当前位置:首页>文档>专题04点到平面的距离(典型题型归类训练)(解析版)_02高考数学_2025年新高考资料_二轮复习_解题思路训练2025年高考数学复习解答题提优秘籍(新高考专用)

专题04点到平面的距离(典型题型归类训练)(解析版)_02高考数学_2025年新高考资料_二轮复习_解题思路训练2025年高考数学复习解答题提优秘籍(新高考专用)

  • 2026-04-08 02:07:54 2026-04-08 01:38:38

文档预览

专题04点到平面的距离(典型题型归类训练)(解析版)_02高考数学_2025年新高考资料_二轮复习_解题思路训练2025年高考数学复习解答题提优秘籍(新高考专用)
专题04点到平面的距离(典型题型归类训练)(解析版)_02高考数学_2025年新高考资料_二轮复习_解题思路训练2025年高考数学复习解答题提优秘籍(新高考专用)
专题04点到平面的距离(典型题型归类训练)(解析版)_02高考数学_2025年新高考资料_二轮复习_解题思路训练2025年高考数学复习解答题提优秘籍(新高考专用)
专题04点到平面的距离(典型题型归类训练)(解析版)_02高考数学_2025年新高考资料_二轮复习_解题思路训练2025年高考数学复习解答题提优秘籍(新高考专用)
专题04点到平面的距离(典型题型归类训练)(解析版)_02高考数学_2025年新高考资料_二轮复习_解题思路训练2025年高考数学复习解答题提优秘籍(新高考专用)
专题04点到平面的距离(典型题型归类训练)(解析版)_02高考数学_2025年新高考资料_二轮复习_解题思路训练2025年高考数学复习解答题提优秘籍(新高考专用)
专题04点到平面的距离(典型题型归类训练)(解析版)_02高考数学_2025年新高考资料_二轮复习_解题思路训练2025年高考数学复习解答题提优秘籍(新高考专用)
专题04点到平面的距离(典型题型归类训练)(解析版)_02高考数学_2025年新高考资料_二轮复习_解题思路训练2025年高考数学复习解答题提优秘籍(新高考专用)
专题04点到平面的距离(典型题型归类训练)(解析版)_02高考数学_2025年新高考资料_二轮复习_解题思路训练2025年高考数学复习解答题提优秘籍(新高考专用)
专题04点到平面的距离(典型题型归类训练)(解析版)_02高考数学_2025年新高考资料_二轮复习_解题思路训练2025年高考数学复习解答题提优秘籍(新高考专用)
专题04点到平面的距离(典型题型归类训练)(解析版)_02高考数学_2025年新高考资料_二轮复习_解题思路训练2025年高考数学复习解答题提优秘籍(新高考专用)
专题04点到平面的距离(典型题型归类训练)(解析版)_02高考数学_2025年新高考资料_二轮复习_解题思路训练2025年高考数学复习解答题提优秘籍(新高考专用)
专题04点到平面的距离(典型题型归类训练)(解析版)_02高考数学_2025年新高考资料_二轮复习_解题思路训练2025年高考数学复习解答题提优秘籍(新高考专用)
专题04点到平面的距离(典型题型归类训练)(解析版)_02高考数学_2025年新高考资料_二轮复习_解题思路训练2025年高考数学复习解答题提优秘籍(新高考专用)
专题04点到平面的距离(典型题型归类训练)(解析版)_02高考数学_2025年新高考资料_二轮复习_解题思路训练2025年高考数学复习解答题提优秘籍(新高考专用)
专题04点到平面的距离(典型题型归类训练)(解析版)_02高考数学_2025年新高考资料_二轮复习_解题思路训练2025年高考数学复习解答题提优秘籍(新高考专用)
专题04点到平面的距离(典型题型归类训练)(解析版)_02高考数学_2025年新高考资料_二轮复习_解题思路训练2025年高考数学复习解答题提优秘籍(新高考专用)
