(含探索性问题)(典型题型归类训练)(解析版)_新高考复习资料_2024年新高考资料_专项复习资料_立体几何与空间向量_教师版(含答案解析)
专题03平面与平面所成角(二面角)(含探索性问题)(典型题型归类训练)(解析版)_新高考复习资料_2024年新高考资料_专项复习资料_立体几何与空间向量_教师版(含答案解析)
专题03平面与平面所成角(二面角)(含探索性问题)(典型题型归类训练)(解析版)_新高考复习资料_2024年新高考资料_专项复习资料_立体几何与空间向量_教师版(含答案解析)
专题03平面与平面所成角(二面角)(含探索性问题)(典型题型归类训练)(解析版)_新高考复习资料_2024年新高考资料_专项复习资料_立体几何与空间向量_教师版(含答案解析)
专题03平面与平面所成角(二面角)(含探索性问题)(典型题型归类训练)(解析版)_新高考复习资料_2024年新高考资料_专项复习资料_立体几何与空间向量_教师版(含答案解析)
专题03平面与平面所成角(二面角)(含探索性问题)(典型题型归类训练)(解析版)_新高考复习资料_2024年新高考资料_专项复习资料_立体几何与空间向量_教师版(含答案解析)
专题03平面与平面所成角(二面角)(含探索性问题)(典型题型归类训练)(解析版)_新高考复习资料_2024年新高考资料_专项复习资料_立体几何与空间向量_教师版(含答案解析)
专题03平面与平面所成角(二面角)(含探索性问题)(典型题型归类训练)(解析版)_新高考复习资料_2024年新高考资料_专项复习资料_立体几何与空间向量_教师版(含答案解析)
专题03平面与平面所成角(二面角)(含探索性问题)(典型题型归类训练)(解析版)_新高考复习资料_2024年新高考资料_专项复习资料_立体几何与空间向量_教师版(含答案解析)
专题03平面与平面所成角(二面角)(含探索性问题)(典型题型归类训练)(解析版)_新高考复习资料_2024年新高考资料_专项复习资料_立体几何与空间向量_教师版(含答案解析)
专题03平面与平面所成角(二面角)(含探索性问题)(典型题型归类训练)(解析版)_新高考复习资料_2024年新高考资料_专项复习资料_立体几何与空间向量_教师版(含答案解析)
专题03平面与平面所成角(二面角)(含探索性问题)(典型题型归类训练)(解析版)_新高考复习资料_2024年新高考资料_专项复习资料_立体几何与空间向量_教师版(含答案解析)
专题03平面与平面所成角(二面角)(含探索性问题)(典型题型归类训练)(解析版)_新高考复习资料_2024年新高考资料_专项复习资料_立体几何与空间向量_教师版(含答案解析)
专题03平面与平面所成角(二面角)(含探索性问题)(典型题型归类训练)(解析版)_新高考复习资料_2024年新高考资料_专项复习资料_立体几何与空间向量_教师版(含答案解析)
专题03平面与平面所成角(二面角)(含探索性问题)(典型题型归类训练)(解析版)_新高考复习资料_2024年新高考资料_专项复习资料_立体几何与空间向量_教师版(含答案解析)
专题03平面与平面所成角(二面角)(含探索性问题)(典型题型归类训练)(解析版)_新高考复习资料_2024年新高考资料_专项复习资料_立体几何与空间向量_教师版(含答案解析)
专题03平面与平面所成角(二面角)(含探索性问题)(典型题型归类训练)(解析版)_新高考复习资料_2024年新高考资料_专项复习资料_立体几何与空间向量_教师版(含答案解析)
专题03平面与平面所成角(二面角)(含探索性问题)(典型题型归类训练)(解析版)_新高考复习资料_2024年新高考资料_专项复习资料_立体几何与空间向量_教师版(含答案解析)
专题03平面与平面所成角(二面角)(含探索性问题)(典型题型归类训练)(解析版)_新高考复习资料_2024年新高考资料_专项复习资料_立体几何与空间向量_教师版(含答案解析)
专题03平面与平面所成角(二面角)(含探索性问题)(典型题型归类训练)(解析版)_新高考复习资料_2024年新高考资料_专项复习资料_立体几何与空间向量_教师版(含答案解析)
专题03平面与平面所成角(二面角)(含探索性问题)(典型题型归类训练)(解析版)_新高考复习资料_2024年新高考资料_专项复习资料_立体几何与空间向量_教师版(含答案解析)
专题03平面与平面所成角(二面角)(含探索性问题)(典型题型归类训练)(解析版)_新高考复习资料_2024年新高考资料_专项复习资料_立体几何与空间向量_教师版(含答案解析)
专题03平面与平面所成角(二面角)(含探索性问题)(典型题型归类训练)(解析版)_新高考复习资料_2024年新高考资料_专项复习资料_立体几何与空间向量_教师版(含答案解析)
专题03平面与平面所成角(二面角)(含探索性问题)(典型题型归类训练)(解析版)_新高考复习资料_2024年新高考资料_专项复习资料_立体几何与空间向量_教师版(含答案解析)
专题03平面与平面所成角(二面角)(含探索性问题)(典型题型归类训练)(解析版)_新高考复习资料_2024年新高考资料_专项复习资料_立体几何与空间向量_教师版(含答案解析)
专题03平面与平面所成角(二面角)(含探索性问题)(典型题型归类训练)(解析版)_新高考复习资料_2024年新高考资料_专项复习资料_立体几何与空间向量_教师版(含答案解析)
