当前位置:首页>文档>专题8极值点偏移问题(原卷版)_02高考数学_新高考复习资料_2024年新高考资料_专项复习资料_学霸养成2024高考数学压轴大题必杀技系列·导数

专题8极值点偏移问题(原卷版)_02高考数学_新高考复习资料_2024年新高考资料_专项复习资料_学霸养成2024高考数学压轴大题必杀技系列·导数

  • 2026-04-14 06:24:19 2026-04-14 06:24:19

文档预览

专题8极值点偏移问题(原卷版)_02高考数学_新高考复习资料_2024年新高考资料_专项复习资料_学霸养成2024高考数学压轴大题必杀技系列·导数
专题8极值点偏移问题(原卷版)_02高考数学_新高考复习资料_2024年新高考资料_专项复习资料_学霸养成2024高考数学压轴大题必杀技系列·导数
专题8极值点偏移问题(原卷版)_02高考数学_新高考复习资料_2024年新高考资料_专项复习资料_学霸养成2024高考数学压轴大题必杀技系列·导数
专题8极值点偏移问题(原卷版)_02高考数学_新高考复习资料_2024年新高考资料_专项复习资料_学霸养成2024高考数学压轴大题必杀技系列·导数
专题8极值点偏移问题(原卷版)_02高考数学_新高考复习资料_2024年新高考资料_专项复习资料_学霸养成2024高考数学压轴大题必杀技系列·导数
专题8极值点偏移问题(原卷版)_02高考数学_新高考复习资料_2024年新高考资料_专项复习资料_学霸养成2024高考数学压轴大题必杀技系列·导数
专题8极值点偏移问题(原卷版)_02高考数学_新高考复习资料_2024年新高考资料_专项复习资料_学霸养成2024高考数学压轴大题必杀技系列·导数
专题8极值点偏移问题(原卷版)_02高考数学_新高考复习资料_2024年新高考资料_专项复习资料_学霸养成2024高考数学压轴大题必杀技系列·导数
专题8极值点偏移问题(原卷版)_02高考数学_新高考复习资料_2024年新高考资料_专项复习资料_学霸养成2024高考数学压轴大题必杀技系列·导数
专题8极值点偏移问题(原卷版)_02高考数学_新高考复习资料_2024年新高考资料_专项复习资料_学霸养成2024高考数学压轴大题必杀技系列·导数
专题8极值点偏移问题(原卷版)_02高考数学_新高考复习资料_2024年新高考资料_专项复习资料_学霸养成2024高考数学压轴大题必杀技系列·导数
专题8极值点偏移问题(原卷版)_02高考数学_新高考复习资料_2024年新高考资料_专项复习资料_学霸养成2024高考数学压轴大题必杀技系列·导数
专题8极值点偏移问题(原卷版)_02高考数学_新高考复习资料_2024年新高考资料_专项复习资料_学霸养成2024高考数学压轴大题必杀技系列·导数
专题8极值点偏移问题(原卷版)_02高考数学_新高考复习资料_2024年新高考资料_专项复习资料_学霸养成2024高考数学压轴大题必杀技系列·导数
专题8极值点偏移问题(原卷版)_02高考数学_新高考复习资料_2024年新高考资料_专项复习资料_学霸养成2024高考数学压轴大题必杀技系列·导数
专题8极值点偏移问题(原卷版)_02高考数学_新高考复习资料_2024年新高考资料_专项复习资料_学霸养成2024高考数学压轴大题必杀技系列·导数
专题8极值点偏移问题(原卷版)_02高考数学_新高考复习资料_2024年新高考资料_专项复习资料_学霸养成2024高考数学压轴大题必杀技系列·导数
专题8极值点偏移问题(原卷版)_02高考数学_新高考复习资料_2024年新高考资料_专项复习资料_学霸养成2024高考数学压轴大题必杀技系列·导数
