当前位置:首页>文档>专题8-2立体几何中的角和距离问题(含探索性问题)(解析版)_2.2025数学总复习_2023年新高考资料_二轮复习_2023年高考数学二轮热点题型归纳演练(新高考专用)

专题8-2立体几何中的角和距离问题(含探索性问题)(解析版)_2.2025数学总复习_2023年新高考资料_二轮复习_2023年高考数学二轮热点题型归纳演练(新高考专用)

  • 2026-04-01 21:00:26 2026-03-18 07:46:19

文档预览

专题8-2立体几何中的角和距离问题(含探索性问题)(解析版)_2.2025数学总复习_2023年新高考资料_二轮复习_2023年高考数学二轮热点题型归纳演练(新高考专用)
专题8-2立体几何中的角和距离问题(含探索性问题)(解析版)_2.2025数学总复习_2023年新高考资料_二轮复习_2023年高考数学二轮热点题型归纳演练(新高考专用)
专题8-2立体几何中的角和距离问题(含探索性问题)(解析版)_2.2025数学总复习_2023年新高考资料_二轮复习_2023年高考数学二轮热点题型归纳演练(新高考专用)
专题8-2立体几何中的角和距离问题(含探索性问题)(解析版)_2.2025数学总复习_2023年新高考资料_二轮复习_2023年高考数学二轮热点题型归纳演练(新高考专用)
专题8-2立体几何中的角和距离问题(含探索性问题)(解析版)_2.2025数学总复习_2023年新高考资料_二轮复习_2023年高考数学二轮热点题型归纳演练(新高考专用)
专题8-2立体几何中的角和距离问题(含探索性问题)(解析版)_2.2025数学总复习_2023年新高考资料_二轮复习_2023年高考数学二轮热点题型归纳演练(新高考专用)
专题8-2立体几何中的角和距离问题(含探索性问题)(解析版)_2.2025数学总复习_2023年新高考资料_二轮复习_2023年高考数学二轮热点题型归纳演练(新高考专用)
专题8-2立体几何中的角和距离问题(含探索性问题)(解析版)_2.2025数学总复习_2023年新高考资料_二轮复习_2023年高考数学二轮热点题型归纳演练(新高考专用)
专题8-2立体几何中的角和距离问题(含探索性问题)(解析版)_2.2025数学总复习_2023年新高考资料_二轮复习_2023年高考数学二轮热点题型归纳演练(新高考专用)
专题8-2立体几何中的角和距离问题(含探索性问题)(解析版)_2.2025数学总复习_2023年新高考资料_二轮复习_2023年高考数学二轮热点题型归纳演练(新高考专用)
专题8-2立体几何中的角和距离问题(含探索性问题)(解析版)_2.2025数学总复习_2023年新高考资料_二轮复习_2023年高考数学二轮热点题型归纳演练(新高考专用)
专题8-2立体几何中的角和距离问题(含探索性问题)(解析版)_2.2025数学总复习_2023年新高考资料_二轮复习_2023年高考数学二轮热点题型归纳演练(新高考专用)
专题8-2立体几何中的角和距离问题(含探索性问题)(解析版)_2.2025数学总复习_2023年新高考资料_二轮复习_2023年高考数学二轮热点题型归纳演练(新高考专用)
专题8-2立体几何中的角和距离问题(含探索性问题)(解析版)_2.2025数学总复习_2023年新高考资料_二轮复习_2023年高考数学二轮热点题型归纳演练(新高考专用)
专题8-2立体几何中的角和距离问题(含探索性问题)(解析版)_2.2025数学总复习_2023年新高考资料_二轮复习_2023年高考数学二轮热点题型归纳演练(新高考专用)
专题8-2立体几何中的角和距离问题(含探索性问题)(解析版)_2.2025数学总复习_2023年新高考资料_二轮复习_2023年高考数学二轮热点题型归纳演练(新高考专用)
专题8-2立体几何中的角和距离问题(含探索性问题)(解析版)_2.2025数学总复习_2023年新高考资料_二轮复习_2023年高考数学二轮热点题型归纳演练(新高考专用)
专题8-2立体几何中的角和距离问题(含探索性问题)(解析版)_2.2025数学总复习_2023年新高考资料_二轮复习_2023年高考数学二轮热点题型归纳演练(新高考专用)
专题8-2立体几何中的角和距离问题(含探索性问题)(解析版)_2.2025数学总复习_2023年新高考资料_二轮复习_2023年高考数学二轮热点题型归纳演练(新高考专用)
专题8-2立体几何中的角和距离问题(含探索性问题)(解析版)_2.2025数学总复习_2023年新高考资料_二轮复习_2023年高考数学二轮热点题型归纳演练(新高考专用)
专题8-2立体几何中的角和距离问题(含探索性问题)(解析版)_2.2025数学总复习_2023年新高考资料_二轮复习_2023年高考数学二轮热点题型归纳演练(新高考专用)
专题8-2立体几何中的角和距离问题(含探索性问题)(解析版)_2.2025数学总复习_2023年新高考资料_二轮复习_2023年高考数学二轮热点题型归纳演练(新高考专用)
专题8-2立体几何中的角和距离问题(含探索性问题)(解析版)_2.2025数学总复习_2023年新高考资料_二轮复习_2023年高考数学二轮热点题型归纳演练(新高考专用)
专题8-2立体几何中的角和距离问题(含探索性问题)(解析版)_2.2025数学总复习_2023年新高考资料_二轮复习_2023年高考数学二轮热点题型归纳演练(新高考专用)
专题8-2立体几何中的角和距离问题(含探索性问题)(解析版)_2.2025数学总复习_2023年新高考资料_二轮复习_2023年高考数学二轮热点题型归纳演练(新高考专用)
专题8-2立体几何中的角和距离问题(含探索性问题)(解析版)_2.2025数学总复习_2023年新高考资料_二轮复习_2023年高考数学二轮热点题型归纳演练(新高考专用)
专题8-2立体几何中的角和距离问题(含探索性问题)(解析版)_2.2025数学总复习_2023年新高考资料_二轮复习_2023年高考数学二轮热点题型归纳演练(新高考专用)
专题8-2立体几何中的角和距离问题(含探索性问题)(解析版)_2.2025数学总复习_2023年新高考资料_二轮复习_2023年高考数学二轮热点题型归纳演练(新高考专用)
专题8-2立体几何中的角和距离问题(含探索性问题)(解析版)_2.2025数学总复习_2023年新高考资料_二轮复习_2023年高考数学二轮热点题型归纳演练(新高考专用)
专题8-2立体几何中的角和距离问题(含探索性问题)(解析版)_2.2025数学总复习_2023年新高考资料_二轮复习_2023年高考数学二轮热点题型归纳演练(新高考专用)
专题8-2立体几何中的角和距离问题(含探索性问题)(解析版)_2.2025数学总复习_2023年新高考资料_二轮复习_2023年高考数学二轮热点题型归纳演练(新高考专用)
专题8-2立体几何中的角和距离问题(含探索性问题)(解析版)_2.2025数学总复习_2023年新高考资料_二轮复习_2023年高考数学二轮热点题型归纳演练(新高考专用)
专题8-2立体几何中的角和距离问题(含探索性问题)(解析版)_2.2025数学总复习_2023年新高考资料_二轮复习_2023年高考数学二轮热点题型归纳演练(新高考专用)
专题8-2立体几何中的角和距离问题(含探索性问题)(解析版)_2.2025数学总复习_2023年新高考资料_二轮复习_2023年高考数学二轮热点题型归纳演练(新高考专用)
专题8-2立体几何中的角和距离问题(含探索性问题)(解析版)_2.2025数学总复习_2023年新高考资料_二轮复习_2023年高考数学二轮热点题型归纳演练(新高考专用)
专题8-2立体几何中的角和距离问题(含探索性问题)(解析版)_2.2025数学总复习_2023年新高考资料_二轮复习_2023年高考数学二轮热点题型归纳演练(新高考专用)
专题8-2立体几何中的角和距离问题(含探索性问题)(解析版)_2.2025数学总复习_2023年新高考资料_二轮复习_2023年高考数学二轮热点题型归纳演练(新高考专用)
专题8-2立体几何中的角和距离问题(含探索性问题)(解析版)_2.2025数学总复习_2023年新高考资料_二轮复习_2023年高考数学二轮热点题型归纳演练(新高考专用)
专题8-2立体几何中的角和距离问题(含探索性问题)(解析版)_2.2025数学总复习_2023年新高考资料_二轮复习_2023年高考数学二轮热点题型归纳演练(新高考专用)
专题8-2立体几何中的角和距离问题(含探索性问题)(解析版)_2.2025数学总复习_2023年新高考资料_二轮复习_2023年高考数学二轮热点题型归纳演练(新高考专用)
专题8-2立体几何中的角和距离问题(含探索性问题)(解析版)_2.2025数学总复习_2023年新高考资料_二轮复习_2023年高考数学二轮热点题型归纳演练(新高考专用)
专题8-2立体几何中的角和距离问题(含探索性问题)(解析版)_2.2025数学总复习_2023年新高考资料_二轮复习_2023年高考数学二轮热点题型归纳演练(新高考专用)
专题8-2立体几何中的角和距离问题(含探索性问题)(解析版)_2.2025数学总复习_2023年新高考资料_二轮复习_2023年高考数学二轮热点题型归纳演练(新高考专用)
专题8-2立体几何中的角和距离问题(含探索性问题)(解析版)_2.2025数学总复习_2023年新高考资料_二轮复习_2023年高考数学二轮热点题型归纳演练(新高考专用)
专题8-2立体几何中的角和距离问题(含探索性问题)(解析版)_2.2025数学总复习_2023年新高考资料_二轮复习_2023年高考数学二轮热点题型归纳演练(新高考专用)
专题8-2立体几何中的角和距离问题(含探索性问题)(解析版)_2.2025数学总复习_2023年新高考资料_二轮复习_2023年高考数学二轮热点题型归纳演练(新高考专用)
专题8-2立体几何中的角和距离问题(含探索性问题)(解析版)_2.2025数学总复习_2023年新高考资料_二轮复习_2023年高考数学二轮热点题型归纳演练(新高考专用)
专题8-2立体几何中的角和距离问题(含探索性问题)(解析版)_2.2025数学总复习_2023年新高考资料_二轮复习_2023年高考数学二轮热点题型归纳演练(新高考专用)
专题8-2立体几何中的角和距离问题(含探索性问题)(解析版)_2.2025数学总复习_2023年新高考资料_二轮复习_2023年高考数学二轮热点题型归纳演练(新高考专用)
专题8-2立体几何中的角和距离问题(含探索性问题)(解析版)_2.2025数学总复习_2023年新高考资料_二轮复习_2023年高考数学二轮热点题型归纳演练(新高考专用)
专题8-2立体几何中的角和距离问题(含探索性问题)(解析版)_2.2025数学总复习_2023年新高考资料_二轮复习_2023年高考数学二轮热点题型归纳演练(新高考专用)
专题8-2立体几何中的角和距离问题(含探索性问题)(解析版)_2.2025数学总复习_2023年新高考资料_二轮复习_2023年高考数学二轮热点题型归纳演练(新高考专用)
专题8-2立体几何中的角和距离问题(含探索性问题)(解析版)_2.2025数学总复习_2023年新高考资料_二轮复习_2023年高考数学二轮热点题型归纳演练(新高考专用)