专题03平面与平面所成角(二面角)(含探索性问题)(典型题型归类训练)(解析版)_新高考复习资料_2024年新高考资料_专项复习资料_立体几何与空间向量_教师版(含答案解析)
专题03平面与平面所成角(二面角)(含探索性问题)(典型题型归类训练)(解析版)_新高考复习资料_2024年新高考资料_专项复习资料_立体几何与空间向量_教师版(含答案解析)
专题03平面与平面所成角(二面角)(含探索性问题)(典型题型归类训练)(解析版)_新高考复习资料_2024年新高考资料_专项复习资料_立体几何与空间向量_教师版(含答案解析)
专题03平面与平面所成角(二面角)(含探索性问题)(典型题型归类训练)(解析版)_新高考复习资料_2024年新高考资料_专项复习资料_立体几何与空间向量_教师版(含答案解析)
专题03平面与平面所成角(二面角)(含探索性问题)(典型题型归类训练)(解析版)_新高考复习资料_2024年新高考资料_专项复习资料_立体几何与空间向量_教师版(含答案解析)
专题03平面与平面所成角(二面角)(含探索性问题)(典型题型归类训练)(解析版)_新高考复习资料_2024年新高考资料_专项复习资料_立体几何与空间向量_教师版(含答案解析)
专题03平面与平面所成角(二面角)(含探索性问题)(典型题型归类训练)(解析版)_新高考复习资料_2024年新高考资料_专项复习资料_立体几何与空间向量_教师版(含答案解析)
专题03平面与平面所成角(二面角)(含探索性问题)(典型题型归类训练)(解析版)_新高考复习资料_2024年新高考资料_专项复习资料_立体几何与空间向量_教师版(含答案解析)
专题03平面与平面所成角(二面角)(含探索性问题)(典型题型归类训练)(解析版)_新高考复习资料_2024年新高考资料_专项复习资料_立体几何与空间向量_教师版(含答案解析)
专题03平面与平面所成角(二面角)(含探索性问题)(典型题型归类训练)(解析版)_新高考复习资料_2024年新高考资料_专项复习资料_立体几何与空间向量_教师版(含答案解析)
专题03平面与平面所成角(二面角)(含探索性问题)(典型题型归类训练)(解析版)_新高考复习资料_2024年新高考资料_专项复习资料_立体几何与空间向量_教师版(含答案解析)
专题03平面与平面所成角(二面角)(含探索性问题)(典型题型归类训练)(解析版)_新高考复习资料_2024年新高考资料_专项复习资料_立体几何与空间向量_教师版(含答案解析)
专题03平面与平面所成角(二面角)(含探索性问题)(典型题型归类训练)(解析版)_新高考复习资料_2024年新高考资料_专项复习资料_立体几何与空间向量_教师版(含答案解析)
专题03平面与平面所成角(二面角)(含探索性问题)(典型题型归类训练)(解析版)_新高考复习资料_2024年新高考资料_专项复习资料_立体几何与空间向量_教师版(含答案解析)
专题03平面与平面所成角(二面角)(含探索性问题)(典型题型归类训练)(解析版)_新高考复习资料_2024年新高考资料_专项复习资料_立体几何与空间向量_教师版(含答案解析)
专题03平面与平面所成角(二面角)(含探索性问题)(典型题型归类训练)(解析版)_新高考复习资料_2024年新高考资料_专项复习资料_立体几何与空间向量_教师版(含答案解析)
专题03平面与平面所成角(二面角)(含探索性问题)(典型题型归类训练)(解析版)_新高考复习资料_2024年新高考资料_专项复习资料_立体几何与空间向量_教师版(含答案解析)
专题03平面与平面所成角(二面角)(含探索性问题)(典型题型归类训练)(解析版)_新高考复习资料_2024年新高考资料_专项复习资料_立体几何与空间向量_教师版(含答案解析)
专题03平面与平面所成角(二面角)(含探索性问题)(典型题型归类训练)(解析版)_新高考复习资料_2024年新高考资料_专项复习资料_立体几何与空间向量_教师版(含答案解析)
专题03平面与平面所成角(二面角)(含探索性问题)(典型题型归类训练)(解析版)_新高考复习资料_2024年新高考资料_专项复习资料_立体几何与空间向量_教师版(含答案解析)
专题03平面与平面所成角(二面角)(含探索性问题)(典型题型归类训练)(解析版)_新高考复习资料_2024年新高考资料_专项复习资料_立体几何与空间向量_教师版(含答案解析)
专题03平面与平面所成角(二面角)(含探索性问题)(典型题型归类训练)(解析版)_新高考复习资料_2024年新高考资料_专项复习资料_立体几何与空间向量_教师版(含答案解析)
专题03平面与平面所成角(二面角)(含探索性问题)(典型题型归类训练)(解析版)_新高考复习资料_2024年新高考资料_专项复习资料_立体几何与空间向量_教师版(含答案解析)
专题03平面与平面所成角(二面角)(含探索性问题)(典型题型归类训练)(解析版)_新高考复习资料_2024年新高考资料_专项复习资料_立体几何与空间向量_教师版(含答案解析)
专题03平面与平面所成角(二面角)(含探索性问题)(典型题型归类训练)(解析版)_新高考复习资料_2024年新高考资料_专项复习资料_立体几何与空间向量_教师版(含答案解析)
专题03平面与平面所成角(二面角)(含探索性问题)(典型题型归类训练)(解析版)_新高考复习资料_2024年新高考资料_专项复习资料_立体几何与空间向量_教师版(含答案解析)

