当前位置:首页>文档>专题六 微拓展1 圆锥曲线中非对称韦达定理的应用_02高考数学_2025年新高考资料_二轮复习_2025年高考数学大二轮_2025数学二轮专题复习学生用书Word版文档_专题复习

专题六 微拓展1 圆锥曲线中非对称韦达定理的应用_02高考数学_2025年新高考资料_二轮复习_2025年高考数学大二轮_2025数学二轮专题复习学生用书Word版文档_专题复习

  • 2026-04-14 09:40:59 2026-04-14 09:39:51

文档预览

专题六 微拓展1 圆锥曲线中非对称韦达定理的应用_02高考数学_2025年新高考资料_二轮复习_2025年高考数学大二轮_2025数学二轮专题复习学生用书Word版文档_专题复习
专题六 微拓展1 圆锥曲线中非对称韦达定理的应用_02高考数学_2025年新高考资料_二轮复习_2025年高考数学大二轮_2025数学二轮专题复习学生用书Word版文档_专题复习
专题六 微拓展1 圆锥曲线中非对称韦达定理的应用_02高考数学_2025年新高考资料_二轮复习_2025年高考数学大二轮_2025数学二轮专题复习学生用书Word版文档_专题复习
专题六 微拓展1 圆锥曲线中非对称韦达定理的应用_02高考数学_2025年新高考资料_二轮复习_2025年高考数学大二轮_2025数学二轮专题复习学生用书Word版文档_专题复习
专题六 微拓展1 圆锥曲线中非对称韦达定理的应用_02高考数学_2025年新高考资料_二轮复习_2025年高考数学大二轮_2025数学二轮专题复习学生用书Word版文档_专题复习
专题六 微拓展1 圆锥曲线中非对称韦达定理的应用_02高考数学_2025年新高考资料_二轮复习_2025年高考数学大二轮_2025数学二轮专题复习学生用书Word版文档_专题复习
专题六 微拓展1 圆锥曲线中非对称韦达定理的应用_02高考数学_2025年新高考资料_二轮复习_2025年高考数学大二轮_2025数学二轮专题复习学生用书Word版文档_专题复习
专题六 微拓展1 圆锥曲线中非对称韦达定理的应用_02高考数学_2025年新高考资料_二轮复习_2025年高考数学大二轮_2025数学二轮专题复习学生用书Word版文档_专题复习
专题六 微拓展1 圆锥曲线中非对称韦达定理的应用_02高考数学_2025年新高考资料_二轮复习_2025年高考数学大二轮_2025数学二轮专题复习学生用书Word版文档_专题复习
专题六 微拓展1 圆锥曲线中非对称韦达定理的应用_02高考数学_2025年新高考资料_二轮复习_2025年高考数学大二轮_2025数学二轮专题复习学生用书Word版文档_专题复习
专题六 微拓展1 圆锥曲线中非对称韦达定理的应用_02高考数学_2025年新高考资料_二轮复习_2025年高考数学大二轮_2025数学二轮专题复习学生用书Word版文档_专题复习
专题六 微拓展1 圆锥曲线中非对称韦达定理的应用_02高考数学_2025年新高考资料_二轮复习_2025年高考数学大二轮_2025数学二轮专题复习学生用书Word版文档_专题复习
专题六 微拓展1 圆锥曲线中非对称韦达定理的应用_02高考数学_2025年新高考资料_二轮复习_2025年高考数学大二轮_2025数学二轮专题复习学生用书Word版文档_专题复习
专题六 微拓展1 圆锥曲线中非对称韦达定理的应用_02高考数学_2025年新高考资料_二轮复习_2025年高考数学大二轮_2025数学二轮专题复习学生用书Word版文档_专题复习
专题六 微拓展1 圆锥曲线中非对称韦达定理的应用_02高考数学_2025年新高考资料_二轮复习_2025年高考数学大二轮_2025数学二轮专题复习学生用书Word版文档_专题复习
专题六 微拓展1 圆锥曲线中非对称韦达定理的应用_02高考数学_2025年新高考资料_二轮复习_2025年高考数学大二轮_2025数学二轮专题复习学生用书Word版文档_专题复习
专题六 微拓展1 圆锥曲线中非对称韦达定理的应用_02高考数学_2025年新高考资料_二轮复习_2025年高考数学大二轮_2025数学二轮专题复习学生用书Word版文档_专题复习

文档信息

文档格式
docx
文档大小
3.373 MB
文档页数
13 页
上传时间
2026-04-14 09:39:51

文档内容