专题04点到平面的距离(典型题型归类训练)(解析版)_02高考数学_2025年新高考资料_二轮复习_解题思路训练2025年高考数学复习解答题提优秘籍(新高考专用)
专题04点到平面的距离(典型题型归类训练)(解析版)_02高考数学_2025年新高考资料_二轮复习_解题思路训练2025年高考数学复习解答题提优秘籍(新高考专用)
专题04点到平面的距离(典型题型归类训练)(解析版)_02高考数学_2025年新高考资料_二轮复习_解题思路训练2025年高考数学复习解答题提优秘籍(新高考专用)
专题04点到平面的距离(典型题型归类训练)(解析版)_02高考数学_2025年新高考资料_二轮复习_解题思路训练2025年高考数学复习解答题提优秘籍(新高考专用)
专题04点到平面的距离(典型题型归类训练)(解析版)_02高考数学_2025年新高考资料_二轮复习_解题思路训练2025年高考数学复习解答题提优秘籍(新高考专用)
专题04点到平面的距离(典型题型归类训练)(解析版)_02高考数学_2025年新高考资料_二轮复习_解题思路训练2025年高考数学复习解答题提优秘籍(新高考专用)
专题04点到平面的距离(典型题型归类训练)(解析版)_02高考数学_2025年新高考资料_二轮复习_解题思路训练2025年高考数学复习解答题提优秘籍(新高考专用)
专题04点到平面的距离(典型题型归类训练)(解析版)_02高考数学_2025年新高考资料_二轮复习_解题思路训练2025年高考数学复习解答题提优秘籍(新高考专用)
专题04点到平面的距离(典型题型归类训练)(解析版)_02高考数学_2025年新高考资料_二轮复习_解题思路训练2025年高考数学复习解答题提优秘籍(新高考专用)
专题04点到平面的距离(典型题型归类训练)(解析版)_02高考数学_2025年新高考资料_二轮复习_解题思路训练2025年高考数学复习解答题提优秘籍(新高考专用)
专题04点到平面的距离(典型题型归类训练)(解析版)_02高考数学_2025年新高考资料_二轮复习_解题思路训练2025年高考数学复习解答题提优秘籍(新高考专用)
专题04点到平面的距离(典型题型归类训练)(解析版)_02高考数学_2025年新高考资料_二轮复习_解题思路训练2025年高考数学复习解答题提优秘籍(新高考专用)
专题04点到平面的距离(典型题型归类训练)(解析版)_02高考数学_2025年新高考资料_二轮复习_解题思路训练2025年高考数学复习解答题提优秘籍(新高考专用)
专题04点到平面的距离(典型题型归类训练)(解析版)_02高考数学_2025年新高考资料_二轮复习_解题思路训练2025年高考数学复习解答题提优秘籍(新高考专用)
专题04点到平面的距离(典型题型归类训练)(解析版)_02高考数学_2025年新高考资料_二轮复习_解题思路训练2025年高考数学复习解答题提优秘籍(新高考专用)
专题04点到平面的距离(典型题型归类训练)(解析版)_02高考数学_2025年新高考资料_二轮复习_解题思路训练2025年高考数学复习解答题提优秘籍(新高考专用)
专题04点到平面的距离(典型题型归类训练)(解析版)_02高考数学_2025年新高考资料_二轮复习_解题思路训练2025年高考数学复习解答题提优秘籍(新高考专用)
专题04点到平面的距离(典型题型归类训练)(解析版)_02高考数学_2025年新高考资料_二轮复习_解题思路训练2025年高考数学复习解答题提优秘籍(新高考专用)
专题04点到平面的距离(典型题型归类训练)(解析版)_02高考数学_2025年新高考资料_二轮复习_解题思路训练2025年高考数学复习解答题提优秘籍(新高考专用)

文档信息

文档格式
docx
文档大小
