当前位置:首页>文档>专题9.3双曲线的定义与性质(解析版)_02高考数学_新高考复习资料_2024年新高考资料_一轮复习资料_2024年高考数学一轮复习《考点•题型•技巧》精讲与精练高分突破系列(新高考专用)

专题9.3双曲线的定义与性质(解析版)_02高考数学_新高考复习资料_2024年新高考资料_一轮复习资料_2024年高考数学一轮复习《考点•题型•技巧》精讲与精练高分突破系列(新高考专用)

  • 2026-05-07 11:40:27 2026-04-14 06:39:04

文档预览

专题9.3双曲线的定义与性质(解析版)_02高考数学_新高考复习资料_2024年新高考资料_一轮复习资料_2024年高考数学一轮复习《考点•题型•技巧》精讲与精练高分突破系列(新高考专用)
专题9.3双曲线的定义与性质(解析版)_02高考数学_新高考复习资料_2024年新高考资料_一轮复习资料_2024年高考数学一轮复习《考点•题型•技巧》精讲与精练高分突破系列(新高考专用)
专题9.3双曲线的定义与性质(解析版)_02高考数学_新高考复习资料_2024年新高考资料_一轮复习资料_2024年高考数学一轮复习《考点•题型•技巧》精讲与精练高分突破系列(新高考专用)
专题9.3双曲线的定义与性质(解析版)_02高考数学_新高考复习资料_2024年新高考资料_一轮复习资料_2024年高考数学一轮复习《考点•题型•技巧》精讲与精练高分突破系列(新高考专用)
专题9.3双曲线的定义与性质(解析版)_02高考数学_新高考复习资料_2024年新高考资料_一轮复习资料_2024年高考数学一轮复习《考点•题型•技巧》精讲与精练高分突破系列(新高考专用)
专题9.3双曲线的定义与性质(解析版)_02高考数学_新高考复习资料_2024年新高考资料_一轮复习资料_2024年高考数学一轮复习《考点•题型•技巧》精讲与精练高分突破系列(新高考专用)
专题9.3双曲线的定义与性质(解析版)_02高考数学_新高考复习资料_2024年新高考资料_一轮复习资料_2024年高考数学一轮复习《考点•题型•技巧》精讲与精练高分突破系列(新高考专用)
专题9.3双曲线的定义与性质(解析版)_02高考数学_新高考复习资料_2024年新高考资料_一轮复习资料_2024年高考数学一轮复习《考点•题型•技巧》精讲与精练高分突破系列(新高考专用)
专题9.3双曲线的定义与性质(解析版)_02高考数学_新高考复习资料_2024年新高考资料_一轮复习资料_2024年高考数学一轮复习《考点•题型•技巧》精讲与精练高分突破系列(新高考专用)
专题9.3双曲线的定义与性质(解析版)_02高考数学_新高考复习资料_2024年新高考资料_一轮复习资料_2024年高考数学一轮复习《考点•题型•技巧》精讲与精练高分突破系列(新高考专用)
专题9.3双曲线的定义与性质(解析版)_02高考数学_新高考复习资料_2024年新高考资料_一轮复习资料_2024年高考数学一轮复习《考点•题型•技巧》精讲与精练高分突破系列(新高考专用)
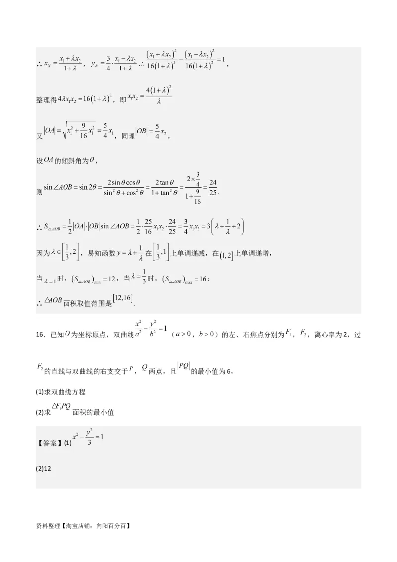
专题9.3双曲线的定义与性质(解析版)_02高考数学_新高考复习资料_2024年新高考资料_一轮复习资料_2024年高考数学一轮复习《考点•题型•技巧》精讲与精练高分突破系列(新高考专用)
专题9.3双曲线的定义与性质(解析版)_02高考数学_新高考复习资料_2024年新高考资料_一轮复习资料_2024年高考数学一轮复习《考点•题型•技巧》精讲与精练高分突破系列(新高考专用)
专题9.3双曲线的定义与性质(解析版)_02高考数学_新高考复习资料_2024年新高考资料_一轮复习资料_2024年高考数学一轮复习《考点•题型•技巧》精讲与精练高分突破系列(新高考专用)
专题9.3双曲线的定义与性质(解析版)_02高考数学_新高考复习资料_2024年新高考资料_一轮复习资料_2024年高考数学一轮复习《考点•题型•技巧》精讲与精练高分突破系列(新高考专用)
专题9.3双曲线的定义与性质(解析版)_02高考数学_新高考复习资料_2024年新高考资料_一轮复习资料_2024年高考数学一轮复习《考点•题型•技巧》精讲与精练高分突破系列(新高考专用)
专题9.3双曲线的定义与性质(解析版)_02高考数学_新高考复习资料_2024年新高考资料_一轮复习资料_2024年高考数学一轮复习《考点•题型•技巧》精讲与精练高分突破系列(新高考专用)
专题9.3双曲线的定义与性质(解析版)_02高考数学_新高考复习资料_2024年新高考资料_一轮复习资料_2024年高考数学一轮复习《考点•题型•技巧》精讲与精练高分突破系列(新高考专用)
专题9.3双曲线的定义与性质(解析版)_02高考数学_新高考复习资料_2024年新高考资料_一轮复习资料_2024年高考数学一轮复习《考点•题型•技巧》精讲与精练高分突破系列(新高考专用)
专题9.3双曲线的定义与性质(解析版)_02高考数学_新高考复习资料_2024年新高考资料_一轮复习资料_2024年高考数学一轮复习《考点•题型•技巧》精讲与精练高分突破系列(新高考专用)
专题9.3双曲线的定义与性质(解析版)_02高考数学_新高考复习资料_2024年新高考资料_一轮复习资料_2024年高考数学一轮复习《考点•题型•技巧》精讲与精练高分突破系列(新高考专用)
