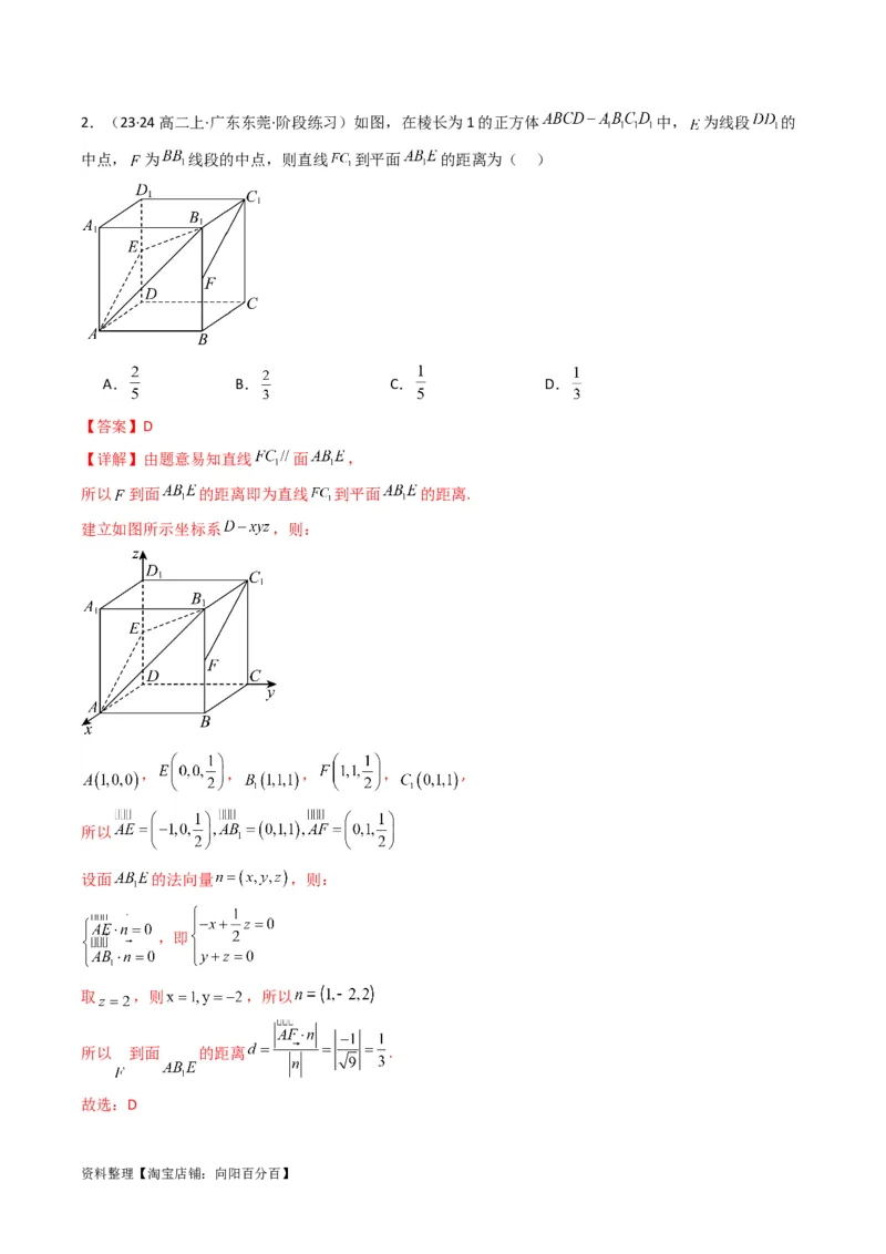
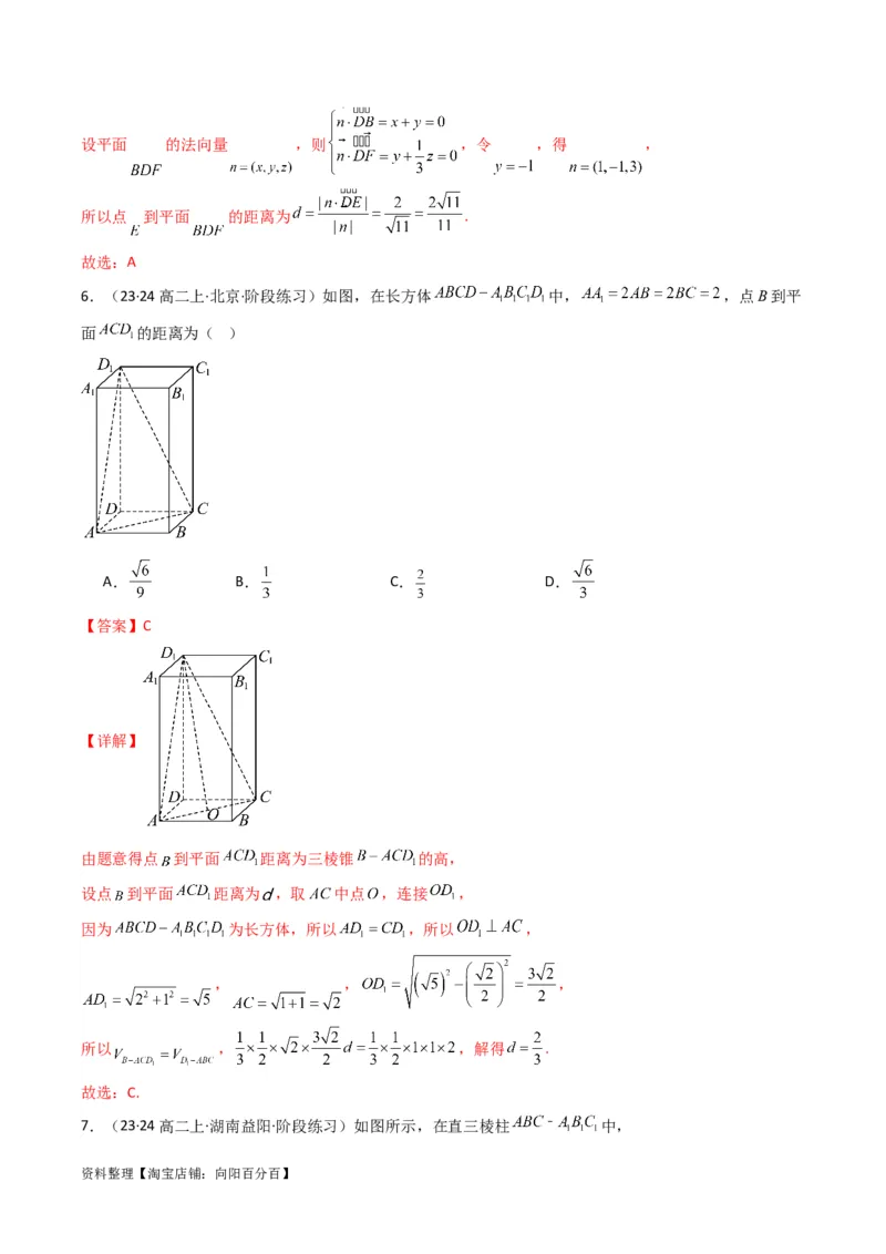
当前位置:首页>文档>专题04点到平面的距离(典型题型归类训练)(解析版)_02高考数学_新高考复习资料_2024年新高考资料_专项复习资料_❤解题思路训练❤2024年高考数学复习解答题提优秘籍(新高考专用)