2.749 MB
文档页数
32 页
上传时间
2026-04-08 01:38:38

文档内容

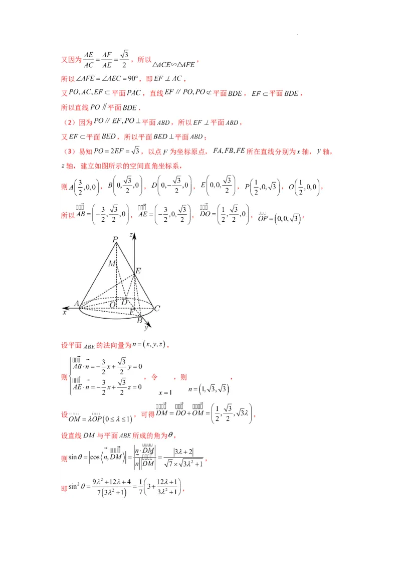
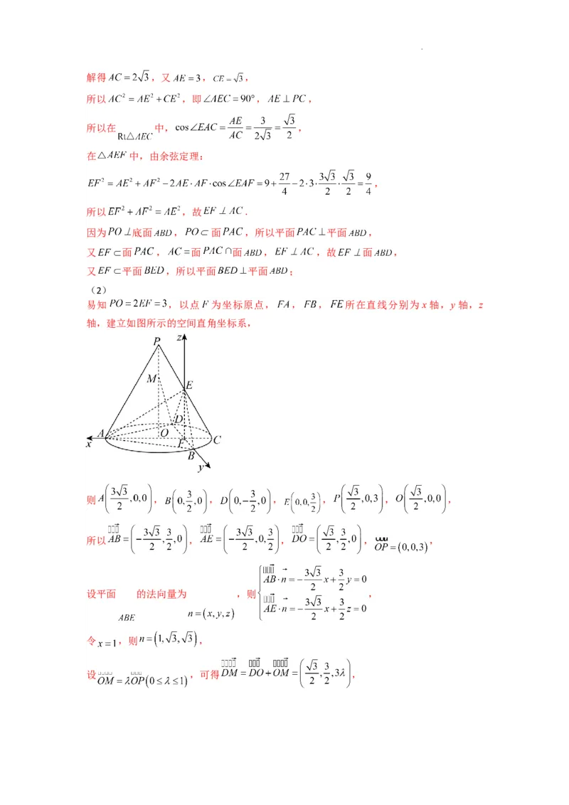
专题 04 点到平面的距离(典型题型归类训练) 目录 一、必备秘籍..............................................1 二、典型题型..............................................2 题型一:等体积法求点到平面的距离.......................2 题型二:利用向量法求点到平面的距离.....................8 三、专项训练.............................................17 一、必备秘籍 1、等体积法求点到平面的距离 (1)当点到面的距离那条垂线不好作或找时,利用等体积法可以间接求点到面的距离,从 而快速解决体积问题,是一种常用数学思维方法 (2)在用变换顶点求体积时,变换顶点的原则是能在图象中直接找到求体积所用的高,有 时单一靠棱锥四个顶点之间来变换顶点无法达到目的时,还可以利用平行关系(线面平 行,面面平行)转换顶点,如当线面平行时,线上任意一点到平面的距离是相等的,同理 面面平行也可以变换顶点 2、利用向量法求点到平面的距离 如图,已知平面 的法向量为 , 是平面 内的定点, 是平面 外一点.过点 作平 面 的垂线 ,交平面 于点 ,则 是直线 的方向向量,且点 到平面 的距离就是 在直线 上的投影向量 的长度. 学科网(北京)股份有限公司二、典型题型 题型一:等体积法求点到平面的距离 1.(23-24高三下·陕西西安·期中)如图,在圆台 中, 为轴截面, , , 为下底面圆周上一点, 为下底面圆 内一点, 垂 直下底面圆 于点 , . (1)求证:平面 平面 ; (2)若 为等边三角形,求点 到平面 的距离. 【答案】(1)证明见解析; (2) . 【分析】(1)依题意可得 ,即可得到 平面 ,再由圆台的性质得到 ,即可得到 平面 ,从而得证; (2)由 利用等体积法求出点 到平面 的距离. 学科网(北京)股份有限公司【详解】(1)因为 ,所以 , 又 平面 , 平面 ,所以 平面 . 因为 垂直下底面圆 于点 , 垂直下底面圆 于点 ,所以 , 又 平面 , 平面 , 故 平面 . 又 , , 平面 , 所以平面 平面 . (2)在等腰梯形 中,易知 ,所以 . 所以 . 易知 , ,所以 . 设点 到平面 的距离为 , 因为 ,所以 , 所以 ,即点 到平面 的距离为 . 2.(2024·陕西安康·模拟预测)如图,在四棱台 中,底面四边形 为 菱形, , 平面 . (1)证明: ; (2)若四棱台 的体积为 ,求点 到平面 的距离. 【答案】(1)证明见解析 (2) 【分析】(1)由线面垂直的性质得到 ,由菱形的性质得到 ,即可得到 平面 ,即可得证; (2)设 ,由棱台的体积公式求出 ,取 的中点 ,连接 、 ,即可得到 平面 ,再由 利用等体积法计算可得. 学科网(北京)股份有限公司【详解】(1)在四棱台 中, 延长后必交于一点,故 共 面, 因为 平面 , 平面 , 所以 , 连接 ,因为底面四边形 为菱形,故 , 平面 , 所以 平面 , 因为 平面 ,所以 . (2)设 ,又 , 所以 , 则 , 所以 , 即 ,解得 , 所以 ,则 , 取 的中点 ,连接 、 , 则 且 ,所以 为平行四边形,所以 , 又 平面 ,所以 平面 , 又 平面 ,所以 , 因为 为菱形且 ,所以 为等边三角形, 所以 , , , 所以 , 所以 , 又 , 设点 到平面 的距离为 , 所以 ,则 , 学科网(北京)股份有限公司解得 ,即点 到平面 的距离为 . 