专题9.3双曲线的定义与性质(解析版)_02高考数学_新高考复习资料_2024年新高考资料_一轮复习资料_2024年高考数学一轮复习《考点•题型•技巧》精讲与精练高分突破系列(新高考专用)
专题9.3双曲线的定义与性质(解析版)_02高考数学_新高考复习资料_2024年新高考资料_一轮复习资料_2024年高考数学一轮复习《考点•题型•技巧》精讲与精练高分突破系列(新高考专用)
专题9.3双曲线的定义与性质(解析版)_02高考数学_新高考复习资料_2024年新高考资料_一轮复习资料_2024年高考数学一轮复习《考点•题型•技巧》精讲与精练高分突破系列(新高考专用)
专题9.3双曲线的定义与性质(解析版)_02高考数学_新高考复习资料_2024年新高考资料_一轮复习资料_2024年高考数学一轮复习《考点•题型•技巧》精讲与精练高分突破系列(新高考专用)
专题9.3双曲线的定义与性质(解析版)_02高考数学_新高考复习资料_2024年新高考资料_一轮复习资料_2024年高考数学一轮复习《考点•题型•技巧》精讲与精练高分突破系列(新高考专用)
专题9.3双曲线的定义与性质(解析版)_02高考数学_新高考复习资料_2024年新高考资料_一轮复习资料_2024年高考数学一轮复习《考点•题型•技巧》精讲与精练高分突破系列(新高考专用)
专题9.3双曲线的定义与性质(解析版)_02高考数学_新高考复习资料_2024年新高考资料_一轮复习资料_2024年高考数学一轮复习《考点•题型•技巧》精讲与精练高分突破系列(新高考专用)
专题9.3双曲线的定义与性质(解析版)_02高考数学_新高考复习资料_2024年新高考资料_一轮复习资料_2024年高考数学一轮复习《考点•题型•技巧》精讲与精练高分突破系列(新高考专用)
专题9.3双曲线的定义与性质(解析版)_02高考数学_新高考复习资料_2024年新高考资料_一轮复习资料_2024年高考数学一轮复习《考点•题型•技巧》精讲与精练高分突破系列(新高考专用)
专题9.3双曲线的定义与性质(解析版)_02高考数学_新高考复习资料_2024年新高考资料_一轮复习资料_2024年高考数学一轮复习《考点•题型•技巧》精讲与精练高分突破系列(新高考专用)
专题9.3双曲线的定义与性质(解析版)_02高考数学_新高考复习资料_2024年新高考资料_一轮复习资料_2024年高考数学一轮复习《考点•题型•技巧》精讲与精练高分突破系列(新高考专用)
专题9.3双曲线的定义与性质(解析版)_02高考数学_新高考复习资料_2024年新高考资料_一轮复习资料_2024年高考数学一轮复习《考点•题型•技巧》精讲与精练高分突破系列(新高考专用)
专题9.3双曲线的定义与性质(解析版)_02高考数学_新高考复习资料_2024年新高考资料_一轮复习资料_2024年高考数学一轮复习《考点•题型•技巧》精讲与精练高分突破系列(新高考专用)
专题9.3双曲线的定义与性质(解析版)_02高考数学_新高考复习资料_2024年新高考资料_一轮复习资料_2024年高考数学一轮复习《考点•题型•技巧》精讲与精练高分突破系列(新高考专用)
专题9.3双曲线的定义与性质(解析版)_02高考数学_新高考复习资料_2024年新高考资料_一轮复习资料_2024年高考数学一轮复习《考点•题型•技巧》精讲与精练高分突破系列(新高考专用)
专题9.3双曲线的定义与性质(解析版)_02高考数学_新高考复习资料_2024年新高考资料_一轮复习资料_2024年高考数学一轮复习《考点•题型•技巧》精讲与精练高分突破系列(新高考专用)
专题9.3双曲线的定义与性质(解析版)_02高考数学_新高考复习资料_2024年新高考资料_一轮复习资料_2024年高考数学一轮复习《考点•题型•技巧》精讲与精练高分突破系列(新高考专用)
专题9.3双曲线的定义与性质(解析版)_02高考数学_新高考复习资料_2024年新高考资料_一轮复习资料_2024年高考数学一轮复习《考点•题型•技巧》精讲与精练高分突破系列(新高考专用)
专题9.3双曲线的定义与性质(解析版)_02高考数学_新高考复习资料_2024年新高考资料_一轮复习资料_2024年高考数学一轮复习《考点•题型•技巧》精讲与精练高分突破系列(新高考专用)
专题9.3双曲线的定义与性质(解析版)_02高考数学_新高考复习资料_2024年新高考资料_一轮复习资料_2024年高考数学一轮复习《考点•题型•技巧》精讲与精练高分突破系列(新高考专用)
专题9.3双曲线的定义与性质(解析版)_02高考数学_新高考复习资料_2024年新高考资料_一轮复习资料_2024年高考数学一轮复习《考点•题型•技巧》精讲与精练高分突破系列(新高考专用)
专题9.3双曲线的定义与性质(解析版)_02高考数学_新高考复习资料_2024年新高考资料_一轮复习资料_2024年高考数学一轮复习《考点•题型•技巧》精讲与精练高分突破系列(新高考专用)

文档信息

文档格式
docx
文档大小
1.453 MB
文档页数
39 页
上传时间
2026-04-14 06:39:04

文档内容

