当前位置:首页>文档>专题02直线与平面所成角(线面角)(含探索性问题)(典型题型归类训练)(解析版)_02高考数学_2025年新高考资料_二轮复习

专题02直线与平面所成角(线面角)(含探索性问题)(典型题型归类训练)(解析版)_02高考数学_2025年新高考资料_二轮复习

  • 2026-04-07 13:48:01 2026-04-07 13:40:22

文档预览

专题02直线与平面所成角(线面角)(含探索性问题)(典型题型归类训练)(解析版)_02高考数学_2025年新高考资料_二轮复习
专题02直线与平面所成角(线面角)(含探索性问题)(典型题型归类训练)(解析版)_02高考数学_2025年新高考资料_二轮复习
专题02直线与平面所成角(线面角)(含探索性问题)(典型题型归类训练)(解析版)_02高考数学_2025年新高考资料_二轮复习
专题02直线与平面所成角(线面角)(含探索性问题)(典型题型归类训练)(解析版)_02高考数学_2025年新高考资料_二轮复习
专题02直线与平面所成角(线面角)(含探索性问题)(典型题型归类训练)(解析版)_02高考数学_2025年新高考资料_二轮复习
专题02直线与平面所成角(线面角)(含探索性问题)(典型题型归类训练)(解析版)_02高考数学_2025年新高考资料_二轮复习
专题02直线与平面所成角(线面角)(含探索性问题)(典型题型归类训练)(解析版)_02高考数学_2025年新高考资料_二轮复习
专题02直线与平面所成角(线面角)(含探索性问题)(典型题型归类训练)(解析版)_02高考数学_2025年新高考资料_二轮复习
专题02直线与平面所成角(线面角)(含探索性问题)(典型题型归类训练)(解析版)_02高考数学_2025年新高考资料_二轮复习
专题02直线与平面所成角(线面角)(含探索性问题)(典型题型归类训练)(解析版)_02高考数学_2025年新高考资料_二轮复习
专题02直线与平面所成角(线面角)(含探索性问题)(典型题型归类训练)(解析版)_02高考数学_2025年新高考资料_二轮复习
专题02直线与平面所成角(线面角)(含探索性问题)(典型题型归类训练)(解析版)_02高考数学_2025年新高考资料_二轮复习
专题02直线与平面所成角(线面角)(含探索性问题)(典型题型归类训练)(解析版)_02高考数学_2025年新高考资料_二轮复习
专题02直线与平面所成角(线面角)(含探索性问题)(典型题型归类训练)(解析版)_02高考数学_2025年新高考资料_二轮复习
专题02直线与平面所成角(线面角)(含探索性问题)(典型题型归类训练)(解析版)_02高考数学_2025年新高考资料_二轮复习
专题02直线与平面所成角(线面角)(含探索性问题)(典型题型归类训练)(解析版)_02高考数学_2025年新高考资料_二轮复习
专题02直线与平面所成角(线面角)(含探索性问题)(典型题型归类训练)(解析版)_02高考数学_2025年新高考资料_二轮复习
专题02直线与平面所成角(线面角)(含探索性问题)(典型题型归类训练)(解析版)_02高考数学_2025年新高考资料_二轮复习
专题02直线与平面所成角(线面角)(含探索性问题)(典型题型归类训练)(解析版)_02高考数学_2025年新高考资料_二轮复习
专题02直线与平面所成角(线面角)(含探索性问题)(典型题型归类训练)(解析版)_02高考数学_2025年新高考资料_二轮复习
专题02直线与平面所成角(线面角)(含探索性问题)(典型题型归类训练)(解析版)_02高考数学_2025年新高考资料_二轮复习
专题02直线与平面所成角(线面角)(含探索性问题)(典型题型归类训练)(解析版)_02高考数学_2025年新高考资料_二轮复习
专题02直线与平面所成角(线面角)(含探索性问题)(典型题型归类训练)(解析版)_02高考数学_2025年新高考资料_二轮复习
专题02直线与平面所成角(线面角)(含探索性问题)(典型题型归类训练)(解析版)_02高考数学_2025年新高考资料_二轮复习
专题02直线与平面所成角(线面角)(含探索性问题)(典型题型归类训练)(解析版)_02高考数学_2025年新高考资料_二轮复习
专题02直线与平面所成角(线面角)(含探索性问题)(典型题型归类训练)(解析版)_02高考数学_2025年新高考资料_二轮复习
专题02直线与平面所成角(线面角)(含探索性问题)(典型题型归类训练)(解析版)_02高考数学_2025年新高考资料_二轮复习
专题02直线与平面所成角(线面角)(含探索性问题)(典型题型归类训练)(解析版)_02高考数学_2025年新高考资料_二轮复习
专题02直线与平面所成角(线面角)(含探索性问题)(典型题型归类训练)(解析版)_02高考数学_2025年新高考资料_二轮复习
专题02直线与平面所成角(线面角)(含探索性问题)(典型题型归类训练)(解析版)_02高考数学_2025年新高考资料_二轮复习
专题02直线与平面所成角(线面角)(含探索性问题)(典型题型归类训练)(解析版)_02高考数学_2025年新高考资料_二轮复习
专题02直线与平面所成角(线面角)(含探索性问题)(典型题型归类训练)(解析版)_02高考数学_2025年新高考资料_二轮复习
专题02直线与平面所成角(线面角)(含探索性问题)(典型题型归类训练)(解析版)_02高考数学_2025年新高考资料_二轮复习
专题02直线与平面所成角(线面角)(含探索性问题)(典型题型归类训练)(解析版)_02高考数学_2025年新高考资料_二轮复习