3.(2024·四川·模拟预测)如图,四棱锥 中,底面ABCD为菱形, , 侧面 是边长为4的正三角形, . (1)证明:平面 平面ABCD; (2)求点A到平面SBC的距离. 【答案】(1)证明见解析; (2) . 【分析】(1)取 中点 ,通过证明 ,即可由线线垂直证明线面垂 直; (2)根据 ,结合 的面积,即可由等体积法求得结果. 【详解】(1)证明:取CD中点E,连接SE,AE,BE, 易得 , ,因为 , , 所以 , , ,故 , 又 , , 所以 ,故 , 因为 平面ABCD, 平面ABCD, , 所以 平面ABCD,又因为 平面SCD, 学科网(北京)股份有限公司所以平面 平面ABCD. (2)由(1)知 平面ABCD,且 , 在 中, , 所以 , 故 . 在 中, , , 所以SB边上的高 , 所以 . 设点A到平面SBC的距离为d, 则 ,即 ,解得 , 所以点A到平面SBC的距离为 . 4.(2024高三·上海·专题练习)如图,在四棱锥 中, 平面 , , , , 分别为 的中点. (1)求证: 平面 ; (2)求点 到平面 的距离. 【答案】(1)证明见解析 (2) 【分析】(1)根据面面平行的性质定理,转化为证明平面 平面 ,即可证明线 面平行; (2)方法一,利用等体积转化 ,即可求点 到平面 的距离;方法二, 同样利用等体积转化 ,即可求解. 【详解】(1)证明 连接 , 学科网(北京)股份有限公司∵ 分别为 的中点,∴ , ∵直线 不在平面 内, 平面 ,∴ 平面 , ∵ , ,∴ ,且 . ∴四边形 为平行四边形,即 , ∵直线 不在平面 内, 平面 ,∴ 平面 , ∵ 平面 , ∴平面 平面 , 平面 ,则 平面 . (2)方法1:设 到平面 的距离为 , 因为 平面 ,所以 , 由于 ,所以四边形 是平行四边形, 由于 ,所以 ,由于 平面 , 所以 平面 ,而 平面 ,则 , 由 得 , 即 ; 方法2:∵ , , 又 平面 ,∴ ,又 , 平面 , ∴ 平面 ,而 平面 ,∴ . 设 ,则 , , 设点 到平面 的距离为 ,由 , 得 ,则 . ∵点 为 的中点,∴点 到平面 的距离等于点 到平面 的距离为 . 学科网(北京)股份有限公司题型二:利用向量法求点到平面的距离 1.(23-24高三上·山东日照·期中)如图,P为圆锥的顶点,O是圆锥底面的圆心, 为 底面直径, 为底面圆O的内接正三角形,点 E在母线 上,且 , . (1)求证:平面 平面 ; (2)若点M为线段 上的动点,当直线 与平面 所成角的正弦值最大时,求此时点 到平面 的距离. 【答案】(1)证明见解析 (2) . 【分析】 (1)利用余弦定理与勾股定理推得 ,再利用线面垂直与面面垂直的判定定理与 性质定理即可得证; (2)建立空间直角坐标系,利用线面角的向量表示得到关于 的表达式,从而求得 的 值,进而利用点面距离公式即可得解. 【详解】(1) 如图,设 交 于点 ,连接 ,由圆锥的性质可知 底面 , 因为 平面 ,所以 , 又因为 是底面圆的内接正三角形,由 ,可得 , , 学科网(北京)股份有限公司解得 ,又 , , 所以 ,即 , , 所以在 中, , 在 中,由余弦定理: , 所以 ,故 . 