文档信息

文档格式
docx
文档大小
6.188 MB
文档页数
48 页
上传时间
2026-04-21 01:28:27

文档内容

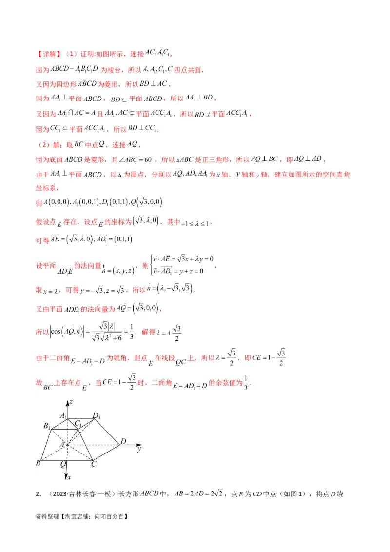
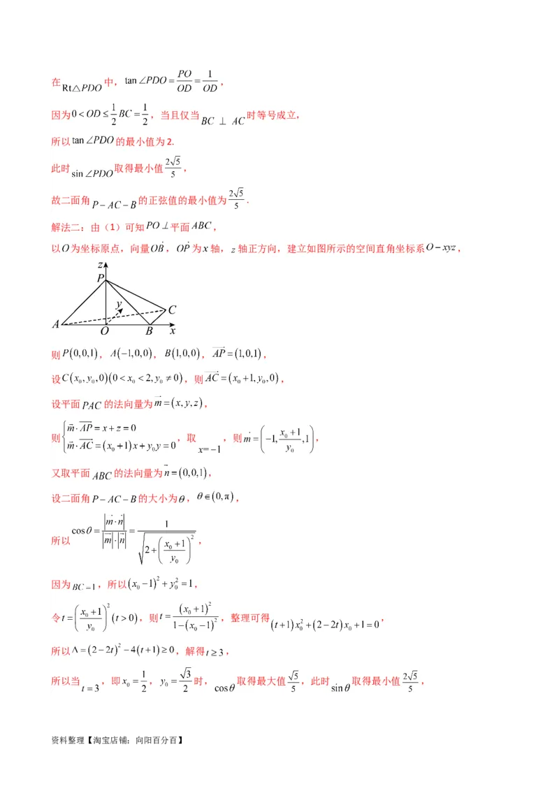
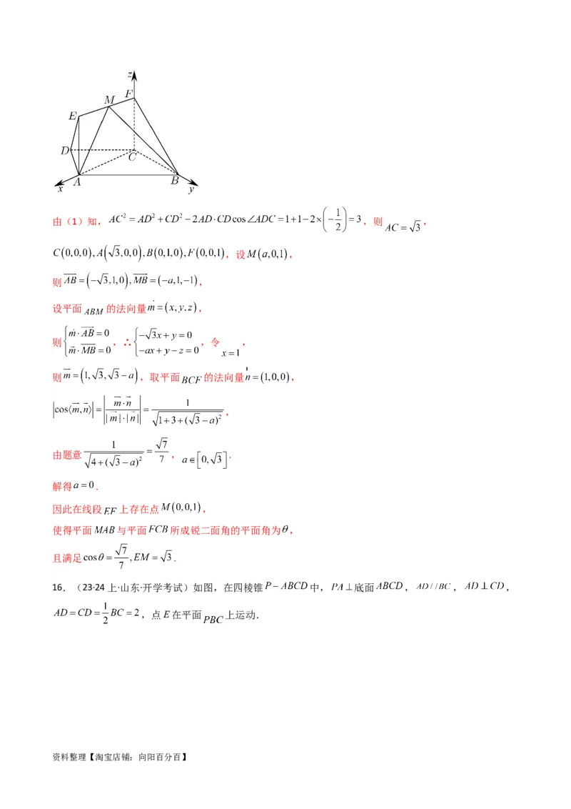
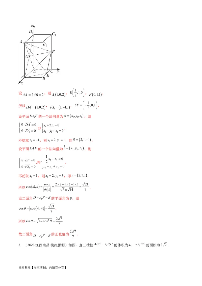
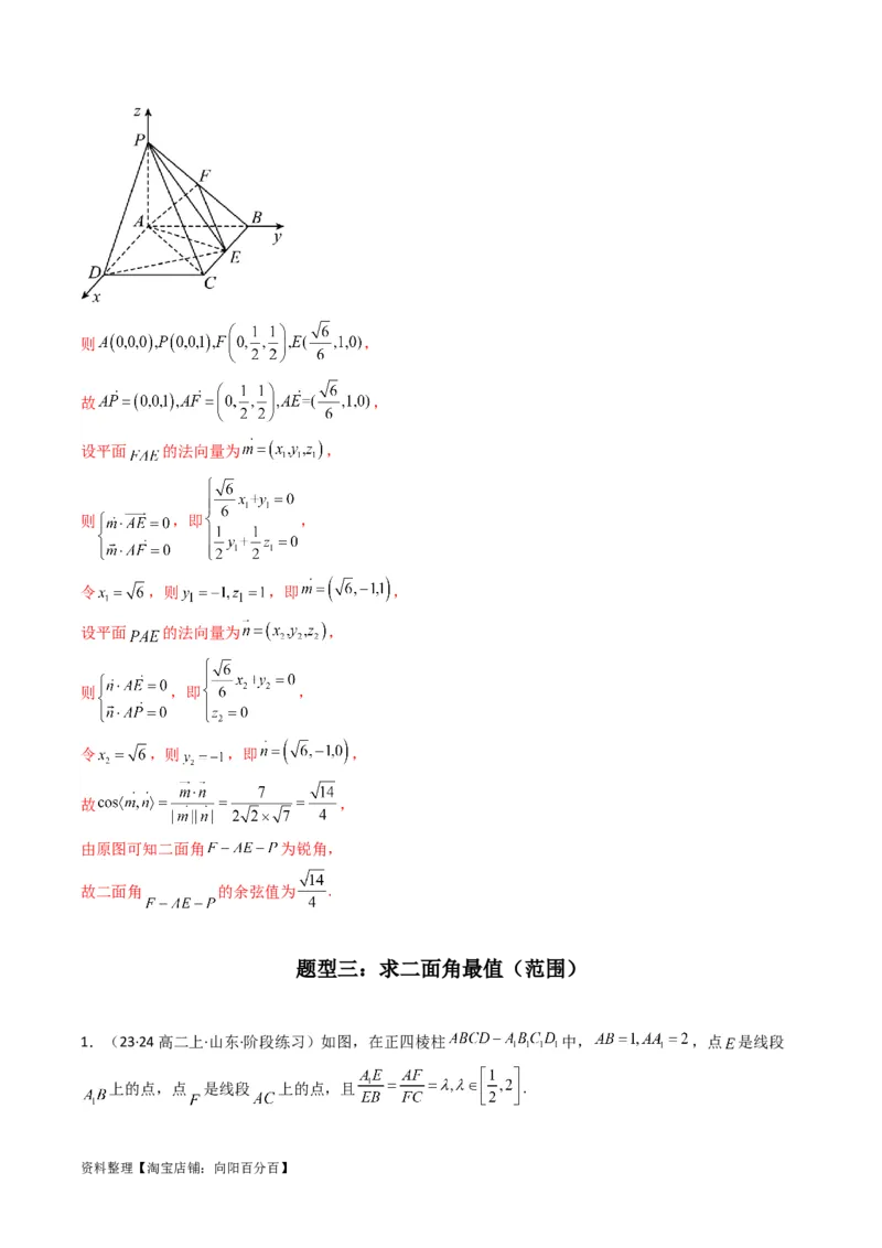
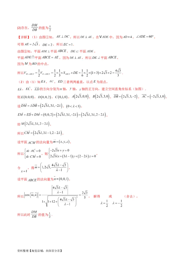
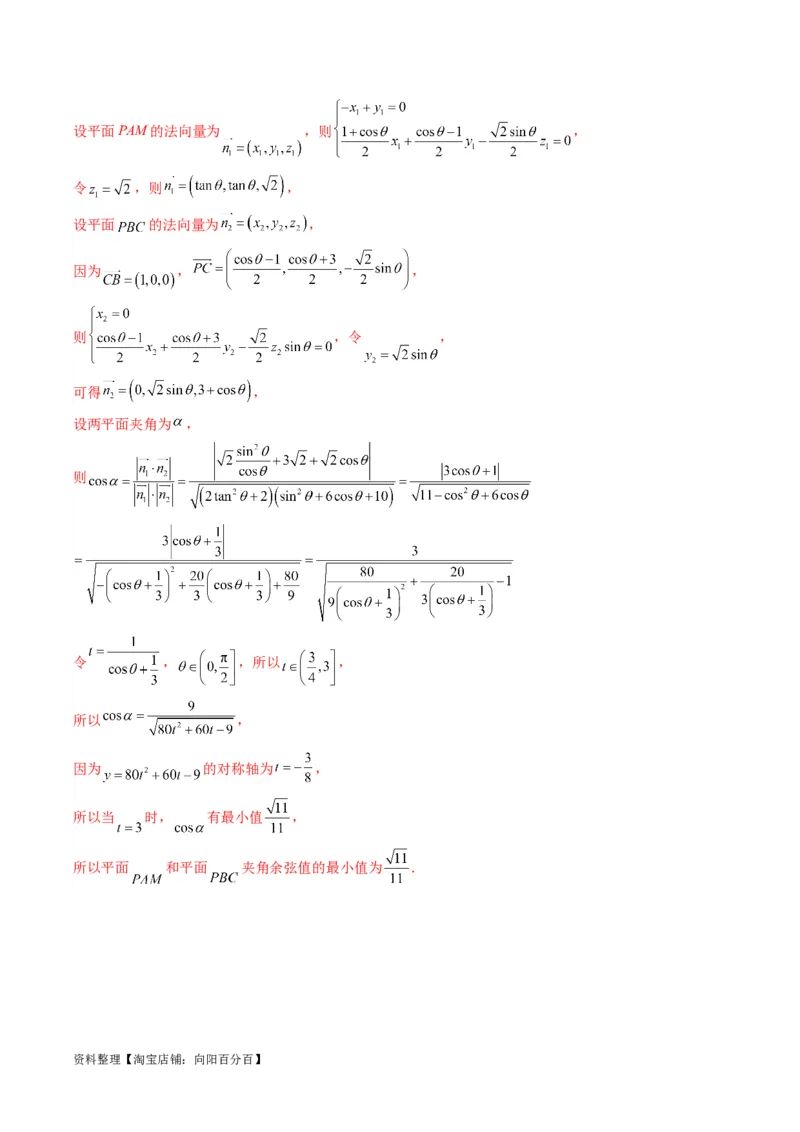
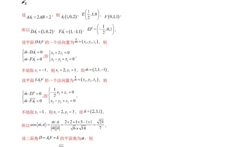
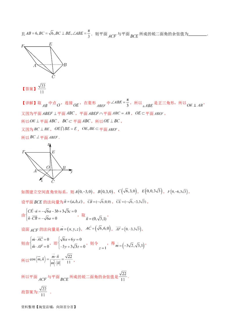
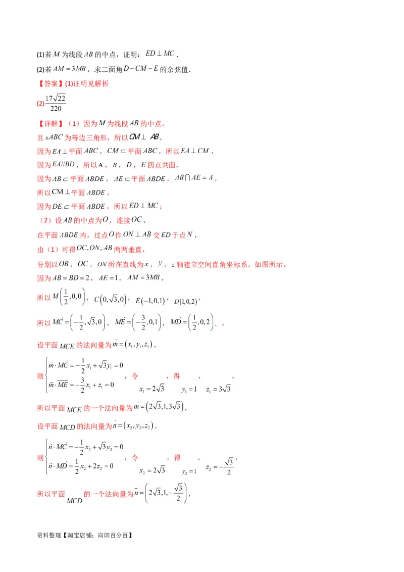
专题 03 平面与平面所成角(二面角)(含探索性问题) (典型题型归类训练) 目录 一、必备秘籍........................................................1 二、典型题型........................................................2 题型一:求二面角.................................................2 题型二:已知二面角求参数........................................10 题型三:求二面角最值(范围)....................................18 三、专项训练.......................................................24 一、必备秘籍 1、二面角的平面角定义:从二面角棱上任取一点 ,在二面角的两个半平面内分别作 棱的垂线 、 ,则 称为二面角的平面角. 2、二面角的范围: 3、向量法求二面角平面角 (1)如图①, , 是二面角 的两个面内与棱 垂直的直线,则二面角的大小 . (2)如图②③, , 分别是二面角 的两个半平面 的法向量,则二面角的大小 满足: 资料整理【淘宝店铺:向阳百分百】; (特别说明,有些题目会提醒求锐二面角;有些题目没 有明显提示,需考生自己看图判定为锐二面角还是钝二面角.) 二、典型题型 题型一:求二面角 1.(22·23下·河南·模拟预测)如图,直四棱柱 的底面是正方形, ,E,F分别 为BC, 的中点. (1)证明: 平面 ; (2)求二面角 的正弦值. 【答案】(1)证明见解析 (2) 【详解】(1)连接 ,交 于点G,连接FG, 因为E,F分别为BC, 的中点, 所以 ,且 , 所以四边形AEFG是平行四边形, 所以 , 又因为 平面 , 平面 , 所以 平面 . (2)以D为坐标原点,DA为x轴,DC为y轴, 为z轴建立坐标系,如图所示, 资料整理【淘宝店铺:向阳百分百】设 ,则 , , , 所以 , , , 设平面 的一个法向量为 ,则 ,即 , 不妨取 ,则 ,即 , 设平面 的一个法向量为 ,则 ,即 , 不妨取 ,则 ,即 , 所以 , 设二面角 的平面角为 ,则 , 所以 故二面角 的正弦值为 . 2.(2023·江西南昌·模拟预测)如图,直三棱柱 的体积为 , 的面积为 . 资料整理【淘宝店铺:向阳百分百】(1)求 到平面 的距离; (2)设 为 的中点, ,平面 平面 ,求二面角 的大小. 【答案】(1) (2) 【详解】(1)由题意知: ; 设点 到平面 的距离为 , ,解得: , 即点 到平面 的距离为 . (2)取 的中点 ,连接 , , , 又平面 平面 ,平面 平面 , 平面 , 平面 ,又 平面 , ; 三棱锥 为直三棱柱, 平面 , 又 平面 , ; , 平面 , 平面 则以 为坐标原点, 正方向为 轴的正方向,可建立如图所示空间直角坐标系, 由(1)知: , , , 资料整理【淘宝店铺:向阳百分百】, , , , , , , , , 设平面 的法向量 , 则 ,令 ,解得: , , ; 设平面 的法向量 , 则 ,令 ,解得: , , ; , 而 ,所以 , 则二面角 的大小为 . 3.(2023·浙江·模拟预测)如图,在矩形 中, 为边 上的点,且 .将 沿 翻折,使得点 到 ,满足平面 平面 ,连接 . (1)求证:平面 平面 ; (2)求二面角 的正弦值的大小. 【答案】(1)证明见详解 (2) 【详解】(1)在 中, , , , 同理,在 中, , , , 资料整理【淘宝店铺:向阳百分百】又因为平面 平面 ,平面 平面 , 平面 , 平面 , 又 平面 , , 又 , 与 是平面 内的两条相交直线, 平面 ,又 平面 , 平面 平面 . (2) 如图,作 ,垂足为 ,在 中,可得 , , 由(1), ,平面 平面 , 以点 为坐标原点, , 分别为 , 轴,过点 垂直平面 为 轴, 建立如图所示的空间直角坐标系,可得 , , , , 则 , , , , 设平面 的一个法向量为 ,则 ,即 ,令 ,可得 , , , 设平面 的一个法向量为 ,则 ,即 ,令 ,可得 , , , 资料整理【淘宝店铺:向阳百分百】, 又 ,则 , 所以二面角 的正弦值为 . 