专题02直线与平面所成角(线面角)(含探索性问题)(典型题型归类训练)(解析版)_02高考数学_2025年新高考资料_二轮复习
专题02直线与平面所成角(线面角)(含探索性问题)(典型题型归类训练)(解析版)_02高考数学_2025年新高考资料_二轮复习
专题02直线与平面所成角(线面角)(含探索性问题)(典型题型归类训练)(解析版)_02高考数学_2025年新高考资料_二轮复习
专题02直线与平面所成角(线面角)(含探索性问题)(典型题型归类训练)(解析版)_02高考数学_2025年新高考资料_二轮复习
专题02直线与平面所成角(线面角)(含探索性问题)(典型题型归类训练)(解析版)_02高考数学_2025年新高考资料_二轮复习
专题02直线与平面所成角(线面角)(含探索性问题)(典型题型归类训练)(解析版)_02高考数学_2025年新高考资料_二轮复习
专题02直线与平面所成角(线面角)(含探索性问题)(典型题型归类训练)(解析版)_02高考数学_2025年新高考资料_二轮复习
专题02直线与平面所成角(线面角)(含探索性问题)(典型题型归类训练)(解析版)_02高考数学_2025年新高考资料_二轮复习
专题02直线与平面所成角(线面角)(含探索性问题)(典型题型归类训练)(解析版)_02高考数学_2025年新高考资料_二轮复习
专题02直线与平面所成角(线面角)(含探索性问题)(典型题型归类训练)(解析版)_02高考数学_2025年新高考资料_二轮复习
专题02直线与平面所成角(线面角)(含探索性问题)(典型题型归类训练)(解析版)_02高考数学_2025年新高考资料_二轮复习
专题02直线与平面所成角(线面角)(含探索性问题)(典型题型归类训练)(解析版)_02高考数学_2025年新高考资料_二轮复习
专题02直线与平面所成角(线面角)(含探索性问题)(典型题型归类训练)(解析版)_02高考数学_2025年新高考资料_二轮复习
专题02直线与平面所成角(线面角)(含探索性问题)(典型题型归类训练)(解析版)_02高考数学_2025年新高考资料_二轮复习
专题02直线与平面所成角(线面角)(含探索性问题)(典型题型归类训练)(解析版)_02高考数学_2025年新高考资料_二轮复习
专题02直线与平面所成角(线面角)(含探索性问题)(典型题型归类训练)(解析版)_02高考数学_2025年新高考资料_二轮复习
专题02直线与平面所成角(线面角)(含探索性问题)(典型题型归类训练)(解析版)_02高考数学_2025年新高考资料_二轮复习
专题02直线与平面所成角(线面角)(含探索性问题)(典型题型归类训练)(解析版)_02高考数学_2025年新高考资料_二轮复习

文档信息

文档格式
docx
文档大小
4.212 MB
文档页数
48 页
上传时间
2026-04-07 13:40:22

文档内容

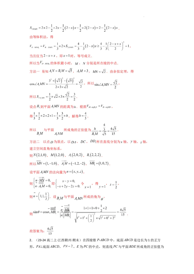
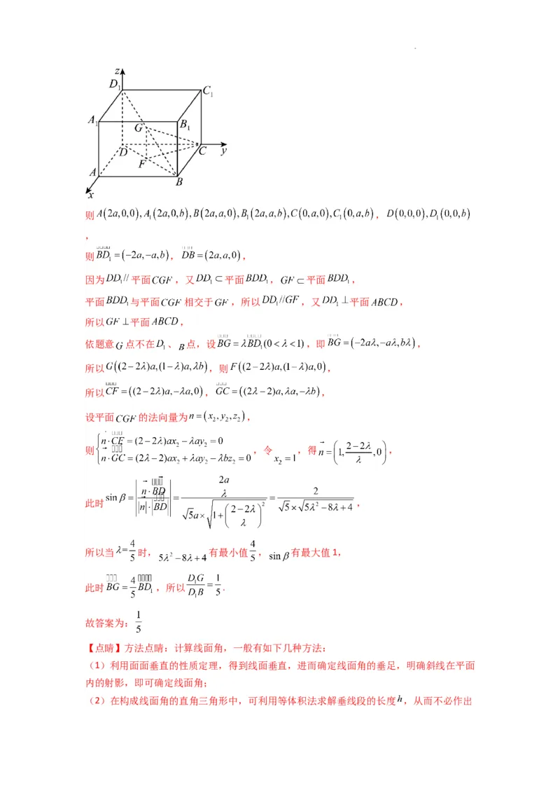
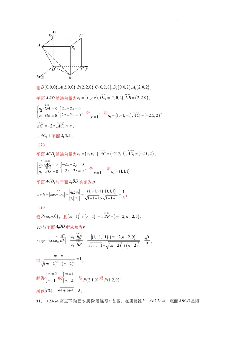
专题 02 直线与平面所成角(线面角)(含探索性问题) (典型题型归类训练) 目录 一、必备秘籍..............................................1 二、典型题型..............................................2 题型一:求线面角.......................................2 题型二:已知线面角求参数...............................8 题型三:求线面角最值(范围)..........................18 三、专项训练.............................................26 一、必备秘籍 1、斜线在平面上的射影:过斜线上斜足以外的一点向平面引垂线,过垂足及斜足的直线叫 做斜线在平面内的射影. 注意:斜线上任意一点在平面上的射影一定在斜线的射影上. 如图,直线 是平面 的一条斜线,斜足为 ,斜线上一点 在平面 上的射影为 , 则直线 是斜线 在平面 上的射影. 2、直线和平面所成角:(有三种情况) (1)平面的斜线与它在平面内的射影所成的锐角,叫这条直线与这个平面所成的角。由定 义可知:斜线与平面所成角的范围为 ; (2)直线与平面垂直时,它们的所成角为 ; (3)直线与平面平行(或直线在平面内)时,它们的所成角为0. 结论:直线与平面所成角的范围为 . 学科网(北京)股份有限公司3、向量法 设直线 的方向向量为 ,平面 的一个法向量为 ,直线 与平面 所成的角为 ,则 , . 二、典型题型 题型一:求线面角 1.(2024·全国·模拟预测)在棱长为2的正方体 中,动点 , 分别在 棱 , 上,且满足 ,当 的体积最小时, 与平面 所成角的 正弦值是 . 【答案】 【分析】设 ,结合等积法,可求出当 的体积最小时, , 分别 是所在棱的中点;法一,根据 ,可求出点 到平面 的距离为 ,结 合直线与平面所成角的集合法即可求解;法二,建立空间直角坐标系,应用向量法求解. 【详解】设 ,则 学科网(北京)股份有限公司. 由等体积法,得 , 当且仅当 ,即 时,等号成立. 所以当 的体积最小时, , 分别是所在棱的中点. 方法一 易知 , , .由余弦定理,得 ,所以 , 所以 . 设点 到平面 的距离为 .根据 , 得 ,解得 . 