当前位置:首页>文档>专题8.8立体几何综合问题2022年高考数学一轮复习讲练测(新教材新高考)(讲)解析版_02高考数学_新高考复习资料_2022年新高考资料

专题8.8立体几何综合问题2022年高考数学一轮复习讲练测(新教材新高考)(讲)解析版_02高考数学_新高考复习资料_2022年新高考资料

  • 2026-04-14 06:32:30 2026-04-14 06:21:03

文档预览

专题8.8立体几何综合问题2022年高考数学一轮复习讲练测(新教材新高考)(讲)解析版_02高考数学_新高考复习资料_2022年新高考资料
专题8.8立体几何综合问题2022年高考数学一轮复习讲练测(新教材新高考)(讲)解析版_02高考数学_新高考复习资料_2022年新高考资料
专题8.8立体几何综合问题2022年高考数学一轮复习讲练测(新教材新高考)(讲)解析版_02高考数学_新高考复习资料_2022年新高考资料
专题8.8立体几何综合问题2022年高考数学一轮复习讲练测(新教材新高考)(讲)解析版_02高考数学_新高考复习资料_2022年新高考资料
专题8.8立体几何综合问题2022年高考数学一轮复习讲练测(新教材新高考)(讲)解析版_02高考数学_新高考复习资料_2022年新高考资料
专题8.8立体几何综合问题2022年高考数学一轮复习讲练测(新教材新高考)(讲)解析版_02高考数学_新高考复习资料_2022年新高考资料
专题8.8立体几何综合问题2022年高考数学一轮复习讲练测(新教材新高考)(讲)解析版_02高考数学_新高考复习资料_2022年新高考资料
专题8.8立体几何综合问题2022年高考数学一轮复习讲练测(新教材新高考)(讲)解析版_02高考数学_新高考复习资料_2022年新高考资料
专题8.8立体几何综合问题2022年高考数学一轮复习讲练测(新教材新高考)(讲)解析版_02高考数学_新高考复习资料_2022年新高考资料
专题8.8立体几何综合问题2022年高考数学一轮复习讲练测(新教材新高考)(讲)解析版_02高考数学_新高考复习资料_2022年新高考资料
专题8.8立体几何综合问题2022年高考数学一轮复习讲练测(新教材新高考)(讲)解析版_02高考数学_新高考复习资料_2022年新高考资料
专题8.8立体几何综合问题2022年高考数学一轮复习讲练测(新教材新高考)(讲)解析版_02高考数学_新高考复习资料_2022年新高考资料
专题8.8立体几何综合问题2022年高考数学一轮复习讲练测(新教材新高考)(讲)解析版_02高考数学_新高考复习资料_2022年新高考资料
专题8.8立体几何综合问题2022年高考数学一轮复习讲练测(新教材新高考)(讲)解析版_02高考数学_新高考复习资料_2022年新高考资料
专题8.8立体几何综合问题2022年高考数学一轮复习讲练测(新教材新高考)(讲)解析版_02高考数学_新高考复习资料_2022年新高考资料
专题8.8立体几何综合问题2022年高考数学一轮复习讲练测(新教材新高考)(讲)解析版_02高考数学_新高考复习资料_2022年新高考资料
专题8.8立体几何综合问题2022年高考数学一轮复习讲练测(新教材新高考)(讲)解析版_02高考数学_新高考复习资料_2022年新高考资料
专题8.8立体几何综合问题2022年高考数学一轮复习讲练测(新教材新高考)(讲)解析版_02高考数学_新高考复习资料_2022年新高考资料
专题8.8立体几何综合问题2022年高考数学一轮复习讲练测(新教材新高考)(讲)解析版_02高考数学_新高考复习资料_2022年新高考资料
专题8.8立体几何综合问题2022年高考数学一轮复习讲练测(新教材新高考)(讲)解析版_02高考数学_新高考复习资料_2022年新高考资料
专题8.8立体几何综合问题2022年高考数学一轮复习讲练测(新教材新高考)(讲)解析版_02高考数学_新高考复习资料_2022年新高考资料
专题8.8立体几何综合问题2022年高考数学一轮复习讲练测(新教材新高考)(讲)解析版_02高考数学_新高考复习资料_2022年新高考资料
专题8.8立体几何综合问题2022年高考数学一轮复习讲练测(新教材新高考)(讲)解析版_02高考数学_新高考复习资料_2022年新高考资料
