当前位置:首页>文档>专题02直线与平面所成角(线面角)(含探索性问题)(典型题型归类训练)(解析版)_2.2025数学总复习_2024年新高考资料_3.2024专项复习_立体几何与空间向量

专题02直线与平面所成角(线面角)(含探索性问题)(典型题型归类训练)(解析版)_2.2025数学总复习_2024年新高考资料_3.2024专项复习_立体几何与空间向量

  • 2026-04-11 18:12:24 2026-03-11 11:04:00

文档预览

专题02直线与平面所成角(线面角)(含探索性问题)(典型题型归类训练)(解析版)_2.2025数学总复习_2024年新高考资料_3.2024专项复习_立体几何与空间向量
专题02直线与平面所成角(线面角)(含探索性问题)(典型题型归类训练)(解析版)_2.2025数学总复习_2024年新高考资料_3.2024专项复习_立体几何与空间向量
专题02直线与平面所成角(线面角)(含探索性问题)(典型题型归类训练)(解析版)_2.2025数学总复习_2024年新高考资料_3.2024专项复习_立体几何与空间向量
专题02直线与平面所成角(线面角)(含探索性问题)(典型题型归类训练)(解析版)_2.2025数学总复习_2024年新高考资料_3.2024专项复习_立体几何与空间向量
专题02直线与平面所成角(线面角)(含探索性问题)(典型题型归类训练)(解析版)_2.2025数学总复习_2024年新高考资料_3.2024专项复习_立体几何与空间向量
专题02直线与平面所成角(线面角)(含探索性问题)(典型题型归类训练)(解析版)_2.2025数学总复习_2024年新高考资料_3.2024专项复习_立体几何与空间向量
专题02直线与平面所成角(线面角)(含探索性问题)(典型题型归类训练)(解析版)_2.2025数学总复习_2024年新高考资料_3.2024专项复习_立体几何与空间向量
专题02直线与平面所成角(线面角)(含探索性问题)(典型题型归类训练)(解析版)_2.2025数学总复习_2024年新高考资料_3.2024专项复习_立体几何与空间向量
专题02直线与平面所成角(线面角)(含探索性问题)(典型题型归类训练)(解析版)_2.2025数学总复习_2024年新高考资料_3.2024专项复习_立体几何与空间向量
专题02直线与平面所成角(线面角)(含探索性问题)(典型题型归类训练)(解析版)_2.2025数学总复习_2024年新高考资料_3.2024专项复习_立体几何与空间向量
专题02直线与平面所成角(线面角)(含探索性问题)(典型题型归类训练)(解析版)_2.2025数学总复习_2024年新高考资料_3.2024专项复习_立体几何与空间向量
专题02直线与平面所成角(线面角)(含探索性问题)(典型题型归类训练)(解析版)_2.2025数学总复习_2024年新高考资料_3.2024专项复习_立体几何与空间向量
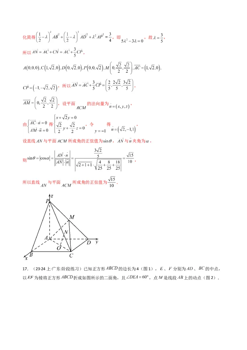
专题02直线与平面所成角(线面角)(含探索性问题)(典型题型归类训练)(解析版)_2.2025数学总复习_2024年新高考资料_3.2024专项复习_立体几何与空间向量
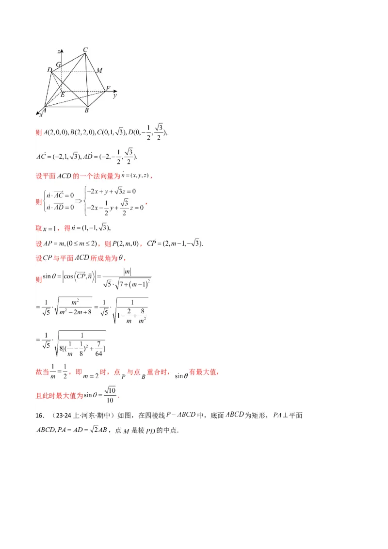
专题02直线与平面所成角(线面角)(含探索性问题)(典型题型归类训练)(解析版)_2.2025数学总复习_2024年新高考资料_3.2024专项复习_立体几何与空间向量
专题02直线与平面所成角(线面角)(含探索性问题)(典型题型归类训练)(解析版)_2.2025数学总复习_2024年新高考资料_3.2024专项复习_立体几何与空间向量
专题02直线与平面所成角(线面角)(含探索性问题)(典型题型归类训练)(解析版)_2.2025数学总复习_2024年新高考资料_3.2024专项复习_立体几何与空间向量
专题02直线与平面所成角(线面角)(含探索性问题)(典型题型归类训练)(解析版)_2.2025数学总复习_2024年新高考资料_3.2024专项复习_立体几何与空间向量
专题02直线与平面所成角(线面角)(含探索性问题)(典型题型归类训练)(解析版)_2.2025数学总复习_2024年新高考资料_3.2024专项复习_立体几何与空间向量
专题02直线与平面所成角(线面角)(含探索性问题)(典型题型归类训练)(解析版)_2.2025数学总复习_2024年新高考资料_3.2024专项复习_立体几何与空间向量
专题02直线与平面所成角(线面角)(含探索性问题)(典型题型归类训练)(解析版)_2.2025数学总复习_2024年新高考资料_3.2024专项复习_立体几何与空间向量
专题02直线与平面所成角(线面角)(含探索性问题)(典型题型归类训练)(解析版)_2.2025数学总复习_2024年新高考资料_3.2024专项复习_立体几何与空间向量
专题02直线与平面所成角(线面角)(含探索性问题)(典型题型归类训练)(解析版)_2.2025数学总复习_2024年新高考资料_3.2024专项复习_立体几何与空间向量
专题02直线与平面所成角(线面角)(含探索性问题)(典型题型归类训练)(解析版)_2.2025数学总复习_2024年新高考资料_3.2024专项复习_立体几何与空间向量
专题02直线与平面所成角(线面角)(含探索性问题)(典型题型归类训练)(解析版)_2.2025数学总复习_2024年新高考资料_3.2024专项复习_立体几何与空间向量
专题02直线与平面所成角(线面角)(含探索性问题)(典型题型归类训练)(解析版)_2.2025数学总复习_2024年新高考资料_3.2024专项复习_立体几何与空间向量