专题8-2立体几何中的角和距离问题(含探索性问题)(解析版)_2.2025数学总复习_2023年新高考资料_二轮复习_2023年高考数学二轮热点题型归纳演练(新高考专用)
专题8-2立体几何中的角和距离问题(含探索性问题)(解析版)_2.2025数学总复习_2023年新高考资料_二轮复习_2023年高考数学二轮热点题型归纳演练(新高考专用)
专题8-2立体几何中的角和距离问题(含探索性问题)(解析版)_2.2025数学总复习_2023年新高考资料_二轮复习_2023年高考数学二轮热点题型归纳演练(新高考专用)
专题8-2立体几何中的角和距离问题(含探索性问题)(解析版)_2.2025数学总复习_2023年新高考资料_二轮复习_2023年高考数学二轮热点题型归纳演练(新高考专用)
专题8-2立体几何中的角和距离问题(含探索性问题)(解析版)_2.2025数学总复习_2023年新高考资料_二轮复习_2023年高考数学二轮热点题型归纳演练(新高考专用)
专题8-2立体几何中的角和距离问题(含探索性问题)(解析版)_2.2025数学总复习_2023年新高考资料_二轮复习_2023年高考数学二轮热点题型归纳演练(新高考专用)
专题8-2立体几何中的角和距离问题(含探索性问题)(解析版)_2.2025数学总复习_2023年新高考资料_二轮复习_2023年高考数学二轮热点题型归纳演练(新高考专用)
专题8-2立体几何中的角和距离问题(含探索性问题)(解析版)_2.2025数学总复习_2023年新高考资料_二轮复习_2023年高考数学二轮热点题型归纳演练(新高考专用)
专题8-2立体几何中的角和距离问题(含探索性问题)(解析版)_2.2025数学总复习_2023年新高考资料_二轮复习_2023年高考数学二轮热点题型归纳演练(新高考专用)
专题8-2立体几何中的角和距离问题(含探索性问题)(解析版)_2.2025数学总复习_2023年新高考资料_二轮复习_2023年高考数学二轮热点题型归纳演练(新高考专用)
专题8-2立体几何中的角和距离问题(含探索性问题)(解析版)_2.2025数学总复习_2023年新高考资料_二轮复习_2023年高考数学二轮热点题型归纳演练(新高考专用)
专题8-2立体几何中的角和距离问题(含探索性问题)(解析版)_2.2025数学总复习_2023年新高考资料_二轮复习_2023年高考数学二轮热点题型归纳演练(新高考专用)
专题8-2立体几何中的角和距离问题(含探索性问题)(解析版)_2.2025数学总复习_2023年新高考资料_二轮复习_2023年高考数学二轮热点题型归纳演练(新高考专用)
专题8-2立体几何中的角和距离问题(含探索性问题)(解析版)_2.2025数学总复习_2023年新高考资料_二轮复习_2023年高考数学二轮热点题型归纳演练(新高考专用)
专题8-2立体几何中的角和距离问题(含探索性问题)(解析版)_2.2025数学总复习_2023年新高考资料_二轮复习_2023年高考数学二轮热点题型归纳演练(新高考专用)
专题8-2立体几何中的角和距离问题(含探索性问题)(解析版)_2.2025数学总复习_2023年新高考资料_二轮复习_2023年高考数学二轮热点题型归纳演练(新高考专用)
专题8-2立体几何中的角和距离问题(含探索性问题)(解析版)_2.2025数学总复习_2023年新高考资料_二轮复习_2023年高考数学二轮热点题型归纳演练(新高考专用)
专题8-2立体几何中的角和距离问题(含探索性问题)(解析版)_2.2025数学总复习_2023年新高考资料_二轮复习_2023年高考数学二轮热点题型归纳演练(新高考专用)
专题8-2立体几何中的角和距离问题(含探索性问题)(解析版)_2.2025数学总复习_2023年新高考资料_二轮复习_2023年高考数学二轮热点题型归纳演练(新高考专用)
专题8-2立体几何中的角和距离问题(含探索性问题)(解析版)_2.2025数学总复习_2023年新高考资料_二轮复习_2023年高考数学二轮热点题型归纳演练(新高考专用)
专题8-2立体几何中的角和距离问题(含探索性问题)(解析版)_2.2025数学总复习_2023年新高考资料_二轮复习_2023年高考数学二轮热点题型归纳演练(新高考专用)
专题8-2立体几何中的角和距离问题(含探索性问题)(解析版)_2.2025数学总复习_2023年新高考资料_二轮复习_2023年高考数学二轮热点题型归纳演练(新高考专用)
专题8-2立体几何中的角和距离问题(含探索性问题)(解析版)_2.2025数学总复习_2023年新高考资料_二轮复习_2023年高考数学二轮热点题型归纳演练(新高考专用)
专题8-2立体几何中的角和距离问题(含探索性问题)(解析版)_2.2025数学总复习_2023年新高考资料_二轮复习_2023年高考数学二轮热点题型归纳演练(新高考专用)
专题8-2立体几何中的角和距离问题(含探索性问题)(解析版)_2.2025数学总复习_2023年新高考资料_二轮复习_2023年高考数学二轮热点题型归纳演练(新高考专用)
专题8-2立体几何中的角和距离问题(含探索性问题)(解析版)_2.2025数学总复习_2023年新高考资料_二轮复习_2023年高考数学二轮热点题型归纳演练(新高考专用)
专题8-2立体几何中的角和距离问题(含探索性问题)(解析版)_2.2025数学总复习_2023年新高考资料_二轮复习_2023年高考数学二轮热点题型归纳演练(新高考专用)
专题8-2立体几何中的角和距离问题(含探索性问题)(解析版)_2.2025数学总复习_2023年新高考资料_二轮复习_2023年高考数学二轮热点题型归纳演练(新高考专用)
专题8-2立体几何中的角和距离问题(含探索性问题)(解析版)_2.2025数学总复习_2023年新高考资料_二轮复习_2023年高考数学二轮热点题型归纳演练(新高考专用)
专题8-2立体几何中的角和距离问题(含探索性问题)(解析版)_2.2025数学总复习_2023年新高考资料_二轮复习_2023年高考数学二轮热点题型归纳演练(新高考专用)
专题8-2立体几何中的角和距离问题(含探索性问题)(解析版)_2.2025数学总复习_2023年新高考资料_二轮复习_2023年高考数学二轮热点题型归纳演练(新高考专用)
专题8-2立体几何中的角和距离问题(含探索性问题)(解析版)_2.2025数学总复习_2023年新高考资料_二轮复习_2023年高考数学二轮热点题型归纳演练(新高考专用)
专题8-2立体几何中的角和距离问题(含探索性问题)(解析版)_2.2025数学总复习_2023年新高考资料_二轮复习_2023年高考数学二轮热点题型归纳演练(新高考专用)
专题8-2立体几何中的角和距离问题(含探索性问题)(解析版)_2.2025数学总复习_2023年新高考资料_二轮复习_2023年高考数学二轮热点题型归纳演练(新高考专用)
专题8-2立体几何中的角和距离问题(含探索性问题)(解析版)_2.2025数学总复习_2023年新高考资料_二轮复习_2023年高考数学二轮热点题型归纳演练(新高考专用)
专题8-2立体几何中的角和距离问题(含探索性问题)(解析版)_2.2025数学总复习_2023年新高考资料_二轮复习_2023年高考数学二轮热点题型归纳演练(新高考专用)
专题8-2立体几何中的角和距离问题(含探索性问题)(解析版)_2.2025数学总复习_2023年新高考资料_二轮复习_2023年高考数学二轮热点题型归纳演练(新高考专用)
专题8-2立体几何中的角和距离问题(含探索性问题)(解析版)_2.2025数学总复习_2023年新高考资料_二轮复习_2023年高考数学二轮热点题型归纳演练(新高考专用)
专题8-2立体几何中的角和距离问题(含探索性问题)(解析版)_2.2025数学总复习_2023年新高考资料_二轮复习_2023年高考数学二轮热点题型归纳演练(新高考专用)
专题8-2立体几何中的角和距离问题(含探索性问题)(解析版)_2.2025数学总复习_2023年新高考资料_二轮复习_2023年高考数学二轮热点题型归纳演练(新高考专用)
专题8-2立体几何中的角和距离问题(含探索性问题)(解析版)_2.2025数学总复习_2023年新高考资料_二轮复习_2023年高考数学二轮热点题型归纳演练(新高考专用)
专题8-2立体几何中的角和距离问题(含探索性问题)(解析版)_2.2025数学总复习_2023年新高考资料_二轮复习_2023年高考数学二轮热点题型归纳演练(新高考专用)
专题8-2立体几何中的角和距离问题(含探索性问题)(解析版)_2.2025数学总复习_2023年新高考资料_二轮复习_2023年高考数学二轮热点题型归纳演练(新高考专用)
专题8-2立体几何中的角和距离问题(含探索性问题)(解析版)_2.2025数学总复习_2023年新高考资料_二轮复习_2023年高考数学二轮热点题型归纳演练(新高考专用)
专题8-2立体几何中的角和距离问题(含探索性问题)(解析版)_2.2025数学总复习_2023年新高考资料_二轮复习_2023年高考数学二轮热点题型归纳演练(新高考专用)
专题8-2立体几何中的角和距离问题(含探索性问题)(解析版)_2.2025数学总复习_2023年新高考资料_二轮复习_2023年高考数学二轮热点题型归纳演练(新高考专用)
专题8-2立体几何中的角和距离问题(含探索性问题)(解析版)_2.2025数学总复习_2023年新高考资料_二轮复习_2023年高考数学二轮热点题型归纳演练(新高考专用)
专题8-2立体几何中的角和距离问题(含探索性问题)(解析版)_2.2025数学总复习_2023年新高考资料_二轮复习_2023年高考数学二轮热点题型归纳演练(新高考专用)
专题8-2立体几何中的角和距离问题(含探索性问题)(解析版)_2.2025数学总复习_2023年新高考资料_二轮复习_2023年高考数学二轮热点题型归纳演练(新高考专用)
专题8-2立体几何中的角和距离问题(含探索性问题)(解析版)_2.2025数学总复习_2023年新高考资料_二轮复习_2023年高考数学二轮热点题型归纳演练(新高考专用)
专题8-2立体几何中的角和距离问题(含探索性问题)(解析版)_2.2025数学总复习_2023年新高考资料_二轮复习_2023年高考数学二轮热点题型归纳演练(新高考专用)
专题8-2立体几何中的角和距离问题(含探索性问题)(解析版)_2.2025数学总复习_2023年新高考资料_二轮复习_2023年高考数学二轮热点题型归纳演练(新高考专用)
专题8-2立体几何中的角和距离问题(含探索性问题)(解析版)_2.2025数学总复习_2023年新高考资料_二轮复习_2023年高考数学二轮热点题型归纳演练(新高考专用)
专题8-2立体几何中的角和距离问题(含探索性问题)(解析版)_2.2025数学总复习_2023年新高考资料_二轮复习_2023年高考数学二轮热点题型归纳演练(新高考专用)
专题8-2立体几何中的角和距离问题(含探索性问题)(解析版)_2.2025数学总复习_2023年新高考资料_二轮复习_2023年高考数学二轮热点题型归纳演练(新高考专用)