专题8.8立体几何综合问题2022年高考数学一轮复习讲练测(新教材新高考)(讲)解析版_02高考数学_新高考复习资料_2022年新高考资料
专题8.8立体几何综合问题2022年高考数学一轮复习讲练测(新教材新高考)(讲)解析版_02高考数学_新高考复习资料_2022年新高考资料
专题8.8立体几何综合问题2022年高考数学一轮复习讲练测(新教材新高考)(讲)解析版_02高考数学_新高考复习资料_2022年新高考资料
专题8.8立体几何综合问题2022年高考数学一轮复习讲练测(新教材新高考)(讲)解析版_02高考数学_新高考复习资料_2022年新高考资料
专题8.8立体几何综合问题2022年高考数学一轮复习讲练测(新教材新高考)(讲)解析版_02高考数学_新高考复习资料_2022年新高考资料
专题8.8立体几何综合问题2022年高考数学一轮复习讲练测(新教材新高考)(讲)解析版_02高考数学_新高考复习资料_2022年新高考资料
专题8.8立体几何综合问题2022年高考数学一轮复习讲练测(新教材新高考)(讲)解析版_02高考数学_新高考复习资料_2022年新高考资料
专题8.8立体几何综合问题2022年高考数学一轮复习讲练测(新教材新高考)(讲)解析版_02高考数学_新高考复习资料_2022年新高考资料
专题8.8立体几何综合问题2022年高考数学一轮复习讲练测(新教材新高考)(讲)解析版_02高考数学_新高考复习资料_2022年新高考资料
专题8.8立体几何综合问题2022年高考数学一轮复习讲练测(新教材新高考)(讲)解析版_02高考数学_新高考复习资料_2022年新高考资料
专题8.8立体几何综合问题2022年高考数学一轮复习讲练测(新教材新高考)(讲)解析版_02高考数学_新高考复习资料_2022年新高考资料
专题8.8立体几何综合问题2022年高考数学一轮复习讲练测(新教材新高考)(讲)解析版_02高考数学_新高考复习资料_2022年新高考资料
专题8.8立体几何综合问题2022年高考数学一轮复习讲练测(新教材新高考)(讲)解析版_02高考数学_新高考复习资料_2022年新高考资料
专题8.8立体几何综合问题2022年高考数学一轮复习讲练测(新教材新高考)(讲)解析版_02高考数学_新高考复习资料_2022年新高考资料

文档信息

文档格式
docx
文档大小
2.414 MB
文档页数
33 页
上传时间
2026-04-14 06:21:03

文档内容

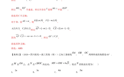
专题8.8 立体几何综合问题 1.会解决简单的立体几何问题. 新课程考试要求 2.会用向量方法证明直线、平面位置关系的有关命题. 3.会用向量方法求解两异面直线所成角、直线与平面所成角、二面角的问题. 核心素养 本节涉及的数学核心素养:数学运算、逻辑推理、直观想象等. (1)立体几何中的动态问题. (2)立体几何中的探索性问题. (3)平面图形的翻折问题. (4)立体几何与传统文化 (5)立体几何新定义问题 (6)利用空间向量证明平行或垂直是高考的热点,内容以解答题中的一问为主,主要 考向预测 围绕考查空间直角坐标系的建立、空间向量的坐标运算能力和分析解决问题的能力命 制试题,以多面体为载体、证明线面(面面)的平行(垂直)关系是主要命题方向.空间 的角与距离的计算(特别是角的计算)是高考热点,一般以大题的条件或一小问形式 呈现,考查用向量方法解决立体几何问题,将空间几何元素之间的位置关系转化为数 量关系,并通过计算解决立体几何问题.距离问题往往在与有关面积、体积的计算中 加以考查.此类问题往往属于“证算并重”题,即第一问用几何法证明平行关系或垂 直关系,第二问则通过建立空间直角坐标系,利用空间向量方法进一步求角或距离. 【考点分类剖析】 考点一 :立体几何中的动态问题 【典例1】(2021·福建高二期末)在棱长为1的正方体 中,点 , 分别足 , ,其中 , ,则( ) A.当 时,三棱锥 的体积为定值 B.当 时,点 , 到平面 的距离相等 C.当 时,存在 使得 平面 D.