因为 底面 , 面 ,所以平面 平面 , 又 面 , 面 面 , ,故 面 , 又 平面 ,所以平面 平面 ; (2) 易知 ,以点 为坐标原点, , , 所在直线分别为x轴,y轴,z 轴,建立如图所示的空间直角坐标系, 则 , , , , , , 所以 , , , , 设平面 的法向量为 ,则 , 令 ,则 , 设 ,可得 , 学科网(北京)股份有限公司设直线 与平面 所成的角为 ,则 , 即 , 令 , , 则 当且仅当 ,即 时,等号成立, 所以当 时, 有最大值4, 即当 时, 的最大值为1,此时点 , 所以 , 所以点M到平面 的距离 , 故当直线 与平面 所成角的正弦值最大时,点 到平面 的距离为 . 2.(23-24高二上·山东济宁·期中)如图所示,正方体 的棱长为3,动点 在底面正方形 内,且 与两个定点 , 的距离之比为 . 学科网(北京)股份有限公司(1)求动点 的轨迹方程,并说明轨迹的形状; (2)求动点 到平面 的距离的取值范围. 【答案】(1)见解析 (2) 【分析】 (1)建立平面直角坐标系根据平面上轨迹的求法求解; (2)建立空间直角坐标系,利用向量法求点面距离,再由三角代换求取值范围即可. 【详解】(1)以 为坐标原点, 所在直线分别为 轴建立平面直角坐标系,如 图, 设 , 由 ,得 化简得 , 即 , 故曲线C是以 为圆心,2为半径的圆在正方形 内一段圆弧 . (2)以 为坐标原点, 所在直线分别为 轴建立平面直角坐标系,如图, 学科网(北京)股份有限公司则 , 所以 , 设平面 的法向量 , 则 ,令 ,则 , ,故 , 由(1)可设 ,其中 , 则 , 设 到平面 的距离为 , 则 , 由(1)可令 ,其中 , 则 , 因为 ,所以 , 即 ,所以 , 故 . 【点睛】关键点点睛:第二问中求圆弧上动点到平面距离范围时,首先利用向量法表示出 动点到面的距离是解题的第一个关键点,再根据圆的性质进行三角代换求距离的取值范围 是第二个关键点,本题难度较大,属于难题. 3.(2023·山东潍坊·三模)如图, 为圆锥的顶点, 是圆锥底面的圆心, 为底面直 径, 为底面圆 的内接正三角形,且边长为 ,点 在母线 上,且 , . 学科网(北京)股份有限公司(1)求证: 平面 ; (2)求证:平面 平面 (3)若点 为线段 上的动点.当直线 与平面 所成角的正弦值最大时,求此时点 到平面 的距离. 【答案】(1)证明见解析 (2)证明见解析 (3) 【分析】(1)设 交 于点 ,连接 ,利用三角形相似证得 ,从而证得 ,进而证得直线 平面 ; (2)通过 平面 ,证得 平面 ,所以平面 平面 ; (3)建立空间直角坐标系,设 ,通过向量 和平面 的法向量 建立直线 与平面 所成角的正弦值的关系式,并利用基本不等式,即可求最值. 【详解】(1)如图,设 交 于点 ,连接 ,由圆锥的性质可知 底面 , 因为 平面 ,所以 , 又因为 是底面圆的内接正三角形,由 ,可得 , ,解得 , 又 , ,所以 ,即 , , 学科网(北京)股份有限公司又因为 ,所以 , 所以 ,即 , 又 平面 ,直线 平面 , 平面 , 所以直线 平面 . (2)因为 平面 ,所以 平面 , 又 平面 ,所以平面 平面 ; (3)易知 ,以点 为坐标原点, 所在直线分别为 轴, 轴, 轴,建立如图所示的空间直角坐标系, 则 , , , , , , 所以 , , , , 设平面 的法向量为 , 则 ,令 ,则 , 设 ,可得 , 设直线 与平面 所成的角为 , 则 , 即 , 学科网(北京)股份有限公司令 , 则 , 当且仅当 时,等号成立,所以当 时, 有最大值 , 即当 时, 的最大值为1,此时点 , 所以 , 所以点 到平面 的距离 , 故当直线 与平面 所成角的正弦值最大时,点 到平面 的距离为 . 4.(23-24高三下·江苏连云港·阶段练习)如图,直四棱柱 的底面为平行 四边形, 分别为 的中点. (1)证明: 平面 ; (2)若底面 为矩形, ,异面直线 与 所成角的余弦值为 ,求 D到平面 的距离. 