4.(2023·河北沧州·三模)如图,该几何体是由等高的半个圆柱和 个圆柱拼接而成. 在同一平 面内,且 . (1)证明:平面 平面 ; (2)若直线 与平面 所成角的正弦值为 ,求平面 与平面 所成角的余弦值. 【答案】(1)证明见解析 (2) 【详解】(1)如图,连接 ,因为该几何体是由等高的半个圆柱和 个圆柱拼接而成, ,所以 ,所以 ,所以 . 因为 , ,所以四边形 为平行四边形,所以 ,所以 . 因为 平面 , 平面 ,所以 . 因为 平面 , ,所以 平面 , 因为 平面 ,所以平面 平面 . 资料整理【淘宝店铺:向阳百分百】(2)如图,以 为坐标原点建立空间直角坐标系,设 , , 则 , , , , , , 则 , , , 设平面 的一个法向量为 , 则 即 令 ,则 , 记直线 与平面 所成的角为 , 则 , 解得 (负值舍去),即 . 设平面 的一个法向量为 , , , 则 即 令 ,则 . 所以 . 因此平面 与平面 所成角的余弦值为 . 5.(2023·海南省直辖县级单位·三模)如图所示, 为等边三角形, 平面 , , , , 为线段 上一动点. 资料整理【淘宝店铺:向阳百分百】(1)若 为线段 的中点,证明: . (2)若 ,求二面角 的余弦值. 【答案】(1)证明见解析 (2) 【详解】(1)因为 为线段 的中点, 且 为等边三角形,所以 , 因为 平面 , 平面 ,所以 , 因为 ,所以 , , , 四点共面, 因为 平面 , 平面 , , 所以 平面 , 因为 平面 ,所以 ; (2)设 的中点为 ,连接 , 在平面 内,过点 作 交 于点 , 由(1)可得 两两垂直, 分别以 , , 所在直线为 , , 轴建立空间直角坐标系,如图所示, 因为 , , , 所以 , , , , 所以 , , ., 设平面 的法向量为 , 则 ,令 ,得 , , 所以平面 的一个法向量为 , 设平面 的法向量为 , 则 ,令 ,得 , , 所以平面 的一个法向量为 , 资料整理【淘宝店铺:向阳百分百】所以 , 所以二面角 的余弦值为 . 题型二:已知二面角求参数 1.(2023·四川南充·三模)如图,在四棱台 中,底面 是菱形, , , 平面 . (1)证明:BD CC ; 1 (2)棱 上是否存在一点 ,使得二面角 的余弦值为 若存在,求线段 的长;若不存在, 请说明理由. 【答案】(1)证明见解析 (2)存在, 资料整理【淘宝店铺:向阳百分百】【详解】(1)证明:如图所示,连接 , 因为 为棱台,所以 四点共面, 又因为四边形 为菱形,所以 , 因为 平面 , 平面 ,所以 , 又因为 且 平面 ,所以 平面 , 因为 平面 ,所以 . (2)解:取 中点 ,连接 , 因为底面 是菱形,且 ,所以 是正三角形,所以 ,即 , 由于 平面 ,以 为原点,分别以 为 轴、 轴和 轴,建立如图所示的空间直角 坐标系, 则 假设点 存在,设点 的坐标为 ,其中 , 可得 设平面 的法向量 ,则 , 取 ,可得 ,所以 . 又由平面 的法向量为 , 所以 ,解得 由于二面角 为锐角,则点 在线段 上,所以 ,即 故 上存在点 ,当 时,二面角 的余弦值为 . 2.(2023·吉林长春·一模)长方形 中, ,点 为 中点(如图1),将点 绕 资料整理【淘宝店铺:向阳百分百】旋转至点 处,使平面 平面 (如图2). (1)求证: ; (2)点 在线段 上,当二面角 大小为 时,求四棱锥 的体积. 【答案】(1)证明见详解 (2) 【详解】(1)证明:在长方形 中, , 为 中点, , , 平面 平面 ,平面 平面 , 平面 , 平面 , 平面 , ,又 , 平面 , 平面 , , 平面 , 平面 , . (2) 如图,取 的中点 , 的中点 ,连接 , 由题意可得 两两互相垂直, 以 为坐标原点,以 , , 分别为x,y,z轴建立空间直角坐标系, 则 , , , , 设 ,则 , 资料整理【淘宝店铺:向阳百分百】设平面 的一个法向量为 , 则 , , 令 ,得 , , 又 平面 , 是平面 的一个法向量, , 令 ,解得 或 (舍). 即 为 的靠近 的三等分点时,二面角 的平面角为 , 平面 ,且 , 到平面 的距离为 ,又四边形 的面积为3, 四棱锥 的体积 3.(2023·福建宁德·一模)如图①在平行四边形 中, , , , , 将 沿 折起,使平面 平面 ,得到图②所示几何体. (1)若 为 的中点,求四棱锥 的体积 ; (2)在线段 上,是否存在一点 ,使得平面 与平面 所成锐二面角的余弦值为 ,如果存 在,求出 的值,如果不存在,说明理由. 【答案】(1) 资料整理【淘宝店铺:向阳百分百】(2)存在, 的值为 【详解】(1)由图①知, ,所以 ,在 中,因为 , , 可得 , ,所以 . 由图②知,平面 平面 , 平面 , 平面 平面 ,因为 ,所以 平面 , 因为 为 的中点, 所以 . (2)由(1)知 , , 三者两两垂直,以点 为原点, , , 的方向分别为 轴, 轴, 轴的正方向,建立空间直角坐标系(如图). 