当 时, 【答案】ABD 【解析】由 即可判断A;当 时,点 是 的中点可判断B;建立空间直角坐标系, 计算 可判断C;设 ,求出所需各点坐标,计算 可判断D,进而可得正确选 项. 【详解】 对于A:当 时, ,此时点 位于点 处, 三棱锥 , 为定值, 点 到面 的距离为 是定值, 所以三棱锥 的体积为定值, 即三棱锥 的体积为定值,故选项A正确; 对于B:当 时,点 是 的中点, 所以点 , 到平面 的距离相等,故选项B正确; 对于C:当 时,点 是 的中点,建立如图所示空间直角坐标系,则 , , , , 可得 , , 所以 , 所以 与 不垂直,所以不存在 使得 平面 , 故选项C不正确; 对于D:设 ,则 , , , 所以 , , 因为 ,所以 , 故选项D正确; 故选:ABD. OA OB OC 【典例2】(2020·四川南充·高三其他(理))已知三条射线 , , 两两所成的角都是60°. M OA N BOC MN OM 6 3 N 点 在 上,点 在 内运动, ,则点 的轨迹长度为( ) 2π 3π 4π 5π A. B. C. D. 【答案】C 【解析】 如图,M MD BOC D D BOC BOD30 过 作 平面 于 ,则 点在 的平分线上, BOC DE BO E ME 在平面 内,作 于 ,连结 , ME  BO 根据三垂线定理,则 cosMOE cosMODcosBOD cos60cosMODcos30 3 cosMOD 3 MN OM 6 3 , 3 ODOM cosMOD6 3 6 , 3 N D BOC FPG FDG 120 点 的轨迹是以 为圆心,6为半径的圆在 内的圆弧 , 120 1 2r 26 4 圆弧FPG的长度为: 360 3 故选:C 【总结提升】 1.立体几何中的动态问题主要包括:空间动点轨迹的判断,求轨迹的长度及动角的范围等. 2.一般是根据线、面垂直,线、面平行的判定定理和性质定理,结合圆或圆锥曲线的定义推断出动点的 轨迹. 【变式探究】 ABCDABC D 1.(2020·河北新华·石家庄二中高三月考(理))如图,正方体 1 1 1 1中,P为底面 ABCD PE AC PAPE, 1ABCD PE AC PAPE, 1 上的动点, 于E,且 则点P的轨迹是( ) A.线段 B.圆 C.椭圆的一部分 D.抛物线的一部分 【答案】A 【解析】 连结 A 1 P ,可证A 1 AP≌A 1 EP ,即 A 1 A A 1 E ,即点E是体对角线 A 1 C 上的定点,直线AE也是定直线.  PA PE   ABCD ,∴动点P必定在线段AE的中垂面 上,则中垂面 与底面 的交线就是动点P的轨迹, 所以动点P的轨迹是线段. 故选:A 2.【多选题】(2021·重庆巴蜀中学高三月考)已知圆台的上下底面的圆周都在半径为2的球面上,圆台 的下底面过球心,上底面半径为 ,设圆台的体积为 ,则下列选项中说法正确的是( ) A.当 时, B.当 在区间 内变化时, 先增大后减小 C. 不存在最大值 D.当 在区间 内变化时, 逐渐减小 【答案】AB 【解析】通过题意得到圆台体积V关于外接球半径r的函数,容易判断A; 利用导数探讨该函数的单调性和最值,可以判断B,C,D. 【详解】 ,对选项 正确; ,设 , 则 在 上单调递减,设 的两根为 ,由韦达定理 知 ,且当 ; 2), 在 单调递增,在 单调递减, 由 , ,使得 ,当 ,即 当 ,即 ,所以 在 单调递增,在 单调递减,则B正确,C,D错误, 故选: . 考点二 : 立体几何中的探索性问题 【典例3】(2021·广东高二期末)如图,在正方体 中, 是棱 的中点. (1)求二面角 的余弦值;(2)在棱 (包含端点)上是否存在点 ,使 平面 ,给出你的结论,并证明. 【答案】(1) ;(2)不存在,证明见解析. 【解析】 (1)以 为正交基底建立直角坐标系,求出相应点的坐标,再求平面 的一个法向量为 和 面 的一个法向量为 ,然后计算法向量夹角的余弦值,即可得二面角 的余弦值; (2) 设 的坐标为 ,若在棱 (包含端点)上存在点 ,使 平面 ,根据 求出 ,再判断即可. 【详解】 (1)解:设正方体的边长为单位长度,建立如图直角坐标系, 则 , , , 所以 , . 设平面 的一个法向量为 , 则 ,即 , 可得平面 的一个法向量为 .