9.3 双曲线的定义与性 思维导图 知识点总结 双 曲 线 定 义 : 设 F ,F 是 平 面 内 的 两 个 定 点 , 若 平 面 内 的 点 P满 足 1 2 1P.F |-|PF ∥=2a(0<2a<|F F |),则点P的轨迹是以F ,F 为焦点的双曲线 || ∣ 2 1 2 1 2 . 双曲线的标准方程及简单几何性质 2. x2 y2 y2 x2 标准方程 - =1(a>0,b>0) - =1(a>0,b>0) a2 b2 a2 b2 焦点坐标 左焦点F (-c,0),右焦点F (c,0) 上焦点F (0,c),下焦点F (0,-c) 1 2 1 2 焦距 |F F |=2c,其中c叫做半焦距,且c2=a2+b2 1 2 图形 x≤-a或x≥a,y∈R y≤-a或y≥a,x∈ R 范围 对称性 关于x轴、y轴、原点对称 实轴端点 a, , a 顶点 虚轴端点 (±, b0) (0b,± ) ( ) 实轴长 a,其中a叫做实半轴长 (0 ± ) (± 0) 虚轴长 b,其中b叫做虚半轴长 2 2 资料整理【淘宝店铺:向阳百分百】x2 y2 y2 x2 标准方程 - =1(a>0,b>0) - =1(a>0,b>0) a2 b2 a2 b2 b a 渐近线 y=± x y=± x a b c 离心率 e= (e>1) a 2b2 双曲线通径公式:过焦点且与双曲线实轴垂直的弦叫做通径,通径长为 a 3. . 典型例题分析 考向一 双曲线的定义 x2 【例 】双曲线C: - y2=1的左、右焦点分别为F ,F ,点P在双曲线上,且|PF |=6,则|PF |= 4 1 2 1 2 1 _答__案___:_____或 2 10 解析:已知|PF |求|PF |用双曲线定义,需注意有绝对值, 1 2 由 题 意 , ||PF |-|PF ||=4, 所 以 |PF |-|PF |=±4, 故 |PF |=|PF |±4, 结 合 |PF |=6可 得 1 2 1 2 2 1 1 |PF |=2或 2 10. x2 y2 【变式】双曲线 - =1的左焦点为F,A(1,2),P为双曲线右支上一点,则|PA|+|PF|的最小值为 4 5 _答__案___:___2__√2+4 解析:如图,直接分析|PA|+|PF|的最小值不易,涉及|PF|,可考虑用定义转化到右焦点来分析,设双曲 线的右焦点为F (3,0),则|PF|-|PF |=4,所以|PF|=4+|PF |,故|PA|+|PF|=|PA|+|PF |+4 1 1 1 1 , (1) 由三角形两边之和大于第三边可得|PA|+|PF |≥|AF |=√(1-3) 2+(2-0) 2=2√2, 1 1 资料整理【淘宝店铺:向阳百分百】当且仅当P与图中P 重合时取等号, 0 结合 可得|PA|+|PF|≥2√2+4,故(|PA|+|PF|) =2√2+4 min (1) . 反思 可以发现,双曲线定义与椭圆运用思路类似,实际上大部分题目处理思路也相同,故要类比学习 [ ] . 考向二 双曲线的标准方程 x2 y2 【例 】若方程 + =1表示双曲线,则实数m的取值范围为 m 2-m 2 ___________ 答案:(-∞,0)∪(2,+∞) 1 1 解析:双曲线标准方程中x2和y2的系数异号,所以 ⋅ <0,解得:m<0或m>2 m 2-m . x2 y2 {m>0 反思 对于方程 + =1,若 n>0,则该方程表示椭圆;若mn<0,则该方程表示双曲线 m n m≠n [ ] . 【变式】双曲线λx2- y2=1的实轴长是虚轴长的 倍,则λ= 1 2 ___________ 答案: 4 x2 b,λx2- y2=1⇒ - y2=1 解析:先把双曲线化为标准方程,找到a和 1 , λ 1 1 1 所以a2= ,b2=1,由题意,2a=2×2b,故a2=4b2,即 =4,所以λ= λ λ 4 . 考向三 渐近线问题 资料整理【淘宝店铺:向阳百分百】x2 y2 【例 】已知双曲线C: - =1,则C的右焦点的坐标为;点(4,0)到其渐近线的距离是 6 3 3 ___________ 4√3 答案:(3,0), 3 解析:由题意,a=√6,b=√3,c=√a2+b2=3,所以双曲线C的右焦点的坐标为(3,0),渐近线方程 √2 |4| 4√3 为y=± x,即x±√2y=0,故点(4,0)到渐近线的距离 d= = 2 √12+(±√2) 2 3 . 反思 无论焦点在哪个坐标轴上,双曲线的渐近线都有个统一的求法:把标准方程中的“ 换成“ ,反 解出y即得渐近线的方程 [ ] 1” 0” . x2 y2 【变式 】 新高考Ⅱ卷 若双曲线 - =1的离心率为 ,则此双曲线的渐近线方程为 a2 b2 1 (2021 ) 2 ___________ 答案:y=±√3x c 解析:由离心率可找到a和c的比例关系,再利用c2=a2+b2换算成a和b的关系即可,由题意,e= =2, a b 所以c=2a,故√a2+b2=2a,化简得: =√3,所以渐近线方程为y=±√3x a . 