专题02直线与平面所成角(线面角)(含探索性问题)(典型题型归类训练)(解析版)_2.2025数学总复习_2024年新高考资料_3.2024专项复习_立体几何与空间向量
专题02直线与平面所成角(线面角)(含探索性问题)(典型题型归类训练)(解析版)_2.2025数学总复习_2024年新高考资料_3.2024专项复习_立体几何与空间向量
专题02直线与平面所成角(线面角)(含探索性问题)(典型题型归类训练)(解析版)_2.2025数学总复习_2024年新高考资料_3.2024专项复习_立体几何与空间向量
专题02直线与平面所成角(线面角)(含探索性问题)(典型题型归类训练)(解析版)_2.2025数学总复习_2024年新高考资料_3.2024专项复习_立体几何与空间向量
专题02直线与平面所成角(线面角)(含探索性问题)(典型题型归类训练)(解析版)_2.2025数学总复习_2024年新高考资料_3.2024专项复习_立体几何与空间向量
专题02直线与平面所成角(线面角)(含探索性问题)(典型题型归类训练)(解析版)_2.2025数学总复习_2024年新高考资料_3.2024专项复习_立体几何与空间向量
专题02直线与平面所成角(线面角)(含探索性问题)(典型题型归类训练)(解析版)_2.2025数学总复习_2024年新高考资料_3.2024专项复习_立体几何与空间向量
专题02直线与平面所成角(线面角)(含探索性问题)(典型题型归类训练)(解析版)_2.2025数学总复习_2024年新高考资料_3.2024专项复习_立体几何与空间向量
专题02直线与平面所成角(线面角)(含探索性问题)(典型题型归类训练)(解析版)_2.2025数学总复习_2024年新高考资料_3.2024专项复习_立体几何与空间向量
专题02直线与平面所成角(线面角)(含探索性问题)(典型题型归类训练)(解析版)_2.2025数学总复习_2024年新高考资料_3.2024专项复习_立体几何与空间向量
专题02直线与平面所成角(线面角)(含探索性问题)(典型题型归类训练)(解析版)_2.2025数学总复习_2024年新高考资料_3.2024专项复习_立体几何与空间向量
专题02直线与平面所成角(线面角)(含探索性问题)(典型题型归类训练)(解析版)_2.2025数学总复习_2024年新高考资料_3.2024专项复习_立体几何与空间向量
专题02直线与平面所成角(线面角)(含探索性问题)(典型题型归类训练)(解析版)_2.2025数学总复习_2024年新高考资料_3.2024专项复习_立体几何与空间向量
专题02直线与平面所成角(线面角)(含探索性问题)(典型题型归类训练)(解析版)_2.2025数学总复习_2024年新高考资料_3.2024专项复习_立体几何与空间向量
专题02直线与平面所成角(线面角)(含探索性问题)(典型题型归类训练)(解析版)_2.2025数学总复习_2024年新高考资料_3.2024专项复习_立体几何与空间向量
专题02直线与平面所成角(线面角)(含探索性问题)(典型题型归类训练)(解析版)_2.2025数学总复习_2024年新高考资料_3.2024专项复习_立体几何与空间向量
专题02直线与平面所成角(线面角)(含探索性问题)(典型题型归类训练)(解析版)_2.2025数学总复习_2024年新高考资料_3.2024专项复习_立体几何与空间向量
专题02直线与平面所成角(线面角)(含探索性问题)(典型题型归类训练)(解析版)_2.2025数学总复习_2024年新高考资料_3.2024专项复习_立体几何与空间向量
专题02直线与平面所成角(线面角)(含探索性问题)(典型题型归类训练)(解析版)_2.2025数学总复习_2024年新高考资料_3.2024专项复习_立体几何与空间向量
专题02直线与平面所成角(线面角)(含探索性问题)(典型题型归类训练)(解析版)_2.2025数学总复习_2024年新高考资料_3.2024专项复习_立体几何与空间向量
专题02直线与平面所成角(线面角)(含探索性问题)(典型题型归类训练)(解析版)_2.2025数学总复习_2024年新高考资料_3.2024专项复习_立体几何与空间向量
专题02直线与平面所成角(线面角)(含探索性问题)(典型题型归类训练)(解析版)_2.2025数学总复习_2024年新高考资料_3.2024专项复习_立体几何与空间向量
专题02直线与平面所成角(线面角)(含探索性问题)(典型题型归类训练)(解析版)_2.2025数学总复习_2024年新高考资料_3.2024专项复习_立体几何与空间向量
专题02直线与平面所成角(线面角)(含探索性问题)(典型题型归类训练)(解析版)_2.2025数学总复习_2024年新高考资料_3.2024专项复习_立体几何与空间向量
专题02直线与平面所成角(线面角)(含探索性问题)(典型题型归类训练)(解析版)_2.2025数学总复习_2024年新高考资料_3.2024专项复习_立体几何与空间向量
专题02直线与平面所成角(线面角)(含探索性问题)(典型题型归类训练)(解析版)_2.2025数学总复习_2024年新高考资料_3.2024专项复习_立体几何与空间向量
专题02直线与平面所成角(线面角)(含探索性问题)(典型题型归类训练)(解析版)_2.2025数学总复习_2024年新高考资料_3.2024专项复习_立体几何与空间向量
专题02直线与平面所成角(线面角)(含探索性问题)(典型题型归类训练)(解析版)_2.2025数学总复习_2024年新高考资料_3.2024专项复习_立体几何与空间向量