学科网(北京)股份有限公司【答案】(1)证明见解析 (2) 【分析】(1)根据线面平行的判定定理证明; (2)建立如图所示的空间直角坐标系,由向量的夹角得异面直线所成的角求得 的长, 然后由空间向量法求点面距. 【详解】(1)连接 ,交 于点 ,连接 , 则 为 的中点, 因为 为 的中点,所以 ,且 , 因为 为 的中点,所以 , 所以 ,且 , 所以四边形 为平行四边形, 所以 , 又因为 平面 平面 , 所以 平面 ; (2)由题意(1)及几何知识得, 在直四棱柱 中, , 两两垂直,以A为坐标原点,分别以 所在直线为 轴、 轴、 轴建立 如图所示的空间直角坐标系. 学科网(北京)股份有限公司设 , 则 , , , 故 , 设异面直线 与 所成角为 , 则 , 解得: , 故 则 设平面 的一个法向量为 , 到平面 的距离为 , 所以 即 取 ,得 . 所以 , 即 到平面 的距离为 . 三、专项训练 1.(2024·青海·模拟预测)如图,在三棱锥 中, 平面 , 、 分别为 、 的中点,且 , , . 学科网(北京)股份有限公司(1)证明: 平面 . (2)求 到平面 的距离. 【答案】(1)证明见解析 (2) 【分析】(1)先利用勾股定理得出 ,再利用 平面 ,证 ,最后 根据线面垂直的判定定理即可证明 平面 ;’ (2)根据已知条件,建立空间直角坐标系,利用空间向量的方法求距离即可. 【详解】(1)因为 、 分别为 、 的中点,所以 为 的中位线, 所以 , ,因为 ,所以 ; 在 中, , , ,所以 , 所以 ,即 ; 因为 平面 , 平面 ,所以 ; 又 平面 , 平面 , ,所以 平面 . (2) 由(1)可知 、 、 两两垂直, 建立如图所示分别以 、 、 为 、 、 轴的空间直角坐标系, , , , , , , , 学科网(北京)股份有限公司设平面 的法向量为 ,则有 , 即 ,令 ,则 , ,所以 , 设 到平面 的距离为 ,则 . 2.(23-24高二下·上海金山·期中)如图,在三棱柱 中,底面 是以 为 斜边的等腰直角三角形,侧面 为菱形,点 在底面上的投影为 的中点 ,且 . (1)求证: ; (2)求点 到侧面 的距离. 【答案】(1)证明见解析 (2) 【分析】(1)利用线面垂直证明线线垂直即可; (2)建立空间直角坐标系,利用空间向量求解即可. 【详解】(1)由点 在底面 上的投影为 的中点 ,知 平面 , 又 平面 , , 是以 为斜边的等腰直角三角形, , 平面 , 平面 , 平面 , . (2) , 是 中点,侧面 是菱形, , 是以 为斜边的等腰直角三角形, , , , 由(1)知直线 , , 两两垂直, 学科网(北京)股份有限公司以 为坐标原点, , , 所在直线分别为 轴, 轴, 轴,建立空间直角坐 标系,如图, 则 则 , , , 设平面 的一个法向量为 , 则 ,取 ,得 点 到平面 的距离为: . 3.(2024高三·全国·专题练习)如图,在四棱锥 中,底面 为矩形,侧面 为正三角形, , ,平面 平面 ,E为棱 上一点(不与 P,B重合),平面 交棱 于点F. (1)求证: ; (2)若二面角 的余弦值为 ,求点B到平面 的距离. 【答案】(1)证明见解析 (2) 【分析】(1)由线面平行的性质定理证明线线平行; (2)建立如图所示的空间直角坐标系,由空间向量法求二面角确定 点位置,再由空间向 学科网(北京)股份有限公司量法求点面距. 【详解】(1)证明:因为四边形 为矩形,所以 . 又 平面 , 平面 , 所以 平面 . 又平面 平面 , 平面 , 所以 . (2)如图,取 的中点O,连接 ,取 的中点G,连接 ,则 . 因为侧面 为正三角形,所以 . 因为平面 平面 ,平面 平面 , 平面 ,所以 平面 . 