反思 离心率和渐近线斜率由a,b,c的比值决定,故在求它们的过程中,可对a,b,c按比例赋值, b [不会影]响结果例如,本题也可由c=2a直接令a=1,c=2,于是b=√c2-a2=√3,也得出 =√3 a . . x2 【变式 】双曲线C与双曲线 - y2=1有相同的渐近线,且过点(2,2),则双曲线C的方程为 2 2 ___________ y2 x2 答案: - =1 2 4 解析:不知道焦点在哪个坐标轴,讨论当然可以,但较为繁琑,可用共渐近线的双曲线的统一设法,设双 x2 22 曲线C: - y2=λ(λ≠0),因为双曲线C过点(2,2),所以 -22=λ,解得:λ=-2,故双曲线C的方 2 2 y2 x2 程为 - =1 2 4 . x2 y2 x2 y2 反思 与双曲线 - =1(a>0,b>0)共渐近线的双曲线可设为 - =λ(λ≠0) a2 b2 a2 b2 [ ] . 资料整理【淘宝店铺:向阳百分百】资料整理【淘宝店铺:向阳百分百】考向四 离心率问题 【 例 】 全 国 甲 卷 已 知 F ,F 是 双 曲 线 C的 两 个 焦 点 , P为 C上 一 点 , 且 1 2 ∠F P4F =6(200∘,21-|PF |=3|PF)|,则C的离心率为 1 2 1 2 ( ) √7 2 A. √13 2 B. √7 C.√13 D答.案:A { |PF |=3|PF | {|PF |=3a 解析:涉及|PF |和|PF |,考虑双曲线定义,由题意, 1 2 ,所以 1 ,还剩 1 2 |PF |-|PF |=2a |PF |=a 1 2 2 ∠F PF =60∘这个条件没用,可在△PF F 中由余弦定理建立方程求离心率,由余弦定理, 1 2 1 2 |F F | 2=|PF | 2+|PF | 2-2|PF |⋅|PF |⋅cos∠F PF ,即4c2=9a2+a2-2×3a×a×cos60∘,整理 1 2 1 2 1 2 1 2 c2 7 c √7 得: = ,所以C的离心率e= = a2 4 a 2 . x2 y2 【变式】 已知双曲线 - =1(a>0,b>0)的左、右焦点分别为F ,F ,过F 的直线l交双曲线的右 a2 b2 1 2 2 } 1 支于A、B两点,且|AB|=|AF |,cos∠AF B= ,则双曲线的离心率为( ) 1 1 4 √5 2 A. √3 B. 资料整理【淘宝店铺:向阳百分百】C.2√5 D答.案: C 又|AB|=|AF |,代入 可得|AB|-|AF |=|BF |=2a,代入 可得|BF |-2a=2a,所以|BF |=4a, 1 2 2 1 1 1 (1) (2) 对于cos∠AF B= 这个条件,我们能想到用余弦定理建立方程求离心率,但若在△AF B中用,它的 1 4 1 三边没有完全求出来,而△BF F 三边均已知了,所以转化到△BF F 中来用,因为|AB|=|AF |,所以 1 2 1 2 1 1 ∠F BF =∠AF B, 故 cos∠F BF =cos∠AF B= , 由 余 弦 定 理 , 1 2 1 1 2 1 4 1 |F F | 2=|BF | 2+|BF | 2-2|BF |⋅|BF |⋅cos∠F BF ,即4c2=16a2+4a2-2×4a×2a× ,整理 1 2 1 2 1 2 1 2 4 c2 c 得: =4,所以离心率e= =2 a2 a . 考向五 焦点三角形面积问题 x2 y2 【例 5】 变式 设F(c,0)是双曲线 - =1(a>0,b>0)的右焦点,过原点O的直线与双曲线交于 a2 b2 [ ] A,B两点,且AF⊥BF,且△ABF的周长为4a+2c,则该双曲线的离心率为 3 ( ) 2 A. 5 2 B. 资料整理【淘宝店铺:向阳百分百】√10 3 C. √10 2 D. 答案: 解析:D先分析图形,在双曲线中给出右焦点,一定要关注左焦点,如图,记左焦点为F ,由对称性,AB 1 中点为O,又FF 的中点也是O,所以四边形AF BF是平行四边形,结合AF⊥BF知四边形AF BF是 1 1 1 矩形,此时可将条件转移到△AFF 中来,结合双曲线的定义处理,设|AF |=m,|AF|=n,则|BF|=m, 1 1 由 四 边 形 AF BF为 矩 形 知 |AB|=|FF |=2c, 由 题 意 , △ABF的 周 长 1 1 L=|AB|+|BF|+|AF|=2c+m+n=4a+2c,所以m+n=4a ,由双曲线定义,|m-n|=2a ,又 AF ⊥AF,所以m2+n2=4c2 ,要求离心率,应消去m和n,建立a和c的关系式,将 和 平方相 1 (1) (2) 加可得(m+n) 2+(m-n) 2=16a2(3+)4a2,整理得:m2+n2=10a2,代入 可得10a2=4(c12),故(2)离心率 c √10 (3) e= = a 2 . x2 y2 【变式】 C: - =1(a>0) F ,F P C 已知双曲线 a2 4 的左、右焦点分别为 1 2,点 在双曲线 上,且 PF ⊥PF ,则△PF F 的面积为 1 2 1 2 答案: ___________ 4 解析:涉及焦点三角形,考虑用双曲线的定义,如图,设|PF |=m,|PF |=n,则|m-n|=2a ,上面 1 2 (1) 得到的是长度关系,故用勾股定理翻译垂直,因为PF ⊥PF ,所以m2+n2=|F F | 2=4(a2+4) ,对 1 2 1 2 (2) 比 和 发现,可通过配方求得mn,面积就有了,由 知m2+n2=(m-n) 2+2mn=4a2+16 ,将式 (1) (2) (2) 1 (3) 代入式 可得4a2+2mn=4a2+16,所以mn=8,故S = mn=4 △PKF 2 2 (11 (3) . 