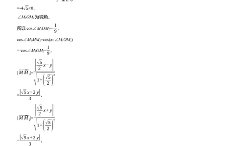
微拓展 1 圆锥曲线中非对称韦达定理的应用 [考情分析] 在圆锥曲线问题中,我们联立直线和圆锥曲线方程,消去x或y,得到一个一元二次方程,往 1 1 往能够利用韦达定理来快速处理|x -x |,x2 +x2, + 之类的结构,但在有些问题中,我们会遇到涉及 1 2 1 2 x x 1 2 x 3x x +2x -x x ,x 的不同系数的代数式的运算,比如 1, 1 2 1 2 或λx +μx 之类的结构,我们把这种系数不对 1 2 x 2x x -x +x 1 2 2 1 2 1 2 等的结构,称为“非对称韦达结构”. 考点一 分式型 √5 例1 (2024·柳州模拟)已知M是一个动点,MM 与直线y= x垂直,垂足M 位于第一象限,MM 与直 1 2 1 2 √5 20 线y=- x垂直,垂足M 位于第四象限,且⃗M M ·⃗M M = . 2 2 1 2 81 (1)求动点M的轨迹方程E; (2)设A (-2,0),A (2,0),过点(3,0)的直线l与曲线E交于A,B两点(点A在x轴上方),P为直线 1 2 5√10 A A,A B的交点,当点P的纵坐标为 时,求直线l的方程. 1 2 6 [规律方法] 非对称结构的常规处理方法有和积转换、配凑、求根公式(暴力法)、曲线方程代换、第三定义 等方法,将其转化为对称结构计算. x2 y2 跟踪演练1 (2024·湛江模拟)双曲线C: - =1(a>0,b>0)上一点D(6,√3)到左、右焦点的距离之差 a2 b2 为6. (1)求双曲线C的方程; (2)已知A(-3,0),B(3,0),过点(5,0)的直线l与C交于M,N(异于A,B)两点,直线MA与NB交于 点P,试问点P到直线x=-2的距离是否为定值?若是,求出该定值;若不是,请说明理由. 考点二 比值型 y2 x2 √3 例2 在平面直角坐标系Oxy中,已知双曲线C: - =1(a>0,b>0)的一条渐近线为y= x,且点P a2 b2 3 (√3,√2)在C上. (1)求C的方程;(2)设C的上焦点为F,过F的直线l交C于A,B两点,且⃗AF=7⃗BF,求l的斜率. [规律方法] 比值型问题适用于x =λx 型,可以采用倒数相加,但有时得到的可能不是这种形式,而是 1 2 x -1 1 x =λx +k的形式,此时采用待定系数法,例如x =-3x +4,可以转化x -1=-3(x -1),得到 =-3,继续采用 1 2 1 2 1 2 x -1 2 倒数相加解决. x2 y2 跟踪演练2 (2024·济南模拟)已知椭圆E: + =1(a>b>0)的左、右焦点分别为F ,F ,椭圆E的离心 a2 b2 1 2 1 率为 ,椭圆E上的点到右焦点的最小距离为1. 2 (1)求椭圆E的方程; (2)若过右焦点F 的直线l与椭圆E交于B,C两点,E的右顶点记为A,AB∥CF ,求直线l的方程. 2 1 1.已知圆C:(x+1)2+y2=8,圆心C(-1,0),定点A(1,0),M为圆上动点,点P在AM上,点N在CM上, 且满足⃗AM=2⃗AP,⃗NP·⃗AM=0,点N的轨迹为曲线E. (1)求曲线E的方程; (2)过定点F(0,2)的直线交曲线E于不同的两点G,H(点G在点F,H之间),且满足⃗FG=λ⃗FH,求λ的取 值范围. 2.(2024·河南洛平许济四市质检)已知点A(-√3,0),B(√3,0),动点V满足直线VA与直线VB的斜率之积 1 为 ,动点V的轨迹为曲线C. 3 (1)求曲线C的方程; (2)直线l与曲线C交于P,Q两点,且BP⊥BQ,BM⊥PQ交PQ于点M,求定点N的坐标,使|MN|为定值; (3)过(2)中的点N作直线交曲线C于G,H两点,且两点均在y轴的右侧,直线AG,BH的斜率分别为k , 1 k k ,求 1的值. 2 k 2答案精析 例1 解 (1)设M(x,y), √5 直线y= x的倾斜角为θ, 2 √5 则tan θ= , 2 2tanθ tan∠M OM =tan 2θ= 1 2 1-tan2θ =-4√5<0, ∠M OM 为钝角, 1 2 1 所以cos∠M OM =- , 1 2 9 cos∠M MM =cos(π-∠M OM ) 1 2 1 2 1 =-cos∠M OM = , 1 2 9 |√5 | x- y 2 |⃗M M |= 1 √ (√5) 2 1+ 2 |√5x-2y| = , 3 |√5 | x+ y 2 |⃗M M |= 2 √ (√5) 2 1+ 2 |√5x+2y| = , 3 |√5x-2y||√5x+2y| 1 20 所以⃗M M ·⃗M M = · × = , 1 2 3 3 9 81 x2 y2 由于M 位于第一象限,M 位于第四象限,所以M的轨迹方程E: - =1(x≥2). 