专题02直线与平面所成角(线面角)(含探索性问题)(典型题型归类训练)(解析版)_2.2025数学总复习_2024年新高考资料_3.2024专项复习_立体几何与空间向量

文档信息

文档格式
docx
文档大小
5.146 MB
文档页数
54 页
上传时间
2026-03-11 11:04:00

文档内容

专题 02 直线与平面所成角(线面角)(含探索性问题) (典型题型归类训练) 目录 一、必备秘籍...........................................................................................................1 二、典型题型...........................................................................................................2 题型一:求线面角.............................................................................................2 题型二:已知线面角求参数............................................................................10 题型三:求线面角最值(范围).....................................................................19 三、专项训练.........................................................................................................27 一、必备秘籍 1、斜线在平面上的射影:过斜线上斜足以外的一点向平面引垂线,过垂足及斜足的直线叫做斜线在平面 内的射影. 注意:斜线上任意一点在平面上的射影一定在斜线的射影上. 如图,直线 是平面 的一条斜线,斜足为 ,斜线上一点 在平面 上的射影为 ,则直线 是斜 线 在平面 上的射影. 2、直线和平面所成角:(有三种情况) (1)平面的斜线与它在平面内的射影所成的锐角,叫这条直线与这个平面所成的角。由定义可知:斜线 与平面所成角的范围为 ; (2)直线与平面垂直时,它们的所成角为 ; (3)直线与平面平行(或直线在平面内)时,它们的所成角为0. 结论:直线与平面所成角的范围为 .3、向量法 设直线 的方向向量为 ,平面 的一个法向量为 ,直线 与平面 所成的角为 ,则 , . 二、典型题型 题型一:求线面角 1.(22·23上·河南·模拟预测)在三棱台 中, 平面ABC, , . (1)证明:平面 平面 ; (2)记 的中点为M,过M的直线分别与直线 , 交于P,Q,求直线PQ与平面 所成角的正 弦值. 【答案】(1)证明见解析 (2)0【详解】(1)取AC的中点D,则AD与 平行且相等, 可得四边形 为平行四边形,则有 , 又 ,故 . 又 , , ,AC, 平面 ,故 平面 ,又因为 平面 ,故 , 又因为 , , , 平面 ,故 平面 , 而 平面 ,故平面 平面 ; (2)以A为原点, , , 所在方向分别为x轴、y轴、z轴的正方向,建立如图所示的空间直角 坐标系 , 则 , , ,则 , 设平面 的法向量为 , 则 ,即 ,取 ,则 . 设 , ,则 , , 由题意知P,M,Q三点共线,可设 ,则 , 解得 ,故 , , 则 , 故 , 即 平面 ,故所求线面角的正弦值为0.2.(22·23上·河南·模拟预测)已知 中, , , , ,将 沿 折起,使点A到点 处, . (1)证明:平面 平面 ; (2)求直线 与平面 所成角的余弦值. 【答案】(1)证明见解析 (2) 【详解】(1)证明:因为 , ,可得 , 又因为 ,所以 , 即 , 又 ,且 平面 ,则 平面 , 因为 平面 ,所以 , 又因为 ,即 , 因为 ,且 平面 ,所以 平面 , 又因为 平面 ,故平面 平面 . (2)解:以 为坐标原点,以DE,DB所在直线为x轴、y轴,以垂直于平面ABC的直线为z轴建立空间 直角坐标系,如图所示, 则 , , , , 在直角三角形 中, , ,则 , 由(1)知 平面 ,则 为平面 的法向量,且 , 设直线CD与平面 所成角的角为 , 则 , 故直线CD与平面 所成角的余弦值为 .3.(23·24·柳州·模拟预测)如图,三棱柱 的底面 是正三角形,侧面 是菱形,平 面 平面 , 分别是棱 的中点. (1)证明: 平面 ; (2)若 ,求直线 与平面 所成角的正弦值. 【答案】(1)证明见解析 (2) 【详解】(1) 取 的中点 ,连接 ,因为 分别是棱 的中点, 则 , ,∴四边形 为平行四边形, 所以 ,∵ 平面 , 平面 , 平面 ; (2)在平面 中过点 作 于 ,连接 , ∵平面 平面 ,平面 平面 ,∴ 平面 , 由菱形 , ,得 , , 因为点 为 的中点,∴ ,故以 为原点, 分别为 轴建立如图所示的空间 直角坐标系:则 , 所以 , , 设平面 的法向量为 , 则有 ,解得 ,令 ,得 , 设直线 与平面 所成角为 , 则 , 综上,直线 与平面 所成角的正弦值为 . 4.(23·24上·南充·模拟预测)如图所示,在圆锥 中, 为圆锥的顶点, 为底面圆圆心, 是圆 的直径, 为底面圆周上一点,四边形 是矩形. (1)若点 是 的中点,求证: 平面 ; (2)若 ,求直线 与平面 所成角的余弦值. 