资料整理【淘宝店铺:向阳百分百】考向六 直线与双曲线综合问题 x2 y2 【例 】 已知A,B是双曲线C: - =1上的两点,线段AB的中点是M(2,1),则直线AB的方程 2 3 为 6 ] 答_案__:___3__3__x_- y-5=0 解析:涉及弦中点,想到中点弦斜率积结论, 1 3 M(2,1)⇒k ⋅k =k ⋅ = ,所以k =3, AB OM AB 2 2 AB 如图,直线AB过点M,故其方程为y-1=3(x-2), 整理得:3x- y-5=0 反思 在双曲线中,涉及. 弦中点的问题都可以考虑用中点弦斜率积结论来建立方程,求解需要的量 [变式]已知双曲线C:x2- y2=1,过点P(m,1)(m>0)的直线l与双曲线C交于A、B两点,若P. 为线段 AB的中点,则m的取值范围是 [ ] ___________ 答案:(0,1)∪(√2,+∞) 1 解析:涉及弦中点,想到中点弦斜率积结论,由题意,k ⋅k =k ⋅ =1,所以k =m,如图,直线l AB OP AB m AB 过点P,故其方程为y-1=m(x-m),整理得:y=mx+1-m2,直线l是随m而变化的动直线,且应满足l {y=mx+1-m2 与C有两个交点,于是联立方程用 Δ>0来求m的范围,联立 消去 y整理得: x2- y2=1 (1-m2)x2-2m(1-m2)x+2m2-2-m4=0, 因 为 直 线 l与 双 曲 线 C有 个 交 点 , 所 以 2 { 1-m2≠0(1) Δ=4m2(1-m2) 2 -4(1-m2)(2m2-2-m4)>0 由 可得m≠±1,由 可得(1-m2)[m2(1-m2)-2m2+2+m4)=(1-m2)(2-m2)>0,所以m2<1或m2>2, 结合(1)m>0可得0√2 . 资料整理【淘宝店铺:向阳百分百】基础题型训练 一、单选题 1.与椭圆 有公共焦点,且离心率 的双曲线的方程是 A. B. C. D. 【答案】D 【分析】双曲线与椭圆有公共焦点,先求出椭圆的焦点,然后根据离心率分别求出 ,即可求出双曲线 方程. 【详解】解:因为椭圆 的焦点 , 设双曲线的方程为 ,则 , 所以 ,故双曲线的方程是 故选:D 2.若双曲线 的一条渐近线经过点 ,则双曲线的离心率为( ) A. B. C. D.2 【答案】D 【分析】先求出渐近线方程,代入点 化简求解. 资料整理【淘宝店铺:向阳百分百】【详解】 双曲线 的渐近线方程为: ,点 在一条渐近线上即 故选:D 3.双曲线 的实轴长是虚轴长的两倍,则它的渐近线方程为( ) A. B. C. D. 【答案】C 【解析】由题可得 ,即 ,即得渐近线方程. 【详解】由方程可得双曲线的焦点在 轴上, 实轴长是虚轴长的两倍, , 则 ,故渐近线方程为 . 故选:C. 4.已知 , 分别为双曲线 的左、右顶点, 为双曲线左支上一点, 为等腰 三角形且其外接圆的半径为 ,则该双曲线的渐近线方程为( ) A. B. C. D. 【答案】B 【分析】先根据题目条件求出 的度数,然后再求出 的坐标,将 点的坐标代入双曲线方程找出 的关系即可写出渐近线方程 【详解】如图所示 资料整理【淘宝店铺:向阳百分百】设 为外接圆的圆心, 是等腰三角形, 又 , 是等边三角形 过 点作 于 点, , 故 点在双曲线上 ,整理得: 故双曲线的渐近线方程为: 故选:B 5.过原点的直线 与双曲线 : ( , )相交于不同的两点 , , 为双曲线 的 左焦点,且满足 , ( 为坐标原点),则双曲线 的渐近线的斜率为( ) A. B. C. D. 【答案】B 【解析】设点 为双曲线的右焦点,根据直线 过原点,由双曲线的对称性得到 ,再利用双曲线 的定义结合 ,得到 ,再根据 ,易得 ,然后由 求解. 【详解】如图所示: 资料整理【淘宝店铺:向阳百分百】点 为双曲线的右焦点, 因为直线 过原点,由双曲线的对称性得:四边形 是平行四边形, 所以 , 由双曲线的定义得: , 所以 , 因为 , 所以 , 又因为 ,则 , 又因为 , 所以 , 则 , 即 , 解得 ,即 , 故选:B 6.在平面直角坐标系 中,双曲线C: 的左焦点为F,过F且与x轴垂直的直线 与C交于A,B两点,若 是正三角形,则C的离心率为( ) 资料整理【淘宝店铺:向阳百分百】A. B. C. D. 【答案】A 【分析】设双曲线半焦距为c,求出 ,由给定的正三角形建立等量关系,结合 计算作答. 【详解】设双曲线半焦距为c,则 ,而 轴,由 得 ,从而有 , 而 是正三角形,即有 ,则 ,整理得 , 因此有 ,而 ,解得 , 所以C的离心率为 . 故选:A 二、多选题 7.已知双曲线E: 的左右焦点分别为 、 ,点P在双曲线E上, =10,则 为( ) A. B. C. D. 【答案】AD 【分析】根据双曲线定义直接计算可得. 【详解】由双曲线定义可知 ,即 , 所以 或 . 故选:AD 8.已知双曲线 经过点 ,则( ) A. 的实轴长为 B. 的焦距为 资料整理【淘宝店铺:向阳百分百】C. 的离心率为 D. 的渐近线方程是 【答案】BC 【分析】根据双曲线经过点 ,可得双曲线标准方程,根据双曲线的简单几何性质即可逐一判断. 【详解】由题意得 ,得 即双曲线方程为 . 所以,双曲线的实轴长是 ,焦距是 ,离心率为 ,渐近线方程是 故BC正确,AD错误, 故选:BC 三、填空题 9.