1 2 4 5 (2)设l:x=my+3,A(x ,y ), 1 1B(x ,y ), 2 2 {x=my+3, 联立 x2 y2 - =1, 4 5 化简得(5m2-4)y2+30my+25=0, 5m2-4≠0, 则Δ=900m2-100(5m2-4)>0, -30m 25 y +y = ,y y = , 1 2 5m2-4 1 2 5m2-4 y 1 直线AA :y= (x+2), 1 x +2 1 y 2 直线BA :y= (x-2), 2 x -2 2 x+2 y (x +2) 2 1 联立直线AA 与直线BA 的方程可得 = 1 2 x-2 y (x -2) 1 2 y (m y +5) m y y +5 y 2 1 1 2 2 = = . y (m y +1) m y y + y 1 2 1 2 1 方法一 (和积转化) 5 因为my y =- (y +y ), 1 2 6 1 2 m y y +5 y 1 2 2 所以 m y y + y 1 2 1 5 - (y + y )+5 y 6 1 2 2 = =-5. 5 - (y + y )+ y 6 1 2 1 5 方法二 (配凑)因为my y =- (y +y ), 1 2 6 1 2 m y y +5 y 1 2 2 所以 m y y + y 1 2 1 m y y +5 y +5 y -5 y 1 2 1 2 1 = m y y + y 1 2 1 m y y +5(y + y )-5 y 1 2 1 2 1 = m y y + y 1 2 1m y y -6m y y -5 y 1 2 1 2 1 = =-5. m y y + y 1 2 1 x+2 4 由 =-5,可得x= , x-2 3 (4 5√10) 故点P , , 3 6 5√10 6 √10 直线AA 的斜率为 = , 1 4 4 +2 3 { y= √10 (x+2), 4 联立 x2 y2 - =1, 4 5 消去x化简得y2-2√10y=0, 解得y =2√10,x =6, 1 1 故A(6,2√10), 6-3 3 3√10 则m= = = , 2√10 2√10 20 3√10 故直线l的方程为x= y+3, 20 即2√10x-3y-6√10=0. 2a=6, { 跟踪演练1 解 (1)依题意可得 62 (√3) 2 解得 {a=3, - =1, b=1, a2 b2 x2 故双曲线C的方程为 -y2=1. 9 (2)由题意可得直线l的斜率不为0,设直线l的方程为x=my+5, {x=my+5, 联立 x2 - y2=1, 9 消去x, 得(m2-9)y2+10my+16=0, 则m2-9≠0,Δ=(10m)2-4×16(m2-9)=36(m2+16)>0, 设M(x ,y ),N(x ,y ), 1 1 2 2 -10m 16 则y +y = ,y y = , 1 2 m2-9 1 2 m2-9 又A(-3,0),B(3,0), y 1 直线AM:y= (x+3), x +3 1 y 2 直线BN:y= (x-3), x -3 2 y { y= 1 (x+3), x +3 1 联立 y y= 2 (x-3), x -3 2 x+3 y (x +3) 2 1 两式相除,得 = x-3 y (x -3) 1 2 y (my +8) 2 1 = y (my +2) 1 2 m y y +8 y 1 2 2 = m y y +2y 1 2 1 m y y +8(y + y )-8 y 1 2 1 2 1 = m y y +2y 1 2 1 16m 80m - -8 y m2-9 m2-9 1 = 16m +2y m2-9 1 64m - -8 y m2-9 1 = =-4, 16m +2y m2-9 1 x+3 9 即 =-4,解得x= , x-3 5 9 所以点P在定直线x= 上, 5 9 9 19 因为直线x= 与直线x=-2之间的距离为 +2= , 5 5 5 19 所以点P到直线x=-2的距离为定值,且定值为 . 