当前位置:首页>文档>专题9.2椭圆方程与性质(原卷版)_02高考数学_新高考复习资料_2024年新高考资料_一轮复习资料_2024年高考数学一轮复习《考点•题型•技巧》精讲与精练高分突破系列(新高考专用)

专题9.2椭圆方程与性质(原卷版)_02高考数学_新高考复习资料_2024年新高考资料_一轮复习资料_2024年高考数学一轮复习《考点•题型•技巧》精讲与精练高分突破系列(新高考专用)

  • 2026-04-14 09:45:56 2026-04-14 06:37:31

文档预览

专题9.2椭圆方程与性质(原卷版)_02高考数学_新高考复习资料_2024年新高考资料_一轮复习资料_2024年高考数学一轮复习《考点•题型•技巧》精讲与精练高分突破系列(新高考专用)
专题9.2椭圆方程与性质(原卷版)_02高考数学_新高考复习资料_2024年新高考资料_一轮复习资料_2024年高考数学一轮复习《考点•题型•技巧》精讲与精练高分突破系列(新高考专用)
专题9.2椭圆方程与性质(原卷版)_02高考数学_新高考复习资料_2024年新高考资料_一轮复习资料_2024年高考数学一轮复习《考点•题型•技巧》精讲与精练高分突破系列(新高考专用)
专题9.2椭圆方程与性质(原卷版)_02高考数学_新高考复习资料_2024年新高考资料_一轮复习资料_2024年高考数学一轮复习《考点•题型•技巧》精讲与精练高分突破系列(新高考专用)
专题9.2椭圆方程与性质(原卷版)_02高考数学_新高考复习资料_2024年新高考资料_一轮复习资料_2024年高考数学一轮复习《考点•题型•技巧》精讲与精练高分突破系列(新高考专用)
专题9.2椭圆方程与性质(原卷版)_02高考数学_新高考复习资料_2024年新高考资料_一轮复习资料_2024年高考数学一轮复习《考点•题型•技巧》精讲与精练高分突破系列(新高考专用)
专题9.2椭圆方程与性质(原卷版)_02高考数学_新高考复习资料_2024年新高考资料_一轮复习资料_2024年高考数学一轮复习《考点•题型•技巧》精讲与精练高分突破系列(新高考专用)
专题9.2椭圆方程与性质(原卷版)_02高考数学_新高考复习资料_2024年新高考资料_一轮复习资料_2024年高考数学一轮复习《考点•题型•技巧》精讲与精练高分突破系列(新高考专用)
专题9.2椭圆方程与性质(原卷版)_02高考数学_新高考复习资料_2024年新高考资料_一轮复习资料_2024年高考数学一轮复习《考点•题型•技巧》精讲与精练高分突破系列(新高考专用)
专题9.2椭圆方程与性质(原卷版)_02高考数学_新高考复习资料_2024年新高考资料_一轮复习资料_2024年高考数学一轮复习《考点•题型•技巧》精讲与精练高分突破系列(新高考专用)
专题9.2椭圆方程与性质(原卷版)_02高考数学_新高考复习资料_2024年新高考资料_一轮复习资料_2024年高考数学一轮复习《考点•题型•技巧》精讲与精练高分突破系列(新高考专用)
专题9.2椭圆方程与性质(原卷版)_02高考数学_新高考复习资料_2024年新高考资料_一轮复习资料_2024年高考数学一轮复习《考点•题型•技巧》精讲与精练高分突破系列(新高考专用)
专题9.2椭圆方程与性质(原卷版)_02高考数学_新高考复习资料_2024年新高考资料_一轮复习资料_2024年高考数学一轮复习《考点•题型•技巧》精讲与精练高分突破系列(新高考专用)
专题9.2椭圆方程与性质(原卷版)_02高考数学_新高考复习资料_2024年新高考资料_一轮复习资料_2024年高考数学一轮复习《考点•题型•技巧》精讲与精练高分突破系列(新高考专用)
专题9.2椭圆方程与性质(原卷版)_02高考数学_新高考复习资料_2024年新高考资料_一轮复习资料_2024年高考数学一轮复习《考点•题型•技巧》精讲与精练高分突破系列(新高考专用)
专题9.2椭圆方程与性质(原卷版)_02高考数学_新高考复习资料_2024年新高考资料_一轮复习资料_2024年高考数学一轮复习《考点•题型•技巧》精讲与精练高分突破系列(新高考专用)
专题9.2椭圆方程与性质(原卷版)_02高考数学_新高考复习资料_2024年新高考资料_一轮复习资料_2024年高考数学一轮复习《考点•题型•技巧》精讲与精练高分突破系列(新高考专用)
专题9.2椭圆方程与性质(原卷版)_02高考数学_新高考复习资料_2024年新高考资料_一轮复习资料_2024年高考数学一轮复习《考点•题型•技巧》精讲与精练高分突破系列(新高考专用)
专题9.2椭圆方程与性质(原卷版)_02高考数学_新高考复习资料_2024年新高考资料_一轮复习资料_2024年高考数学一轮复习《考点•题型•技巧》精讲与精练高分突破系列(新高考专用)
专题9.2椭圆方程与性质(原卷版)_02高考数学_新高考复习资料_2024年新高考资料_一轮复习资料_2024年高考数学一轮复习《考点•题型•技巧》精讲与精练高分突破系列(新高考专用)