焦点在 轴上,虚轴长为 ,且离心率 的双曲线的标准方程为 . 【答案】 【分析】根据题意,由双曲线的虚轴长可得 的值,又由双曲线的离心率公式可得 ,解可得 ,又由双曲线焦点的位置分析可得答案. 【详解】解:由题,因为焦点在 轴上,所以,设双曲线的方程为 . 因为虚轴长为 ,且离心率 , 所以 , , , 所以, ,解得 , , 所以所求双曲线的标准方程为 . 故答案为: 10.已知点 为双曲线 的左顶点,点 和点在 双曲线的右支上, 是等边三角形,则 的面积为 ; 资料整理【淘宝店铺:向阳百分百】【答案】 【解析】根据题意得 ,再根据双曲线和等边三角形的对称性,得到 ,由此得到直线 的 方程,求出点 ,从而可求 的面积. 【详解】由题意得, , 因为点 和 在双曲线的右分支上, 是等边三角形, 根据对称性得, , 所以直线 的方程是 , 代入双曲线方程,得 , 解得 或 (舍去), 所以 , 所以 . 故答案为: 【点睛】本题主要考查双曲线的几何性质和三角形面积的计算,还考查了分析解决问题的能力,属于基础 题. 11.过点 与双曲线 有公共渐近线的双曲线方程是 . 【答案】 【解析】利用待定系数法设出所求双曲线标准方程 ,再将点 代入可解得结果. 【详解】设与双曲线 有公共渐近线的双曲线标准方程是 , 因为双曲线 过 ,所以 ,即 , 资料整理【淘宝店铺:向阳百分百】所以所求双曲线的标准方程为 . 故答案为: . 12.从双曲线 的左焦点 引圆 的切线,切点为 ,且 交双曲 线的右支于点 ,若点 满足 ,则双曲线 的离心率为 . 【答案】 【分析】设点 是线段 的中点,由切线的性质可求 , ,根据双曲线的定义可得 ,再由 , , 的关系求离心率. 【详解】设双曲线的右焦点为 ,点 是线段 的中点,点 为坐标原点, 由切线的性质可得 , 所以 , 因为 ,所以 , , 所以 , 由双曲线的定义, ,即 ,所以 , 所以 ,所以 . 故答案为: . 资料整理【淘宝店铺:向阳百分百】四、解答题 13.已知双曲线的焦点在 轴上,并且双曲线过点 和 ,求双曲线的标准方程. 【答案】 【解析】直接设双曲线的方程为 ( ),代入点的坐标解得 ,即得. 【详解】设 ( ),则 ,解得 ,∴方程为 . 14.已知双曲线C: . (1)求以C的焦点为顶点、以C的顶点为焦点的椭圆的标准方程; (2)求与C有公共的焦点,且过点 的双曲线的标准方程,并且求出这条双曲线的实轴长、焦距、 离心率以及渐近线方程. 资料整理【淘宝店铺:向阳百分百】【答案】(1) ;(2) ;实轴长为 、焦距为 、离心率为 ,渐近线方程 为 . 【解析】(1)求得双曲线的焦点和顶点坐标,可得椭圆的a,c,求得b,可得椭圆方程; (2)设所求双曲线的方程为 (m, ),由题意可得 , ,解方程可得 m,n,进而得到所求双曲线的其他性质. 【详解】解:(1)双曲线C: 的焦点为 ,顶点为 , 设椭圆的标准方程为 ,可得 , , , 则椭圆的方程为 ; (2)设所求双曲线的方程为 (m, ), 由题意可得 , , 解得 , ,即所求双曲线的方程为 , 则这条双曲线的实轴长为 、焦距为 、离心率为 以及渐近线方程为 . 15.在平面直角坐标系 中,已知点 , ,点 的轨迹为 . 求 的方程; 【答案】 ; 【分析】 利用双曲线的定义可知轨迹 是以点 、 为左、右焦点双曲线的右支,求出 、 的值,从而得 的值,即可得出轨迹 的方程; 【详解】 资料整理【淘宝店铺:向阳百分百】因为 ,由双曲线的定义可知, 轨迹 是以点 、 为左、右焦点的双曲线的右支, 设轨迹 的方程为 ,则 ,可得 , ,即 ,所以 , 所以轨迹 的方程为 . 16.已知 为坐标原点,双曲线 ( , )的左、右焦点分别为 , ,离心率为2,过 的直线与双曲线的右支交于 , 两点,且 的最小值为6, (1)求双曲线方程 (2)求 面积的最小值 【答案】(1) (2)12 【分析】(1)结合题意,得到 的最小值为 ,从而利用双曲线的几何性质得到关于 的方程组, 解之即可; (2)先由条件得到 ,再联立直线与双曲线方程,结合韦达定理得到 关于 的解析式,利 用换元法与 的单调性即可求得 的最小值. 【详解】(1)依题意得,当 轴时, 取得最小值,不妨设 , 资料整理【淘宝店铺:向阳百分百】则 ,故 ,则 ,所以 ,则 , 又 ,则 , 联立 ,解得 , 所以双曲线的方程为 . (2)由(1)得 ,设 , ,直线 , 因为双曲线的渐近线为 ,又由直线 与双曲线的右支交于两点, 所以 ,则 ,从而 , 联立 ,得 , 则 , , , 所以 , 设 ,则 , , 令 ,易得 在 上单调递减,则 , 所以 ,即 面积的最小值为 . 资料整理【淘宝店铺:向阳百分百】提升题型训练 一、单选题 1.双曲线 的实轴长为( ) A.2 B.4 C. D. 【答案】B 【分析】根据题意得 ,进而根据双曲线的实轴长为 求解即可. 【详解】解:由题知 ,所以双曲线的实轴长为 . 故选:B 2.已知 是双曲线 的左、右焦点,点M是过坐标原点O且倾斜角为60°的直线 l与双曲线C的一个交点,且 则双曲线C的离心率为( ) A.2 B. C. D. 【答案】C 【分析】由 得到 , ,结合 ,求出 , ,利用双曲线定义得到方程,求出离心率. 