专题8-2立体几何中的角和距离问题(含探索性问题)(解析版)_2.2025数学总复习_2023年新高考资料_二轮复习_2023年高考数学二轮热点题型归纳演练(新高考专用)
专题8-2立体几何中的角和距离问题(含探索性问题)(解析版)_2.2025数学总复习_2023年新高考资料_二轮复习_2023年高考数学二轮热点题型归纳演练(新高考专用)
专题8-2立体几何中的角和距离问题(含探索性问题)(解析版)_2.2025数学总复习_2023年新高考资料_二轮复习_2023年高考数学二轮热点题型归纳演练(新高考专用)
专题8-2立体几何中的角和距离问题(含探索性问题)(解析版)_2.2025数学总复习_2023年新高考资料_二轮复习_2023年高考数学二轮热点题型归纳演练(新高考专用)
专题8-2立体几何中的角和距离问题(含探索性问题)(解析版)_2.2025数学总复习_2023年新高考资料_二轮复习_2023年高考数学二轮热点题型归纳演练(新高考专用)
专题8-2立体几何中的角和距离问题(含探索性问题)(解析版)_2.2025数学总复习_2023年新高考资料_二轮复习_2023年高考数学二轮热点题型归纳演练(新高考专用)
专题8-2立体几何中的角和距离问题(含探索性问题)(解析版)_2.2025数学总复习_2023年新高考资料_二轮复习_2023年高考数学二轮热点题型归纳演练(新高考专用)
专题8-2立体几何中的角和距离问题(含探索性问题)(解析版)_2.2025数学总复习_2023年新高考资料_二轮复习_2023年高考数学二轮热点题型归纳演练(新高考专用)
专题8-2立体几何中的角和距离问题(含探索性问题)(解析版)_2.2025数学总复习_2023年新高考资料_二轮复习_2023年高考数学二轮热点题型归纳演练(新高考专用)
专题8-2立体几何中的角和距离问题(含探索性问题)(解析版)_2.2025数学总复习_2023年新高考资料_二轮复习_2023年高考数学二轮热点题型归纳演练(新高考专用)
专题8-2立体几何中的角和距离问题(含探索性问题)(解析版)_2.2025数学总复习_2023年新高考资料_二轮复习_2023年高考数学二轮热点题型归纳演练(新高考专用)
专题8-2立体几何中的角和距离问题(含探索性问题)(解析版)_2.2025数学总复习_2023年新高考资料_二轮复习_2023年高考数学二轮热点题型归纳演练(新高考专用)
专题8-2立体几何中的角和距离问题(含探索性问题)(解析版)_2.2025数学总复习_2023年新高考资料_二轮复习_2023年高考数学二轮热点题型归纳演练(新高考专用)
专题8-2立体几何中的角和距离问题(含探索性问题)(解析版)_2.2025数学总复习_2023年新高考资料_二轮复习_2023年高考数学二轮热点题型归纳演练(新高考专用)
专题8-2立体几何中的角和距离问题(含探索性问题)(解析版)_2.2025数学总复习_2023年新高考资料_二轮复习_2023年高考数学二轮热点题型归纳演练(新高考专用)
专题8-2立体几何中的角和距离问题(含探索性问题)(解析版)_2.2025数学总复习_2023年新高考资料_二轮复习_2023年高考数学二轮热点题型归纳演练(新高考专用)
专题8-2立体几何中的角和距离问题(含探索性问题)(解析版)_2.2025数学总复习_2023年新高考资料_二轮复习_2023年高考数学二轮热点题型归纳演练(新高考专用)
专题8-2立体几何中的角和距离问题(含探索性问题)(解析版)_2.2025数学总复习_2023年新高考资料_二轮复习_2023年高考数学二轮热点题型归纳演练(新高考专用)

文档信息

文档格式
docx
文档大小
10.516 MB
文档页数
126 页
上传时间
2026-03-18 07:46:19

文档内容

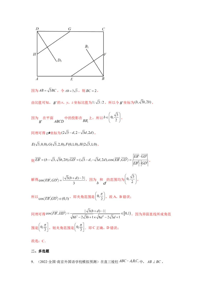
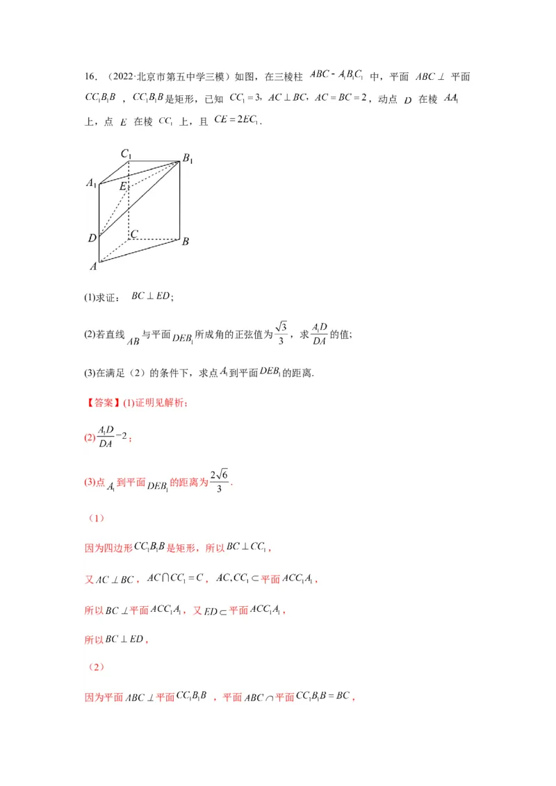
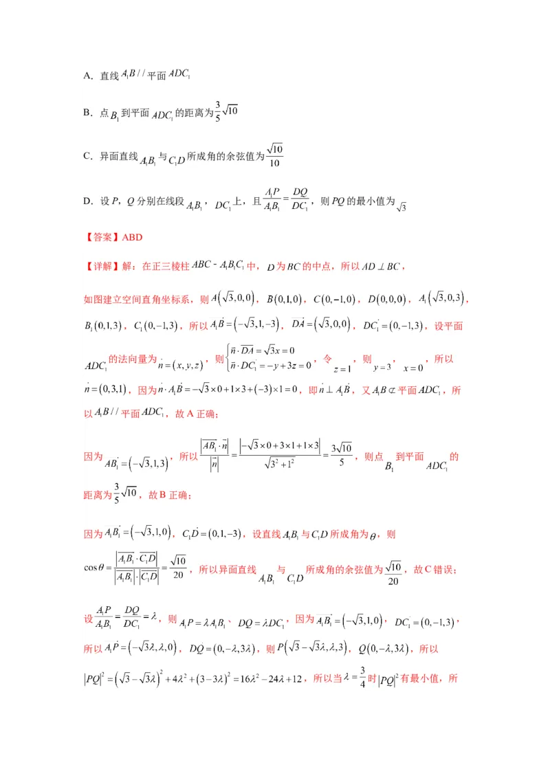
专题 8-2 立体几何中的角和距离问题(含探索性问题) 目录 专题8-2立体几何中的角和距离问题(含探索性问题)....................................................................1 .....................................................................................1 题型一:异面直线所成角(含定值,最值,范围)............................................................................1 题型二:线面角(定值,最值)..........................................................................................................12 题型三:线面角探索性问题..................................................................................................................32 题型四:二面角(定值,最值)..........................................................................................................47 题型五:二面角探索性问题..................................................................................................................68 题型六:点到平面距离问题..................................................................................................................80 ................................................................95 题型一:异面直线所成角(含定值,最值,范围) 【典例分析】 例题1.(2022·山东泰安·二模)已知 , 两点都在以 为直径的球 的球面上, , ,若球 的体积为 ,则异面直线 与 所成角的余弦 值为( ) A. B. C. D. 【答案】A【详解】 如图,取 中点 ,连接 ,由 可得 是 的外心,则 平面 , 又 , , 由 得 ,即 ,又 , , 分别是 中点, , ,以 为 轴建立空间直角 坐标系, 则 ,与 平行的向量 , ,故异面直线PB与AC所成角的余弦值为 . 故选:A. 例题2.(2022·江苏省横林高级中学高二阶段练习)在正方体 中, 是 棱 的中点, 是底面 内(包括边界)的一个动点,若 平面 ,则异面 直线 与 所成角的取值范围是( ) A. B. C. D. 【答案】C 【详解】解:取 中点 , 中点 ,连接 , , ,取 中点 ,连接 ,在正方体 中, 是棱 的中点, , , , , , 平面 平面 , 是底面 内(包括边界)的一个动点, 平面 , 的轨迹是线段 , 如图,以D为原点, 为 轴建立空间之间坐标系,设正方体棱长为2 则 , , , , 由于 在线段 上,设 ,且 所以 则 ,又所以 由于 ,所以 所以异面直线 与 所成角的取值范围 . 故选:C. 例题3.(2022·湖北·荆门市东宝中学高二期中)如图,在四棱锥 中,已知 平面 ,且四边形 为直角梯形, , , . (1)求平面 与平面 所成锐二面角的余弦值; (2)点 是线段 上的动点,当直线 与 所成的角最小时,求线段 的长. 【答案】(1) (2) 【详解】试题分析:以 为正交基底建立如图所示的空间直角坐标系 , 则各点的坐标为 .(1) 因为 平面 ,所以 是平面 的一个法向量, . 因为 . 设平面 的法向量为 ,则 , 即 ,令 ,解得 . 所以 是平面 的一个法向量,从而 , 所以平面 与平面 所成二面角的余弦值为 . (2) 因为 ,设 , 又 ,则 , 又 , 从而 , 设 ,则 , 当且仅当 ,即 时, 的最大值为 . 因为 在 上是减函数,此时直线 与 所成角取得最小值. 又因为 ,所以 . 【提分秘籍】 设异面直线 和 所成角为 ,其方向向量分别为 , ;则异面直线所成角向量求法: ① ② ③涉及到异面直线所成角所成范围或最值问题时,根据得到的解析式 , 可通过配方为二次函数,或者基本不等式,或者求导,求出范围或者最值. 【变式演练】 1.(2022·江苏·高二阶段练习)在长方体 中, 为空间内一点, 为底面 内一点,且满足 ,异面直 线 与 所成角为 ,则当线段 的长度取最小值时, 的值为( ) A. B. C. D. 【答案】B 【详解】由 ,得 ,即 , 所以点 在直线 上.又异面直线 与 所成的角为 , 为底面 内一点, 所以点 在以点 为圆心,半径为 的圆上,因此要使 长度最小,则 、 、 共 线,且 .因为 , ,所以 ,,此时 ,又因为 与 反向,所 以 . 故选:B. 2.(多选)(2022·河南·高二期中)在三棱锥 中,平面 平面BCD, , , 为等边三角形,E是棱AC的中点,F是棱AD上一点, 若异面直线DE与BF所成角的余弦值为 ,则AF的值可能为( ) A. B.1 C. D. 【答案】AC 【详解】由 为等边三角形,取BD的中点O,连接 ,则 又平面 平面BCD,且平面 平面 所以 平面BCD,由 过 作与 平行的直线为 轴,分别以 为 轴建立如图所示的空间直角坐标系, 因为 ,则 , , 所以 .设 ,则 , , 则 ,解得 或 , 故 或 . 故选:AC 3.(多选)(2022·浙江·余姚中学高二阶段练习)如图,在三棱锥 中,平面 平面 , 与 均为等腰直角三角形,且 , , 是线段 上的动点(不包括端点),若线段 上存在点 ,使得异面直线 与 成 的角,则线段 的长度可能为( ) A. B. C. D. 【答案】AB 【详解】解:以 为原点, 为 轴, 为 轴,过 作平面 的垂线为 轴,建立 空间直角坐标系, 则 , , , , 设 ,因为 与 为异面直线,所以 , , ,则 , 异面直线 与 成 的角, , , , ,解得 , , 线段 长的取值范围是 . 故选:AB. 4.(2022·云南·玉溪市民族中学模拟预测(文))如图,在直三棱柱 中, D,E,F分别是 的中点, . (1)证明: 平面 ; (2)若 ,求异面直线 与 所成角的余弦值. 【答案】(1)证明见解析(2) . 【详解】(1)证明:因为三棱柱 是直三棱柱, 所以 面ABC,又 面ABC,则 , 又因为 ,且 , 平面 , 平面 , 所以 平面 ; (2)由(1)知: 平面 ,建立如图所示空间直角坐标系: 设AD=2,则 , 所以 , 设异面直线 与 所成的角为 , 所以 . 