文档信息

文档格式
docx
文档大小
2.288 MB
文档页数
16 页
上传时间
2026-04-14 06:37:31

文档内容

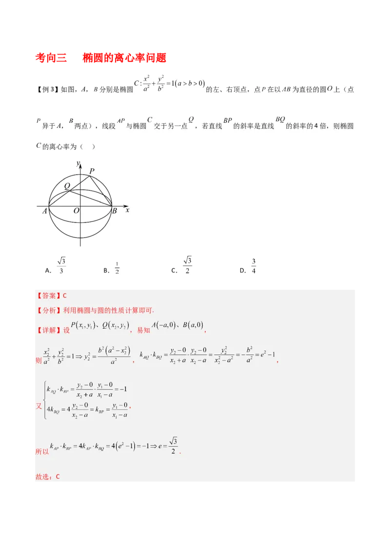
9.2 椭圆方程与性质 思维导图 知识点总结 内容提要 椭 圆 定 义 : 设 F ,F 是 平 面 上 的 两 个 定 点 , 若 平 面 内 的 点 P满 足 1 2 ,则点 的轨迹是以 为焦点的椭圆 |1P. F |+|PF |=______(2a>|F F |) P F ,F 1 2 1 2 1 2 . 椭圆的简单几何性质: 2. x2 y2 标准方程 + =1(a>b>0) a2 b2 焦点坐标 F (-c,0),F (c,0) 1 2 焦距 |F F |=2c,且c2=a2-b2 1 2 图形 范围 -a≤x≤a,-b≤ y≤b 对称性 关于x轴、y轴、原点对称x2 y2 标准方程 + =1(a>b>0) a2 b2 左、右顶点:A (-a,0),A (a,0) 1 2 顶点坐标 上、下顶点:B (0,b),B (0,-b) 1 2 长轴长 |A A |=2a,其中a叫做长半轴长 1 2 短轴长 离心率 通径:经过椭圆焦点且垂直于长轴的弦叫做通径 如图中两条蓝色的线段 ,其长度为 3. ( ) _____. 典型例题分析 考向一 椭圆定义与应用 x2 y2 例 椭圆 + =1的焦点为F ,F ,点P在椭圆上,若|PF |=4,则|PF |=_FPF 的大小为 9 2 1 2 1 2 1 2 [ 1] 的周长为;若延长 交椭圆于 ,则 ;△PF F PO Q |PF |+|F Q|= 1 2 1 1 ___________ ___________ x2 y2 变式 已知椭圆C: + =1的左、右焦点分别为F 、F ,A(1,2),P为椭圆C上的动点,则 4 3 1 2 [ ] 的最小值为 |PA|-|PF | 1 ___________考向二 椭圆的标准方程 【例2】以 , 为焦点,且经过点 的椭圆的标准方程为( ) A. B. C. D. 【变式】已知 ,B是圆C: 上的任意一点,线段BF的垂直平分线交BC于点P.则 动点P的轨迹方程为 .考向三 椭圆的离心率问题 【例3】如图,A, 分别是椭圆 的左、右顶点,点 在以 为直径的圆 上(点 异于A, 两点),线段 与椭圆 交于另一点 ,若直线 的斜率是直线 的斜率的4倍,则椭圆 的离心率为( ) A. B. C. D. 【答案】C 【分析】利用椭圆与圆的性质计算即可. 【详解】设 ,易知 , 则 , , 又 , 所以 . 故选:C【变式1】若 、 为椭圆 : 的左、右焦点,焦距为4,点 为 上一点,若对任意的 ,均存在四个不同的点 满足 ,则 的离心率 的取值范围为 . 【答案】 【分析】利用平面向量数量积的运算律和椭圆的性质求解. 【详解】由题可得, , 设 为坐标原点,则 , 所以 ,即 , 因为 ,所以 , 若存在四个不同的点 满足 ,又 , 所以 ,即 ,所以 , 所以 ,所以 , 故答案为: . 【变式2】已知椭圆 : 的上顶点为 ,两个焦点为 , ,线段 的垂直平分线 过点 ,则椭圆的离心率为 .【答案】 / 【分析】求出线段 的中点坐标,根据两直线垂直斜率关系可得 ,再结合 可求得离心 率. 