又因为平面 的一个法向量为 , 所以 . 所以二面角 的余弦值为 . (2)不存在. 证明:设 的坐标为 , 因为 的坐标为 ,所以 , 若在棱 (包含端点)上存在点 ,使 平面 ,则 , 所以 ,即 ,与 矛盾, 所以棱 (包含端点)上不存在点 ,使 平面 . AC O O PO 【典例4】(2020·全国)如图, 是 的直径,点B是 上与A,C不重合的动点, 平面 ABC . OBP  PAC (1)当点B在什么位置时,平面 平面 ,并证明之; O BC  AP (2)请判断,当点B在 上运动时,会不会使得 ,若存在这样的点B,请确定点B的位置, 若不存在,请说明理由. OB  AC OBP  PAC BC  AP 【答案】(1)当 时,平面 平面 ,证明见解析,(2)不存点B使得 , 理由见解析 【解析】OB  AC OBP  PAC (1)当 时,平面 平面 ,证明如下: OP ABC OP ACP 平面 , 平面 ,  ACP  ABC 平面 平面 , OB AC APC ABC  AC ,平面 平面 , OB PAC 平面 , OB平面OBP, OBP  PAC ∴平面 平面 ; BC  AP (2)假设存在点B,使得 ,  O 点B是 上的动点, BC  AB ,  BC  AP AB AP PAB ABI AP  A 又 , 、 平面 , , BC  PAB 平面 ,  BP平面PAB, BC  BP , OB R 设 , 在RtOPC中,有 PC  OC2 OP2  R2 OP2 , RtOPB PB OB2 OP2  R2 OP2 在 中,有 , BP PC PBC BC  BP 可得 ,故 为锐角,这与 矛盾, BC  AP 故不存点B使得 .ABCABC BB  ABC 【典例5】(2020·全国高二课时练习)如图,在三棱柱 1 1 1中, 1 平面 , AB BC AA  AB  BC 2 , 1 . BC  ABC (1)求证: 1 平面 1 1 ; BC AB (2)求异面直线 1 与 1 所成角的大小; BM 1 ((0,1)) (3)点M 在线段BC上,且 BC ,点N 在线段AB上,若MN∥平面AACC ,求 1 1 1 1 1 AN 1 AB 的值(用含的代数式表示). 1  【答案】(1)证明见解析(2) (3) 3 1 【解析】 ABCABC BB  ABC BB  ABC (1)在三棱柱 1 1 1中,由 1 平面 ,所以 1 平面 1 1 1, BB  BBCC BBCC  ABC BC 又因为 1 平面 1 1,所以平面 1 1 平面 1 1 1,交线为 1 1. AB BC AB  BC AB  BBCC 又因为 ,所以 1 1 1 1,所以 1 1 平面 1 1. BC  BBCC AB  BC 因为 1 平面 1 1,所以 1 1 1 BB  BC 2 BC  BC 又因为 1 ,所以 1 1,AB BC  B BC  ABC 又 1 1 1 1,所以 1 平面 1 1 . BB  ABC AB BC Bxyz (2)由(1)知 1 底面 , ,如图建立空间直角坐标系 , B0,0,0 C2,0,0 A 0,2,2 B 0,0,2 由题意得 , , 1 , 1 . (cid:5) (cid:5) BC 2,0,2 AB 0,2,2 所以 1 , 1 . (cid:5) (cid:5)  (cid:5) (cid:5)  ABBC 1 cos AB,BC  (cid:5)1 1(cid:5)  所以 1 1 |BA ||BC| 2 . 1 1  故异面直线BC与AB所成角的大小为 . 1 1 3 (cid:5) AACC n1,1,0 (3)易知平面 1 1的一个法向量 , BM 1  由 BC ,得M(2,0,22). 1 AN 1  (cid:5) 设 AB ,得N(0,22,22),则MN (2,22,22) 1(cid:5) (cid:5) MN // AACC MNn0 因为 平面 1 1,所以 , AN 1 1 即(2,22,22)(1,1,0)0,解得1,所以 AB . 1 【规律方法】 求解立体几何中探索问题的策略 1.