则 , , , , , , , 设 , , , 即 , 所以 , 设平面 的法向量为 , 所以 ,则 , 令 ,得 , 设平面 的法向量为 , 所以 , 解得 或 (舍去), 所以此时 的值为 . 资料整理【淘宝店铺:向阳百分百】4.(2023·江西九江·一模)如图,直角梯形 中, , , , ,将 沿 翻折至 的位置,使得 , 为 的中点. (1)求证:平面 平面 ; (2) 为线段 上一点(端点除外),若二面角 的余弦值为 ,求线段 的长. 【答案】(1)证明见解析 (2) 【详解】(1)易知 , , , 平面 , 平面 , 又 平面 ,所以 由直角梯形 , , , , 可得 ,又 ,得 ; 又 , 平面 ,所以 平面 又 平面 ,可得平面 平面 (2)取 的中点 ,连接 , , 资料整理【淘宝店铺:向阳百分百】, , 又平面 平面 ,平面 平面 , 平面 , 为 的中点, 为 的中点,可得 ,又 , 故以 所在的直线分别为 轴,建立如图空间直角坐标 系,则 , , , , , 设 ,则 设平面 的一个法向量为 , , , 所以 ,令 ,得 , , 即 平面 的一个法向量为 可得 ,解得 或 (舍) 即 为 的中点,易知 , 故线段 的长为 . 5.(2023·四川成都·模拟预测)如图,四棱锥 中,底面 是矩形, , ,侧面 底面 ,侧面 底面 ,点F是PB的中点,动点E在边BC上移动,且 . 资料整理【淘宝店铺:向阳百分百】(1)证明: 垂直于底面 . (2)当点E在BC边上移动,使二面角 为 时,求二面角 的余弦值. 【答案】(1)证明见解析 (2) 【详解】(1)因为侧面 底面 ,侧面 底面 , 而底面 是矩形,故 , 底面 , 故 平面 ,而 平面 ,故 ; 同理侧面 底面 ,侧面 底面 , 而底面 是矩形,故 , 底面 , 故 平面 ,而 平面 ,故 , 又 底面 , 故 垂直于底面 (2)由(1)知 底面 , 底面 , 故 ,点F是PB的中点,且 , 故 , ; 又 平面 , ,故 平面 , 平面 ,故 ,而 平面 , 故 平面 ,故 即为二面角 的平面角, 即 ;而 , 以A为坐标原点,以 所在直线分别为 轴,建立空间直角坐标系, 资料整理【淘宝店铺:向阳百分百】则 , 故 , 设平面 的法向量为 , 则 ,即 , 令 ,则 ,即 , 设平面 的法向量为 , 则 ,即 , 令 ,则 ,即 , 故 , 由原图可知二面角 为锐角, 故二面角 的余弦值为 . 题型三:求二面角最值(范围) 1.(23·24高二上·山东·阶段练习)如图,在正四棱柱 中, ,点 是线段 上的点,点 是线段 上的点,且 . 资料整理【淘宝店铺:向阳百分百】(1)证明:直线 平面 : (2)求平面 与平面 夹角的余弦值的取值范围. 【答案】(1)证明见解析 (2) 【详解】(1)如图,连接 并延长交 于 ,过 作 交 于 ,连接 , 因为 ,所以 , 又 ,所以 ,得到 , 又易知, 且 ,又 且 ,故 且 ,所以四边形 为平行四边形, 得到 ,又 ,所以 , 又 平面 , 平面 ,所以 平面 , (2)如图建立空间直角坐标系,因为 , 则 , , , , , 所以, , , , , 资料整理【淘宝店铺:向阳百分百】又因为 ,则 , , 又 , 设平面 的一个法向量为 , 则由 ,得到 ,取 ,得到 ,所以 , 设平面 的一个法向量为 , 则由 ,得到 ,取 ,得到 , 所以 , 设平面 与平面 的夹角为 , 则 , 又因为 , , , 所以 ,即平面 与平面 夹角的余弦值的取值范围为 . 2.(23·24高二上·四川遂宁·阶段练习)如图,在正四棱柱 中, , .点 、 、 、 分别在棱 、 、 、 上, , , . 资料整理【淘宝店铺:向阳百分百】(1)证明: 四点共面 (2)当点 在棱 上运动时(包括端点),求平面 与平面 夹角余弦值的的取值范围. 【答案】(1)证明见解析. (2) . 【详解】(1)分别以 为 轴建立空间直角坐标系,如图,则 , , , , ∴ , , , ∴ , 所以 共面,即 四点共面; (2)设 , , ,又 , , 设平面 的一个法向量是 , 则 ,取 ,则 , 设平面 的一个法向量是 , 则 ,取 ,则 , 资料整理【淘宝店铺:向阳百分百】, ,则 ,所以 , ∴平面 与平面 夹角余弦值的的取值范围是 . 3.(23·24高二上·湖北恩施·阶段练习)如图(1),在矩形 中, , 为线段 的 中点,将 沿直线AE折起,使得 ,如图(2). (1)求证:平面 平面 ; (2)已知点H在线段AB上移动,设平面ADE与平面DHC所成的角为 ,求 的取值范围. 【答案】(1)证明见解析 (2) 【详解】(1)由题意证明如下, 取线段AE的中点O,连接DO,OC,如图. 在 中, , , , . 在 中, , , , 由余弦定理得, ,∴ . 在 中, , . 又 , , 平面ABCE, 平面 . 资料整理【淘宝店铺:向阳百分百】又 平面 , 平面 平面ABCE. (2)由题意及(1)得,建立空间直角坐标系如下图所示, 则 , , , . 易知平面ADE的一个法向量为 . 设点H的坐标为 , , 则 , . 设平面DHC的法向量为 , 则 令 ,则 . ∴ . 令 ,则 , ∴ . 又 ,所以 , ∴ 的取值范围为 . 4.