又 平面 ,所以 , 以O为坐标原点, 所在直线分别为x轴、y轴、z轴,建立空间直角坐标系如 图, 因为 ,且侧面 为正三角形,所以 . 又 ,所以 , 设 ,显然 , 所以 , 设平面 的一个法向量为 , 则 , 取 得 ,则 , 取平面 一个法向量为 , 学科网(北京)股份有限公司则 ,化简得 ,解得 , 所以 ,所以 , , 所以点B到平面 的距离为 . 4.(23-24高二下·广东广州·期中)如图,三棱柱 所有棱长均为 , ,侧面 与底面 垂直, 、 分别是线段 、 的中点. (1)求证: ; (2)若点 为棱 上靠近 的三等分点,求点 到平面 的距离. 【答案】(1)证明见解析 (2) 【分析】(1)先证明 平面 ,再根据线面垂直的判定定理,即可证明结论; (2)建立空间直角坐标系,求得相关点坐标系,利用空间距离的向量求法,即可求得答 案; 【详解】(1)连接 ,因为三棱柱 所有棱长均为2,则 为等边三角 形, 因为 为 中点,则 , 因为平面 平面 ,平面 平面 , 平面 , 所以 平面 ,又 平面 ,可得 , 由题设知四边形 为菱形,则 , 因为 , 分别为 , 中点,则 ,可得 , 又 , , 平面 ,所以 平面 , 学科网(北京)股份有限公司又 平面 ,所以 ; (2)连接 ,因为 , ,所以 为正三角形,所以 , 又侧面 与底面 垂直, 平面 ,侧面 底面 , 所以 平面 ,所以 , , 两两垂直. 以 为坐标原点, , , 所在直线为 , , 轴,建立如图所示空间直角坐标 系, 则 , , , , , , , 点 为棱 上靠近 的三等分点,故 , 可得 , , , 设平面 的一个法向量为 ,则 , 令 ,则 , ,可得 , 所以点 到平面 的距离为 ; 5.(2024·陕西铜川·二模)如图,在四棱锥 中.侧面 ⊥底面 , 为等边三角形,四边形 为正方形,且 . 学科网(北京)股份有限公司(1)若 为 的中点,证明: ; (2)求点 到平面 的距离. 【答案】(1)证明见解析 (2) 【分析】(1)作出辅助线,得到线线垂直,证明出线面垂直,得到 ; (2)证明出 ⊥平面 ,求出 ,根据等体积法求解点到平面的距离. 【详解】(1)取 中点 ,连接 , 为等边三角形, , 四边形 为正方形, , , 又 平面 , ∴ ⊥平面 , ∴ (2)连接 , 因为平面 ⊥底面 ,平面 底面 , ⊥ , 所以 ⊥平面 , 因为四边形 为正方形,所以 ⊥ ,且 , 故 , 因为 , ,所以 , 学科网(北京)股份有限公司由勾股定理得 , 设 到平面 的距离为 , , 即 , 解得 . 6.(2024·陕西·二模)在四棱锥 中, ,平面 平面 . (1)证明:平面 平面 ; (2)求点 到平面 的距离. 【答案】(1)证明见解析; (2) . 【分析】(1)由已知求解三角形可得 ,结合面面垂直的性质可得 平面 ,再由线面垂直的判定得 ,再由面面垂直的判定得平面 平面 (2)利用等体积法 ,求点 到平面 的距离 【详解】(1)证明:取 中点为 , 则 且 ,所以四边形BCDM是矩形,所以 , 在 中, ,所以 ,所以 又平面 平面 ,平面 平面 , 故 平面 ,又 平面 ,所以 , , 平面 ,所以 平面 而 平面 ,故平面 平面 (2)取 的中点 ,连 , 由 为 的中点,可得 , 又由平面 平面 ,平面 平面 , 学科网(北京)股份有限公司可得 平面 , 在直角梯形 中, ,可得 , 在 中,可得 , 在 中,由 ,可得 , 设点 到平面 的距离为 , 有 ,可得 , 故点 到平面 的距离为 . 7.(2024·全国·模拟预测)如图,在直四棱柱 中,底面 是直角梯 形, ∥ ,且 . (1)求证: 平面 ; (2)求点 到平面 的距离. 