条件探索性问题 (1)先猜后证,即先观察与尝试给出条件再证明; (2)先通过命题成立的必要条件探索出命题成立的条件,再证明其充分性; (3)把几何问题转化为代数问题,探索命题成立的条件. 如本例(2)先根据题意猜测点的位置.再结合证明.一般探索点存在问题,点多为中点或三等分点中的一 个. 2.结论探索性问题 首先假设结论存在,然后在这个假设下进行推理论证,如果通过推理得到了合乎情理的结论,就肯定假设, 如果得到了矛盾的结论,就否定假设. 【变式探究】 ABCDABC D ABCD 1.(2020·四川泸县五中高二开学考试(理))如图,在四棱柱 1 1 1 1中,底面 是正 方形,平面 A 1 DB 1  平面 ABCD ,AD1, AA 1  2 .过顶点D, B 1的平面与棱 BC , A 1 D 1分别交于 M N , 两点.AD DB (Ⅰ)求证: 1; DMBN (Ⅱ)求证:四边形 1 是平行四边形; ADCD DMB C 45 (Ⅲ)若 1 ,试判断二面角 1 的大小能否为 ?说明理由. 45 【答案】(1)证明见解析;(2)证明见解析;(3)不能为 . 【解析】 ADB  ABCD ADB  ABCD CD (1)由平面 1 1 平面 ,平面 1 1 平面 , ADB 且 ADCD ,所以 AD 平面 1 1, DB  ADB AD DB 又 1 平面 1 1,所以 1; D,M,B,N DB (2)依题意 1 都在平面 1上, DM  DB NB  DB 因此 平面 1, 1 平面 1, DM  ABCD NB  ABCD 又 平面 , 1 平面 , ABCD ABCD 平面 与平面 平行,即两个平面没有交点, NB NB 则 DM 与 1不相交,又 DM 与 1共面, DM // NB DN // MB 所以 1,同理可证 1,DMBN 所以四边形 1 是平行四边形; (3)不能.如图,作 CE MB 1交 MB 1于点 E ,延长 CE 交 BB 1于点 F ,连接 DE , ADCD AD AD=D 由 1 , ADCD , 1 , CD ADD A CD BCC B CE MB 所以 平面 1 1,则 平面 1 1,又 1, DE MB DMB C 根据三垂线定理,得到 1,所以 CED 是二面角 1 的平面角, CED=45 CED CE CD1 若 ,则 是等腰直角三角形, , CFB=BEF FBE 90 FBE 90 又 1 1 1 , 所以CFB中,由大角对大边知CF  BC 1, 所以CE CF 1,这与上面CE CD1相矛盾, DMB C 45 所以二面角 1 的大小不能为 . 2.(2021·重庆巴蜀中学高三月考)已知在四棱锥 中,平面 平面 ,且 是正 方形.若 .(1)求四棱锥 的体积; (2)在线段 上是否存在一点 满足:二面角 的余弦值为 ?若存在,请求出 的比值 .若不存在,请说明理由. 【答案】(1) ;(2)存在, . 【解析】 (1)根据条件先求解正方形的边长,再求解四棱锥的高,从而可求体积; (2)先建立空间直角坐标系,求解平面的法向量,利用二面角 的余弦值为 ,求出 ,结合 的范围可得结果. 【详解】 (1)设正方形 的边长为 ,取 的中点 ,连接 . 由平面 平面 , , 则 ,所以 平面 ,则 , 又 ,所以 ,则解出 , 所以体积 . (2)以 为坐标原点,平行于 为 轴正方向, 为 轴正方向, 为 轴正方向, 建立如图所示的空间直角坐标系.设 ,则 , 所以 , 设平面 的法向量 , 由 且 , 所以 且 , 令 ,可得 , 而 为平面 的一个法向量, 所以 ,解得 , 有 或 ,由于点 在线段 上,所以 . ABCD P ABCD 3.(2020·浦东新·上海师大附中高二期中)设四边形 为矩形,点 为平面 外一点,且 PA ABCD PA AB 1 BC 2 平面 ,若 , .PC PAD (1)求 与平面 所成角的正切值; BC G D PAG 2 BG (2)在 边上是否存在一点 ,使得点 到平面 的距离为 ,若存在,求出 的值,若不存 在,请说明理由; E PD △PAB H CH EH HB (3)若点 是 的中点,在 内确定一点 ,使 的值最小,并求此时 的值. 5 【答案】(1) ;(2)存在, 1 ;(3)C、 H 、 E 三点共线, 3 【解析】 PA ABCD CD ABCD CD PA ABCD (1)因为 平面 , 平面 ,所以 ,又因为底面 是矩形,所以 CD AD, CD APD PC APD CPD 所以由线面垂直的判定定理可得: 平面 ,所以 与平面 所成角既为 , 又由题意可得:PD 5,CD1,所以tan∠CPD= . 