5.(2022·天津·二模)如图所示,在几何体ABCDEF中,四边形ABCD为直角梯形, AD∥BC,AB⊥AD,AE⊥底面ABCD,AE∥CF,AD=3,AB=BC=AE=2,CF=1.(1)求证:BF∥平面ADE; (2)求直线BE与直线DF所成角的余弦值; 【答案】(1)证明见解析 (2) 【详解】(1)证明:∵AE∥CF,AE⊄平面BFC,CF 平面BFC, ⊂ ∴AE∥平面BCF, ∵AD∥BC,同理可得AD∥平面BFC, 又AD∩AE=A,∴平面BCF∥平面ADE, ∵BF 平面BFC,∴BF∥平面ADE; ⊂ (2)以A为坐标原点,AB、AD、AE所在直线分别为x,y,z轴,建立空间直角坐标系, 则B(2,0,0),C(2,2,0),D(0,3,0),E(0,0,2),F(2,2,1),则 =(-2,0,2), =(2,-1,1), ∴直线BE与直线DF所成角的余弦值为 题型二:线面角(定值,最值) 【典例分析】 例题1.(2022·全国·模拟预测)如图,已知四棱锥 的底面 为正方形, 二面角 为直二面角, ,点 为线段AD的中点. (1)证明: ; (2)若 ,点 是线段 上靠近点 的三等分点,求直线 与平面 所成角 的正弦值. 【答案】(1)证明见解析(2) 【详解】(1)取AB的中点O,连接SO,DO, 因为 ,所以 , 所以 . 又二面角 为直二面角, 所以 平面ABCD,且 平面ABCD, 所以 . 在正方形ABCD中,O,M分别为AB,AD的中点, 所以 ,所以 ,又 ,所以 ,所以 . 因为 , 平面SOD, 平面SOD, 所以 平面SOD, 又 平面SOD,所以 . (2)取CD的中点 ,连接OG,由(1)可知OB,OS,OG两两垂直. 以 为坐标原点,OB,OS,OG所在直线分别为 轴、 轴、 轴建立如图所示的空间直角 坐标系. 不妨设AB=2,则 , , , , , , , , 则 , . 设平面SMN的法向量为 , 由题意得 , 令 ,得 . 设直线SA与平面SMN所成的角为 ,则 , 故直线SA与平面SMN所成角的正弦值为 . 例题2.(2022·湖南·模拟预测)故宫太和殿是中国形制最高的宫殿,其建筑采用了重 檐庑殿顶的屋顶样式,庑殿顶是“四出水”的五脊四坡式,由一条正脊和四条垂脊组成, 因此又称五脊殿.由于屋顶有四面斜坡,故又称四阿顶.如图,某几何体ABCDEF有五个面, 其形状与四阿顶相类似.已知底面 为矩形, , 底面 , , , 分别为 , 的中点. (1)证明: 且 平面 . (2)若二面角 为 ,求 与平面 所成角的正弦值. 【答案】(1)证明见解析 (2) 【详解】(1)证明:因为EF∥底面ABCD, 平面ABFE,平面 底面 , 所以 . 因为 ,M,N分别为AD,BC的中点, 所以EM⊥AD,FN⊥BC, ,因为 ∥ , , 所以四边形 为平行四边形, 所以 , 因为 , 所以四边形EFNM为梯形,且EM与FN必相交于一点, 又 , 所以 , 因为 平面 , 故BC⊥平面 . (2)解:过点E作 ,垂足为H, 由(1)知BC⊥平面 , 因为 平面 , 所以平面 平面 , 因为平面 平面 , 平面 , 所以EH 平面 , 由 , ,得 为二面角 的平面角,则 . 因为 ,所以 . 作 ,垂足为K. 以H为原点,以 的方向为x轴的正方向建立空间直角坐标系,如图所示,则 , , , ,, . 设平面ABF的法向量为 , 则 , 令 ,得 . 因为 , 所以 , 故CF与平面ABF所成角的正弦值为 . 例题3.(2022·河北·模拟预测(理))如图1所示,在平行四边形 中, , ,将 沿 折起,使得二面角 的大小为 ,如 图2所示,点 为棱 的中点,点 为棱 上一动点. (1)证明: ;(2)若四棱锥 的体积为 ,求直线 与平面 所成角的正弦值的最大值. 【答案】(1)证明见解析 (2) 【详解】(1)证明:取 的中点 ,连接 , , , 点 为棱 的中点,在 中, , , , 在平行四边形 中 有 , , , , 折起后也有 所以 , , , 为二面角 的平面角,即 , 平面 , 平面 , , , 为正三角形,, , 平面 , 平面 , , , 平面 , 平面 , . (2)设 , , 那么点 到面 的距离就是 的长,也就是 , , , 解得 , , , 以A为坐标原点,以 , 为 , 轴,以过A且平行于 的直线为 轴建立如图所示 的空间直角坐标系,则 ,0, , ,2, , ,4, , ,1, , 设点 , 根据 与 方向相同得: , , , , , ,1, , 设平面 的一个法向量为 , , 令 , 解得 , , 平面 的一个法向量为 , , , . 当 时取到等号 直线 与平面 所成角的正弦值的最大值为 . 例题4.(2022·全国·模拟预测)已知四棱锥 的底面为菱形, ,, 平面 . 与底面 所成角为 ,设平面 与平面 交线 为 . (1)证明: 平面 ; (2) 为 上的动点,且点 与点 在平面 同侧,求直线 与平面 所成角的正 弦值的取值范围. 【答案】(1)证明见解析; (2) . (1) 因四棱锥 的底面为菱形,则 ,而 平面 , 平面 , 则有 平面 ,又平面 平面 , 平面 ,于是得 , 而 平面 , 平面 , 所以 平面 . (2) 取BC中点E,连接DE,BD,菱形 中, ,则 为正三角形,有 ,又 ,即有 , 而 平面 ,以点D为坐标原点,建立如图所示的空间直角坐标系 ,因 与底面 所成角为 ,则 , , 有 ,设 , ,设平面 的法向量 , 则 ,令 ,得 ,设直线 与平面 所成角为 , 因此 ,而 , 则当 时, , ,即 , 所以直线 与平面 所成角的正弦值的取值范围 . 【提分秘籍】 设直线 的方向向量为 ,平面 的一个法向量为 ,直线 与平面 所成的角为 ,则 ① ; ② .③涉及到线面角范围或最值问题时,根据得到的解析式 ,可通过配方 为二次函数,或者基本不等式,或者求导,求出范围或者最值. 【变式演练】 1.(2022·全国·安阳市第二中学模拟预测(理))如图所示,直三棱柱 中 , ,点M为线段 , 的交点,点P,Q分别为线段 ,AB 的中点,延长 至点D,使得 ,连接CD,QD,CQ. (1)求证:平面 平面 ; (2)若点M在平面ABP内的投影恰好为 的重心, ,求直线MD与平面 所 成角的正弦值. 【答案】(1)证明见解析 (2) . 【详解】(1)如图,连接MQ. 因为 , ,故 , 而 ,故四边形BDCP为平行四边形,则 , 因为 平面 , 平面 ,故 平面 ; 同理可证BDQM为平行四边形, ,即 , 平面 , 平面 ,故 平面 . 因为 , 平面CDQ, 平面CDQ, 故平面 平面 ;(2)在直三棱柱 中,因为 , ,由余弦定理可得 ,解得 , 故 为等腰直角三角形, , 故以CA,CB, 所在直线分别为x,y,z轴建立如图所示的空间直角坐标系. 设 , 重心为G, 则 , , , , , , , 因为 平面ABP,所以有 , 故 . 设平面 的法向量 , 则 ,取 ,得 , 故直线MD与平面 所成角的正弦值 .2.(2022·浙江温州·三模)如图是一个四棱柱被一个平面所截的几何体,底面 是正 方形,M是 的中点, . (1)证明:平面 平面 ; (2)求直线 与平面 所成角的正弦值. 【答案】(1)证明见解析 (2) (1) 法一:证明:连 ,因为 , 所以四边形 是平行四边形,所以 , 又 , 所以 , 而 ,所以 平面 , 又 面 ,所以平面 平面 ;法二:证明:取 中点O,连 , 则 , 所以E,G,M,O四点共面, 又 , 所以 , 而 ,所以 平面 , 又 面 ,所以平面 平面 ; (2) 法一(向量法一):取 中点O,连 ,则 , 所以E,G,M,O四点共面,又 平面 ,所以 ,又 ,所以 面 , 以O为原点,过O垂直于 的向外的射线为x轴, 为y轴, 为z建立如图空间直 角坐标系, 则 , 由 ,所以 , 所以 , 又 是平面 的法向量, 所以 . 法二(向量法二):以A为原点,分别以射线 为x,y轴的正半轴,建立空间直角 坐标系 ,则 , 设 , 由 ,得 ,又 ,所以 , 所以 , 又 是平面 的法向量, 所以 法三(几何法):取 中点N,连 , 因为 ,所以四边形 是平行四边形,所以 , 于是,问题转化为求 与平面 所成角的正弦值, 又因为 平面 , 所以 (或其补角)就是 与平面 所成角的余角, 取 中点O,连 ,则 ,所以E,G,M,O四点共面, 又 平面 ,所以 ,又 , 所以 平面 , 所以 ,又 ,所以 面 ,所以 , ,所以 . 所以 与平面 所成角的正弦值为 . 3.(2022·山东日照·三模)如图,在斜三棱柱 中,侧面 侧面 ,M为 上的动点. (1)当M为 的中点时,证明: ; (2)求 与平面 所成角的正弦值的取值范围. 【答案】(1)证明见详解. (2) (1)连接 由 可知:四边形 均为含 的菱形,故 当M为 的中点时,则 ,又侧面 侧面 , 侧面 侧面 ,故 平面 ,从而 , ,所以 平面 , 平面 , 故 (2) 取 中点为 ,因为侧面 侧面 , , 故可建立如图所示的空间直角坐标系. ,设 则 设平面 的法向量为 由 ,令 设 与平面 所成角为 ,所以 当 时, 当 时,, 所以 综上故 4.(2022·江苏江苏·三模)如图,在四棱锥 中, 底面 , ,点 在棱 上, ,点 在棱 上, . (1)若 , 为 的中点,求证: , , , 四点共面; (2)求直线 与平面 所成角的正弦的最大值. 【答案】(1)证明见解析(2) (1) 解:以 为坐标原点建立如图所示空间直角坐标系,如图所示, 则 , , , , 则 , , , 设 ,则 ,解得 , 则 ,即 , , , 四点共面. (2) 解:由(1)中的空间直角坐标系,可得 , , , 设 ,(其中 ),且 , 则 ,解得 , 可得 设平面 的法向量为 ,由 , 取 ,可得 ,所以 设直线 与平面 所成角为 ,则 ,当且仅当 时等号成立. 直线 与平面 所成角的正弦的最大值为 . 题型三:线面角探索性问题 【典例分析】 例题1.(2022·天津·模拟预测)如图,在四棱锥 中, 平面 , 底面 是直角梯形,其中 , , 为 棱 上的点,且 (1)求证: 平面 ;(2)求二面角 的余弦值; (3)设 为棱 上的点(不与 、 重合),且直线 与平面 所成角的正弦值为 ,求 的值. 【答案】(1)证明见解析(2) (3) 【详解】(1)以 为原点, 所在的直线为 轴的正方向建立空间直角坐 标系, 则 , , , , , , 所以 , , , 所以 , , 所以 , ,且 ,所以DE⊥平面 . (2)由(1)知,DE⊥平面 , 是平面 的一个法向量, 且 , ,, 设平面 的一个法向量为 , 所以 ,即 ,令 ,则 , 所以 , , 由图二面角 的平面角为锐角, 所以二面角 的余弦值为 . (3)由(1)得 , , , ,设 ,则 ,可得 , 所以 , 是平面 的一个法向量 所以 ,解得 . 所以 . 例题2.(2022·天津河东·二模)如图所示,直角梯形 中, , 垂直 , ,四边形 为矩形, ,平面 平面 .