所以 与平面 所成角的正弦值为 . 方法二 以点 为原点,以 , , 所在直线分别为 轴、 轴、 轴, 建立空间直角坐标系, 则 , , , . 所以 , , . 设平面 的法向量为 , 则 即 令 ,得 , , 则 .设 与平面 所成的角为 , 则 . 故答案为: 2.(23-24高二上·江西赣州·期末)在四棱锥P-ABCD中,底面ABCD是边长为1的正方 形,PA⊥底面ABCD, ,E为PC的中点,则直线PC与平面BDE所成角的正弦值为 学科网(北京)股份有限公司. 【答案】 / 【分析】建立空间直角坐标系,利用直线与平面所成角的向量公式即可求解. 【详解】由题意知,分别以 所在直线为 轴, 轴, 轴建立空间直角坐标系如 图所示, , , , , , , , 设平面 的法向量为 , ,即 ,取 设直线PC与平面BDE所成角为 . 故答案为: . 3.(23-24高二上·北京·期末)在空间直角坐标系中,若直线 的方向向量是 , 平面 的一个法向量是 ,则直线 与平面 所成角的正弦值等于 . 【答案】 / 【分析】利用空间向量的坐标求出直线 与平面 法向量夹角的余弦值,即可得到直线 与 平面 所成角的正弦值. 【详解】直线 与平面 所成角的正弦值即直线 与平面 法向量夹角的余弦值的绝对值. 设直线 与平面 所成的角为 ,则: 学科网(北京)股份有限公司所以 . 故答案为: . 4.(23-24高二上·四川成都·期末)正方体 的棱长为2,BC棱上一点P满 足 ,则直线PA与平面ABC所成角的正弦值为 . 1 【答案】 【分析】根据空间向量法求线面角,即可求解. 【详解】以D为原点建系如下, 则 , , , , , 得 ,设 , , , 则 , 因为 ,所以 ,解得 , , 设平面ABC的一个法向量为 , 1 则 ,令 ,得 ,所以 , 则 , 所以直线PA与平面ABC所成角的正弦值为 . 1 故答案为: . 5.(2024·辽宁·模拟预测)如图,已知多面体 的底面 为正方形,四边形 是平行四边形, , , 是 的中点. 学科网(北京)股份有限公司(1)证明: 平面 ; (2)若 是等边三角形,求直线 与平面 所成角的正弦值. 【答案】(1)证明见详解 (2) 【分析】(1)设 ,连接 ,根据题意可得 ∥ , ∥ ,可证平 面 ∥平面 ,再利用面面平行的性质分析证明; (2)取 的中点 ,连接 ,可证 平面 , 平面 ,建系,利 用空间向量求线面夹角. 【详解】(1)设 ,连接 , 因为 为正方形,则 为 的中点, 又因为 是 的中点,则 ∥ , 且 平面 , 平面 ,所以 ∥平面 , 由题意可知:四边形 是平行四边形, ∥ , 且 平面 , 平面 ,所以 ∥平面 , 且 , 平面 ,可得平面 ∥平面 , 由 平面 ,可得 ∥平面 . (2)由题意可知: ,且 , 平面 , 可得 平面 , 取 的中点 ,连接 , 可知 分别为 的中点,可得 ∥ ,所以 平面 , 由 平面 ,可得 , 又因为 是等边三角形,可得 , 学科网(北京)股份有限公司且 , 平面 ,可得 平面 , 以 为坐标原点, 分别为 轴,建立如图所示的空间直角坐标系, 可得 , 可得 , 且 , 设平面 的法向量 ,则 , 令 ,则 ,可得 , 则 , 所以直线 与平面 所成角的正弦值为 . 6.(2024·全国·模拟预测)如图所示,棱锥 中, 平面 , , , , , , 为 中点, . (1)证明:B,C,M,N四点共面; (2)求直线AC与平面 所成线面角的正弦值. 【答案】(1)证明见解析 (2) 【分析】(1)建立空间直角坐标系,求出点和向量的坐标,找到 与 的交点即可证 明四点共面; (2)建立空间直角坐标系,求出 和平面 的法向量,利用向量夹角的余弦值可 以得到直线与平面所成角的正弦值. 【详解】(1)以 为原点, 为 轴正方向, 为 轴正方向, 为 轴正方向,建 立空间直角坐标系, 学科网(北京)股份有限公司则 , , , , , , . 设 与 轴交于 , 与 轴交于 , 由 与 共线, 与 共线,可得 . 所以直线 与直线 相交,则B,C,M,N四点共面. (2) , ,设平面 的法向量为 , 则 即 ,故 , 又 ,所以 , 故直线 与平面 所成线面角正弦值为 . 题型二:已知线面角求参数 1.(2024高三·全国·专题练习)如图,在四棱锥 中, 平面 ,底面 是矩形, , , 是 上的点,直线 与平面 所成角的 正弦值为 ,则 的长为 . 【答案】2 【分析】建立空间直角坐标系,求出相关点坐标,求出平面 的法向量,利用空间角的 学科网(北京)股份有限公司向量求法,结合直线 与平面 所成的正弦值为 ,即可求得答案. 【详解】由题意知在四棱锥 中, 平面 ,底面 是矩形, 以A为坐标原点,以 所在直线为 轴建立空间直角坐标系,如图, 则 ,设 , 则 , 设平面 的一个法向量为 ,则 , 令 ,得 ,设直线 与平面 所成的角为 , 因为直线 与平面 所成角的正弦值为 ,即 , 所以 , 即 ,解得 或 (舍去),所以 , 故 的长为2. 故答案为:2 2.(23-24高二上·新疆伊犁·期中)如图,四棱锥 的底面 是梯形, 平面 , , , , , 为线段 上一 个动点,且 ,若 与平面 所成的角为 ,则 . 【答案】 【分析】建立空间直角坐标系,利用空间向量法求解线面夹角,从而求解. 【详解】连接 ,因为: , , ,在 中,由余弦定理 学科网(北京)股份有限公司得: , 即有: ,所以: , 以 点为原点,以 所在直线分别为 轴建立如图所示空间直角坐标系, 则 , , , , , 所以: , , , , 因为: ,且 , , 设平面 的一个法向量为: , 则: ,令: ,得: , 所以得: ,解得: . 