【详解】不妨设点M在第一象限, 由题意得: , 资料整理【淘宝店铺:向阳百分百】即 , 故 ,故 , 因为O为 的中点, 所以 , 因为 ,故 为等边三角形, 故 , , 由双曲线定义可知: , 即 ,解得: . 故选:C. 3.已知双曲线 的左焦点为 ,离心率为 ,若经过 和 两点的直线平行 于双曲线的一条渐近线,则双曲线的方程为( ) A. B. C. D. 【答案】D 【分析】由双曲线的离心率为 ,得到双曲线为等轴双曲线,即渐近线方程为 ,根据直线 的斜率公式,即可求得c的值,求得a和b的值,即可求得双曲线方程. 【详解】设双曲线的左焦点 ,离心率 ,即 , 因为 ,所以 , 双曲线的渐近线方程为 , 由题意得:经过 和 两点的直线与 平行, 资料整理【淘宝店铺:向阳百分百】故 , 则 ,解得: ,则 , 故双曲线的标准方程: . 故选:D. 4.已知双曲线 的上、下焦点分别为 ,若存在点 ,使得 ,则实数 的取值范围为( ) A. B. C. D. 【答案】C 【分析】根据双曲线方程可得实轴长和渐近线方程,结合双曲线定义和点 所在直线可确定双曲线 与 有交点,由此可得渐近线与直线 斜率之间的关系,进而解不等式求得结果. 【详解】由双曲线方程知:实轴长 ,渐近线方程为 ; 由双曲线定义知:在双曲线 上半支任取一点 ,则 ; 在直线 上, 若存在点 ,使得 ,则双曲线 与 有交点, ,解得: (舍)或 , 实数 的取值范围为 . 故选:C. 5.已知双曲线 与直线 相交于两个不同的点,则双曲线C的离心率的取值范 围为( ) 资料整理【淘宝店铺:向阳百分百】A. B. C. D. 【答案】D 【分析】根据题意,联立直线与双曲线方程,即可得到 的范围,再由双曲线的离心率的公式,代入计算, 即可得到结果. 【详解】由 可得, ,则 , 即 ,解得 ,故 , 则 ,故 . 故选:D 6.已知 , 分别为双曲线 的左、右焦点,若点 到该双曲线渐近线的距离为 1,点P在双曲线上,且 ,则 的面积为( ) A. B.4 C.2 D. 【答案】D 【分析】先求出双曲线的渐近线方程,由点到直线的距离结合条件求出 ,然后由双曲线的定义结合余弦 定理可得出 ,由条件求出 , ,结合三角形的面积 公式可得出答案. 【详解】双曲线 的渐近线方程为: , 资料整理【淘宝店铺:向阳百分百】因为点 到该双曲线渐近线的距离为1,所以 . 由题意 ,则 (1) 由余弦定理可得 (2) 将(1)代入(2)可得 . 因为 ,所以 , , 所以 , 故 的面积为 . 故:D 二、多选题 7.设 分别是双曲线 的左、右焦点,且焦距为2,则下列结论正确的有( ) A. B.当 时, 的离心率是 C. 的取值范围是 D. 到渐近线的距离随着 的增大而增大 【答案】BC 【分析】对A,由a、b、c关系列式求解即可; 对B,由离心率公式直接求即可; 对C,双曲线存在左右焦点,故有 ; 资料整理【淘宝店铺:向阳百分百】对D, 到渐近线的距离为 . 【详解】对A, ,∴ ,A错; 对B, , ,∴ ,B对; 对C,双曲线存在左右焦点,故 ,解得 ,C对; 对D, 到渐近线的距离为 ,随着 的增大而减小,D错. 故选:BC. 8.已知椭圆 过双曲线 的焦点, 的焦点恰为 的顶点, 与 的 交点按逆时针方向分别为 , , , , 为坐标原点,则( ) A. 的离心率为 B. 的右焦点到 的一条渐近线的距离为 C.点 到 的两顶点的距离之和等于 D.四边形 的面积为 【答案】ACD 【分析】根据条件先求解出双曲线方程中 的值,由此可求双曲线的渐近线方程,结合点到直线的距 离公式即可判断选项A和选项B;根据椭圆的定义判断选项C;计算出椭圆和双曲线的交点坐标,由此可 求四边形 的面积. 【详解】如下图所示,设双曲线的焦距为 , 资料整理【淘宝店铺:向阳百分百】由题意可知: , ,所以 的离心率为 ,故A正确; 的右焦点 , 方程中 ,所以 的渐近线方程为 , 不妨取渐近线 ,所以 到 的距离为 ,故B错误; 根据椭圆定义可知: ,故C正确; 联立 ,所以 ,所以 ,故D正确; 故选:ACD. 三、填空题 9.以 为渐近线且经过点 的双曲线方程为 . 【答案】 【详解】以 为渐近线的双曲线为等轴双曲线,方程可设为 ,代入点 得 资料整理【淘宝店铺:向阳百分百】. 10.已知定点 ,且 ,动点 满足 ,则 的最小值是 . 【答案】6 【分析】根据动点 满足 ,得到点P的轨迹是以A,B为焦点的双曲线的一支,不 妨设焦点在x轴上,写出双曲线方程,设 ,利用两点间距离公式求解. 【详解】因为动点 满足 , 所以点P的轨迹是以A,B为焦点的双曲线的一支, 则 ,即 , 不妨设焦点在x轴上,则双曲线方程为 , 左焦点为 ,右焦点为 , 设 ,则 , 所以 , 所以 的最小值是6, 故答案为:6 11.P是非等轴双曲线 上的一点, 分别是双曲线C左、右焦点,若 , 则双曲线C的渐近线方程是 . 【答案】 【解析】由双曲线定义可得 ,根据 、已知可解得 ,再由渐近线方程是 资料整理【淘宝店铺:向阳百分百】可得答案. 【详解】因为 ,所以 , 又因为 , , 所以 , 即 ,解得 或 (舍去), 所以双曲线C的渐近线方程是 . 故答案为: . 【点睛】本题考查了双曲线的定义、焦点三角形的问题,关键点是焦点三角形中 ,考查了分析 问题、解决问题的能力. 12.