(1)求证: ∥平面 ; (2)求平面 与平面 所成二面角的正弦值; (3)在线段 上是否存在点 ,使得直线 与平面 所成角的正弦值为 ,若存 在,求出线段 的长,若不存在,请说明理由. 【答案】(1)证明见解析 (2) (3)存在,且 ,理由见解析 (1) 取 为原点, 所在直线为 轴,过点 且平行于直线 的直线为 轴, 所在直线为 轴建立空间直角坐标系,则 , , , , , , 设平面 的一个法向量为 , 由 得 , 不妨设 ,则 , , 又 , , , 又 平面 , 平面 . (2) , , 设平面 的一个法向量为 , 由 得 , 不妨设 ,则 , , , 则, , 平面 与平面 所成二面角的正弦值为 . (3) 存在,理由如下, 设 , 则 ,所以 , 又平面 的一个法向量为 , 即直线 与平面 所成角为 , 则 , 整理得 ,解得 或 , 当 时, ,则 ; 当 时, ,则 ; 综上 ,即在线段 上存在点 ,使得直线 与平面 所成角的正弦值为 , 此时线段 的长为 . 例题3.(2022·安徽马鞍山·三模(理))如图所示,四棱锥 ,底面在以 为直径的圆 上, 圆 , 为等边三角形, , .(1)求证:平面 平面 ; (2)线段 上是否存在一点 使得直线 与平面 所成角的正弦值为 ?若存在, 求出 ;若不存在,请说明理由. 【答案】(1)证明见解析; (2)存在; . (1) 证法一:设 ,由题知 为等边三角形, 为直径, ,得 , ∴ , , , 得 ,在 中,得 , 在 中 , ,得 .易知 , 则 ,故 . 易知 ,则 ,又 , 平面 , 又 平面 , 平面 平面 . 证法二:设 ,连接 , 由 平面 , 平面 ,,由题知 ,又 , 平面 , 平面 , , , , 为等边三角形, , , , 得 , , ,则 , 又 , 故 平面 , 又 平面 , 平面 平面 . (2) 以 为坐标原点, 所在直线分别为 轴, 轴,过点 且与直线 平行的直线为 轴,建立如图所示的空间直角坐标系, 则 , , 设 , , 则 令平面 的法向量为 ,则 , 取 , 令直线 与平面 的所成角为 , , 解得 , 即 上存在点 ,使得 . 【提分秘籍】 探索性问题,动点的位置一般可以假设 ,再结合向量加,减法,求解;另外如果动 点在坐标轴上,可以直接假设动点坐标; 【变式演练】 1.(2022·天津·一模)如图,在四棱锥P-ABCD中,底面ABCD是直角梯形, ,AP⊥平面ABCD, ,点M、N分别为线段 BC和PD的中点. (1)求证:AN⊥平面PDM; (2)求平面PDM与平面PDC夹角的正弦值; (3)在线段PC(不包括端点)上是否存在一点E,使得直线BE与平面PDC所成角的正弦值为 ,若存在,求出线身PE的长:若不存在,请说明理由. 【答案】(1)证明见解析;(2) ; (3)存在,PE= . 【详解】(1)方法一:∵ ,且 , ∴BM∥AD,且BM=AD, ∴四边形ADMB是平行四边形, ∴ , ∵ ,则AD⊥DM, ∵AP⊥平面ABCD, 平面ABCD, ∴AP⊥DM,又 , ∴DM⊥平面PAD,又 平面PAD, ∴DM⊥AN, ∵ ,N是PD的中点, ∴PD⊥AN,又 , 、 平面PDM, ∴AN⊥平面PDM; 方法二:以A为原点,AB,AD,AP所在直线分别为x轴,y轴,z轴建立如图所示的空间 直角坐标系.则 , , , , , , . 则 , , . 设平面PDM的法向量为 , 则 ,即 ,取 ,则 , ,则 , ∴ ,则 , ∴AN⊥平面PDM; (2) , ,设平面PDC的法向量为 , 则 ,则 ,取 ,则 , ,则 , 由(1)知平面PDM的一个法向量为 , 设平面PDM与平面PDC的夹角为 , 则 , ∴ , ∴平面PDM与平面PDC夹角的正弦值为 ; (3)假设存在点E,设 , , , , 则 , 设直线BE与平面PDC所成角为 ,由(2)知平面PDC的一个法向量为 , 则 , 化简得 ,即 , ∵ ,∴ ,故 , ∵ ,则 , ∴ , ∴线段PE的长为 . 2.(2022·黑龙江·佳木斯一中模拟预测(理))如图,四棱锥 的底面为菱形, , , 底面ABCD,E,F分别是线段PB,PD的中点,G是线 段PC上的一点. (1)若 ,证明直线AG在平面AEF内; (2)若直线AG与平面AEF所成角的正弦值为 ,试确定 的值. 【答案】(1)证明见解析(2) 或 (1)证明:取BC的中点M,连接 ,则AM⊥AD,分别以AM,AD,AP所在直线为 x,y,z轴建立空间直角坐标系 , 如图所示. 则 , , , , , , 设 ,因为 , , . 所以 ,即 , , , 设平面AEF的法向量 ,则 ,所以 取 , 所以 ,即 . 又因为 平面AEF,所以直线AG在平面AEF内. (2) (2)设 ,则 则 , 解得 或 ,即 或 . 3.(2022·河南·汝州市第一高级中学模拟预测(理))如图,在三棱柱 中, 平面 分别是 的中点. (1)求证: //平面 ; (2)在线段 上是否存在点 ,使得直线 与平面 所成角的正弦值是 ?若存 在,则求出 的值;若不存在,请说明理由. 【答案】(1)证明见解析 (2)存在, (1)连接 ,且 交 于点 ,再连接 ,如图所示. 因为三棱柱 ,所以 . 又 分别是 的中点,所以 , 所以四边形 是平行四边形,所以点 是 的中点. 在 中,点 是 的中点, 是 的中点,所以 , 又 平面 平面 ,所以 平面 . (2) 不妨设 ,则 . 在 中,由余弦定理得 ,即 . 所以 ,所以 . 因为 平面 ,又 平面 ,所以 , 又 ,所以 .以 为坐标原点, 所在的直线分别为 轴, 轴, 轴,建立如图所示的空间 直角坐标系. 则 ,所以 . 设平面 的一个法向量为 , 由 得 令 ,解得 , 所以平面 的一个法向量 . 设 ,且 , 所以 ,得 , 所以点 的坐标为 , 所以 . 设直线 与平面 所成的角为 , 则 解得 ,所以 . 题型四:二面角(定值,最值) 【典例分析】 例题1.(2022·四川·石室中学模拟预测(理))如图,在四棱锥 中, , , , 是棱 的中点,且 平面(1)证明: 平面 ; (2)若 ,求二面角 的正弦值. 【答案】(1)证明见解析(2) 【详解】(1)取 中点 ,连接 , , , , 面 , 面 , 故 面 , 面 , ,面 面 , 平面 平面 ,平面 平面 ,故 . , , , ,故 , , 是 中点,故 , , 平面 , 故 面 , ,故 面 . (2)如图所示以 为 轴建立空间直角坐标系, , , , , ,,设平面 法向量为 , , 取 , , 设平面 法向量为 , , 取 , , , 设二面角 的平面角为 , . 例题2.(2022·四川·广安二中模拟预测(理))在四棱锥 中, , , , , 平面 , 与平面 所成角 , 又 于 , 于 . (1)证明: 平面 ;(2)求二面角 的余弦值. 【答案】(1)证明见解析 (2) 【详解】(1)过 作 ,则四边形 为矩形, 以 分别为 轴建立如图所示的空间直角坐标系, ,因为 与平面 所成角 , 所以 ,所以 ,所以 , , , 设 , 所以 ,即 , 因为 ,所以 ,解得 , 所以 ,又因为 , 所以 ,即 , 又因为 , , 平面 , 所以 平面 .(2)由(1)可知 平面 , 则 为平面 的一个法向量. ,所以 ,即 , 又因为 平面 , 平面 ,所以 , 又因为 平面 , 所以 平面 , 则 为平面 的一个法向量. 则 所以二面角 的余弦值为 . 例题3.(2022·内蒙古包头·二模(理))已知直三棱柱 中,侧面 为正方形. , , 分别为 和 上的点,且 , , 为棱 上的点, . (1)证明: ,且 ; (2)当 为何值时,平面 与平面 所成的二面角的正弦值最小? 【答案】(1)证明见解析(2) (1) 因为 , ,所以 , 又 ,且 ,所以 平面 , 又 平面 ,所以 . 因为 ,所以在 中, , 又 ,所以 , 由 ,且 ,得 , 取点B为坐标原点,以BA,BC, 所在直线分别为x,y,z轴, 建立空间直角坐标系 (如图所示). 则 , , , , 设 ,则 ,于是 , 所以 ,即 . (2)因为平面 的一个法向量为 ,又由(1)知 , , 设平面DEF的法向量为 ,则 ,所以有 取 ,得 , ,于是平面DEF的法向量为 , 所以 , 设平面 与平面DEF所成的二面角为 ,则 , 故当 时,平面 与平面DEF所成的二面角的正弦值取得最小值为 . 所以当 时,平面 与平面DEF所成的二面角的正弦值最小. 例题4.(2022·安徽省舒城中学一模(理))如图所示,三棱锥 中, 平面 , ,平面 经过棱 的中点 ,与棱 , 分别交于点 , ,且 平面 , 平面 . (1)证明: 平面 ; (2)若 ,点 是直线 上的动点,求平面 与平面 所成锐二面角的余弦值的最大值. 【答案】(1)证明见解析 (2) (1) 证明: 平面 , 平面 ,且平面 平面 , ,又 为 的中点, 为 的中点, 又 平面 ,同理可得 ,且 为 的中点, 平面 , 平面 , ,则 , , , ,而 , 、 平面 , 平面 ; (2) 解:如图,以点B为坐标原点,分别以BA,BC所在直线为x,y轴,过点B且与AP平行 的直线为z轴建立空间直角坐标系, 则 , , , , , , 所以 , , ,设 ,则 ,设平面 的法向量为 , 则 ,令 ,则 , , 所以 为平面 的一个法向量. 设平面 的法向量为 ,则 ,则 ,令 ,则 , 所以 为平面PBC的一个法向量. 设平面MAC与平面PBC所成的锐二面角为θ, 则 . 当 时, ; 当 时, , 当且仅当 ,即 时, 取得最小值 , 取得最大值,最大值为 . 所以平面MAC与平面PBC所成锐二面角的余弦值的最大值为 . 【提分秘籍】 (1)如图①, , 是二面角 的两个面内与棱 垂直的直线,则二面角的大 小 .(2)如图②③, , 分别是二面角 的两个半平面 的法向量,则二面角 的大小 满足: ① ; ② 若二面角为锐二面角(取正),则 ; 若二面角为顿二面角(取负),则 ; (特别说明,有些题目会提醒求锐二面角;有些题目没有明显提示,需考生自己看图判定 为锐二面角还是钝二面角.) ③涉及到二面角范围或最值问题时,根据得到的解析式 ,可通过配 方为二次函数,或者基本不等式,或者求导,求出范围或者最值. 【变式演练】 1.(2022·山东青岛·一模)如图①,在梯形 中, , , , 为 的中点,以 为折痕把 折起,连接 , ,得到如图②的几 何体,在图②的几何体中解答下列两个问题. (1)证明: ;(2)请从以下两个条件中选择一个作为已知条件,求二面角 的余弦值. ①四棱锥 的体积为2; ②直线 与 所成角的余弦值为 . 注:如果选择两个条件分别解答,按第一个解答计分. 【答案】(1)证明见解析 (2) (1) 证明:在图①中 因为 , , 为 中点所以 , , 所以 为平行四边形,所以 ,同理可证 , 在图②中,取 中点 ,连接 , , , 因为 ,所以 , , 因为 ,所以 平面 , 因为 平面 ,所以 . (2) 若选择①:因为 平面 , 平面 , 所以平面 平面 且交线为 ,所以过点 作 , 则 平面 ,因为 ,所以四棱锥 的体积 , 所以 ,所以 与 重合,所以 平面 , 建系如图,则 , , , , 平面 法向量为 ,设平面 法向量为 , 因为 , , 所以 ,得 , 设二面角 的大小为 ,则 , 所以二面角 的余弦值为 . 