故答案为: . 3.(23-24高二上·辽宁大连·期中)如图,在四棱锥 中,底面 是矩形, 为棱 的中点,且 为棱 上的一点,若 与平 面 所成角的正弦值为 ,则 . 【答案】 / 【分析】根据给定条件,证得 平面 ,以 为原点建立空间直角坐标系,利用空 间向量求解即得. 学科网(北京)股份有限公司【详解】过点 作 ,交 于点 ,由 , 为 中点,得 , 又 ,且 , 平面 ,则 平面 , 而 平面 ,有 ,又 是矩形,则 两两垂直, 以 为原点, 所在直线分别为 轴建立空间直角坐标系,如图: 由 , , 为 中点,得 , 为 的中点, 则点 , , , , , , , , , 令 , , 设平面 法向量为 ,则 ,令 ,得 , 由 与平面 所成角的正弦值为 ,得 , 解得 ,所以 . 故答案为: 4.(2024·山西晋城·二模)如图1,在 中, , ,点D是线段 AC的中点,点E是线段AB上的一点,且 ,将 沿DE翻折到 的位 置,使得 ,连接PB,PC,如图2所示,点F是线段PB上的一点. (1)若 ,求证: 平面 ; (2)若直线CF与平面 所成角的正弦值为 ,求线段BF的长. 【答案】(1)证明见详解 学科网(北京)股份有限公司(2) 或 【分析】(1)根据题意可证 平面 ,建系,利用空间向量证明线面平行; (2)设 ,求平面 的法向量,结合线面夹角的向量运算分析求 的值,即可 得结果. 【详解】(1)由题意可知: , , 平面 , 可得 平面 , 且 ,以 为坐标原点, 分别为 轴,建立空间直角坐标系, 则 , 可得 , 设 , 则 , 若 ,则 , , 由题意可知:平面 的法向量 , 因为 ,且 平面 , 所以 ∥平面 . (2)由(1)可得: , 设平面 的法向量 ,则 , 令 ,则 ,可得 , 由题意可得: , 整理得 ,解得 或 , 学科网(北京)股份有限公司所以 或 ,即线段BF的长为 或 . 5.(2024·辽宁·二模)如图,在三棱锥 中,侧面 是全等的直角三角 形, 是公共的斜边,且 , ,另一个侧面是正三角形. (1)求证: ; (2)在图中作出点 到底面 的距离,并说明理由; (3)在线段 上是否存在一点 ,使 与平面 成 角?若存在,确定 的位置; 若不存在,说明理由. 【答案】(1)证明见解析 (2)图象见解析,理由见解析 (3)存在,且点 在 的位置 【分析】(1)取 中点 ,连接 ,证明 平面 ,再根据线面垂直的 性质即可得证; (2)作 于点 ,证明 平面 ,再求出 的长度,进而可求出点 的 位置,即可得解; (3)结合(2)中所得可建立适当空间直角坐标系,结合空间向量计算即可得. 【详解】(1)如图所示,取 中点 ,连接 , 因为 ,所以 , 又因为 ,所以 , 又因为 ,且 平面 ,所以 平面 , 因为 平面 ,所以 ; (2)作 于点 , 因为 平面 , 平面 , 所以 , 因为 ,且 平面 ,所以 平面 , 在 中, , , 则 ,所以 ,故 , 学科网(北京)股份有限公司因为 ,所以 , 故 , 在 中, , 所以 为钝角,所以点 在 延长线上, 在 中, ,故 , 所以 , 所以 ,所以垂足 与 构成一个正方形 , 故线段 即为点 到底面 的距离; (3)由(2)可知 平面 ,且底面 为正方形, 故 、 、 两两垂直, 故可以 为原点,建立如图所示空间直角坐标系 , 则有 , , , , , 则 , , , 令 ,则 , 令平面 的法向量为 , 则有 ,即 , 可取 ,则 ,即 , 则 , 整理得 ,即 ,由 ,故 , 则 , 学科网(北京)股份有限公司即存在点 ,且点 在 的位置. 【点睛】方法点睛:立体几何开放性问题求解方法有以下两种: (1)根据题目的已知条件进行综合分析和观察猜想,找出点或线的位置,然后再加以证 明,得出结论; (2)假设所求的点或线存在,并设定参数表达已知条件,根据题目进行求解,若能求出参 数的值且符合已知限定的范围,则存在这样的点或线,否则不存在. 6.(23-24高三下·湖南长沙·阶段练习)如图,在四棱锥 中, 平面 . (1)求证:平面 平面 ; (2)若点 为 的中点,线段 上是否存在点 ,使得直线 与平面 所成角的正 弦值为 .若存在,求 的值;若不存在,请说明理由. 【答案】(1)证明见解析 (2)存在, 或 【分析】(1)设 的中点为 ,根据题意证得 和 ,证得 平面 ,进而证得平面 平面 . (2)以 所在的直线为 轴和 轴,建立空间直角坐标系,设 ,分别求得平面 和 ,结合向量的夹角公式,列出方程, 即可求解. 【详解】(1)设 的中点为 ,因为 ,所以 , 学科网(北京)股份有限公司因为 ,所以 ,所以 三点共线,所以 , 因为 平面 , 平面 ,所以 , 因为 , 平面 , 平面 ,所以 平面 , 因为 平面 ,所以平面 平面 . (2)以 所在的直线为 轴和 轴,过 点作平行于 的直线为 轴,建立空间直 角坐标系, 如图所示,则 , 因为 为 的中点,所以 , 设 ,所以 , 所以 , 由(1)知 平面 ,所以平面 的一个法向量为 , 设直线 与平面 所成角为 , 则 , 即当 或 时,直线 与平面 所成角的正弦值为 . 7.(2024·天津和平·一模)如图,四棱锥 的底面 是正方形, 平面 , ,点 分别是棱 , 的中点,点 是线段 上一点. 学科网(北京)股份有限公司(1)求证: 平面 ; (2)求平面 与平面 的夹角的余弦值; (3)若直线 与平面 所成的角的正弦值为 ,求此时 的长度. 