专题8极值点偏移问题(原卷版)_02高考数学_新高考复习资料_2024年新高考资料_专项复习资料_学霸养成2024高考数学压轴大题必杀技系列·导数
专题8极值点偏移问题(原卷版)_02高考数学_新高考复习资料_2024年新高考资料_专项复习资料_学霸养成2024高考数学压轴大题必杀技系列·导数
专题8极值点偏移问题(原卷版)_02高考数学_新高考复习资料_2024年新高考资料_专项复习资料_学霸养成2024高考数学压轴大题必杀技系列·导数
专题8极值点偏移问题(原卷版)_02高考数学_新高考复习资料_2024年新高考资料_专项复习资料_学霸养成2024高考数学压轴大题必杀技系列·导数
专题8极值点偏移问题(原卷版)_02高考数学_新高考复习资料_2024年新高考资料_专项复习资料_学霸养成2024高考数学压轴大题必杀技系列·导数
专题8极值点偏移问题(原卷版)_02高考数学_新高考复习资料_2024年新高考资料_专项复习资料_学霸养成2024高考数学压轴大题必杀技系列·导数
专题8极值点偏移问题(原卷版)_02高考数学_新高考复习资料_2024年新高考资料_专项复习资料_学霸养成2024高考数学压轴大题必杀技系列·导数
专题8极值点偏移问题(原卷版)_02高考数学_新高考复习资料_2024年新高考资料_专项复习资料_学霸养成2024高考数学压轴大题必杀技系列·导数
专题8极值点偏移问题(原卷版)_02高考数学_新高考复习资料_2024年新高考资料_专项复习资料_学霸养成2024高考数学压轴大题必杀技系列·导数
专题8极值点偏移问题(原卷版)_02高考数学_新高考复习资料_2024年新高考资料_专项复习资料_学霸养成2024高考数学压轴大题必杀技系列·导数
专题8极值点偏移问题(原卷版)_02高考数学_新高考复习资料_2024年新高考资料_专项复习资料_学霸养成2024高考数学压轴大题必杀技系列·导数
专题8极值点偏移问题(原卷版)_02高考数学_新高考复习资料_2024年新高考资料_专项复习资料_学霸养成2024高考数学压轴大题必杀技系列·导数

文档信息

文档格式
docx
文档大小
1.375 MB
文档页数
26 页
上传时间
2026-04-14 06:24:19

文档内容

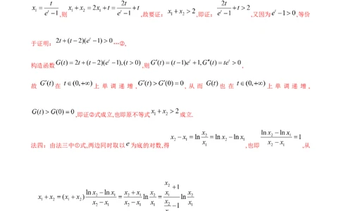
专题 8 极值点偏移问题 一、考情分析 函数与导数一直是高考中的热点与难点, 近几年高考试卷及各地模拟试卷中常出现与函数极值点偏移有 关的函数与不等式问题(如2022高考全国卷甲理22),已知函数 是连续函数,在区间 内 有且只有一个极值点 ,且 ,若极值点左右的“增减速度”相同,常常有极值点 ,我 们称这种状态为极值点不偏移;若极值点左右的“增减速度”不同,函数的图象不具有对称性,常常有极值 点 的情况,我们称这种状态为“极值点偏移”.此类问题背景新颖,教材中又没有涉及,不少同 学望而生畏,本专题给出此类问题的常用解法,共同学们参考. 二、解题秘籍 (一) 通过对称化构造新函数破解极值点偏易问题 【以例及类】已知函数 . (1)求函数 的单调区间; (2)已知函数 的图像与 的图像关于直线 对称,证明:当 时, ; (3)如果 ,且 ,证明: . 【分析】(1)由 可得 在 上递增,在 上递减; (2) ,构造函数 , ,由 单调性可 得 时 ; (3)假设 ,由(2)得 ,即 ,由 在 上递增,可得. 