若选择②:因为 ,所以 即为异面直线 与 所成角, 在 中, , 所以 所,以 ,所以 , 因为 平面 , 平面 , 所以平面 平面 且交线为 ,所以 平面 , 建系如图,则 , , , , 平面 法向量为 , 设平面 法向量为 , 因为 , ,所以 ,得 , 设二面角 的大小为 ,则 , 所以二面角 的余弦值为 . 2.(2022·全国·模拟预测)如图①,平面图形ABCDE中, ,四边形BCDE是等 腰梯形, , .沿BE将 ABE折起,使平面 平面 BCDE,得到四棱锥 ,连接CE,如图②.△ (1)设平面ABC与平面ADE的交线为l,求证: ; (2)当四棱锥 的体积为 时,求侧面ACD与侧面ABE所成的二面角的平面角. 【答案】(1)证明见解析 (2)60°(1) 因为平面 平面BCDE,平面 平面 , , 平面ABE,所以 平面BCDE, 因为 平面BCDE,所以 . 在等腰梯形BCDE中,由 , , 可得 , 在△BCE中,由余弦定理得 , 所以 ,则 . 因为 ,所以 平面ABC. 因为l是平面ABC与平面ADE的交线,所以 平面ABC,所以 ; (2) 如图,过点C作 于点G,易得 , 则梯形BCDE的面积 , 所以 ,解得 , 如图,以B为坐标原点,分别以BE,BA所在直线为y轴,z轴,在平面BCDE内以垂直于 BE的直线为x轴建立空间直角坐标系,则 , , , , 所以 , , 设平面ACD的法向量为 ,则 即 令 ,得 ,则 ,所以 , 又平面ABE的法向量为 , 所以 ,由图可知所求二面角为锐角, 所以侧面ACD与侧面ABE所成的二面角的平面角大小为60°; 综上,所求的二面角的平面角为60°. 3.(2022·山东潍坊·模拟预测)如图,正三棱柱ABC−ABC 的所有棱长均为2,D为棱 1 1 1 BB(不包括端点)上一动点,E是AB的中点. 1(1)若AD⊥AC,求BD的长; 1 (2)当D在棱BB(不包括端点)上运动时,求平面ADC 与平面ABC的夹角的余弦值的取 1 1 值范围. 【答案】(1) (2) (1) 由 ,知 , 又平面ABC⊥平面 ,所以CE⊥平面 . 而AD 平面 ,∴ ,又 ,所以AD⊥平面 , 所以 .又四边形 为正方形,故此时D为 的中点,故 . (2)以E为原点,EB为x轴,EC为y轴,过E作垂直于平面ABC的垂线为z轴,建立空间直 角坐标系,如图所示. 设 ,则A(-1,0,0),D(1,0,t), (0, ,2), , . 设平面 的一个法向量为 , 则 ,取 ,得 . 平面ABC的法向量 , 设平面 与平面ABC的夹角为 , ∴ 由于 ,故 . 即平面 与平面ABC夹角的余弦值的取值范围为 . 4.(2022·全国·长郡中学模拟预测)已知直三棱柱 中,侧面 为正方形, ,E,F分别为 和 的中点,D为棱 上的点. (1)证明: ;(2)当 为何值时,面 与面 所成的二面角的正弦值最小? 【答案】(1)证明见解析;(2) 【详解】(1)[方法一]:几何法 因为 ,所以 . 又因为 , ,所以 平面 .又因为 ,构造正 方体 ,如图所示, 过E作 的平行线分别与 交于其中点 ,连接 , 因为E,F分别为 和 的中点,所以 是BC的中点, 易证 ,则 . 又因为 ,所以 . 又因为 ,所以 平面 . 又因为 平面 ,所以 . [方法二] 【最优解】:向量法 因为三棱柱 是直三棱柱, 底面 , , , ,又 , 平面 .所以 两两垂直. 以 为坐标原点,分别以 所在直线为 轴建立空间直角坐标系,如图., . 由题设 ( ). 因为 , 所以 ,所以 . [方法三]:因为 , ,所以 ,故 , ,所 以 ,所以 . (2)[方法一]【最优解】:向量法 设平面 的法向量为 , 因为 , 所以 ,即 . 令 ,则 因为平面 的法向量为 ,设平面 与平面 的二面角的平面角为 , 则 . 当 时, 取最小值为 , 此时 取最大值为 . 所以 ,此时 . [方法二] :几何法 如图所示,延长 交 的延长线于点S,联结 交 于点T,则平面 平面 . 作 ,垂足为H,因为 平面 ,联结 ,则 为平面 与 平面 所成二面角的平面角. 设 ,过 作 交 于点G. 由 得 .又 ,即 ,所以 . 又 ,即 ,所以 . 所以 . 则 , 所以,当 时, . [方法三]:投影法 如图,联结 , 在平面 的投影为 ,记面 与面 所成的二面角的平面角为 , 则 . 设 ,在 中, . 在 中, ,过D作 的平行线交 于点Q.在 中, . 在 中,由余弦定理得 , , , , , 当 ,即 ,面 与面 所成的二面角的正弦值最小,最小值为 . 题型五:二面角探索性问题 【典例分析】 例题1.(2022·浙江绍兴·一模)在四棱锥 中, , , , . (1)求证: ; (2)若平面 平面 ,二面角 的余弦值为 ,求直线 与平面 所 成角的正弦值. 【答案】(1)证明见解析. (2) . 【详解】(1)证明:如图所示,取 的中点 ,连接 , .依题意可知, , , , 故 , 为正三角形, ,又 , , 平面 , 平面 平面 ,又 平面 , , . (2)依题意平面 平面 ,由(1)可知 ,平面 平面 , 平面 , 则 平面 ,故以 , , 为 , , 轴的正方向建立如图所示的空间直 角坐标系. 设 ,则 , , , , , , , , 设平面 的一个法向量 ,由 ,可得 , 令 ,则 , , , 设平面 的一个法向量 ,由 ,可得 , 令 ,则 , ,则 ,可得平面 的法向量 . 依题意可得 ,解得 ,即 . 即平面 的法向量 , , 设直线 与平面 所成角为 , 则 的正弦值 . 例题2.(2022·四川·成都七中模拟预测(理))如图1,在边长为4的菱形 中, ,点 , 分别是边 , 的中点, , . 沿 将 翻折到 的位置,连接 , , ,得到如图2所示的五棱 锥 . (1)在翻折过程中是否总有平面 平面 ?证明你的结论; (2)当四棱锥 体积最大时,求直线 和平面 所成角的正弦值; (3)在(2)的条件下,在线段 上是否存在一点 ,使得二面角 的平面角的 余弦值为 ?若存在,试确定点 的位置;若不存在,请说明理由. 【答案】(1)总有平面 平面PAG;证明见解析 (2)(3)存在;Q为线段PA的中点. 【详解】(1)在翻折过程中总有平面 平面PAG, 证明如下:∵点M,N分别是边BC,CD的中点,∴ , 又因为菱形ABCD中∠DAB=60°,∴ 是等边三角形, ∵G是MN的中点,∴ , ∵菱形ABCD的对角线互相垂直,∴ ,∴ , ∵ , 平面PAG, 平面PAG, ∴ 平面PAG,∴ 平面PAG,∵ 平面PBD,∴平面 平面PAG. (2)由题意知,四边形MNDB为等腰梯形,且DB=4,MN=2, , 所以等腰梯形MNDB的面积 , 要使得四棱锥P-MNDB体积最大,只要点P到平面MNDB的距离最大即可, ∴当 平面MNDB时,点P到平面MNDB的距离的最大值为 , 此时四棱锥P-MNDB体积的最大值为 , 连接BG,则直线PB和平面MNDB所成角的为∠PBG, 在 中, , ,由勾股定理得: . ∴ . (3)假设符合题意的点Q存在. 以G为坐标原点,GA,GM,GP所在直线分别为x轴、y轴、z轴,建立如图所示空间直 角坐标系, 则 , , , , 因为 平面PMN,故平面PMN的一个法向量为 ,设 ,∵ , , 故 ,∴ , , 平面QMN的一个法向量为 ,则 , , 即 ,令 ,所以 , 即 , 则平面QMN的一个法向量 ,设二面角 的平面角为 , 所以 ,解得: , 故符合题意的点Q存在,且Q为线段PA的中点. 例题3.(2022·江苏·南京外国语学校模拟预测)如图,在三棱柱 中,底 面 是边长为2的正三角形,侧面 是菱形,平面 平面 , , 分别是棱 , 的中点, 是棱 上一点,且 .(1)证明: 平面 ; (2)若三棱锥 的体积为1,且二面角 的余弦值为 ,求 的值. 【答案】(1)证明见解析; (2) . (1) 证明:取 中点 ,连接 为 的中点, 为 的中点, 四边形 为平行四边形, 平面 平面 , 平面 . (2) 解: 平面 平面 过 作 平面 , , 为 中点, ,如图分别以 所在的直线为 轴建立空间直角坐标系, 由 , 设平面 和平面 的一个法向量分别为 , ∴ ,∴ ,设二面角 的平面角为 , . 【提分秘籍】 探索性问题,动点的位置一般可以假设 ,再结合向量加,减法,求解;另外如果动 点在坐标轴上,可以直接假设动点坐标; 【变式演练】 1.(2022·湖北武汉·模拟预测)如图,在四面体 中, 是正三角形, 是 直角三角形, .(1)求证: ; (2)已知点E在棱 上,且 ,设 ,若二面角 的余弦值为 , 求 . 【答案】(1)证明见解析; (2) . (1) 证明:因为 是正三角形,所以 因为 , 公共边,所以 ,所以 , 因为 是直角三角形,所以 , 取 的中点O,连接 , ,则 , , 因为 是正三角形,所以 , 因为 ,所以 平面 , 又因为 平面 ,所以 . (2) 解:在直角 中, , 因为 ,所以 ,所以 , 以O为坐标原点, 为x轴, 为y轴, 为z轴,建立如图所示的空间直角坐标系,则 . 可得平面 的法向量为 设 ,由 ,可得 , 可得 设面 的法向量为 ,则 , 取 ,可得 ,所以 , 则 , 又因为 ,解得 . 2.(2022·江苏扬州·模拟预测)如图所示,已知长方形 中, 为 的中点将 沿 折起,使得 .(1)求证:平面 平面 ; (2)若点 在线段 上,且平面 与平面 所成锐二面角的余弦值为 ,试确定点 的具体位置. 【答案】(1)证明见解析 (2) 为 的中点 (1) 在矩形 中, 为 中点, 又 平面 , 又 平面 平面 平面 . (2) 因为 ,过点 作直线 垂直于平面 ,以点 为原点,建立空间直角坐标系, 如图所示: , 设 , 设 , , ,设平面 的一个法向量 , 而平面 的一个法向量 设平面 与平面 所成锐二面角为 , ,故 为 的中点. 3.(2022·四川省内江市第六中学模拟预测(理))如图, 是边长为6的正三角形, 点E,F,N分别在边AB,AC,BC上,且 , 为BC边的中点,AM交 EF于点 ,沿EF将三角形AEF折到DEF的位置,使 . (1)证明:平面 平面 ; (2)试探究在线段DM上是否存在点 ,使二面角 的大小为 ?若存在,求出 的值;若不存在,请说明理由. 【答案】(1)证明见解析; (2) 时二面角 的大小为 (1)在 中,易得 , , , 由 ,得 , 又 , , , 又 为 中点, , , 因为 , 平面 , 平面 ,又 平面 , 所以平面 平面 ; (2) 由(1) 平面 ,以 为原点,以 为 的正方向建立空间直角坐标 系 , , , , , 由(1)得平面 的法向量为 , 设平面 的法向量为 , , 所以 ,所以 . 由题得,所以 , 所以 ,所以 , 因为二面角P—EN—B的大小为60°, 所以 ,解之得 (舍去)或 . 