(23·24高二上·四川遂宁·阶段练习)如图,在三棱柱 中,底面是边长为2的等边三角形, 在菱形 中, , ,平面 平面 , , 分别是线段 、 的中点. (1)求证: 平面 ; (2)若点 为线段 上的动点(不包括端点),求锐二面角 的余弦值的取值范围. 【答案】(1)证明见解析 资料整理【淘宝店铺:向阳百分百】(2) 【详解】(1)由平面 平面 ,且两平面交线为 , 为 中点, , 平面 ,所以 平面 ,由于 平面 ,故 , 在菱形 中, , ,所以 为等边三角形, 又 为 中点,所以 , 则以 为坐标原点, 所在直线为 , , 轴,可建立如图所示空间直角坐标系, 则 , , , , , 又 , , 平面 , 平面 . (2) , 设 ,则 , , , ; 由(1)知 平面 , 平面 的一个法向量 , 设平面 的法向量 ,又 则 , ,即 , 令 ,则 , , , , 资料整理【淘宝店铺:向阳百分百】令 ,则 , , , 所以 , , , 即锐二面角 的余弦值的取值范围为 . 三、专项训练 1.(23·24高二上·北京房山·阶段练习)已知长方体 中, , ,则平面 与平面 所成锐二面角的正切值为( ) A. B. C. D. 【答案】A 【详解】以 为坐标原点,直线 分别为 轴,建立空间直角坐标系, 则 可得 , 可知平面 的法向量 , 设平面 的法向量 ,则 , 令 ,则 ,可得 , 设平面 与平面ABCD所成的锐二面角为 , 则 , 可得 , 资料整理【淘宝店铺:向阳百分百】所以平面 与平面 所成锐二面角的正切值 . 故选:A. 2.(23·24高二上·山东济南·阶段练习)如图所示, 是棱长为6的正方体, 分别是棱 上的动点,且 ,当 四点共面时,平面 与平面 所成夹角的余弦值为 ( ) A. B. C. D. 【答案】D 【详解】以 为坐标原点, 所在的直线分别为 轴、 轴和 轴,建立空间直角坐标系,如图 所示,当 时,即 为 的中点时, 四点共面, 可得 ,且 , 则 , 设平面 的法向量为 ,则 , 取 ,可得 ,所以 , 资料整理【淘宝店铺:向阳百分百】设平面 的法向量为 ,则 取 ,可得 ,所以 , 设平面 与平面 所成的二面角为 , 则 , 所以平面 与平面 所成的二面角的余弦值 . 故选:D. 3.(23·24高二上·陕西宝鸡·阶段练习)如图,在直四棱柱 中, , , ,E,F分别是侧棱 , 上的动点,且平面AEF与平面ABC所成角的大小为 ,则线段 BE的长的最大值为( ) A. B. C. D. 【答案】B 【详解】依题意, , , 两两互相垂直, 以A为原点, , , 的方向分别为x轴、y轴、z轴的正方向,建立如图所示的空间直角坐标系. 资料整理【淘宝店铺:向阳百分百】设 , ( , ,且m,n不同时为0), 则 , , ,所以 , . 设平面AEF的一个法向量为 , 则 , 令 ,得 ,则 , 显然 为平面ABC的一个法向量. 因为平面 与平面 所成角的大小为 , 所以 , 即 , 得 , 所以 ,所以当 时,m取得最大值,最大值为 . 故选:B 4.(21·22高二·全国·单元测试)如图,在四棱锥 中, 平面ABCD, , , ,已知Q是四边形ABCD内部一点(包括边界),且二面角 的平面角大小为 ,则 面积的取值范围是( ) 资料整理【淘宝店铺:向阳百分百】A. B. C. D. 【答案】B 【详解】以A为坐标原点建立空间直角坐标系,如图, 由二面角 的平面角大小为 ,可知Q的轨迹是过点D的一条直线, 又Q是四边形ABCD内部一点(包括边界),则Q的轨迹是过点D的一条线段. 设Q的轨迹与y轴的交点坐标为 ,由题意可知 , , ,所以 , , . 易知平面APD的一个法向量为 , 设平面PDG的法向量为 , 则 ,即 , 令 ,得 , ,所以 是平面PDG的一个法向量, 资料整理【淘宝店铺:向阳百分百】则二面角 的平面角的余弦值为 , 解得 或 (舍去), 所以Q在DG上运动,所以 面积的取值范围为 . 故选:B. 5.(20·21高一下·湖北·阶段练习)在正三棱柱 中, ,点D为棱 的中点, 点E为 上的点,且满足 ,当二面角 的正切值为 时,实数m的值为 ( ) A. B.1 C.2 D.3 【答案】C 【详解】如图, 以D原点,DA,DB,DD 分别为x,y,z轴建立空间直角坐标系, 1 则 , , , , , 资料整理【淘宝店铺:向阳百分百】由 得, ,即 , 所以 , , 设面 的法向量为: ,则 取 , 取面 的法向量为: , 设二面角 为 , 由 得, ,则 , 所以 , 故选:C. 二、填空题 6.(21·22高二上·福建·期末)已知在一个二面角的棱上有两点 ,线段 分别在这个二面角的两 个面内,并且都垂直于棱 ,则这个二面角的大小为 . 【答案】 【详解】如图,设 ,( ),则二面角的大小为 , , , , , 故 . 故 ,故 , . 因此所求二面角的度数为 . 故答案为: . 7.(23·24高二上·山东德州·阶段练习)如图,已知菱形 所在的平面与 所在的平面互相垂直, 资料整理【淘宝店铺:向阳百分百】且 .则平面 与平面 所成的锐二面角的余弦值为 . 【答案】 【详解】取 中点 ,连接 ,在菱形 中 ,所以 是正三角形,所以 , 又因为平面 平面 ,平面 平面 , 平面 , 所以 平面 , 平面 ,所以 , 又因为 , , 平面 , 所以 平面 . 