该题的三问由易到难,层层递进,完整展现了处理极值点偏移问题的一般方法——对称化构造的全过程,直观 展示如下: 该题是这样一个极值点偏移问题:对于函数 ,已知 , ,证明 . 再次审视解题过程,发现以下三个关键点: ① , 的范围 ; ②不等式 ; ③将 代入(2)中不等式,结合 的单调性获证结论. 小结:用对称化构造的方法求解极值点偏移问题大致分为以下三步: ①求导,获得 的单调性,极值情况,作出 的图像,由 得 , 的取值范围(数形结 合); ②构造辅助函数(对结论 ,构造 ;对结论 ,构造 ),求导,限定范围( 或 的范围),判定符号,获得不等式; ③代入 (或 ),利用 及 的单调性证明最终结论. 下面给出第(3)问的不同解法 【解析】法一: ,易得 在 上单调递增,在 上单调递减, 时, , , 时, , 函数 在 处取得极大值 ,且 ,如图所 示.由 ,不妨设 ,则必有 , 构造函数 , 则 ,所以 在 上单调递增, ,也 即 对 恒成立. 由 ,则 , 所 以 , 即 , 又 因 为 ,且 在 上单调递减, ,即证 所以 法二:欲证 ,即证 ,由法一知 ,故 ,又因为 在 上单调递减,故只需证 ,又因为 , 故也即证 ,构造函数 ,则等价于证明 对 恒成立. 由 ,则 在 上单调递增,所以 ,即已证明 对 恒成立,故原不等式 亦成立. 法三:由 ,得 ,化简得 …, 不妨设 ,由法一知, .令 ,则 ,代入式,得 ,反解出 ,则 ,故要证: ,即证: ,又因为 ,等价 于证明: …, 构造函数 ,则 , 故 在 上 单 调 递 增 , , 从 而 也 在 上 单 调 递 增 , ,即证式成立,也即原不等式 成立. 法四:由法三中式,两边同时取以 为底的对数,得 ,也即 ,从 而 , 令 ,则欲证: ,等价于证明: …, 构造 ,则 ,又令 ,则 ,由于 对 恒 成立,故 , 在 上单调递增,所以 ,从而 ,故 在 上 单 调 递 增 , 由 洛 比 塔 法 则 知 : ,即证 即证式成立,也即原不 , 等式 成立. 【例1】(2023届贵州省威宁彝族回族苗族自治县高三数学样卷)已知函数 . (1)当 时, ,求 的取值范围. (2)若函数 有两个极值点 ,证明: . 【解析】(1)当 时, 在 恒成立, 令 , , 则 , 函数 在 上单调递减, , , 的取值范围是 . (2)函数 , .则 , 函数 有两个极值点 , , 有两个正实数解 方程 有两个正实数解 函数 与函数 , 的图象有两个交点. ,令 ,解得 , 当 时 ,则 单调递增,当 时 ,则 单调递减, 函数 的极大值即最大值为 . 又 时 ,且当 时, ,又 , . 不妨设 , 要证明 , . 令 , , . 所以 , 当且仅当 ,即 时取等号, 函数 在 单调递增,, ,即 , 因此 成立. (二) 含参函数问题可考虑先消去参数 含参数的极值点偏移问题,在原有的两个变元 的基础上,又多了一个参数,故思路很自然的就会想到:想 尽一切办法消去参数,从而转化成不含参数的问题去解决;或者以参数为媒介,构造出一个变元的新的函数. 由于可导函数 的极值点是 的零点,也是方程 的实根,所以有些与零点或方程实根有关 的问题可以利用求解极值点偏移问题的方法去解决. 【一题多解】已知函数 , 为常数,若函数 有两个零点 , 试证明: 【分析】法一:消参转化成无参数问题: , 是方程 的两根,也是方 程 的两根,则 是 ,设 ,则 ,从而 , ,此问题等价转化成为【例1】,下略. 法二:利用参数 作为媒介,换元后构造新函数: 不妨设 , ∵ ,∴ , ∴ ,欲证明 ,即证 . ∵ ,∴即证 ,∴ 原 命 题 等 价 于 证 明 , 即 证 : , 令 , 构 造 ,利用 单调性求解,下略. 