此时 ,所以 .题型六:点到平面距离问题 【典例分析】 例题1.(2022·浙江台州·模拟预测)如图,在四棱锥 中, , 与 均为等腰直角三角形, , ,且平面 平面 . (1)求证: ; (2)若 ,求点 到平面 的距离. 【答案】(1)证明见解析 (2) 【详解】(1)取 的中点 ,连接 , 与 均为等腰直角三角形, ,, , , , 又 , 平面 , 平面 , 平面 , . (2) 平面 平面 ,平面 平面 , , 平面 , 平面 ,又 , 则以 为坐标原点, 正方向为 轴,可建立如图所示空间直角坐标系, , , , , 又 , , 则 , , , , 设 ,则 , , ,则 , , , , 设平面 的法向量为 , 则 ,令 ,解得: , , ; 点 到平面 的距离 .例题2.(2022·北京·北师大实验中学模拟预测)如图,在三棱锥 中, 平 面 , , , , , 分别是 , , , 的中点, , 与 交于点 , 与 交于点 ,连接 . (1)求证: ; (2)求平面 与平面 所成角的余弦值; (3)求点 到平面 的距离. 【答案】(1)证明见解析; (2) ; (3) . 【详解】(1)因为D,C,E,F分别是AQ,BQ,AP,BP的中点, 所以EF AB,DC AB,所以EF DC. 又因为EF 平面PCD,DC⊂平面PCD, 所以EF 平面PCD. 又因为EF⊂平面EFQ,平面EFQ 平面PCD=GH, 所以EF GH,又因为EF AB,所以AB GH. (2)因为 ,PB⊥平面ABQ,所以BA,BQ,BP两两垂直. 以点B为坐标原点,分别以BA,BQ,BP所在直线为x轴、y轴、z轴建立如图所示的空间直角坐标系. 由 ,则 , 所以 , . 设平面PAB的一个法向量为 ,则可取 设平面PDC的一个法向量为 =(x,y,z), 由 , , 得 ,取z=1,得 =(0,2,1). 所以cos〈 〉= , 所以平面PAB与平面PCD所成角的余弦值为 . (3)由点到平面的距离公式可得 , 即点A到平面PCD的距离为 . 例题3.(2022·天津市滨海新区塘沽第一中学模拟预测)在如图所示的几何体中,四边 形 是正方形,四边形 是梯形, , ,平面 平面,且 . (1)求证: 平面 ; (2)求二面角 的大小; (3)已知点 在棱 上,且异面直线 与 所成角的余弦值为 ,求点 到平面 的距离. 【答案】(1)证明见解析 (2) (3) (1) 证明: 四边形 是正方形, , 平面 , 平面 .所以 平面 . 四边形 是梯形, , 平面 , 平面 ,所以 平面 , 平面 , 平面 , , 平面 平面 , 平面 , 平面 . (2) 以 为原点, 为 轴, 为 轴, 为 轴,建立空间直角坐标系, 则 ,2, , ,0, , ,2, , ,0, ,,2, , ,2, , ,0, , 设平面 的法向量 , , , 则 ,取 ,得 , ,得 ,1, , 设平面 的法向量 , , , 则 ,取 , , ,得 ,1, , 设二面角 的大小为 ,由图形得 为钝角, 则 , 因为 为钝角, , 二面角 的大小为 . (3) 点 在棱 上,且异面直线 与 所成角的余弦值为 ,设 则 , , , , , 解得 ,∴线段 的长为 . 设平面 的法向量 ,因为 , , 则 ,取 ,得 , 又 ,所以 . 【提分秘籍】 点 到平面 的距离 如图,已知平面 的法向量为 , 是平面 内的定点, 是平面 外一点.过点 作平 面 的垂线 ,交平面 于点 ,则 是直线 的方向向量,且点 到平面 的距离就是 在直线 上的投影向量 的长度.【变式演练】 1.(2022·北京东城·三模)如图,在正三棱柱 中, , , 分 别为 , 的中点. (1)证明: 平面 ; (2)求直线 与平面 所成角的大小; (3)线段 上是否存在点 ,使得 ?若存在,求出点 到平面 的距离;若 不存在,说明理由. 【答案】(1)证明见解析 (2) (3)存在,距离为 (1) 证明:取 中点 ,连接 . 因为正三棱柱 ,所以 ,且 . 因为E为线段 的中点, 所以 且 . 所以 且 . 因为D为 中点,所以 . 所以 且 . 所以四边形 是平行四边形. 所以 . 又因为 平面 平面 , 所以 平面 . (2) 解:分别取 中点O, ,连接 .因为 是正三棱柱, 所以 平面 , . 所以 平面 . 所以 . 以O为原点, 所在的直线分别为x轴,y轴,z轴建立空间直角坐标系. 则 . 所以 . 设平面 的法向量为 , 所以 ,即 令 ,解得 ,所以 . 设直线 与平面 所成角为 , ,则 , 所以 . 即直线 与平面 所成角为 . (3) 解:假设存在点G,设 . 所以 . 所以 . 由 知, 若 ,则 . 解得 .即G与C为同一个点. 因为 ,平面 的法向量为 , 所以点G到平面 的距离 . 2.(2022·北京·人大附中模拟预测)如图,三棱柱 中,面 面 , .过 的平面交线段 于点 (不 与端点重合),交线段 于点 . (1)求证:四边形 为平行四边形;(2)若 到平面 的距离为 ,求直线 与平面 所成角的正弦值. 【答案】(1)证明见解析; (2) . (1) 在三棱柱 中, , 平面 , 平面 ,则 平面 , 又平面 平面 , 平面 ,于是得 , 而平面 平面 ,平面 平面 ,平面 平面 , 则 , 所以四边形 为平行四边形. (2) 在平面 内过点A作 ,因平面 平面 ,平面 平面 , 于是得 平面 ,又 ,以点A为原点,建立如图所以的空间直角坐标系, 因 , ,则 , , ,设平面 的法向量 ,则 ,令 ,得 , 点B到平面 的距离 ,解得 , 因此, ,而 ,设直线 与平面 所成角为 , 于是得 , 所以直线 与平面 所成角的正弦值为 . 3.(2022·黑龙江·哈九中模拟预测(理))图1是直角梯形 , , , , , , ,以 为折痕将 折起,使点 到达 的位 置,且 ,如图2. (1)求证:平面 平面 ; (2)若点P为线段 上靠近点 的三等分点,求点 到平面 的距离? 【答案】(1)证明见解析 (2)(1) 在图1中取 中点F,连接 , , ∵ , , ,∴ , , ∵ , , ,∴四边形 为矩形,∴ , ∴ ,又 ,∴ 为等边三角形; 又 ,∴ 为等边三角形; 在图2中,取 中点G,连接 , , ∵ , 为等边三角形,∴ , , ∴ ,又 ,∴ ,∴ , 又 , , 平面 ,∴ 平面 , ∵ 平面 ,∴平面 平面 . (2) 以G为坐标原点, , , 正方向为x,y,z轴,可建立如图所示空间直角坐标系,则 , , , , , ∴ , , , ∵ ,∴ , 设平面 的法向量 , 则 ,令 ,则 ,∴ , ∴ 到平面 的距离为 . 1.(2022·青海·湟川中学一模(理))在各棱长均相等的直三棱柱 中,点M 在 上 ,点N在AC上且 ,则异面直线 与NB所成角的正切值 为( )A. B. C. D. 【答案】B 【详解】设棱长为3,建立如图所示的空间直角坐标系, 则 , , , , ∴ , .设异面直线 与BN所成角为 , 则 ,∴ ,∴异面直线 与BN所成角的 正切值为 . 故选:B. 2.(2022·河南开封·一模(文))如图,在正方体 中,点M,N分别是 , 的中点,则下述结论中正确的个数为( )① ∥平面 ; ②平面 平面 ; ③直线 与 所成的角为 ; ④直线 与平面 所成的角为 . A.1 B.2 C.3 D.4 【答案】C 【详解】建立如下图所示的空间直角坐标系,设该正方体的棱长为 , , 由正方体的性质可知: 平面 ,则平面 的法向量为 , ,因为 ,所以 ,而 平面 , 因此 ∥平面 ,故①对; 设平面 的法向量为 , , , 所以有 , 同理可求出平面 的法向量 ,因为 ,所以 ,因此平面 平面 ,故②正确; 因为 , , 所以 , 因为异面直线所成的角范围为 ,所以直线 与 所成的角为 ,故③正确; 设直线 与平面 所成的角为 , 因为 ,平面 的法向量为 , 所以 , 所以直线 与平面 所成的角不是 ,因此④错误, 一共有 个结论正确, 故选:C 3.(2022·山东·肥城市教学研究中心模拟预测)在正三棱锥 中,底面 是边长 为 正三角形, 是 的中点,若直线 和平面 所成的角为 ,则三棱锥外接球 的表面积为 ( ) A. B. C. D. 【答案】C 【详解】连接 ,AE,过A点作 平面 于 ,则 落在 上,且为 的 重心,所以 为直线 和底面 所成的角,即 .因为 的边长为 ,所以 , . 设三棱锥 外接球的球心为 ,外接球半径为 ,则 在 上,连接 . 在 中, , , ,由勾股定理得, ,即 , 解得 . 所以三棱锥外接球的表面积为 . 故选:C 4.(2022·江西·新余四中模拟预测(理))如图,在正方体 中,E,F分 别为棱 , 的中点,则直线 与 所成角的余弦值为( ) A. B. C. D. 【答案】A 【详解】解:以D为原点,以 , , 的方向分别作为x,y,z轴的正方向,建立 空间直角坐标系 ,设正方体的棱长为2,则 , , , ,所以 , ,所以所求角的余弦值为. 故选:A 5.(2022·河南郑州·二模(理))如图,在长方体ABCD-ABC D 中,AD=AA=1,AB 1 1 1 1 1 =2,点E是棱AB的中点,则点E到平面ACD 的距离为( ) 1 A. B. C. D. 【答案】C 【详解】如图, 以D为坐标原点, ,分别为x轴,y输、z轴正方向建立空间直角坐标系,则.从而 . 设平面 的法向量为 ,则 ,即 ,得 , 令 ,则 ,所以点E到平面 的距离为 . 故选:C 6.(2022·江苏·扬中市第二高级中学模拟预测)在直三棱柱 中,底面是等腰 直角三角形, ,侧棱 ,D,E分别是 与 的中点,点E在平面 ABD上的射影是 的重心G,则点 到平面ABD的距离为( ) A. B. C. D. 【答案】A 【详解】解:如图所示,以 为坐标原点, , , 所在直线分别为 , , 轴, 建立空间直角坐标系, 设 ,则 ,0, , , , , , ,0, , 可得 , , , , 因为点 在平面 上的射影是 的重心, 所以 平面 ,所以 , 即 ,解得 , 即 , 则点 到平面 的距离为 , 是 的中点, 所以 . 故选:A.7.(2022·四川泸州·一模(文))在棱长为1的正方体 中,点M在对角 线 上(点M与A, 不重合),则下列结论中错误的是( ) A.线段 与 的长度始终相等 B.存在点M,使得 ∥平面 C.存在点M,使得直线 与平面 所成角为 D.若N是 上一动点,则 的最小值为 【答案】D 【详解】对A:连接 ,如下所示:因为 ,故△ △ ,故 , 又 ,故△ △ ,故 始终成立,故A正确; 对B:以 为坐标原点,建立如图所示空间直角坐标系: 则 , ,设平面 的一个法向量 , 则 ,即 ,取 ,则 ,故 ; 设点 的坐标为 , ,即 , 解得 ,故 , , 若存在点M,使得 ∥平面 ,则 ,即 , 解得 ,故存在点 为 上靠近 点的三等分点,使得 ∥平面 ,B正确;对C:根据选项B中建立的空间直角坐标系,易知平面 的一个法向量 , 又 , 若直线 与平面 所成角为 , 则 , 解得 (舍)或 ,即存在点 为 上靠近 点的三等分点满足题意,故C正确; 对D:由A可知, ,故 的最小值即为 的最小值; 在平面 中,作 关于 的对称直线 , 点关于直线 的对称点为 ,如下所 示: 故 ,则当且仅当 ,交 于点 时, 取得最小值 ; 在△ 中, ,故 , 则 ,在△ 中, ,故 , 即 的最小值为 ,D错误. 