5a 例2 解 (1)由双曲线标准方程可知,其渐近线方程为y=± x, b √3 a 所以 = ,可得b2=3a2, 3 b 2 3 将点P(√3,√2)代入双曲线C的方程可得 - =1,解得a2=1,b2=3, a2 b2 x2 所以双曲线C的方程为y2- =1. 3 (2)由(1)可知,上焦点F(0,2), 设直线l的斜率为k, A(x ,y ),B(x ,y ), 1 1 2 2 则直线l的方程为y=kx+2, { x2 y2- =1, 联立 3 y=kx+2, 整理得(3k2-1)x2+12kx+9=0, 则3k2-1≠0,Δ>0, 12k 所以x +x =- , 1 2 3k2-1 9 x x = , 1 2 3k2-1 又⃗AF=7⃗BF, 即(-x ,2-y )=7(-x ,2-y ), 1 1 2 2 可得x =7x , 1 2 方法一 (倒数相加法) x 1 因为 =7, x 2 x x (x +x ) 2 50 1 2 1 2 所以 + = -2= , x x x x 7 2 1 1 2 ( 12k ) 2 - 3k2-1 50 即 -2= , 9 7 3k2-1 2√5 解得k=± , 5 2√5 所以直线l的斜率为± . 5方法二 (消元法) 12k {x +x =8x =- , 1 2 2 3k2-1 9 x x =7x2= , 1 2 2 3k2-1 [ 3k ] 2 9 - 即 = , 2(3k2-1) 7(3k2-1) 2√5 解得k=± , 5 2√5 所以直线l的斜率为± . 5 方法三 利用焦点弦定理(此方法只能在小题中使用): |λ-1| |esin α|= . λ+1 由题意得⃗AF=-7⃗FB,则λ=-7, 因为e=2,α为直线l的倾斜角, 4 2 则有|2sin α|= ,解得|sin α|= , 3 3 2√5 则k=tan α=± . 5 跟踪演练2 解 (1)设焦距为2c,由椭圆对称性不妨设椭圆上一点P(x ,y )(a≥x ≥0),易知F (c,0), 0 0 0 2 则|PF |=√(x -c) 2+ y2 2 0 0 √ b2 = (x -c) 2+b2- x2 0 a2 0 = √ (c x ) 2 -2cx +a2 a 0 0 |c | c = x -a =a- x , a 0 a 0 显然当x =a时,|PF | =a-c, 0 2min c 1 { = , {a=2, a 2 由题意得 解得 c=1, a-c=1, b=√3, a2=b2+c2, x2 y2 所以椭圆E的方程为 + =1. 4 3 (2)设C(x ,y ),B(x ,y ), 1 1 2 2 因为AB∥CF , 1|F F |∶|F A|=2∶1, 1 2 2 所以y =-2y , 1 2 设直线l的方程为x=my+1, {x2 y2 + =1, 联立 4 3 x=my+1, 整理得(3m2+4)y2+6my-9=0, 6m {y + y =- , 1 2 3m2+4 由韦达定理得 9 y y =- , 1 2 3m2+4 y 1 方法一 因为 =-2, y 2 y y (y + y ) 2 5 1 2 1 2 所以 + = -2=- , y y y y 2 2 1 1 2 ( 6m ) 2 - 3m2+4 5 即 -2=- , 9 2 - 3m2+4 2√5 解得m=± . 5 方法二 把y = 1 -2y 代入得 2 6m {- y =- , 2 3m2+4 9 -2y2=- , 2 3m2+4 36m2 9 得y2 = = , 2 (3m2+4) 2 2(3m2+4) 2√5 解得m=± , 5 2√5 2√5 所以直线l的方程为x+ y-1=0或x- y-1=0. 5 5 思维提升 拓展练习1.解 (1)∵⃗AM=2⃗AP,⃗NP·⃗AM=0. ∴|NA|=|NM|. 又∵|CN|+|NM|=2√2, ∴|CN|+|AN|=2√2>2=|AC|, ∴动点N的轨迹是以点C(-1,0), A(1,0)为焦点的椭圆,且椭圆长轴长为2a=2√2,焦距2c=2, 即a=√2,c=1,则b2=1. x2 ∴曲线E的方程为 +y2=1. 2 (2)当直线GH斜率存在时,设直线GH的方程为y=kx+2,k≠0, x2 代入椭圆方程 +y2=1, 2 得 (1 +k2) x2+4kx+3=0, 2 3 由Δ>0得k2> . 