【答案】(1)证明见解析(2) 【详解】(1) 分别是 中点,连接 ,则 , 平面 平面 ,则 平面 , 四边形 是矩形, ,同理有 平面 , 又 , 平面 ,故平面 平面 , 又 平面 ,故 平面 . (2)解法一: 在圆锥 中, 平面 , 平面 则平面 平面 ,平面 平面 ,作 于点 ,连接 , 则 面 是 在平面 上的射影, 是直线 与平面 所成的角, 在直角三角形 中, ,则 , 平面 ,则 平面 , 在直角三角形 中, , ,则 , 在直角三角形 中, , 故 ,即直线 与平面 所成角的余弦为 . 解法二:在圆锥 中, 平面 , 在直角三角形 中, ,则 , , 在直角三角形 中, ,则 , 建立如图所示的空间直角坐标系,则 , , 设 是平面 的法向量,则 , 令 得 , 设直线 与平面 所成角为 ,则 , . 5.(23·24上·浙江·一模)如图,多面体 中,四边形 为正方形,平面 平面 , , , , , 与 交于点 . (1)若 是 中点,求证: ; (2)求直线 和平面 所成角的正弦值. 【答案】(1)证明见解析 (2) 【详解】(1)因为四边形 为正方形,所以 , 因为平面 平面 ,平面 平面 , , 所以 平面 , 又因为 平面 , 所以 , 连接 ,则 , 在 中, , 所以 , 因为 , , 平面 ,且 , 从而 平面 , 又 平面 , 所以 , 因为 , , 平面 ,且 , 所以 平面 , 又 平面 , 所以 , 又因为 ,所以 , 又 是 中点, ,所以 , 因为 , , 平面 ,且 , 所以 平面 , 又因为 平面 , 所以 . (2)由(1)知, 平面 ,且 , 以 为坐标原点,分别以 、 、 所在的直线为 、 、 轴,建立空间直角坐标系,如图所示,则 、 、 、 , 则 , , , 由 得, ,所以 , 所以 , , 设面 的法向量为 ,由 得, ,取 ,则 , 设直线 和平面 所成角为 , 则 , 所以直线 和平面 所成角的正弦值为 . 题型二:已知线面角求参数 1.(22·23下·抚顺·模拟预测)如图,在几何体ABCDEF中, 平面ABC, ,侧面 ABFE为正方形, ,M为AB的中点, . (1)证明: ;(2)若直线MF与平面DME所成角的正弦值为 ,求实数λ的值. 【答案】(1)证明见解析 (2) 【详解】(1)因为CD⊥平面ABC, ,所以 平面ABC, 因为侧面ABFE为正方形, ,所以 平面ABC, 又 平面ABC,所以 , 因为 ,所以 , 又 平面ABFE,所以 平面ABFE, 又 平面ABFE,所以 , 因为 平面ABC, 平面ABC, 所以 , 又 平面CDM,所以 平面CDM, 又 平面CDM,所以 . (2)由(1)可知, ,M为AB的中点,所以 . 取 的中点为N,连接MN,则 , 因为 平面ABC,所以 平面ABC. 以 为坐标原点, 所在直线分别为 轴,建立如图所示的空间直角坐标系. 则M(0,0,0), , ,F(1,0,2), 所以 , , , 设平面DME的法向量为 , 由 得 ,取 , 则 , 设直线MF与平面DME所成角为θ, 则 , 由题意可知, ,解得 (负值舍去),故实数λ的值为 . 2.(22·23下·江苏·一模)在三棱柱 中,平面 平面 ,侧面 为菱形, , , , 是 的中点. (1)求证: 平面 ; (2)点 在线段 上(异于点 , ), 与平面 所成角为 ,求 的值. 【答案】(1)证明见解析 (2) 【详解】(1)因为侧面 为菱形, , , 所以 为边长为 的等边三角形, 作 交 于 点,则 点为 的中点, 因为平面 平面 ,平面 平面 , 平面 ,所以 平面 , 平面 ,可得 , 又 , , 平面 ,可得 平面 , 因为 平面 ,所以 ,因为侧面 为菱形,所以 , , 平面 ,所以 平面 ;(2)由(1)知, 平面 , ,取做 的中点 ,连接 , 则 ,所以 平面 , 以 为原点, 所在的直线分别为 轴,建立空间直角坐标系, 则 , , , 设 ,可得 ,所以 , 设平面 的一个法向量为 ,则 ,即 ,令 ,可得 , 可得 , 解得 舍去,或 ,所以 . 3.(22·23下·广州·三模)如图,四棱锥 的底面为正方形, , 平面 , 分别是线段 的中点, 是线段 上的一点. (1)求证:平面 平面 ; (2)若直线 与平面 所成角的正弦值为 ,且 点不是线段 的中点,求三棱锥 体积.【答案】(1)证明见解析 (2) 【详解】(1)连接 , 分别是线段 的中点, , 底面四边形 为正方形, , 平面 , 平面 , , 又 , 平面 , 平面 , , 平面 , 又 平面 , 平面 平面 . (2)以 为坐标原点,分别以 所在直线为 轴建立空间直角坐标系, 则 , , , , , 设 , , 则 , , , 设平面 的一个法向量为 , 则 ,令 ,解得: , , ; 设直线 与平面 所成角为 , , 解得: 或 (舍), , 平面 , 平面 , ; , , 平面 , 平面 , 到平面 的距离为 , .4.(22·23·厦门·模拟预测)筝形是指有一条对角线所在直线为对称轴的四边形.如图,四边形 为筝 形,其对角线交点为 ,将 沿 折到 的位置,形成三棱锥 . (1)求 到平面 的距离; (2)当 时,在棱 上是否存在点 ,使得直线 与平面 所成角的正弦值为 ?若存在,求 的值;若不存在,请说明理由. 【答案】(1)1 (2)存在; 或 【详解】(1)因为 , 所以 不可能为四边形 的对称轴,则 为四边形 的对称轴, 所以 垂直平分 ,所以 . 平面 平面 所以 平面 . 所以 到平面 的距离 . (2)存在点 ,使得直线 与平面 所成角的正弦值为 . 