法三:直接换元构造新函数: 设 , 则 , 反解出: , 故 ,转化成法二,略. 【例2】(2024届浙江省名校协作体高三上学期联考)函数 有两个极值点 .其中 , 为自然对数的底数. (1)求实数 的取值范围; (2)若 恒成立,求 的取值范围. 【解析】(1)由于 , 由题知 有两个不同实数根,即 有两个不同实数根. 令 ,则 ,解得 ,故 在 上单调递增,在 上单调 递减,且 时, , 时, , ,故 的图象如图所示,当 时, 有两个零点 且 .则 或 ,故 在 上单 调递增,在 上单调递减,在 上单调递增, 的极大值点为 ,极小值点为 . 故 有两个极值点时,实数 的取值范围为 . (2)由于 若设 ,则上式即为 由(1)可得 ,两式相除得 ,即 , 由 得 所以 ,令 , 则 在 恒成立,由于 , 令 ,则 , , 显然 在 递增, 又有 ,所以存在 使得 ,且易得 在 递减, 递增,又有 , 所以存在 使得 ,且易得 在 递减, 递增, 又 ,则 时, 时, ,所以易得 在 上 递减,在 上递增,则 , 所以 的取值范围为 . (三) 对数平均不等式 两个正数 和 的对数平均定义: 对数平均与算术平均、几何平均的大小关系: (此式记为对数平均不等式) 取等条件:当且仅当 时,等号成立. 【例3】设函数 其图象与 轴交于 两点,且 . (1)求实数 的取值范围; (2)证明: 为函数 的导函数); 【分析】(1) , 当 时, 在R上恒成立,不合题意 , 当 时, 当 ,即 时, 至多有一个零点,不合题意,故舍去; ,即 时,由 ,且 在 内单调递减,故 在 有且只有一 当 个零点;由令 ,则 ,故 所以 ,即在 有且只有一个零点. 由(1)知, 在 内递减,在 内递增,且 (2) 所以 ,因为 , ,即 ,所以 ,要证: ,只须证 ,即 所以 , , 故 所以 ,所以 因为 ,所以 ,而 成立,所以 所以 【评注】根据对数平均不等式求解的步骤是: 1.通过等式两边同取自然对数或相减等配凑出 , 2.通过等式两边同除以 构建对数平均数 , 3.利用对数平均不等式将 转化为 后再证明 (或 ). 两种方法 各有优劣,适用的题型也略有差异. (四) 一题多解赏析 4】已知 , .若 有两个极值点 , ,且 ,求证: 【例【分析】解法一 欲证 ,需证 . 若 有两个极值点 , ,即函数 有两个零点.又 ,所以, , 是方程 的两个不同实根. 于是,有 ,解得 . 另一方面,由 ,得 , 从而可得, . 于是, . 又 ,设 ,则 .因此, , . 要证 ,即证: , .即:当 时,有 .构造函数 , ,利用 为 上的增函数求解. 解法二 欲证 ,需证 .若 有两个极值点 , ,即函数 有两个零点.又 ,所以, , 是方程 的两个不同实根.显然 ,否则,函数 为单调函数, 不符合题意.由 ,问题转化为证明 ,构造函数 函数 ,根据 在 上递增,可得 =0, 所以 ,设 ,由 在 上递增可证. 解法三 由 , 是方程 的两个不同实根得 ,令 , ,由于 ,因此, 在 , . 设 ,需证明 ,只需证明 ,只需证明 ,即 ,即 .来源: 微信公众号 中学数学研讨部落 即 , ,故 在 ,故 ,即 .令 ,则 ,因为 , , 在 ,所以 ,即 . 解法四设 , ,则由 得 ,设 , 则 , .欲证 ,需证 ,把 代入整理得 ,构造 证明. 设 , ,则由 得 ,设 , 则 , .