2 设G(x ,y ),H(x ,y ), 1 1 2 2 -4k -8k 则x +x =1 = , ① 1 2 +k2 1+2k2 2 3 6 x x =1 = , ② 1 2 +k2 1+2k2 2 ∵⃗FG=λ⃗FH, ∴(x ,y -2)=λ(x ,y -2), 1 1 2 2 x 1 ∴x =λx ,∴λ= , 1 2 x 2 ①2 得, ② 32 1 32k2 λ+ +2= = ( 1 ). λ 3(1+2k2 ) 3 +2 k2 3 ∵k2> , 2 32 16 ∴4< ( 1 )< , 3 +2 3 k21 16 ∴4<λ+ +2< , λ 3 1 解得 <λ<3且λ≠1, 3 ∵点G在点F,H之间, 1 ∴0<λ<1,∴ <λ<1; 3 1 1 当直线HG斜率不存在时,直线方程为x=0,⃗FG= ⃗FH,λ= . 3 3 1 [1 ) 综上, ≤λ<1,λ的取值范围为 ,1 . 3 3 1 2.解 (1)设V(x,y),因为点A(-√3,0),B(√3,0),且动点V满足直线VA与直线VB的斜率之积为 , 3 y y 1 可得 · = , x+√3 x-√3 3 x2 整理得 -y2=1,其中y≠0. 3 x2 所以曲线C的方程为 -y2=1(y≠0). 3 (2)①当直线PQ斜率存在时,设l的方程为y=kx+t, 设P(x ,y ),Q(x ,y ), 1 1 2 2 {x2 - y2=1, 联立 3 y=kx+t, 整理得(3k2-1)x2+6ktx+3(t2+1)=0, 则3k2-1≠0, Δ=(6kt)2-4(3t2+3)(3k2-1)>0,即3k2-t2-1<0, 6kt 且x +x =- , 1 2 3k2-1 3t2+3 x x = , 1 2 3k2-1 所以y y =(kx +t)(kx +t)=k2x x +kt(x +x )+t2, 1 2 1 2 1 2 1 2 因为⃗BP·⃗BQ= (x -√3)(x -√3)+y y =0, 1 2 1 2 所以(k2+1)·x x +(kt-√3)·(x +x )+t2+3=0, 1 2 1 2 3t2+3 -6kt 所以(k2+1)· +(kt-√3)· +t2+3=0, 3k2-1 3k2-1化简得t2+3√3kt+6k2=0, 即(t+√3k)(t+2√3k)=0, 所以t =-√3k,t =-2√3k,且均满足3k2-t2-1<0, 1 2 当t =-√3k时,直线PQ的方程为y=k(x-√3),直线过定点(√3,0),与已知矛盾, 1 当t =-2√3k时,直线PQ的方程为y=k(x-2√3),过定点(2√3,0),记为点D. 2 ②当直线PQ的斜率不存在时,由对称性不妨设直线BP:y=x-√3, {x2 - y2=1, 联立方程组 3 y=x-√3, 解得x =x =2√3,此时直线PQ也过点D(2√3,0), P Q 综上,直线PQ过定点D(2√3,0). 又由BM⊥PQ,所以点M在以BD为直径的圆上, 故当N为该圆圆心,即点N为BD的中点时,|MN|为该圆半径, 1 即|MN|= |BD|, 2 (3√3 ) √3 所以存在定点N ,0 ,使|MN|为定值 . 2 2 (3)设G(x ,y ),H(x ,y ),易得直线GH的斜率不为0, 3 3 4 4 3√3 可设直线GH:x=ny+ , 2 { x2 - y2=1, 3 联立方程组 3√3 x=ny+ , 2 15 整理得(n2-3)y2+3√3ny+ =0, 4 则n2-3≠0, 15 Δ=(3√3n)2-4(n2-3)× >0, 4 3√3n 且y +y =- , 3 4 n2-3 15 y y = 4 , 3 4 n2-3 5√3 则ny y =- (y +y ), 3 4 12 3 4y 3 y ( n y + √3) k x +√3 3 4 2 1 3 所以 = = k 2 y 4 y ( n y + 5√3) x -√3 4 3 2 4 √3 n y y + y 3 4 2 3 = 5√3 n y y + y 3 4 2 4 5√3 √3 - (y + y )+ y 12 3 4 2 3 = 5√3 5√3 - (y + y )+ y 12 3 4 2 4 √3 5√3 y - y 12 3 12 4 1 = =- . 5√3 25√3 5 - y + y 12 3 12 4