过 作 平面 ,所以 两两垂直. 以 为原点, 所在直线分别为 轴, 轴, 轴建立空间直角坐标系由(1)得平面 平面 ,因为 所以 . 设 , , , 设平面 的法向量 , ,所以 令 ,则 , 所以平面 的一个法向量 , 设直线 与平面 所成角为 , , . 所以 或 ,所以存在点 ,使得直线 与平面 所成角的正弦值为 或 . 5.(22·23·万州·模拟预测)如图1所示,在四边形 中, , 为 上一点, , ,将四边形 沿 折起,使得 ,得到如图2所示的四棱 锥.(1)若平面 平面 ,证明: ; (2)点 是棱 上一动点,且直线 与平面 所成角的正弦值为 ,求 . 【答案】(1)证明见解析; (2) . 【详解】(1)在图1中,因为 , , , 所以 , ,又 , 所以 , 因为 , , 所以 ,故 , 在图2中,因为 , 平面 , 平面 , 所以 平面 , 因为 平面 ,平面 平面 ,所以 ; (2)由(1)知, , , , 平面 , 平面 , 所以 平面 , 又 平面 ,所以平面 平面 , 故以 为坐标原点, 分别为 轴, 在平面 内过点 作 的垂线为 轴建立如图所示的空间直角坐标系,则 , , 因为 ,平面AEB 平面BCE,且 , 所以点 在平面 的射影为 中点,故 , , 设 ,则 , , , 设平面 的法向量为 , 则 ,即 , 不妨令 ,则 , , 所以 为平面 的一个法向量. 因为直线 与平面 所成角的正弦值为 , 所以 , 整理得 ,解得 或 (舍), 所以 为 中点,所以 . 6.(22·23下·荆门·模拟预测)在三棱柱 中,四边形 是菱形, ,平面 平面 ,平面 与平面 的交线为 .(1)证明: ; (2)已知 上是否存在点 ,使 与平面 所成角的正弦值为 ?若存在, 求 的长度;若不存在,说明理由. 【答案】(1)证明见解析 (2)存在, 【详解】(1)因为四边形 为菱形,所以 , 又因为平面 平面 ,平面 平面 平面 , 所以 平面 , 又 平面 ,所以 , 又 , 平面 ,所以 平面 , 又 平面 ,所以 . (2) 上存在点 ,使 与平面 所成角的正弦值为 ,且 . 理由如下: 取 中点 ,连接 ,因为 ,所以 , 又 ,所以 为等边三角形,所以 , 因为 ,所以 , 又平面 平面 ,平面 平面 平面 , 所以 平面 , 以 为原点,以 方向分别为 轴, 轴, 轴正方向建立如图所示的空间直角坐标系 ,, . 因为 平面 平面 ,所以 平面 , 又 平面 ,平面 平面 ,所以 , 假设 上存在一点 ,使 与平面 所成角的正弦值为 ,设 , 则 ,所以 , 设 为平面 的一个法向量, 则 ,即 , 令 ,则 ,可取 , 又 , 所以 , 即 ,解得 ,此时 ; 因此 上存在点 ,使 与平面 所成角的正弦值为 ,且 . 题型三:求线面角最值(范围) 1.(22·23下·乐山·三模)在直三棱柱 中, , ,点P满足 ,其中 ,则直线AP与平面 所成角的最大值为( )A. B. C. D. 【答案】B 【详解】分别取 中点 ,则 ,即 平面 , 连接 ,因为 ,所以 , 分别 为 轴建立如图所示的空间直角坐标系 , 由已知 , , , , , 则 , 因为 , , , 易知平面 的一个法向量是 , 设直线AP与平面 所成角为 ,则 , , 所以 时, ,即 的最大值是 . 故选:B. 2.(21·22下·山东·模拟预测)如图,C是以 为直径的圆O上异于A,B的点,平面 平面 为正三角形,E,F分别是 上的动点.(1)求证: ; (2)若E,F分别是 的中点且异面直线 与 所成角的正切值为 ,记平面 与平面 的 交线为直线l,点Q为直线l上动点,求直线 与平面 所成角的取值范围. 【答案】(1)证明见解析 (2) 【详解】(1)证明:因为C是以 为直径的圆O上异于A,B的点,所以 , 又平面 平面 ,且平面 平面 平面 , 所以 平面 平面 . 所以 (2)由E,F分别是 的中点,连结 ,所以 ,由(1)知 , 所以 ,所以在 中, 就是异面直线 与 所成的角. 因为异面直线 与 所成角的正切值为 , 所以 ,即 又 平面 平面 , 所以 平面 ,又 平面 ,平面 平面 , 所以 所以在平面 中,过点A作 的平行线即为直线l.以C为坐标原点, 所在直线分别为x轴,y轴,过C且垂直于平面 的直线为z轴,建立空间直 角坐标系,设 . 因为 为正三角形所以 ,从而 由已知E,F分别是 的中点,所以 则 ,所以 , 所以 , 因为 ,所以可设 ,平面 的一个法向量为 , 则 ,取 ,得 , 又 ,则 . 设直线 与平面 所成角为 ,则 . 所以直线 与平面 所成角的取值范围为 . 3.(20·21下·渝中·阶段练习)如图,在三棱台 中,底面 是边长为2的正三角形,侧面 为等腰梯形,且 , 为 的中点.(1)证明: ; (2)记二面角 的大小为 , 时,求直线 与平面 所成角的正弦值的取值 范围. 【答案】(1)证明见解析;(2) . 【详解】(1)证明:如图,作 的中点 ,连接 , , 在等腰梯形 中, , 为 , 的中点, ∴ , 在正 中, 为 的中点, ∴ , ∵ , , , , 平面 , ∴ 平面 , 又 平面 ,∴ . (2)解:∵ 平面 , 在平面 内作 ,以 为坐标原点,以 , , ,分别为 , , ,轴正向,如图建 立空间直角坐标系, ∵ , ,∴ 为二面角 的平面角,即 , , , , , , , 设平面 的法向量为 , , ,则有 ,即 , 则可取 ,又 , 设直线 与平面 所成角为 , ∴ , ∵ ,∴ , ∴ . 4.