【答案】(1)证明见解析 (2) (3)1 【分析】(1)建立空间直角坐标系,利用向量证明即可; (2)求平面的法向量,利用向量法求夹角余弦即可; (3)利用线面角的向量公式求解即可. 【详解】(1)因为四棱锥 的底面 是正方形, 平面 , 所以以点 为坐标原点, 的方向分别为x轴,y轴,z 轴的正方向,建立空间直 角坐标系,如图, 则 , 所以 , 设平面 的法向量为 , 则 ,令 ,则 , 又因为 ,则 ,即 , 由 平面 ,所以 平面 . (2)设平面 与平面 的夹角为 , 平面 的法向量 ,平面 的法向量 , 所以, , 学科网(北京)股份有限公司则平面 与平面 的夹角的余弦值为 . (3)设 长度为 , , 设直线 与平面 所成角为 , 因为 , , 解得 ,此时 的长度为 . 题型三:求线面角最值(范围) 1.(2024·河北沧州·一模)如图,已知点 是圆台 的上底面圆 上的动点, 在下 底面圆 上, ,则直线 与平面 所成角的余弦值 的最小值为 . 【答案】 【分析】以 为坐标原点,建立空间直角坐标系,求得对应点的坐标,设出未知点的坐 标,利用向量法求线面角正弦值的最大值,再求余弦值的最小值即可. 【详解】连接 ,过 作 垂直于 的延长线于点 ,以 为坐标原点,建立空间直 角坐标系如下所示: 在三角形 中,因为 , 学科网(北京)股份有限公司故 ,则 , 则 , ,故点 ; 又 ,设点 ,由 ,则可得 ; , 设平面 的法向量 , 则 ,即 ,取 ,则 , 故平面 的法向量 ,又 , 设直线 与平面 所成角为 , 则 因为 ,且 ,故令 , 则 又 ,故 , ,也即 , 故 的最大值为 ,又 ,故 的最小值为 . 即直线 与平面 所成角的余弦值的最小值为 . 故答案为: . 【点睛】关键点点睛:本题用向量法处理线面角的求解,结合问题的关键一是,能够准确 求得 的坐标,二是能够根据 ,求得 的范围;属综合困难题. 2.(23-24高三下·全国·阶段练习)如图,在 中, ,在直角梯形 中, , ,记二面角 的大小为 ,若 ,则直线 与平面 所成角的正弦值的最大值为 . 学科网(北京)股份有限公司【答案】 【分析】根据题意以 和过点 垂直于平面 的直线建立空间直角坐标系 ,可知 为二面角 的平面角,设出点 的坐标,由线面角的空间向量法求解 最值. 【详解】如图,以 和过点 垂直于平面 的直线建立空间直角坐标系 , 则 由 , ,可知 为二面角 的平面角, 又 , , 设 , , 则 , 设平面 的法向量为 ,则 , 令 ,则 ,所以 , 设直线 与平面 所成角为 , 则 , 其中 , , 当且仅当 ,即 时,取得最大值, 则 的最大值为 . 故答案为: 学科网(北京)股份有限公司【点睛】思路点睛:根据题意设出点 的坐标,从而由空间向量法表示出线面角的正弦 值,利用基本不等式求解最值. 3.(23-24高二上·江西南昌·期末)在棱长为2的正方体 中, 在线段 上运动,直线 与平面 所成角的正弦值的取值范围为 . 【答案】 【分析】以 为正交基地,建立空间直角坐标系,利用向量法求出线面角的正 弦,然后利用二次函数的性质求范围. 【详解】以 为正交基地,建立空间直角坐标系, 则 ,设 , 则 , 设面 的法向量为 , 则 ,取 得 , 设直线 与平面 所成角为 , 则 , 当 时, ,则 . 故答案为: . 学科网(北京)股份有限公司4.(2024高三·全国·专题练习)如图,四棱锥 的底面为正方形, 底面 .设平面 与平面 的交线为l.若 ,Q为l上的点,则PB与平 面 所成角的正弦值的最大值为 . 【答案】 【分析】建立空间直角坐标系,向量法求 与平面 所成角的正弦值,利用基本不等 式求最大值. 【详解】因为 两两垂直,建立空间直角坐标系 ,如图所示: 因为 ,则 , 为正方形,有 , 平面 , 平面 ,则 平面 , 平面 平面 , , 平面 ,则 ,即 , 设 ,则有 , 学科网(北京)股份有限公司设平面 的法向量为 ,则 , 令 ,则 ,所以平面 的一个法向量为 , 则 , 根据直线的方向向量与平面法向量所成角的余弦值的绝对值即为直线与平面所成角的正弦 值, 所以直线PB与平面QCD所成角的正弦值等于 , 当 时, , 当 时, , 当且仅当 且 ,即 时取等号, 所以直线 与平面 所成角的正弦值的最大值为 . 故答案为: . 5.(23-24高二下·江苏宿迁·阶段练习)在长方体 中, ,线段 有一动点 ,过 作平行于 的平面交 与点 .当直线 与平面 所成角最 大时, . 【答案】 / 【分析】设 ,建立空间直角坐标系,设 ,即可 表示 、 的坐标,求出平面 的法向量,利用空间向量法求出线面角的正弦值,再 结合二次函数的性质计算可得. 【详解】设 ,以 为原点,分别以 所在直线为 轴, 建立空间直角坐标系, 学科网(北京)股份有限公司则 , , 则 , , 因为 平面 ,又 平面 , 平面 , 平面 与平面 相交于 ,所以 ,又 平面 , 所以 平面 , 依题意 点不在 、 点,设 ,即 , 所以 ,则 , 所以 , , 设平面 的法向量为 , 则 ,令 ,得 , 此时 , 所以当 时, 有最小值 , 有最大值1, 此时 ,所以 . 故答案为: 【点睛】方法点睛:计算线面角,一般有如下几种方法: (1)利用面面垂直的性质定理,得到线面垂直,进而确定线面角的垂足,明确斜线在平面 内的射影,即可确定线面角; (2)在构成线面角的直角三角形中,可利用等体积法求解垂线段的长度 ,从而不必作出 学科网(北京)股份有限公司线面角,则线面角 满足 ( 为斜线段长),进而可求得线面角; (3)建立空间直角坐标系,利用向量法求解,设 为直线 的方向向量, 为平面的法向 量,则线面角 的正弦值为 . 