如图建立空间直角坐标系,则 , , , , , 设平面 的法向量为 , , , 由 ,取 , 设面 的法向量是 , , , 则由 ,即 ,则令 ,得 , 所以 , 所以平面 与平面 所成的锐二面角的余弦值是 . 故答案为: . 资料整理【淘宝店铺:向阳百分百】8.(22·23高二上·广东佛山·阶段练习)如图,在三棱柱 中, , , 两两互相垂直, , , 分别是侧棱 , 上的点,平面 与平面 所成的(锐)二面角为 , 则当 最小时 . 【答案】 /60o 【详解】建立空间直角坐标系,如图所示: 设 , ,则 , , , , 所以 , , 设平面 的一个法向量为 , 则 ,即 ,令 ,则 , 又平面 的一个法向量为 , 所以 ,即 , 当 最小时, , , 所以 ,所以 , 故答案为: . 资料整理【淘宝店铺:向阳百分百】9.(23·24高二上·全国·单元测试)如图,四棱锥 中,底面 是矩形, 平面 , 且 ,点 是线段 上一点,当二面角 的平面角的大小为 时, . 【答案】 【详解】设 ,以 为坐标原点,以 所在的直线分别为 轴、 轴和 轴建立空 间直角坐标系,如图所示, 则 ,可得 , 设平面 的法向量为 ,则 , 取 ,可得 ,所以 , 又由平面 的一个法向量为 , 则 , 解得 或 (舍去),所以 . 故答案为: . 三、解答题 10.(23·24高三上·四川成都·开学考试)如图,四棱锥 中,底面 是平行四边形,平面 底面 , , , , . 资料整理【淘宝店铺:向阳百分百】(1)求证:平面 平面 ; (2)求平面 与平面 所成的锐二面角的余弦值. 【答案】(1)证明见解析 (2) 【详解】(1)因为平面 平面 ,且平面 平面 , 平面 , , 所以 平面 , 又 平面 ,所以 . 因为 , , ,所以 ,故 . 又 , 平面 ,所以 平面 . 因为 平面 ,所以,平面 平面 . (2)作 的高 ,因为 , , , 所以 ,所以 , 因为平面 平面 ,且平面 平面 , 平面 , 所以 平面 . 所以,可以建立如图所示空间直角坐标系,其中 轴 . 则 , , , , 所以 , , . 设平面 的法向量为 , 资料整理【淘宝店铺:向阳百分百】则 即 令 得 , , 所以平面 的一个法向量为 . 设平面 的法向量为 , 则 即 令 得 , , 所以平面 的一个法向量为 . , 所以平面 与平面 所成的锐二面角的余弦值为 . 11.(2023·新疆·三模)如图,在圆柱体 中, , ,劣弧 的长为 ,AB为圆O的直径. (1)在弧 上是否存在点C(C, 在平面 同侧),使 ,若存在,确定其位置,若不存在, 说明理由; (2)求二面角 的余弦值. 【答案】(1)存在, 为圆柱 的母线 (2) 【详解】(1)存在,当 为圆柱 的母线时, .证明如下: 连接BC,AC, ,因为 为圆柱 的母线,所以 平面ABC, 又因为 平面ABC,所以 . 因为AB为圆O的直径,所以 . 资料整理【淘宝店铺:向阳百分百】又 , 平面 ,所以 平面 , 因为 平面 ,所以 . (2)以 为原点,OA, 分别为y,z轴,垂直于y,z轴的直线为x轴建立空间直角坐标系,如图所示, 则 , , , 因为劣弧 的长为 ,所以 , , 则 , . 设平面 的法向量 , 则 , 令 ,解得 , ,所以 . 因为x轴垂直平面 ,所以平面 的一个法向量 . 所以 , 又二面角 的平面角为锐角, 故二面角 的余弦值为 . 12.(2023·福建泉州·模拟预测)如图,三棱锥 中, , , ,平面 平面 . 资料整理【淘宝店铺:向阳百分百】(1)求三棱锥 的体积的最大值; (2)求二面角 的正弦值的最小值. 【答案】(1) (2) . 【详解】(1)取 的中点 ,连接 , 因为 ,所以 又因为平面 平面 ,平面 平面 , 平面 , 所以 平面 , 因为 , , ,所以 , , 所以三棱锥 的体积为 因为 ,所以 , , 当且仅当 ,即 时,等号成立, 故三棱锥 的体积的最大值为 . (2)解法一:由(1)可知 平面 ,又 平面 ,所以 , 过 作 于 ,连接 , 因为 平面 , ,所以 平面 , 又 平面 ,所以 ,所以 为二面角 的平面角, 资料整理【淘宝店铺:向阳百分百】在 中, , 因为 ,当且仅当 时等号成立, 所以 的最小值为2. 此时 取得最小值 , 故二面角 的正弦值的最小值为 . 解法二:由(1)可知 平面 , 以 为坐标原点,向量 , 为 轴, 轴正方向,建立如图所示的空间直角坐标系 , 则 , , , , 设 ,则 , 设平面 的法向量为 , 则 ,取 ,则 , 又取平面 的法向量为 , 设二面角 的大小为 , , 所以 , 因为 ,所以 , 令 ,则 ,整理可得 , 所以 ,解得 , 所以当 ,即 , 时, 取得最大值 ,此时 取得最小值 , 资料整理【淘宝店铺:向阳百分百】故二面角 的正弦值的最小值为 . 13.(2023·辽宁·模拟预测)已知直角梯形形状如下,其中 , , , . (1)在线段CD上找出点F,将四边形 沿 翻折,形成几何体 .若无论二面角 多大,都能够使得几何体 为棱台,请指出点F的具体位置(无需给出证明过程). (2)在(1)的条件下,若二面角 为直二面角,求棱台 的体积,并求出此时二面角 的余弦值. 【答案】(1) 或 为靠近点 的三等分点; (2) ; . 