(22·23·河南·二模)如图所示,正六棱柱 的底面边长为1,高为 , 为线段 上的动点. (1)求证: 平面 ; (2)设直线 与平面 所成的角为 ,求 的取值范围.【答案】(1)证明见解析 (2) 【详解】(1)连接 , . 在正六棱柱 中, 因为底面为正六边形,所以 , 因为 平面 , 平面 ,所以 平面 . 因为 , ,所以四边形 为平行四边形, 所以 ,又 平面 , 平面 ,所以 平面 , 又 ,所以平面 平面 , 因为 为线段 上的动点,所以 平面 , 所以 平面 . (2)取 的中点为Q,连接 , . 因为底面边长为1,所以 , 因为 ,所以 ,所以 . 易得 , , ,所以 平面 ,所以 , 因为 ,所以 平面 , 即 为平面 的一个法向量. 连接 ,以 为坐标原点, , , 所在直线分别为x,y,z轴建立空间坐标系 , 则 , , , , , 所以 ,所以 , , .设 ( ), 所以 , 则 , 因为 ,所以 ,所以 的取值范围是 . 5.(22·23·海口·模拟预测)如图,四棱锥 中, , ,平面 平面 . (1)证明:平面 平面 ; (2)若 , , , 与平面 所成的角为 ,求 的最大值. 【答案】(1)证明见解析 (2) 【详解】(1)证明:过点A作 于 , 因为平面 平面 ,平面 平面 ,所以 平面 , 又 平面 ,所以 , 由 , ,可知 , 而 , 平面 所以 平面 , 因为 平面 ,所以平面 平面 . (2)法1:由(1)知 平面 , 平面 ,所以 ,又 ,所以 , 所以 , ,所以 , 由 平面ABCD,所以 平面 . 如图建立空间直角坐标系,则 , , ,设 , 平面 的一个法向量为 , , ,所以 , ,即 , 得 令 ,得 , ,所以 , 显然,当 时, 取最小值, 综上,当 时, 的最大值为 . 法2:设点 到平面 的距离为 ,因为 , 平面 , 所以 平面 ,所以点A到平面 的距离也为 , 由(1), 平面 ,所以 ,又 ,所以 , 所以 ,所以 ,所以 , 由(1), 平面 ,所以 , 由 ,在四边形 中,当 时, 取最小值, 此时四边形 显然为矩形, ,所以 的最大值为 . 三、专项训练 一、单选题 1.(22·23下·乐山·三模)在直三棱柱 中, , ,点P满足 ,其中 ,则直线AP与平面 所成角的最大值为( ) A. B. C. D.【答案】B 【详解】分别取 中点 ,则 ,即 平面 , 连接 ,因为 ,所以 , 分别 为 轴建立如图所示的空间直角坐标系 , 由已知 , , , , , 则 , 因为 , , , 易知平面 的一个法向量是 , 设直线AP与平面 所成角为 ,则 , , 所以 时, ,即 的最大值是 . 故选:B. 2.(23·24上·亳州·阶段练习)将边长为1的正方形 及其内部绕 旋转一周形成圆柱,如图, 长为 , 长为 ,其中 与C在平面 的同侧,则直线 与平面 所成的角的正弦 值为( )A. B. C. D. 【答案】D 【详解】由题意, , , 如图所示,建立空间直角坐标系. 则 , ∴ 平面 的一个法向量为 , 设直线 与平面 所成的角为 , ∴ . 故选:D. 3.(23·24上·泰安·阶段练习)三棱柱 的侧棱与底面垂直, , ,N 是BC的中点,点P在 上,且满足 ,当直线PN与平面ABC所成的角最大时的正弦值为 ( ) A. B. C. D. 【答案】D【详解】如图,以AB,AC, 分别为x,y,z轴,建立空间直角坐标系 , 则 , , , 平面ABC的一个法向量为 , 设直线PN与平面ABC所成的角为 , , 当 时, ,此时角 最大. 故选:D. 4.(22·23上·江西·阶段练习)如图,在长方体 中, , , 为线段 上的动点,当直线 与平面 所成角的正弦值取最大值时, ( ) A. B. C. D. 【答案】D【详解】 建立如图所示空间直角坐标系, 设 则 设平面 的法向量为 则 即 令 则 设直线 与平面 所成角为 , 则 当 时, 最大, 故选:D. 二、填空题 5.(22·23上·厦门·期末)正方体 中,E为线段 的中点,则直线 与平面 所成 角的正弦值为 . 【答案】 【详解】以 为坐标原点, 所在直线分别为 轴,建立空间直角坐标系, 如图,设正方体的棱长为2,则 ;; 设平面 的一个法向量为 ,则 , , 令 ,则 . 设直线 与平面 所成角为 ,则 . 故答案为: . 6.(23·24上·济宁·阶段练习)已知正方体 的棱长为1,H为棱 上的动点,若 平 面 ,则直线CD与平面 所成角的正弦值的取值范围为 【答案】 【详解】以点 为坐标原点, 、 、 所在直线分别为 、 、 轴建立空间直角坐标系 . 则 、 ,设点 ,其中 . 则 , , 因为 平面 ,所以 为平面 的一个法向量,设直线 与平面 所成的角为 , , . 所以,直线 与平面 所成角的正弦值的取值范围为 . 故答案为: . 7.(21·22·全国·单元测试)如图所示,在正方体 中,AB=3,M是侧面 内的动 点,满足 ,若AM与平面 所成的角 ,则 的最大值为 . 【答案】 【详解】解:如图,以 为原点建立空间直角坐标系, 则 , 设 , 则 , 因为 , 所以 , 所以 ,则 , 因为 平面 , 所以 即为AM与平面 所成角,即 , 则 , 所以当 时, 取得最大值 .故答案为: . 8.(22·23上·宁波·阶段练习)已知圆柱 中,点 在圆 上, , ,点 、 在圆 上,且满足 ,则直线 与平面 所成角的正弦值的最大值为 . 【答案】 【详解】取 中点 ,则 , 以点 为坐标原点, 为 轴, 为 轴建立如下图所示的 空间直角坐标系, 则 、 、 , , , 设平面 的法向量为 , 则 ,取 ,则 , ,则 , 设 ,直线 的方向向量为 , 所以直线 与平面 所成角的正弦值为 ,即直线 与平面 所成角的正弦值的最大值为 . 