【答案】(1)证明见解析; (2) 【分析】(1)由线面垂直的判断定定理可得 平面 ,从而得 ,由题 意可知四边形 是正方形,所以有 ,由线面垂直的判定定理证明即可; 学科网(北京)股份有限公司(2)利用 求解即可. 【详解】(1)证明: 在直四棱柱 中, 底面 底面 , . 又 平面 平面 . 平面 . 易知四边形 是正方形, , 又 平面 , 平面 . (2)解: . , . 设点 到平面 的距离为 , ,解得 , 点 到平面 的距离为 . 8.(2024·陕西西安·模拟预测)在长方体 中, 在线段 上,且满足 . (1)求证:平面 平面 ; (2)若异面直线 与 所成角的余弦值为 ,求 到平面 的距离. 【答案】(1)证明见解析 (2)2 【分析】(1)根据线面垂直的判定定理证明 平面 ,再由线面垂直的性质定得 学科网(北京)股份有限公司证; (2)利用等体积法求 到平面 的距离高即可. 【详解】(1)由题意, ,所以 , 所以 ,即 , 又长方体中, 平面 , 平面 , 所以 ,又 , 平面 , 所以 平面 平面 平面 平面 . (2)延长 到 使 ,如图, 所以 ,又 ,所以 , 因为 ,所以 为异面直线 与 所成的角,设 , 根据余弦定理 ,解得 , 所以 . 因为 到平面 的距离等于 到平面 的距离, 所以 , 设 到平面 的距离为 , 则 ,解得 , 即 到平面 的距离为2. 9.(23-24高三下·陕西安康·阶段练习)如图,在多面体ABCDE中,A,B,E,D四点共 面, , , , , ,F为BC的中点. 学科网(北京)股份有限公司(1)求证:平面ADF 平面BCE; (2)求点E到平面ABC的距离. 【答案】(1)证明见解析. (2) . 【分析】(1)利用线面垂直与面面垂直的判定与性质定理即可得证; (2)在四边形 内,由 、 ,可得 互补,则由余弦定 理解得 ,进而求出点E到平面ABC的距离. 【详解】(1) , , , 又 ,F为BC的中点, , 又 , , , 又 , . (2) , , , 连接 ,则 ,解得 , 如图,在平面 内,过 作 ,连接 , 则 , , 学科网(北京)股份有限公司在四边形 中,易知 互补, 则 , 即 , 解得 , , , 即点E到平面ABC的距离为 . 10.(21-22高二上·北京·期中)在如图所示的几何体中,四边形 为正方形, , 平面 ,且 . (1)求证: 平面 ; (2)求直线 与平面 所成角的大小; (3)求点 到平面 的距离. 【答案】(1)证明见解析 (2) (3) 【分析】(1)连结 ,设 ,设 为 的中点,连结 ,推导出四边 形 为平行四边形,从而 ,由此能证明 平面 . (2)以 为原点, 所在直线为 轴建立空间直角坐标系,利用向量法能求 出直线 与平面 所成角的大小. (3)利用向量法可求点 到平面 的距离 【详解】(1)连结 ,设 , 学科网(北京)股份有限公司因为四边形 为正方形,所以 为 中点.设 为 的中点,连结 , 则 ,且 . 由已知 ,且 , 所以 , .所以四边形 为平行四边形. 所以 ,即 . 因为 平面DEF, 平面 , 所以 平面 . (2)由已知 平面 ,所以 , , 因为四边形 为正方形,所以 ,所以 两两垂直, 以 为原点, 所在直线为 轴建立空间直角坐标系(如图), 因为 , 所以 , , , , , , 所以 , , , 设平面 的一个法向量为 , 由 ,得 ,取 ,得 . 设直线 与平面 所成角为 ,则 , 学科网(北京)股份有限公司因为 ,所以 . 即直线 与平面 所成角为 . (3) ,平面 的一个法向量为 , 则点 到平面 的距离 . 【点评】本题考查线面平行的证明,考查线面角大小的求法,考查点到面的距离的求法, 属中档题. 学科网(北京)股份有限公司