所以PC与平面PAD所成角的正切值为 . BC DQ AG (2)假设 边上存在一点G满足题设条件,作 ,DQ PAG 则 平面 , DQ  2 BG 12 所以 . , BG 1 PAG 2 故存在点G,当 时,使点D到平面 的距离为 . C' BC  BC' PA ABCD CB ABCD CB PA (3)延长CB到 ,使 ,因为 平面 , 平面 ,所以 , ABCD 又因为底面 是矩形, CB AB 所以 , CB  APB 所以由线面垂直的判定定理可得: 平面 , C' APB 则 是点C关于面 的对称点, C'E APB 连接 ,交面 于H, 则点H是使CH EH 的值最小时,在面APB上的一点.EM  DA C'M 作 于M,则点M是AD的中点,连接 交AB于N,连接HN, AM AN 1   则 BC' NB 2, HN 2  所以 EM 3, 1 EM  又 2, 1 2 2 HN  BN  AB  所以 3,而 3 3, 2 2 1 2 5 HB    所以     . 3 3 3 5 HB 所以 3 . 【总结提升】 与空间角有关的探索性问题的解题策略 与空间角有关的探索性问题主要为与两异面直线所成的角、直线与平面所成的角和二面角有关的存在性问 题,常利用空间向量法求解.求解时,一般把“是否存在”问题转化为“点的坐标是否有解,是否有规定 范围内的解”等问题,并注意准确理解和熟练应用夹角公式. 其步骤是:(1)假设存在(或结论成立);(2)建立空间直角坐标系,设(求)出相关空间点的坐标;(3)构建 有关向量;(4)结合空间向量,利用线面角或二面角的公式求解;(5)作出判断. 考点三 : 平面图形的折叠问题 【典例6】【多选题】(2021·广东高二期末)如图,菱形 边长为 , , 为边 的中点. 将 沿 折起,使 到 ,且平面 平面 ,连接 , .则下列结论中正确的是( ) A. B.四面体 的外接球表面积为 C. 与 所成角的余弦值为 D.直线 与平面 所成角的正弦值为 【答案】BCD 【解析】 根据题意知EB,ED,EA‘两两垂直,建立空间直角坐标系,利用空间向量求得异面直线,线面夹角问题. 【详解】 由题知, 为正三角形, ,将 沿 折起,使 到 ,且平面 平面 ,则 , , 两两垂直,以E点坐标原点,建立如图所示空间直角坐标系, 对于A, , , , , , , 则 ,故 与 不垂直,故A错误; 对于B,取CE的中点F,联结DF,又 ,则 , 过F作 平面CDE,四面体 的外接球球心O在FO上,作 , 设 , ,在 , 中, 有 ,解得 , , 故四面体 的外接球表面积为 ,故B正确; 对于C, , ,设 与 所成角为 , 则 ,故C正确; 对于D, , , , 设平面 的法向量 则 ,取 , 则 , 则 , 故直线 与平面 所成角的正弦值为 ,D正确; 故选:BCD 【典例7】(2021·江苏高二期中)已知梯形 如图1所示,其中 , , ,四边形 是边长为1的正方形,沿 将四边形 折起,使得平面 平面 ,得到如图2所 示的几何体.(1)求证:平面 平面 ; (2)求点F到平面ABE的距离; (3)若点 在线段 上,且 与平面 所成角的正弦值为 ,求线段 的长度. 【答案】(1)证明见解析;(2) ;(3) . 【解析】 (1)证明 , , ,证明 平面 ,然后证明平面 平面 . (2)过点 作 于点 ,说明线段 的长即为点 到平面 的距离,然后转化求解点 到平 面 的距离,即可得出答案. (3)建系如图,求出平面 的法向量,设 , , , ,然后转化求解即可. 