6.(23-24高二下·江苏徐州·阶段练习)在正方体 中, 为线段 的中 点,点 在线段 上,则直线 与平面 所成角的正弦值的范围是 . 【答案】 【分析】 以 为原点,建立空间直角坐标系,设 ,向量法求线面角的正弦值,利用函数 思想求取值范围. 【详解】设正方体边长为2,以 为原点, 的方向为 轴, 轴, 轴正方向, 建立如图所示的空间直角坐标系. 则 , , , , . 因点 在线段 上,设 , . 则 , , , , , . 设平面 的一个法向量为 ,则 , 学科网(北京)股份有限公司令 ,则 ,得 . 设 与平面 所成角为 , 则 . 注意到 , 由 ,则当 时, 有最小值2;当 或 时, 有最大值3, 则有 , , 所以 的取值范围为 . 故答案为: . 三、专项训练 1.(23-24高二上·湖南长沙·期末)正三棱柱 中, , 是 的中 点,点 在 上,且满足 ,当直线 与平面 所成的角取最大值时, 的值为 . 【答案】 / 【分析】建立空间直角坐标系,利用向量的夹角公式,求出直线PN与平面ABC所成的角 正弦值,即可求得结论. 【详解】 如图,正三棱柱 中,取 中点 ,连接 , 学科网(北京)股份有限公司则 ,则 平面 ,不妨设 , 以 为坐标原点,以 分别为 轴,建立如图所示的空间直角坐标系 , 于是 ,则 , , 取平面ABC的一个法向量为 , 设直线PN与平面ABC所成的角为 , , 当 时, ,此时角 最大. 故答案为: . 2.(23-24高二上·浙江杭州·阶段练习)在 中, , .若空间点 满足 ,则直线 与平面 所成角的正切的最大值为 . 【答案】 【分析】设 ,易知点 在以 为旋转轴,底面圆半径为 的圆柱上,以 所在平面为 ,建立 空间直角坐标,则平面 的法向量 ,设 则 ,记直线 与平面 所成角 为 ,则 ,令 ,利用换元法可得 ,又 ,则 的最大值为 ,由此 即可求出答案. 【详解】点 作 与点 ,过点 作 与点 , 设 ,则 , 又 ,则 , 则点 在以 为旋转轴,底面圆半径为 的圆柱上, 如图所示:以 所在平面为 ,建立 空间直角坐标,则平面 的法向量 学科网(北京)股份有限公司为: , , 设 , 则 , 记直线 与平面 所成角为 , 则 , 因为 , 所以 , 令 ,则 , 则 , , 又 ,在 上单调递减.在 上单调递增, 则 , 所以 ,当且仅当 ,即 时,等号成立, 又 , 所以直线 与平面 所成角的最大值为 , 此时 . 故答案为: 学科网(北京)股份有限公司3.(23-24高二上·上海·期末)已知平面 的一个法向量 ,直线 的方向向量 ,则直线 与平面 所成角的正弦值为 . 【答案】 / 【分析】 根据题意,由线面角的计算公式,代入计算,即可得到结果. 【详解】设直线 与平面 所成角为 , 则 , 即直线 与平面 所成角的正弦值为 . 故答案为: 4.(23-24高二上·辽宁沈阳·期末)如图,正方体 的棱长为2,P是过顶点 的圆上的一点, 为 的中点.当直线 与平面 所成的角最大时,点 的坐标为 ;直线 与平面 所成角的正弦值的取值范围是 . 【答案】 【分析】结合图形可得出,点 在过圆心且垂直与平面 的直线与圆的交点位置时, 学科网(北京)股份有限公司直线 与平面 所成的角最大.再利用空间向量求解,即可得直线 与平面 所成角的正弦值的取值范围. 【详解】过点 作 平面 ,交 于点 , 于点 ,易得 , , 所以 . 由图可知当点 在点 或点 的位置时,直线 与平面 所成的角最大. 易得平面 的一个法向量为 . 设直线 与平面 所成的角为 , 则 , 即直线 与平面 所成角的正弦值的最大值为 . 当 平面 时,直线 与平面 所成角的正弦值最小为0, 所以直线 与平面 所成角的正弦值的取值范围是 . 故答案为: ; . 5.(23-24高二上·四川成都·期中)如图,在 中, , 过 中点 的动直线 与线段 交于点 ,将 沿直线 向上翻折至 ,使 得点 在平面 内的射影 落在线段 上,则斜线 与平面 所成角的正弦 值的取值范围为 . 学科网(北京)股份有限公司【答案】 【分析】 首先根据正余弦定理求解三角形,再以点 为原点,建立空间直角坐标系,并求出点 的 轨迹方程,并利用 ,求得点 的坐标的范围,相结合后,即可求解线面角正弦 值的取值范围. 【详解】 ,得 ,即 , 中,根据余弦定理, , 根据正弦定理, ,得 如图,以底面点 为空间原点建系,根据底面几何关系,得点 , , 设点 ,翻折后点 的投影 在 轴上,所以 的纵坐标为0,即 , , 由 ,根据两点间距离公式, , 整理为 如右图,在翻折过程中 ,作 于点 ,则 , 并且 , 平面 , 所以 平面 , 平面 , 所以 ,即 ,其中 , 又动点 在线段 上动,设 ,故 ,且 , 学科网(北京)股份有限公司由 ,得 , , 又因为 ,对应的 的取值为 ,即 , . 则斜线 与平面 所成角的正弦值的取值范围为 . 故答案为: 【点睛】关键点点睛:本题考查空间向量解决角的问题,关键1,求点 的轨迹,关键2, 根据几何关系可得 ,根据坐标运算,即可求解. 6.(23-24高二上·福建福州·期中)在正方体 中,点 在线段 上运 动,则直线 与平面 所成角的正弦值的最大值为 . 【答案】 / 【分析】 构建空间直角坐标系,令 且 ,故 ,应用向量法用 表示 出线面角的正弦值,即可求最值. 