欲证 ,需证 ,即只需证明 ,即 ,设 , ,故 在 ,因此 ,命题得证. (五) 2022届高考全国卷甲理22题解析 极值点偏移问题前几年高考曾经考查过,2022年高考全国卷甲理再次考查极值点偏移问题,该题有一定难 度,但用前面介绍的方法可以轻易解决,下面给出两种解法,共同学们参考: 【例5】已知函数 . (1)若 ,求a的取值范围; (2)证明:若 有两个零点 ,则 . 【解析】解法一:(1)因为 , 令 ,得 当 单调递减;当 单调递增, 所以 , 若 ,则 ,即 , 所以 的取值范围为 . (2)由(1)知, 单调递减;当 单调递增, 若 有两个零点 ,则一个零点小于1,一个零点大于1,不妨设 要证 ,即证 , 因为 ,即证 ,因为 ,即证 即证 , 即证 , 下面证明 时, , 设 ,则 , 设 , 所以 ,而 , 所以 ,所以 , 所以 在 单调递增 即 ,所以 令 , 所以 在 单调递减, 即 ,所以 ; 综上, ,所以 . 解法二: (1)因为 ,设 ,则 , 所以 时 , 递减, 时 , 递增, , 设 ,则 为增函数, , 若 ,则 ,即 , 所以 的取值范围为 . (2)由(1)知 有两个零点 ,则方程 有两个实根 , 因为 时 递减, 时 递增, 不妨设 , 由 得 , 所以要证 ,即证 ,即证 , 即证 , 设 ,即证 , 设 ,则 , 所以 为增函数, , 所以 成立.三、典例展示 【例1】(2024届四川省广安友谊中学高三上学期9月月考)已知函数 (1)讨论函数 的单调性; (2)若不等式 有解,求实数t的取值范围; (3)若函数 有两个零点x,x,证明: . 1 2 【解析】(1) , 单调递增; 单调递减; (2) 有解, 所以 , , , 单调递增, 单调递减; 单调递增; 所以 , 所以 . (3) 有两个零点x,x, 1 2 有两个根x,x, 不妨设 ,由(1)可知两根也是 与 的两个交点, 1 2且 , ,于是 ,由于 在 单调递减,故 等价于 . 而 ,故 等价于 .① 设 ,则①式为 . 因为 . 设 , 当 时, ,故 在 单调递增, 所以 ,从而 ,因此 在 单调递增. 又 ,故 ,故 ,于是 . 【例2】(2024届浙江省名校协作体高三上学期7月适应性考试)已知函数 有两个零 点 . (1)证明: ; (2)求证:① ;② . 【解析】(1)由 ,当 时 , 时 , 所以 在 上单调递减,在 上单调递增,则 , 所以 , 当 时 , ,所以 , 若 ,即 时,则 时 ,此时 在 上不存在零点, 要使 有两个零点,故 .(2)①要证 ,不妨设 ,则证 , 因为 在 上单调递增,即证 , 令 , ,则 , 所以 在 单调递增,所以 ,即 ,得证; ②引理1:当 时 : 证明:当 时 ,得证. 利用引理1: ,所以 ①, 引理2: : 证明:令 , 则 ,当 时 , 时 , 所以 在 上单调递减,在 上单调递增,所以 , 利用引理2,因为 ,所以 , 所以 ,所以 ②, 由①,②知: . 【例3】(2023届江苏省常州市高三上学期期末)已知函数 . (1)讨论函数 的单调性; (2)若 存在两个零点 , ,求a的取值范围,并证明: . 【解析】(1)因为函数的定义域为 , , 当 时, , 在 上递增;当 时,由 得, , 时, , 递增; 时, , 递减. 综上,当 时, 在 上递增; 当 时, 在 上递增,在 上递减. (2)由(1)知, 且 ,解得 , 当 时, ,所以 在 上存在唯一零点,记为 ; 因为 ,所以 ,因为 , 设 , ,则 , 所以 在 上递减, 所以 ,即 , 所以 在 上存在唯一零点,记为 , 因为a的取值范围是 . 