故答案为: . 9.(21·22下·绵阳·期末)在正方体 中,点Р在侧面 (包括边界)上运动,满足 记直线 与平面 所成角为 ,则 的取值范围是 【答案】 【详解】如图建立空间直角坐标系,设正方体的棱长为1,则 , 由题可设 ,则 , ∴ ,即 , ∴点 在 上, 又 , ,平面 的一个法向量可取 , ∴ , 又 , ∴ , ,即 的取值范围是 . 故答案为: . 三、解答题 10.(21·22下·山东·模拟预测)如图,C是以 为直径的圆O上异于A,B的点,平面 平面 为正三角形,E,F分别是 上的动点. (1)求证: ; (2)若E,F分别是 的中点且异面直线 与 所成角的正切值为 ,记平面 与平面 的 交线为直线l,点Q为直线l上动点,求直线 与平面 所成角的取值范围. 【答案】(1)证明见解析 (2) 【详解】(1)证明:因为C是以 为直径的圆O上异于A,B的点,所以 , 又平面 平面 ,且平面 平面 平面 , 所以 平面 平面 . 所以 (2)由E,F分别是 的中点,连结 ,所以 ,由(1)知 , 所以 ,所以在 中, 就是异面直线 与 所成的角. 因为异面直线 与 所成角的正切值为 , 所以 ,即 又 平面 平面 , 所以 平面 ,又 平面 ,平面 平面 , 所以所以在平面 中,过点A作 的平行线即为直线l. 以C为坐标原点, 所在直线分别为x轴,y轴,过C且垂直于平面 的直线为z轴,建立空间直 角坐标系,设 . 因为 为正三角形所以 ,从而 由已知E,F分别是 的中点,所以 则 ,所以 , 所以 , 因为 ,所以可设 ,平面 的一个法向量为 , 则 ,取 ,得 , 又 ,则 . 设直线 与平面 所成角为 ,则 . 所以直线 与平面 所成角的取值范围为 . 11.(20·21下·渝中·阶段练习)如图,在三棱台 中,底面 是边长为2的正三角形,侧 面 为等腰梯形,且 , 为 的中点.(1)证明: ; (2)记二面角 的大小为 , 时,求直线 与平面 所成角的正弦值的取值 范围. 【答案】(1)证明见解析;(2) . 【详解】(1)证明:如图,作 的中点 ,连接 , , 在等腰梯形 中, , 为 , 的中点, ∴ , 在正 中, 为 的中点, ∴ , ∵ , , , , 平面 , ∴ 平面 , 又 平面 ,∴ . (2)解:∵ 平面 , 在平面 内作 ,以 为坐标原点,以 , , ,分别为 , , ,轴正向,如图建 立空间直角坐标系, ∵ , ,∴ 为二面角 的平面角,即 , , , , , , , 设平面 的法向量为 , , ,则有 ,即 , 则可取 ,又 , 设直线 与平面 所成角为 , ∴ , ∵ ,∴ , ∴ . 12.(22·23·河南·二模)如图所示,正六棱柱 的底面边长为1,高为 , 为线段 上的动点. (1)求证: 平面 ; (2)设直线 与平面 所成的角为 ,求 的取值范围.【答案】(1)证明见解析 (2) 【详解】(1)连接 , . 在正六棱柱 中, 因为底面为正六边形,所以 , 因为 平面 , 平面 ,所以 平面 . 因为 , ,所以四边形 为平行四边形, 所以 ,又 平面 , 平面 ,所以 平面 , 又 ,所以平面 平面 , 因为 为线段 上的动点,所以 平面 , 所以 平面 . (2)取 的中点为Q,连接 , . 因为底面边长为1,所以 , 因为 ,所以 ,所以 . 易得 , , ,所以 平面 ,所以 , 因为 ,所以 平面 , 即 为平面 的一个法向量. 连接 ,以 为坐标原点, , , 所在直线分别为x,y,z轴建立空间坐标系 , 则 , , , , , 所以 ,所以 , , .设 ( ), 所以 , 则 , 因为 ,所以 ,所以 的取值范围是 . 13.(22·23·海口·模拟预测)如图,四棱锥 中, , ,平面 平面 . (1)证明:平面 平面 ; (2)若 , , , 与平面 所成的角为 ,求 的最大值. 【答案】(1)证明见解析 (2) 【详解】(1)证明:过点A作 于 , 因为平面 平面 ,平面 平面 ,所以 平面 , 又 平面 ,所以 , 由 , ,可知 , 而 , 平面 所以 平面 , 因为 平面 ,所以平面 平面 . (2)法1:由(1)知 平面 , 平面 ,所以 ,又 ,所以 , 所以 , ,所以 , 由 平面ABCD,所以 平面 . 如图建立空间直角坐标系,则 , , ,设 , 平面 的一个法向量为 , , ,所以 , ,即 , 得 令 ,得 , ,所以 , 显然,当 时, 取最小值, 综上,当 时, 的最大值为 . 法2:设点 到平面 的距离为 ,因为 , 平面 , 所以 平面 ,所以点A到平面 的距离也为 , 由(1), 平面 ,所以 ,又 ,所以 , 所以 ,所以 ,所以 , 由(1), 平面 ,所以 , 由 ,在四边形 中,当 时, 取最小值, 此时四边形 显然为矩形, ,所以 的最大值为 . 14.(23·24上·沈阳·阶段练习)如图,在四棱锥 中,底面 是矩形, 平面 ,且 M是 的中点, , . (1)求证: 平面 ;(2)求 与平面 所成角的余弦值. 【答案】(1)证明见解析; (2) . 【详解】(1)∵ 平面 , 平面 , ∴ ,又四边形 是矩形,则 , ∵ , 、 平面 , ∴ 平面 , 平面PAD, ∴ , 又M是PD的中点, ,则 , 而 , 、 平面 , 所以 平面 ; (2)由题易知: 两两互相垂直, 以A为空间坐标系的原点, 分别为 轴建立空间直角坐标系, 则 , , , ,故 , 设平面MBC法向量为 ,则 , 即 ,令 , ,则 ,即 , 而 ,则 , 设MA与平面MBC所成角为 ,则 , 所以 . 