已知双曲线方程是 ,过 的直线与双曲线右支交于 , 两点(其中 点在第一象限), 设点 、 分别为 、 的内心,则 的范围是 . 【答案】 【分析】根据双曲线和三角形内切圆的性质可得点 、 与双曲线右顶点 三点共线,且 ,线 段 ,可分别用直线倾斜角表示出 ,根据倾斜角范围可求出 的范围. 资料整理【淘宝店铺:向阳百分百】【详解】 因 ,故 , , , 如图,过 点分别作 , , ,垂足分别为 , 因 为 的内心, 所以 , 故 点也在双曲线上,即 为双曲线的右顶点, 同理 ,所以 三点共线, 设直线 的倾斜角为 , 因双曲线的渐近线方程为 ,倾斜角为 , 根双曲线的对称性,不妨设 , 因 , 所以 , , 所以 资料整理【淘宝店铺:向阳百分百】, 因 ,所以 , 所以 , 故答案为: 四、解答题 13.求满足下列条件的曲线标准方程: (1)两焦点分别为 , ,且经过点 的椭圆标准方程; (2)与双曲线 有相同渐近线,且焦距为 的双曲线标准方程. 【答案】(1) (2) 或 【分析】(1)利用椭圆的定义以及点在椭圆上求解;(2)根据双曲线及渐近线方程的定义求解. 【详解】(1)设所求椭圆的标准方程为 两焦点分别为 , , 资料整理【淘宝店铺:向阳百分百】又 椭圆过点 , ,又 , ,所以椭圆的标准方程为 . (2)方法一: (i),若焦点在 轴上,设所求双曲线方程为 , 因为 与双曲线 有相同渐近线, 所以 ,设该双曲线的焦距为 , 又因为焦距 所以 ,所以 , 联立 解得 则双曲线方程为 , (ii),若焦点在 轴上,设所求双曲线方程为 , 因为 与双曲线 有相同渐近线, 所以 ,设该双曲线的焦距为 , 又因为焦距 所以 ,所以 , 联立 解得 则双曲线方程为 , 双曲线的标准方程为: 或 方法二: 设与双曲线 有相同渐近线的双曲线方程为: ( ) 资料整理【淘宝店铺:向阳百分百】焦距为 , , 双曲线的标准方程为: 或 14.已知双曲线 : 与双曲线 有相同的焦点;且 的一条渐近线与直线 平行. (1)求双曲线 的方程; (2)若直线 与双曲线 右支相切(切点不为右顶点),且 分别交双曲线 的两条渐近线于 两点, 为 坐标原点,试判断 的面积是否为定值,若是,请求出;若不是,请说明理由. 【答案】(1) (2)是,2 【分析】(1)根据题意列式求解 ,即可得方程;(2)设直线 ,联立方程由 可得 ,根据题意求 的坐标,即可求 的面积,化简整理即可. 【详解】(1)设双曲线 的焦距为 , 由题意可得: ,则 , 则双曲线 的方程为 . (2)由于直线 与双曲线 右支相切(切点不为右顶点),则直线 的斜率存在, 资料整理【淘宝店铺:向阳百分百】设直线 的方程为 , 则 ,消 得: , 则 ,可得: ① 设 与 轴交点为 , 则 , ∵双曲线两条渐近线方程为: , 联立 ,解得 ,即 , 同理可得: , 则 (定值). 15.在一张纸上有一圆 : ,定点 ,折叠纸片使圆 上某一点 恰好与点 重 合,这样每次折叠都会留下一条直线折痕 ,设折痕 与直线 的交点为 . (1)求点 的轨迹 方程; (2)曲线 上一点N,点A、B分别为直线 : 在第一象限上的点与 : 在第四象限上的点, 资料整理【淘宝店铺:向阳百分百】若 , ,求 面积的取值范围. 【答案】(1) (2) 【分析】(1)依题意可得 ,即可得到 ,根据双曲线的定义可得点 的轨 迹为以 , 为焦点,实轴长为8的双曲线,从而求出 的轨迹方程; (2)设 , , ,且 , ,根据 ,即可得到 ,再表示出 、 ,设 的倾斜角为 ,利用二倍角公式即同角三角函数的基本关系 求出 ,再根据 及对勾函数的性质计算可得; 【详解】(1)解:依题意可得点 与 关于 对称,则 , ∴ . 则点 的轨迹为以 , 为焦点,实轴长为8的双曲线, ∴ , ,又 ,故 , , , 所以双曲线方程为 ; (2)解:由题意知, , 分别为双曲线 : 的渐近线, 设 , , ,且 , , 由 得 , , 资料整理【淘宝店铺:向阳百分百】∴ , .∴ , 整理得 ,即 又 ,同理 , 设 的倾斜角为 , 则 . ∴ 因为 ,易知函数 在 上单调递减,在 上单调递增, 当 时, ,当 时, ; ∴ 面积取值范围是 . 16.已知 为坐标原点,双曲线 ( , )的左、右焦点分别为 , ,离心率为2,过 的直线与双曲线的右支交于 , 两点,且 的最小值为6, (1)求双曲线方程 (2)求 面积的最小值 【答案】(1) (2)12 资料整理【淘宝店铺:向阳百分百】【分析】(1)结合题意,得到 的最小值为 ,从而利用双曲线的几何性质得到关于 的方程组, 解之即可; (2)先由条件得到 ,再联立直线与双曲线方程,结合韦达定理得到 关于 的解析式,利 用换元法与 的单调性即可求得 的最小值. 【详解】(1)依题意得,当 轴时, 取得最小值,不妨设 , 则 ,故 ,则 ,所以 ,则 , 又 ,则 , 联立 ,解得 , 所以双曲线的方程为 . (2)由(1)得 ,设 , ,直线 , 因为双曲线的渐近线为 ,又由直线 与双曲线的右支交于两点, 所以 ,则 ,从而 , 联立 ,得 , 则 , , , 所以 , 资料整理【淘宝店铺:向阳百分百】设 ,则 , , 令 ,易得 在 上单调递减,则 , 所以 ,即 面积的最小值为 . 资料整理【淘宝店铺:向阳百分百】