因为 ,令 , 则 ,得 , 所以 , 要证 ,只要证 ,只要证 ,设 , , 则 ,所以 在 上递增, 所以 ,得证. 【例4】(2023届江西省九江第一中学高三上学期12月月考)已知函数 有两个极值点 , . (1)求 的取值范围; (2)证明: . 【解析】(1) , 有两个极值点 , ,则 在 上有两个实数根 , , 所以 在 上有两个实数根 , , 则 解得 , 故 的取值范围为 , (2)由(1)知 ,且 , , 令 , ,令 在 上恒成立, 所以 在 单调递减,故 , 因此 在 单调递减,故 , 故 ,得证. 【例5】(2023届广东省高三上学期第一次联考)已知函数 , . (1)若 ,判断函数 的单调性; (2)若函数 的导函数 有两个零点 ,证明: . 【解析】 (1)若 ,则 , 所以 , 由 ,得 ; 由 ,得 . 所以 在 上单调递增,在 上单调递减. (2)因为函数 ,所以 , 所以 . 若函数 有两个零点 , 则方程 的判别式 , , 所以 . 又 ,所以 ,即 ,, 欲证 ,只需证 , 即证 . 设 ,其中 , 由 ,得 . 因为 ,所以 , 由 得 ;由 得 . 所以 在 上单调递增,在 上单调递减, 所以 的最大值为 , 从而 成立. 四、跟踪检测 1.(2023届河北省部分高中高三三模)已知函数 . (1)当 时,讨论函数 的单调性; (2)若 为函数 的导函数, 有两个零点 . (ⅰ)求实数 的取值范围;(ⅱ)证明: . 2.(2023届云南师大附中高考适应性月考)已知函数 ,且 , . (1)讨论 的单调性; (2)若 ,函数 有三个零点 , , ,且 ,试比较 与2的大 小,并说明理由. 3.(2024届四川省绵阳市高中高三突击班诊断性考试)已知函数 在其定 义域内有两个不同的极值点. (1)求 的取值范围; (2)记两个极值点为 ,且 . 若 ,证明: . 4.(2023届海南省海口市海南华侨中学高三模拟测试)已知函数 ( )有两个零点. (1)求实数 的取值范围; (2)设函数 的两个零点分别为 , ,证明: . 5.(2023届湖南省常德市第一中学高三下学期5月月考)已知函数 (1)求 的单调区间; (2)若存在实数 ,使得方程 有两个不相等的实数根 ,求证: 6.(2023届北京市通州区高三考前查漏补缺)已知函数 (1)已知f(x)在点(1,f(1))处的切线方程为 ,求实数a的值; (2)已知f(x)在定义域上是增函数,求实数a的取值范围. (3)已知 有两个零点 , ,求实数a的取值范围并证明 . 7.(2023届安徽省皖江名校高三最后一卷)已知函数 有两个极值点 ,且. (1)求 的取值范围; (2)若 ,证明: 8.(2024届山东省新高考质量检测联盟高三第一次质量检测)已知函数 有三个 零点. (1)求 的取值范围; (2)设函数 的三个零点由小到大依次是 .证明: . 9.(2023届海南省海口市等5地高三上学期12月期末)已知函数 (1)求 的单调区间; (2)若函数 有两个不同的零点 , ,证明: . 10.(2023届江苏省镇江中学高三三模)已知函数 . (1)若 有两个极值点 .求实数 的取值范围. (2)在(1)的条件下,求证: . 11.(2023届福建省宁德市五校教学联合体高三下学期3月质量监测)已知函数 ,其中 为实数, 为自然对数底数, . (1)已知函数 , ,求实数 取值的集合; (2)已知函数 有两个不同极值点 、 ,证明