【详解】(1)在直角梯形 中,延长 交于点 ,连接 并延长交 于 ,如图, , , ,于是 ,则 , 为靠近点 的三等分点, 将四边形 沿 翻折,即将 沿 翻折,无论二面角 多大, 所成几何体均为三棱锥 ,显然 平面 平面 , 于是 平面 ,同理 平面 ,而 平面 , 因此平面 平面 ,从而几何体 是棱锥 被平行于底面 的平面所截, 截面和底面间的部分,即几何体 是棱台, 所以无论二面角 多大,都能够使得几何体 为棱台, , 为靠近点 的三等 分点. (2)翻折前 ,将 , , 延长一倍,三线交予点 , 在等腰直角三角形 中, ,在棱台 中, , 又二面角 为直二面角, 平面 , 即三棱锥 的体积为 , 又三棱锥 的体积 , 资料整理【淘宝店铺:向阳百分百】则有棱台 的体积为 , 在线段 上取 ,有 ,四边形 为平行四边形, , 又 面 ,则 ,以 为原点, 为 , , 的单位向量建立空间直角 坐标系, 则 , , ,取平面 的法向量为 , ,令 ,取 , 取面 的法向量 ,则 ,令 ,得 , 显然二面角 的平面角为锐角,设为 , , 所以二面角 的余弦值为 . 14.(22·23高一上·吉林·阶段练习)如图①所示,长方形 中, , ,点 是边 的中 点,将 沿 翻折到 ,连接 , ,得到图②的四棱锥 . (1)求四棱锥 的体积的最大值; (2)设 的大小为 ,若 ,求平面 和平面 夹角余弦值的最小值. 【答案】(1) 资料整理【淘宝店铺:向阳百分百】(2) 【详解】(1)取 的中点 ,连接 ,因为 ,则 , 当平面 平面 时, 点到平面 的距离最大,四棱锥 的体积取得最大值,此 时 平面 ,且 , 底面 为梯形, , 则四棱锥 的体积最大值为 . (2)连接 ,因为 ,所以 ,所以 为 的平面角,即 , 过点 作 平面 ,以 为坐标原点, 分别以DA,DC,DZ所在直线为x轴,y轴,z轴,建立如图所示的空间直角坐标系, 则 , , , 过 作 于点 ,由题意得 平面 , 设 ,因为 ,所以 , , , 所以 , , 所以 , 所以 , , 资料整理【淘宝店铺:向阳百分百】设平面PAM的法向量为 ,则 , 令 ,则 , 设平面 的法向量为 , 因为 , , 则 ,令 , 可得 , 设两平面夹角为 , 则 令 , ,所以 , 所以 , 因为 的对称轴为 , 所以当 时, 有最小值 , 所以平面 和平面 夹角余弦值的最小值为 . 资料整理【淘宝店铺:向阳百分百】15.(22·23下·信阳·阶段练习)如图,在等腰梯形 中, ,四边形 为矩形,且 平面 , . (1)求证: 平面 ; (2)在线段 上是否存在点 ,使得平面 与平面 所成锐二面角的平面角为 ,且满足 . 若不存在,请说明理由;若存在,求出 的长度. 【答案】(1)证明见解析 (2)存在, 【详解】(1)∵ 为等腰梯形, ,∴ ∵ ,则 ,∴ . 又∵ ,则 , ∴ ,∵ 平面 , 平面 ,∴ . ∵ 平面 ,∴ 平面 , ∵四边形 为矩形,则 , ∴ 平面 . (2)如图所示,建立空间直角坐标系, 资料整理【淘宝店铺:向阳百分百】由(1)知, ,则 , ,设 , 则 , 设平面 的法向量 , 则 ,∴ ,令 , 则 ,取平面 的法向量 , , 由题意 , . 解得 . 因此在线段 上存在点 , 使得平面 与平面 所成锐二面角的平面角为 , 且满足 . 16.(23·24上·山东·开学考试)如图,在四棱锥 中, 底面 , , , ,点E在平面 上运动. 资料整理【淘宝店铺:向阳百分百】(1)试确定一点E,使得 平面 ,并说明点E的位置; (2)若四棱锥的体积为6,在侧棱 上是否存在一点F,使得二面角 的余弦值为 .若存在, 求 的长,若不存在,请说明理由. 【答案】(1)当点E在 的 边的中线 上运动时, 平面 ; (2)存在, . 【详解】(1)点E在 的 边的中线上, 取 的中点G,连接 ,如图, 由 , ,得 , ,即四边形 为平行四边形, 于是 ,而 平面 , 平面 ,则 平面 , 所以当点E在 的 边的中线 上运动时, 平面 . (2)由于 底面 , ,则四棱锥 的体积 ,解得 , 由(1)知, ,则有 , ,有 , , 以点A为坐标原点, 所在的直线分别为 轴建立空间直角坐标系, 则 , 假定棱 上存在一点F满足条件,令 , ,则 , , ,设面 的法向量 , 资料整理【淘宝店铺:向阳百分百】则 ,令 ,得 ,又面 的法向量 , 于是二面角 的余弦值 , 解得 ,即F为 中点,此时 , . 即当 时,二面角 的余弦值为 . 17.(23·24上·湖北·开学考试)如图所示,在三棱柱 中,侧面 是边长为2的菱形, ;侧面 为矩形, ,且平面 平面 . (1)求证: ; (2)设 是线段 上的动点,试确定点 的位置,使二面角 的余弦值为 . 【答案】(1)证明见解析 (2)点 为 的中点 【详解】(1)如下图所示:连接 ,在矩形 中,明显有: . 又平面 平面 ,平面 平面 ,所以 平面 , 又因为 平面 ,所以 , 又在菱形ABCD中 且 , 平面 , 平面 , 则 平面 ,又 平面 ,则 . 资料整理【淘宝店铺:向阳百分百】(2)建立空间直角坐标系如下图所示: 设 ,且 , ,则 , , 设 是平面MBC的一个法向量,由 及 , 故可取 ,明显平面BCD的一个法向量为 , 由已知有 ,解得 或 (舍去), 所以当点M为AF的中点时,二面角 的余弦值为 . 资料整理【淘宝店铺:向阳百分百】