【详解】 如图,设 的垂直平分线与 交于点 , 由题, , , ,则 , , , , ,化简得, , 由 ,解得 , ,即 . 故答案为: . 考向四 椭圆的焦点三角形问题 x2 y2 【例 】设F ,F 为椭圆 + =1的两个焦点,P为椭圆上一点,ΔPF F 为直角三角形,且 1 2 9 4 1 2 4|PF | |PF |>|PF | ,则 1 的值为 1 2 |PF | 2 ___________ 【变式】已知椭圆 x2 y2 的左、右焦点分别为 为椭圆 上一点, 为原点, C: + =1(a>b>0) F 、F ,P C O a2 b2 1 2 若 ,且 ,则椭圆 的离心率为 (⃗OF -⃗OP)⋅(⃗OF +⃗OP)=0 |PF |=2|PF | C 1 1 1 2 ___________ 考向五 椭圆有关的最值与范围问题 【例5】已知椭圆 的离心率为 ,上顶点为A,左顶点为B, , 分别是椭圆的左、右焦点,且 的面积为 ,点P为椭圆上的任意一点,则 的取值范围为 . 【变式1】已知椭圆 : 的长轴为双曲线 的实轴,且椭圆 过点 . (1)求椭圆 的标准方程; (2)点 、 是椭圆 上异于点 的两个不同的点,直线 与 的斜率均存在,分别记为 , ,且 ,求证:直线 恒过定点,并求出定点的坐标.【变式2】如图,点 是椭圆 的短轴位于 轴下方的端点,过 作斜率为 的直线 交椭圆于点 ,若点 的坐标为 ,且满足 轴, . (1)求椭圆 的方程; (2)椭圆 的左顶点为 ,左焦点为 ,点 为椭圆上任意一点,求 的取值范围. 基础题型训练 一、单选题 1.过椭圆 的左顶点A作圆 (2c是椭圆的焦距)两条切线,切点分别为M, N,若∠MAN=60°,则该椭圆的离心率为( ) A. B. C. D.2.方程 表示椭圆的充要条件是( ) A. B. C. D. 3.已知椭圆C: 的左、右焦点分别为 , ,点P在椭圆C上,若 ,则 的余 弦值为( ) A. B. C. D. 4.过椭圆 的左焦点 作 轴的垂线交椭圆于点 , 为右焦点,若 , 则椭圆的离心率为 ( ) A. B. C. D. 5.若方程 表示椭圆 ,则下面结论正确的是( ) A. B.椭圆 的焦距为 C.若椭圆 的焦点在 轴上,则 D.若椭圆 的焦点在 轴上,则 6.已知椭圆 的左、右焦点分别为 , ,M为E上一点.若 , ,则E的离心率为( ) A. B. C. D.二、多选题 7.已知椭圆 的对称中心为坐标原点,焦点在坐标轴上,若椭圆的长轴长为6,短轴长为4,则椭圆 的 标准方程可能为( ) A. B. C. D. 8.设P是椭圆 上的动点,则( ) A.点P到该椭圆的两个焦点的距离之和为 B.点P到该椭圆的两个焦点的距离之和为 C.点P到左焦点距离的最大值为 D.点P到左焦点距离的最大值为 三、填空题 9.以椭圆的对称轴为坐标轴,若该椭圆短轴的一个端点与两焦点是一个正三角形的三个顶点,焦点在 轴 上,且 ,则椭圆的标准方程是 . 10.椭圆 ( )的左、右焦点分别是 ,过 作倾斜角为 的直线与椭圆的一个 交点为 ,若 垂直于 ,则椭圆的离心率为 . 11.椭圆 的离心率为 ,则实数 .12.已知椭圆 的左、右焦点分别为 , ,过 的直线与 交于A,B两点,满足 且 ,则 . 四、解答题 13.已知椭圆 (a>b>0),F ,F 分别是椭圆的左、右焦点,椭圆上总存在点P使得PF ⊥PF ,求椭 1 2 1 2 圆的离心率的取值范围. 