【详解】 解(1)∵平面 平面 , 平面 平面 平面 , ,∴ 平面 ∵ 平面 ,∴ ∵四边形 是正方形∴ ∵ 、 平面 , ,∴ 平面 ∵ 平面 ,∴平面 平面 ; (2)过点F作 于点G, 因为平面 平面 ,平面 平面 , 平面 , , 所以 平面 ,又 平面 ,所以 , 又 , , 平面 ,所以 平面 , 所以线段 的长即为点 到平面 的距离,, , , 由 ,得 ,即 , 所以 , 即点 到平面 的距离为 ; (3)如图,以点 为坐标原点,建立空间直角坐标系, 则 , , , , 设平面 的法向量 , ,即 ,可取 设 , ,则 解得 或 (舍) 故 ,∴ .【特别提醒】 解决空间图形的翻折问题时,要从如下几个角度掌握变化规律: 注意:掌握翻折过程中的特殊位置 ①翻折的起始位置;②翻折过程中,直线和平面的平行和垂直的特殊位置. 【变式探究】 1.(2021·贵州凯里一中高三三模(文))如图,在 中, , , 是棱 的中点,以 为折痕把 折叠,使点 到达点 的位置,则当三棱锥 体积最大时,其 外接球的表面积为( ) A. B. C. D. 【答案】D 【解析】在 中,由余弦定理求得 ,再由当 三棱锥 体积最大,把三棱锥 补形为一个长方体,结合长方体求得外接球的半径,利用球的表面积公式,即可求解. 【详解】 在 中,因为 , , 由余弦定理可得 ,所以 , 当 ,即 平面 ,三棱锥 体积最大, 此时 、 、 两两垂直,可把三棱锥补形为一个长方体, 且长方体长、宽、高分别为: ,所以三棱锥 的外接球半径为: , 所以外接球的表面积为: . 故选:D. 2.(2021·重庆八中高三月考)如图1,C,D是以AB为直径的圆上两点,且 , ,将 所在的半圆沿直径AB折起,使得点C在平面ABD上的正投影E在线段BD上,如图2. (1)求证:BC⊥平面ACD; (2)已知O为AB中点,在线段CE上是否存在点F,使得 平面ACD?若存在,求出 的值;若不 存在,请说明理由. 【答案】(1)证明见解析;(2)不存在,理由见解析.【解析】 (1)先证明 面BCD,进而得出 ,再由 证明 平面ADC. (2)建立空间直角坐标系,设 , ,利用向量法证明即可. 【详解】 (1)因为 平面 , 平面 ,所以 因为 , ,所以 平面BCD 因为 平面BCD,所以 又 , ,所以 平面ADC. (2)以O为坐标原点,垂直于AB的方向为x轴正方向,OB为y轴正方向,垂直于面ADB的方向为z轴 正方向 不妨设圆的半径为 ,E为点C在平面ABD上的正投影,所以E在x轴正方向上. 由 ,知 , , , 所以 , , . 设 , 由(1)知 即为平面ACD的法向量, , 若 平面CAD,则 ,即 , ,所以线段CE上不存在点F,使得 平面 CAD. 考点四 : 立体几何与传统文化【典例8】(2020·海南高考真题)日晷是中国古代用来测定时间的仪器,利用与晷面垂直的晷针投射到 晷面的影子来测定时间.把地球看成一个球(球心记为O),地球上一点A的纬度是指OA与地球赤道所在平 面所成角,点A处的水平面是指过点A且与OA垂直的平面.在点A处放置一个日晷,若晷面与赤道所在平 面平行,点A处的纬度为北纬40°,则晷针与点A处的水平面所成角为( ) A.20° B.40° C.50° D.90° 【答案】B 【解析】 画出截面图如下图所示,其中 是赤道所在平面的截线; 是点 处的水平面的截线,依题意可知 ; 是晷针所在直线. 是晷面的截线,依题意依题意,晷面和赤道平面平行,晷针与晷面垂直, 根据平面平行的性质定理可得可知 、根据线面垂直的定义可得 .. 由于 ,所以 , 由于 , 所以 ,也即晷针与点 处的水平面所成角为 . 故选:B【总结提升】 近几年高考命题关于这部分内容的考查,主要是以传统文化、数学文化、现代生活为背景,考查立体几何 的基础知识,涉及三视图、面积体积计算、几何体的几何特征等. 【变式探究】 (2021·全国高三专题练习)古希腊数学家阿波罗尼斯发现:平面上到两定点 、 距离之比 是常数的点的轨迹是一个圆心在直线 上的圆,该圆简称为阿氏圆.根据以上信息,解决下 面的问题:在棱长为2的正方体 中,点 是正方体的表面 (包括边界)上的动点,若 动点 满足 ,则点 所形成的阿氏圆的半径为______;若 是 的中点,且满足 ,则三棱锥 体积的最大值是______. 