15.(23·24上·东莞·阶段练习)如图1,梯形 中, ,过 分别作 ,垂 足分别为 ,已知 ,将梯形 沿 折起,得空间几何体,如图2. (1)在图2中,若 ,证明: 平面 . (2)在图2中,若 ,在线段 上求一点 ,使 与平面 所成角的正弦值最大,并 求出这个最大值. 【答案】(1)证明见详解 (2)点 与点 重合; 【详解】(1)由已知四边形 是正方形,且边长为 , 在图2中, , 又 , , 平面 , 平面 , 则 平面 , 又 平面 ,所以 , 又 , , 平面 , 平面 , 所以 平面 . (2)在图2中, 平面 , 平面 , 则 平面 , 在梯形 中,过点 作 ,交 于点 连接 , 由题意得 又 ,根据勾股定理可得 , 则 过 作 交 于点 , 可知 两两垂直, 以 为坐标原点,以 分别为 轴, 轴, 轴的正方向建立空间直角坐标系,则 设平面 的一个法向量为 , 则 , 取 ,得 设 ,则 , 设 与平面 所成角为 , 则 故当 ,即 时,点 与点 重合时, 有最大值, 且此时最大值为 . 16.(23·24上·河东·期中)如图,在四棱线 中,底面 为矩形, 平面 ,点 是棱 的中点.(1)求证: 平面 ; (2)设 的中点为 ,点 在棱 上(异于点 ),且 ,求直线 与平面 所成角的正 弦值. 【答案】(1)证明见详解 (2) 【详解】(1)连接 ,设 和 交点为 ,连接 ,因为底面 为矩形, 所以 为 中点,又点 是棱 的中点,所以 为 中位线, , 又因为 平面 , 平面 ,所以 平面 ; (2)由题可知, 平面 ,所以 ,又底面 为矩形, 所以 ,故 互相垂直,以 方向为 轴, 方向为 轴, 方向为 轴建立 空间直角坐标系,设 , ,易得 ,故 , 又 ,故 ,化简得 ,即 ,故 , 所以 , ,所以 , ,设平面 的法向量为 , 由 得 ,令 得 , 设直线 与平面 所成角的正弦值为 , 与 夹角为 , 则 , 所以直线 与平面 所成角的正弦值为 . 17.(23·24上·广东·阶段练习)已知正方形 的边长为4(图1), 、 分别为 、 的中点, 以 为棱将正方形 折成如图所示的二面角,且 ,点 是线段 上的动点(图2).(1)若 为 的中点, 为 的中点(图3),证明:直线 平面 ; (2)是否存在点 ,使得直线 与平面 所成的角为 ;若存在,求此时 点到平面 的距离, 若不存在,说明理由. 【答案】(1)证明见解析; (2) 是靠近 或 的四等分点,此时 点到平面 的距离为 . 【详解】(1)若 是 中点,连接 交 于 , 为 的中点,又 为矩形,易知 是 中点, 由 ,则 是平行四边形,又 为 的中点, 所以 为中位线,即 , 由 面 , 面 ,故直线 平面 ; (2)若 为 中点,作 面 ,构建空间直角坐标系 , 设 ,则 , 所以 , , , 令 是面 一个法向量,则 , 若 ,则 , 所以 ,则 , 当 ,则 , ,故 ; 当 ,则 , ,故 ;综上, 是靠近 或 的四等分点,此时 点到平面 的距离为 . 18.(23·24上·西青·阶段练习)四棱柱 中, 底面 , 为 的中点. (1)求证: ; (2)求面 与面 夹角的余弦值 (3)设点 在线段 上,且直线 与平面 所成角的正弦值为 ,求线段 的长. 【答案】(1)证明见解析 (2) (3) 【详解】(1)证明:以 为原点,以 为 轴,以 为 轴,以 为 轴,建立空间直角坐标系, 为 中点, , , . (2)设平面 的法向量 , .取 ,得 . 设平面 的法向量 , , . 取 ,得 . 设面 与面 所成角为 . 则 . 面 与面 所成角的余弦值为 . (3)设点 , 点 在线段 上, , , , 直线 与平面 所成角的正弦值为 , 平面 的法向量 , , 解得 ,或 (舍), . 线段 的长为 . 19.(23·24上·温州·阶段练习)已知几何体 ,如图所示,其中四边形ABCD,CDGF,ADGE 均为正方形,且边长均为1,点M在棱DG上.(1)求证: ; (2)是否存在点M,使得直线MB与平面BEF所成的角为 ?若存在,确定点M的位置;若不存在,请说 明理由. 【答案】(1)证明见解析 (2)存在; 【详解】(1)因为四边形 、 、 均为正方形,则 两两互相垂直, 以 为坐标原点, 为 轴正方向,建立如图所示空间直角坐标系, 则 , , ,设 , 可得 , , 因为 ,所以 . (2)由(1)知: , , 设平面 的法向量 ,则 , 令 ,则 , ,可得 , 假设存在点 ,使得直线 与平面 所成的角为 ,则 , 可得 ,解得: , 又因为 在棱 上,则 ,所以 , 故当点 在棱 上,且 时,直线 与平面 所成的角为 .20.(23·24上·湖南·阶段练习)如图,在三棱锥 中,平面 平面 , , . (1)求证: ; (2)若 , 是线段 上的一点,若直线 与平面 所成角的正弦值为 ,求 的 长. 【答案】(1)证明见解析 (2) 【详解】(1)证明:取 的中点 ,连接 ,如图所示, 因为 , 是 的中点,所以 , 又因为平面 平面 ,平面 平面 , 平面 , 所以 平面 ,因为 平面 ,所以 , 又因为 , ,且 平面 , 所以 平面 , 因为 平面 ,所以 . (2)解:设 的中点为 ,则 ,又 ,所以 , 以 为坐标原点,以 , , 所在直线分别为 轴、 轴、 轴,建立空间直角坐标系,如图所 示,则 , , , , 设 ,则 , , 设平面 的一个法向量为 ,则 , 令 ,解得 , ,所以 , 又由 , 所以 , 解得 或 (舍去), 所以点 为 的中点,因为 , 所以 .