【详解】若正方体的棱长为1,构建如下图示的空间直角坐标系,则 , 所以 ,令 且 ,故 , 由 ,故 , 令面 的法向量为 ,则 ,令 , , 所以直线 与平面 所成角的正弦值为 , 当 时,正弦值的最大值为 . 故答案为: 学科网(北京)股份有限公司7.(23-24高三下·江西·阶段练习)如图,在三棱锥 中, 与 都为等边 三角形,平面 平面 分别为 的中点,且 在棱 上,且满足 ,连接 . (1)求证: 平面 ; (2)设 ,求直线 与平面 所成角的正弦值. 【答案】(1)证明见解析 (2) 【分析】(1)作出辅助线,由重心性质得到线线平行,证明出线面平行; (2)由面面垂直得到线面垂直,线线垂直,建立空间直角坐标系,求出平面的法向量,从 而求出线面角的正弦值. 【详解】(1)证明:连接 ,如图所示. 在 中,因为 分别为 的中点, , 所以 为 的重心,所以 , 又 ,所以 , 又 平面 平面 ,所以 平面 . 学科网(北京)股份有限公司(2)连接 ,因为 为等边三角形, 为 的中点,所以 , 又平面 平面 ,平面 平面 平面 , 所以 平面 , 又 平面 ,所以 . 因为 为等边三角形, 为 的中点,所以 . 以 为坐标原点, 所在的直线分别为 轴, 轴, 轴建立空间直角坐标系, 如图所示. 则 , 所以 . 设平面 的法向量 , 则 令 ,解得 , 所以平面 的一个法向量 , . 设直线 与平面 所成角的大小为 , 学科网(北京)股份有限公司则 , 即直线 与平面 所成角的正弦值为 . 8.(2024·安徽合肥·二模)如图,在四棱锥 中,底面 是边长为2的菱 形, 是侧棱 的中点,侧面 为正三角形,侧面 底面 . (1)求三棱锥 的体积; (2)求 与平面 所成角的正弦值. 【答案】(1) (2) . 【分析】(1)作出辅助线,得到线线垂直,进而得到线面垂直,由中位线得到 到平面 的距离为 ,进而由锥体体积公式求出答案; (2)证明出 ,建立空间直角坐标系,求出平面的法向量,进而由法向量的夹角 余弦值的绝对值求出线面角的正弦值. 【详解】(1)如图所示,取 的中点 ,连接 . 因为 是正三角形,所以 . 又因为平面 底面 平面 ,平面 平面 , 所以 平面 ,且 . 又因为 是 的中点, 到平面 的距离为 , , 学科网(北京)股份有限公司所以三棱锥 的体积为 . (2)连接 ,因为 , 所以 为等边三角形,所以 , 以 为原点, 所在直线分别为 轴, 轴, 轴,建立如图所示的空间直角坐标 系, 则 , 所以 . 设平面 的法向量为 , 则 ,即 ,解得 ,取 ,则 , 所以 . 设 与平面 所成角为 , 则 . 即 与平面 所成角的正弦值为 . 9.(23-24高二下·江苏泰州·阶段练习)如图,在三棱柱 中, ,侧面 是正方形,二面角 的大小是 . 学科网(北京)股份有限公司(1)求 到平面 的距离. (2)线段 上是否存在一个点D,使直线 与平面 所成角为 ?若存在,求出 的长;若不存在说明理由. 【答案】(1) ; (2)存在, 【分析】(1)记 的中点分别为 ,作 于点 ,先证平面 平面 ,然后计算可得; (2)以 的方向分别为x,y轴的正方向,过点F作垂直于平面 的直线为z轴, 建立空间直角坐标系,利用向量法求解即可. 【详解】(1)记 的中点分别为 , 由 是正方形可知 , 又 ,所以 , 因为二面角 的大小是 ,所以 , 由三棱柱性质可知, ,所以四边形 为平行四边形, 所以 , 因为 平面 ,所以 平面 , 又 平面 ,所以平面 平面 , 作 于点 , 因为,平面 平面 , 平面 , 所以 平面 ,所以 即为所求, 所以 . 学科网(北京)股份有限公司(2)以 的方向分别为x,y轴的正方向,过点F作垂直于平面 的直线为z轴, 建立空间直角坐标系, 易知, , 则 , 则 , 设 , 则 , 设 为平面 的法向量, 则 ,取 ,得 , 记直线 与平面 所成角为 , 则 , 当 ,即 时, 取得最小值4, 故 , 所以,当 时,直线 与平面 所成角为 . 此时 , 学科网(北京)股份有限公司所以 . 10.(2024·天津河东·一模)在正方体 中(如图所示),边长为2,连接 (1)证明: 平面 ; (2)求平面 与平面 夹角的余弦值; (3)底面正方形 的内切圆上是否存在点 使得 与平面 所成角的正弦值为 ,若存在求 长度,若不存在说明理由. 【答案】(1)证明见解析; (2) ; (3)存在,3. 【分析】 (1)建立空间直角坐标系,求出平面的法向量 ,结合 ,得到 平行关系; (2)求出平面的法向量,得到二面角的余弦值; (3)设 ,且 ,利用线面角的正弦值得到 方程,求出 或 ,求出 . 【详解】(1) 以 为原点, 所在直线分别为 轴、 轴、 轴,建立空间直角坐标系, 学科网(北京)股份有限公司则 . 平面 的法向量为 , ,令 ,则 , , 平面 ; (2) 平面 的法向量为 , ,令 ,则 , 平面 与平面 夹角为 , ; (3) 设 ,且 , 与平面 所成角为 , , 即 , 解得 或 ,故 或 , 所以 . 11.(23-24高三下·陕西安康·阶段练习)如图,在四棱锥 中,底面 是矩 学科网(北京)股份有限公司形, , 平面 ,E为棱 的中点. (1)若 与平面 所成的角为 ,求证: 平面 ; (2)若平面 与平面 夹角的余弦值为 ,求 . 【答案】(1)证明见解析 (2) 【分析】 (1)证明 和 ,根据线面垂直的判定定理即可证明结论; (2)建立空间直角坐标系,设 ,求出相关点的坐标,求出平面 与平面 的法向量,根据空间向量的向量求法结合平面 与平面 夹角的余弦值,即可 求得答案. 