阿波罗尼奥斯 【答案】 【解析】 在 上取点 ,在 延长线上取点 ,使得 , ,则 是题中阿氏圆上的点,则 是阿氏圆的直径,由此可求得半径,由 可得 , , 即 在上述阿氏圆上,这样当 是阿氏圆与 交点 时, 到平面 距离最大,三棱锥 体积 的最大,由体积公式计算可得. 【详解】 在 上取点 ,在 延长线上取点 ,使得 , ,则 是题中阿氏圆上的点, 由题意 是阿氏圆的直径, ,则 , ,所以 ,∴阿氏圆半径为 ; 正方体中 , 都与侧面 垂直,从而与侧面 内的直线 垂直, 如图 ,则 ,∴ ,即 在上述阿氏圆上, ∵ 的面积是2为定值,因此只要 到平面 距离最大,则三棱锥 体积的最大, 由于 点在阿氏圆上,当 是阿氏圆与 交点 时, 到平面 距离最大, 此时 ,因此 , , 三棱锥 体积的最大值为 . 故答案为: ; . 考点五 :立体几何中的新定义问题【典例9】(2021·全国高三零模)北京大兴国际机场的显著特点之一是各种弯曲空间的运用.刻画空间的 弯曲性是几何研究的重要内容.用曲率刻画空间弯曲性,规定:多面体顶点的曲率等于 与多面体在该 点的面角之和的差(多面体的面的内角叫做多面体的面角,角度用弧度制),多面体面上非顶点的曲率均 为零,多面体的总曲率等于该多面体各顶点的曲率之和.例如:正四面体在每个顶点有3个面角,每个面 角是 ,所以正四面体在各顶点的曲率为 ,故其总曲率为 . (1)求四棱锥的总曲率; (2)若多面体满足:顶点数-棱数+面数 ,证明:这类多面体的总曲率是常数. 【答案】(1) ;(2)证明见解析. 【解析】 (1)四棱锥的总曲率等于四棱锥各顶点的曲率之和,写出多边形表面的所有内角即可.(2)设顶点数、棱 数、面数分别为 、 、 ,设第 个面的棱数为 ,所以 ,按照公式计算总曲率即可. 【详解】 (1)由题可知:四棱锥的总曲率等于四棱锥各顶点的曲率之和. 可以从整个多面体的角度考虑,所有顶点相关的面角就是多面体的所有多边形表面的内角的集合.由图可知:四棱锥共有5个顶点,5个面,其中4个为三角形,1个为四边形. 所以四棱锥的表面内角和由4个为三角形,1个为四边形组成, 则其总曲率为: . (2)设顶点数、棱数、面数分别为 、 、 ,所以有 设第 个面的棱数为 ,所以 所以总曲率为: 所以这类多面体的总曲率是常数. 【总结提升】精读题干,理解新定义是解题的关键. 【变式探究】 (2021·全国高三专题练习)设P为多面体M的一个顶点,定义多面体M在点P处的离散曲率为 ,其中Q(i=1,2,…,k,k≥3)为多面体M的所有 i 与点P相邻的顶点,且平面QPQ,平面QPQ,…,平面Q PQ 和平面QPQ 遍历多面体M的所有以P 1 2 2 3 k﹣1 k k 1 为公共点的面.(1)如图1,已知长方体ABC D﹣ABCD,AB=BC=1, ,点P为底面ABC D 内的一个动点, 1 1 1 1 1 1 1 1 则求四棱锥P﹣ABCD在点P处的离散曲率的最小值; (2)图2为对某个女孩面部识别过程中的三角剖分结果,所谓三角剖分,就是先在面部取若干采样点,然 后用短小的直线段连接相邻三个采样点形成三角形网格.区域α和区域β中点的离散曲率的平均值更大的 是哪个区域?(确定“区域α”还是“区域β”) 【答案】(1) ;(2)区域β. 【解析】 (1)计∠QPQ+∠QPQ+…+∠QPQ=θ,则离散曲率为1﹣ ,θ越大离散曲率越小.由四棱锥的性 1 2 2 3 n 1 质求得θ= ,可求得四棱锥P﹣ABCD在点P处的离散曲率的最小值; (2)区域β比区域α更加平坦,所以θ更大,离散曲率更小.可得答案. 【详解】 (1)计∠QPQ+∠QPQ+…+∠QPQ=θ,则离散曲率为1﹣ ,θ越大离散曲率越小. 1 2 2 3 n 1 P在底面ABCD的投影记为H,通过直观想象,当H点在平面ABCD中逐渐远离正方形ABCD的中心,以 至于到无穷远时,θ逐渐减小以至于趋近于0.所以当H点正好位于正方形ABCD的中心时,θ最大,离散 曲率最小.此时HA=HB= =PH,所以PA=PB=1=AB,所以∠APB=60°,θ= , 离散曲率为1﹣ × = ,所以四棱锥P﹣ABCD在点P处的离散曲率的最小值为 ; (2)区域β比区域α更加平坦,所以θ更大,离散曲率更小. 所以区域α和区域β中点的离散曲率的平均值更大的是区域β.