14.椭圆 焦距为4,经过点 , , 分别为它的左右焦点. (1)求椭圆C的标准方程; (2)求 外接圆的标准方程. 15.已知动点 与平面上两定点 , 连线的斜率的积为定值 . (1)试求动点 的轨迹方程 ; (2)设直线 : 与曲线 交于 , 两点,求 . 16.已知椭圆 的右焦点为 ,且椭圆 上的一点 到其两焦点 的距 离之和为 . (1)求椭圆 的标准方程; (2)设直线 与椭圆 交于不同两点 ,且 .若点 满足 ,求 .提升题型训练 一、单选题 1.若方程 表示椭圆,则实数m的取值范围为( ) A. B. C. D. 2.圆 与圆 相外切,与圆 相内切,则圆 的圆心在( ) A.一个椭圆上 B.双曲线的一支上 C.一条抛物线上 D.一个圆上 3.已知椭圆 ,直线 ,则直线l与椭圆C的位置关系 为( ) A.相交 B.相切 C.相离 D.不确定 4.椭圆 为参数)的离心率是( ) A. B. C. D. 5.函数 ( ,且 )的图象恒过定点 ,若点 在椭圆 ( , )上,则 的最小值为( ) A.12 B.14 C.16 D.18 6.记椭圆 的左焦点和右焦点分别为 ,右顶点为 ,过 且倾斜角为 的直线上有一点 ,且 在 轴上的投影为 .连接 , 的方向向量 ,则椭圆的离心率为( ) A. B. C. D. 二、多选题 7.已知 是椭圆 : 上一点, , 是其左右焦点,则下列选项中正确的是( ) A.椭圆的焦距为2 B.椭圆的离心率 C. D. 的面积的最大值是4 8.一般地,我们把离心率为 的椭圆称为“黄金椭圆”,则下列命题正确的有( ) A.若 ,且点 在以 , 为焦点的“黄金椭圆”上,则 的周长为 B.若 是“黄金椭圆”,则 C.若“黄金椭圆”的左焦点是 ,右顶点和上顶点分别是 , ,则 D.设焦点在 轴上的“黄金椭圆”左右顶点分别为 ,“黄金椭圆”上动点 (异于 , ),设 直线 , 的斜率分别为 , ,则 三、填空题 9.若椭圆的两焦点分别为 , ,点P在椭圆上,且三角形 的面积的最大值为12,则 此椭圆方程是 .10.已知椭圆 ,左焦点 ,右顶点 ,上顶点 ,满足 ,则 椭圆的离心率为 . 11.已知A、B、P是椭圆 上的三个不同的点.O为坐标点, ,且 ,则椭圆C的离心率为 . 12.已知椭圆 ,C的上顶点为A,两个焦点为 , ,离心率为 .过 且垂直于 的直线与C交于D,E两点, ,则 的周长是 . 四、解答题 13.如图,椭圆的上半部分拱形用于支撑横跨20m水面宽的桥,拱的中心距河面6m.试写出椭圆的一个方 程. 14.求下列椭圆的标准方程: (Ⅰ)焦点在x轴上,离心率 ,且经过点 ; (Ⅱ)以坐标轴为对称轴,且长轴长是短轴长的3倍,并且与双曲线 有相同的焦点. 15.已知点 在椭圆 上,且点 到椭圆 左顶点的距离是到右顶点距 离的 倍(1)求椭圆 的方程 (2)点 是椭圆 上的动点,且到动直线 与 的距离均为 ,直线 与椭圆 相交 于 两点,直线 与椭圆 相交于 两点,求证: 为定值. 16.已知椭圆 : 的一个焦点为 ,离心率为 . (1)求 的标准方程; (2)若动点 为 外一点,且 到 的两条切线相互垂直,求 的轨迹 的方程; (3)设 的另一个焦点为 ,过 上一点 的切线与(2)所求轨迹 交于点 , ,求证: .