【详解】(1)由于 平面 , 平面 ,故 , 四边形 为矩形,故 ,而 平面 , 故 平面 , 平面 ,则 , 又 平面 ,则 即为 与平面 所成的角,且 平面 , 则 , 与平面 所成的角为 ,故 , 故 为等腰直角三角形,E为棱 的中点,故 , 而 平面 , 故 平面 ; (2)以A为坐标原点,以 所在直线为 轴,建立空间直角坐标系, 设 ,则 , 学科网(北京)股份有限公司, 设平面 的一个法向量为 ,则 , 令 ,则 ; 设平面 的一个法向量为 ,则 , 令 ,则 ; 由于平面 与平面 夹角的余弦值为 , 故 ,解得 , 故 . 12.(23-24高二下·江苏淮安·阶段练习)如图1,已知 是直角梯形, , , ,C、D分别为BF、AE的中点, , ,将直角梯形 沿 翻折,使得二面角 的大小为 ,如图2所示,设N为 的中点. (1)证明: ; (2)若M为AE上一点,且 ,则当 为何值时,直线BM与平面ADE所成角的余弦 值为 . 【答案】(1)证明见解析 (2) 或 . 【分析】(1)先证明 平面 ,然后根据线面垂直的性质定理,即可证明结论; (2)建立空间直角坐标系,求出相关点坐标,表示M点坐标,求出平面ADE的法向量, 根据空间角的向量求法,列方程,即可求得答案. 【详解】(1)证明:由图1知: 是直角梯形,C、D分别为 的中点,则 , 学科网(北京)股份有限公司故图2中, , ,且 平面BCF, ∴ 平面 ,即 是二面角 的平面角,则 , ∴ 是正三角形,且N是 的中点,故 , 又 平面 , 平面 ,可得 , 而 ,BC, 平面 ,∴ 平面 , 而 平面 ,∴ . (2)因为 平面 ,过点N作 的平行线 , 平面 , 故 ,又 , 所以以点N为原点, 所在直线分别为x轴、y轴、z轴建立空间直角坐标系 , 图1中, 是直角梯形, , , , , , 可得 ; 则空间直角坐标系 中, , , , , 设 ,∴ , , , , 由于 ,则 ,∴ ,. ∴ ,∴ , 设平面 的法向量为 , 则 ,取 , 设直线 与平面 所成角为 , 大于等于 小于等于 , 由于直线BM与平面ADE所成角的余弦值为 , 学科网(北京)股份有限公司故直线BM与平面ADE所成角的正弦值为 , ∴ , ∴ ,∴ 或 ,适合题意, 故 或 . 13.(23-24高二下·黑龙江大庆·开学考试)如图, , 分别是直径 的半圆 上的 点,且满足 , 为等边三角形,且与半圆 所成二面角的大小为 , 为 的中点. (1)求证: 平面 ; (2)在弧 上是否存在一点 ,使得直线 与平面 所成角的正弦值为 ?若存 在,求出点 到平面 的距离;若不存在,说明理由. 【答案】(1)证明见解析 (2)存在, 【分析】(1)利用面面平行的判定定理证得平面 平面 ,从而得证; (2)依题意建立空间直角坐标系,利用空间向量法求得满足题意时 的坐标,从而利用 空间向量法求得点面距离,由此得解. 【详解】(1)依题意 ,所以 , 所以 、 是等边三角形, 所以 ,所以四边形 是菱形,所以 , 由于 平面 , 平面 ,所以 平面 . 由于 是 的中点, 是 的中点,所以 , 由于 平面 , 平面 ,所以 平面 . 学科网(北京)股份有限公司由于 , 平面 ,所以平面 平面 , 又 平面 ,所以 平面 . (2)设 的中点为 ,连接 ,则 , 由于四边形 是菱形,所以 ,则 , 由于平面 平面 且交线为 , 平面 , 所以 平面 ,又 平面 ,则 , 以 为空间坐标原点建立如图所示空间直角坐标系, 因为 ,则 , 则 , 故 , 设平面 的法向量为 ,则 , 取 ,则 ,故 , 易知圆 的方程为 ,设 , 则 , 设直线 与平面 所成角为 , 则 , 则 ,则 ,所以 , , 学科网(北京)股份有限公司故在弧 上存在一点 ,使得直线 与平面 所成角的正弦值为 , 此时点 到平面 的距离为 . 14.(2024·北京平谷·模拟预测)如图,在三棱柱 中,侧面 和 均为正方形, ,平面 ⊥平面 ,点M是 的中点,N为线段AC上 的动点; (1)若直线 平面BCM,求证:N为线段AC的中点; (2)若直线 与平面 所成角的正弦值为 ,求线段 的长. 【答案】(1)证明见解析 (2) 【分析】(1)过点N作 交BC于点Q,连接QM,得 ,进而利用直线 与平面平行的性质定理可得 ,从而可证 是平行四边形,则由 是 的中点可得N为线段AC的中点; (2)先建立空间直角坐标系,再求得平面 的法向量,设 ,则 ,进而利用向量法表示线面角,列方程求得 ,从而即可得到 的长. 【详解】(1)在 中,过点N作 交BC于点Q,连接QM,如图: 学科网(北京)股份有限公司因为 ,所以 , 所以 ,N,Q,M四点共面. 因为直线 平面 , 平面 ,平面 平面 , 所以 .所以四边形 是平行四边形. 所 .所以 为 的中点. (2)因为侧面 为正方形,所以 , 又因平面 平面 ,平面 平面 , 平面 , 所以 平面 , 平面 ,所以 , , 又因 为正方形, ,以B为原点,BA, ,BC分别为x,y,z轴建立空 间直角坐标系,如下图: 因为 , 所以 , , , , , , 所以 , . 设平面 的一个法向量为 , 由 得 即 . 学科网(北京)股份有限公司取 ,得 . 设 , ,则 , 因为 ,所以 . 所以 , , ,所以N点坐标为 . 因为 ,所以 设直线 与平面 所成角为 , 则 , 解得 , 所以 ,即线段 的长为 . 学科网(北京)股份有限公司