故选:D.8.(2022·浙江嘉兴·模拟预测)如图,在矩形 中, ,E,F,G,H分别 为边 的中点,将 分别沿直线 翻折形成四棱锥 ,下列说法正确的是( ) A.异面直线 所成角的取值范围是 B.异面直线 所成角的取值范围 是 C.异面直线 所成角的取值范围是 D.异面直线 所成角的取值范 围是 【答案】C 【详解】解:建立如图所示空间直角坐标系,由题意得, 和 在平面 中的投影分别在 和 上(如下图所示),因为 ,令 ,则 , 由比值可知, 的x,y,z坐标比值为 ,所以令 坐标为 , 因为 在平面 中的投影在 上,所以 , 同理可得 坐标为 , , 则 , 解得 ,因为 和 的范围均为 , 所以 ,即夹角范围是 ,故A,B错误; 同理可得 ,因为异面直线所成角范 围是 ,则夹角范围是 .即C正确,D错误; 故选:C. 二、多选题 9.(2022·全国·南京外国语学校模拟预测)在直三棱柱 中, ,, 为 的中点,点 是线段 上的点,则下列说法正确的是 ( ) A. B.存在点 ,使得直线 与 所成的角是 C.当点 是线段 的中点时,三棱锥 外接球的表面积是 D.当点 是线段 的中点时,直线 与平面 所成角的正切值为 . 【答案】AD 【详解】易知AB、BC、 两两垂直,如图建立空间直角坐标系 则 所以 , , , 记 因为 ,所以 ,A正确; 因为 记直线 与 所成的角为 ,则 ,因为 ,所以 ,故B错误; 当点 是线段 的中点时,点P坐标为 易知 的外心坐标为 ,故设三棱锥 外接球的球心为 , 则 ,即 ,解得 , 所以三棱锥 外接球的半径 ,表面积 ,C错误; 当点 是线段 的中点时, , 易知 为平面 的一个法向量,记直线 与平面 所成角为 , 则 , 因为 ,所以 , 所以 ,D正确. 故选:AD 10.(2022·江苏省木渎高级中学模拟预测)如图,四棱锥中,底面ABCD是正方形, 平面 ,O,P分别是 的中点,M是棱SD上的动点,则下列选 项正确的是( )A. B.存在点M,使 平面SBC C.存在点M,使直线OM与AB所成的角为30° D.点M到平面ABCD与平面SAB的距离和为定值 【答案】ABD 【详解】以 为坐标原点, 所在直线分别为 轴,建立空间直角坐标系 (如图), 设 , 则 , 由M是棱SD上的动点,设 , , , ,故A正确; 当 为 的中点时, 是 的中位线, 所以 , 又 平面 , 平面 , 所以 平面 ,故B正确;, 若存在点M,使直线OM与AB所成的角为30°, 则 , 化简得 ,方程无解,故C错误; 点M到平面ABCD的距离 , 点M与平面SAB的距离 , 所以点M到平面ABCD与平面SAB的距离和为 ,是定值,故D正确; 故选:ABD 11.(2022·山东烟台·一模)如图,正三棱柱 中,底面ABC是边长为2的等 边三角形, ,D为BC中点,则( )A.直线 平面 B.点 到平面 的距离为 C.异面直线 与 所成角的余弦值为 D.设P,Q分别在线段 , 上,且 ,则PQ的最小值为 【答案】ABD 【详解】解:在正三棱柱 中, 为 的中点,所以 , 如图建立空间直角坐标系,则 , , , , , , ,所以 , , ,设平面 的法向量为 ,则 ,令 ,则 , ,所以 ,因为 ,即 ,又 平面 ,所 以 平面 ,故A正确; 因为 ,所以 ,则点 到平面 的 距离为 ,故B正确; 因为 , ,设直线 与 所成角为 ,则 ,所以异面直线 与 所成角的余弦值为 ,故C错误; 设 ,则 、 ,因为 , , 所以 , ,则 , ,所以 ,所以当 时 有最小值,所以 ,所以 ,故D正确; 故选:ABD 三、填空题 12.(2022·江苏·华罗庚中学三模)如图,在平行六面体 中,AB=AD= 2, , ,点E是AB中点,则异面直线 与DE所成 角余弦值是______. 【答案】 ## 【详解】由题意,AB=AD=2, , 且 , ,, 又 , , , 设异面直线 与DE所成角为 ,则 . 故答案为: 四、解答题 13.(2022·青海·湟川中学一模(理))在三棱柱 中, 平面 , ,点E为AB的中点且 .(1)证明: 平面MEC; (2)P为线段AM上一点,若二面角 的大小为 ,求AP的长. 【答案】(1)证明见解析 (2) 【详解】(1)设CM与BN交于点F,连接EF,由已知可得四边形BCNM是平行四边形, F是BN的中点,E是AB的中点,故 , 又 平面MEC, 平面MEC,故 平面MEC. (2)设 , 平面ABCD,故 平面ABCD, 如图,建立空间直角坐标系, 则 , , ,设 ( ), , .设平面PEC的一个法向量为 ,则 , , 令 ,则 , 平面ADE的一个法向量为 , , 解得 (负值舍去),故AP的长为 . 14.(2022·四川南充·一模(文))在平面五边形ABCDE中(如图1),ABCD是梯形, , , , , 是等边三角形.现将 沿AD折起,连接EB,EC得四棱锥 (如图2)且 . (1)求证:平面 平面ABCD; (2)在棱EB上有点F,满足 ,求二面角 的余弦值. 【答案】(1)证明详见解析 (2) 【详解】(1)依题意,ABCD是梯形, , , , , 是等边三角形. 设 是 的中点,则 三点共线,且折叠后, , ,即 , 由于 平面 ,所以 平面 , 由于 平面 ,所以平面 平面 . (2)由(1)可知 两两相互垂直,以 为原点建立空间直角坐标系如图所示, 平面 的法向量为 , , , , ,设平面 的法向量为 , 则 ,故可设 , 设二面角 为 ,由图可知 为锐角, 所以 . 15.(2022·上海虹口·一模)如图,在三棱柱 中,底面ABC是以AC为斜边的 等腰直角三角形,侧面 为菱形,点 在底面上的投影为AC的中点 ,且 .(1)求证: ; (2)求点 到侧面 的距离; (3)在线段 上是否存在点 ,使得直线DE与侧面 所成角的正弦值为 ?若存 在,请求出 的长;若不存在,请说明理由. 【答案】(1)证明见解析 (2) (3)存在满足条件的点 ,1 【详解】(1)证明:由点 在底面ABC上的投影为AC的中点 ,知 平面ABC, 又 平面ABC,故 , 因 是以AC为斜边的等腰直角三角形,故 , 而 , 平面 , ,故 平面 , 由 平面 ,得 . (2)由点 , 为AC的中点,侧面 为菱形,知 , 由 是以AC为斜边的等腰直角三角形, ,可得 , , 由(1)知直线 , , 两两垂直,故以点 为坐标原点, 直线 , , 分别为x,y,z轴,建立空间直角坐标系,则 , , , , , , , 设平面 的一个法向量为 , 则 ,取 ,得 , 又 ,故点 到平面 的距离为: (3)假设存在满足条件的点E,并 , 则 , 于是,由直线DE与侧面 所成角的正弦值为 , 可得 , 即 ,解得 . 又 ,故 . 因此存在满足条件的点 ,且 .16.(2022·北京市第五中学三模)如图,在三棱柱 中,平面 平面 , 是矩形,已知 ,动点 在棱 上,点 在棱 上,且 . (1)求证: ; (2)若直线 与平面 所成角的正弦值为 ,求 的值; (3)在满足(2)的条件下,求点 到平面 的距离. 【答案】(1)证明见解析; (2) ; (3)点 到平面 的距离为 . (1) 因为四边形 是矩形,所以 , 又 , , 平面 , 所以 平面 ,又 平面 , 所以 , (2) 因为平面 平面 ,平面 平面 ,平面 , , 所以 平面 ,又 , 所以 两两相互垂直,以 为原点, , , 为 , , 轴的正方向建 立空间直角坐标系,则 , , , , 设 ,则 , 所以 , , 设平面 的法向量为 , , 则 , , 取 ,可得 , 设直线 与平面 的夹角为 , 则 , 所以 , 化简可得 ,又 , 所以 ,所以 ;(3) 由(2) 平面 的法向量为 , ,又 , 设点 到平面 的距离为 , 则 . 所以点 到平面 的距离为 . 17.(2022·云南云南·模拟预测)如图,四棱锥 中,底面ABCD是直角梯形, , , . (1)求证: 平面ABCD; (2)设 ,当平面PAM与平面PBD夹角的余弦值为 时,求 的值. 【答案】(1)证明见解析 (2)【详解】(1)取CD的中点E,连接BE, 四边形ABCD为直角梯形, ,且E为CD的中点, 且 ,所以,四边形ABED为矩形, , , , , , 平面 , 平面 , 平面PAD, 平面PAD, , , 平面 , 平面 , 平面ABCD; (2)由(1)可知,PA、AB、AD两两垂直,以点A为坐标原点,分别以AB、AD、AP所在直 线为x、y、z轴建立如下图所示的空间直角坐标系 , 则 , 所以, , 设平面PBD的法向量为 , 由 ,得 , 令 ,得 . ,设平面PAM的法向量为 , 由 ,得 ,令 ,则 , , 由于平面PAM与平面PBD夹角的余弦值为 , 则 ,整理可得 , ,解得 . 18.(2022·北京西城·二模)如图,在三棱柱 中,四边形 是边长为4 的菱形, ,点D为棱AC上动点(不与A,C重合),平面 与棱 交 于点E. (1)求证: ; (2)若 ,从条件①、条件②、条件③这三个条件中选择两个条件作为已知,求直线AB 与平面 所成角的正弦值.条件①:平面 平面 ;条件②: ; 条件③: . 【答案】(1)证明见解析;(2) . 【详解】(1)在三棱柱 中, ,又 面 , 面 , 所以 平面 ,又面 面 , 面 , 所以 . (2)选①②:连接 ,取 中点 ,连接 , . 在菱形 中 ,所以 为等边三角形. 又 为 中点,所以 , 又面 面 ,面 面 , 平面 , 所以 平面 , 平面 , 故 ,又 ,所以 . 以 为原点,以 、 、 为 轴、 轴、 轴建立空间直角坐标系, 则 , , , , . 所以 , .设面 的一个法向量为 ,则 ,令 ,故 . 又 ,设直线 与面 所成角为 ,则 . 所以直线 与平面 所成角的正弦值为 . 选②③:连接 ,取 中点 ,连接 , . 在菱形 中 ,所以 为等边三角形. 又 为 中点,故 ,且 ,又 , . 所以 ,则 . 又 , 面 ,所以 面 , 由 平面 ,故 ,又 ,所以 . 以 为原点,以 、 、 为 轴、 轴、 轴建立空间直角坐标系, 则 , , , , . 所以 , . 设面 的一个法向量为 ,则 ,令 ,故 . 又 ,设直线 与面 所成角为 ,则 . 所以直线 与平面 所成角的正弦值为 .选①③:取 中点 ,连接 , . 在 中,因为 ,所以 ,且 , . 又面 面 ,面 面 , 面 , 所以 平面 ,又 平面 ,所以 . 在 中, ,又 , , 所以 ,则 . 由 , 面 ,则 面 , 由 平面 ,故 ,又 ,所以 . 以 为原点,以 、 、 为 轴、 轴、 轴建立空间直角坐标系, 则 , , , , . 所以 , . 设面 的一个法向量为 ,则 ,令 ,故 . 又 ,设直线 与面 所成角为 ,则 . 所以直线 与平面 所成角的正弦值为 .