专题04点到平面的距离(典型题型归类训练)(解析版)_02高考数学_新高考复习资料_2024年新高考资料_专项复习资料_❤解题思路训练❤2024年高考数学复习解答题提优秘籍(新高考专用)

  • 2026-04-08 02:11:16 2026-04-08 01:40:14

文档预览

专题04点到平面的距离(典型题型归类训练)(解析版)_02高考数学_新高考复习资料_2024年新高考资料_专项复习资料_❤解题思路训练❤2024年高考数学复习解答题提优秘籍(新高考专用)
专题04点到平面的距离(典型题型归类训练)(解析版)_02高考数学_新高考复习资料_2024年新高考资料_专项复习资料_❤解题思路训练❤2024年高考数学复习解答题提优秘籍(新高考专用)
专题04点到平面的距离(典型题型归类训练)(解析版)_02高考数学_新高考复习资料_2024年新高考资料_专项复习资料_❤解题思路训练❤2024年高考数学复习解答题提优秘籍(新高考专用)
专题04点到平面的距离(典型题型归类训练)(解析版)_02高考数学_新高考复习资料_2024年新高考资料_专项复习资料_❤解题思路训练❤2024年高考数学复习解答题提优秘籍(新高考专用)
专题04点到平面的距离(典型题型归类训练)(解析版)_02高考数学_新高考复习资料_2024年新高考资料_专项复习资料_❤解题思路训练❤2024年高考数学复习解答题提优秘籍(新高考专用)
专题04点到平面的距离(典型题型归类训练)(解析版)_02高考数学_新高考复习资料_2024年新高考资料_专项复习资料_❤解题思路训练❤2024年高考数学复习解答题提优秘籍(新高考专用)
专题04点到平面的距离(典型题型归类训练)(解析版)_02高考数学_新高考复习资料_2024年新高考资料_专项复习资料_❤解题思路训练❤2024年高考数学复习解答题提优秘籍(新高考专用)
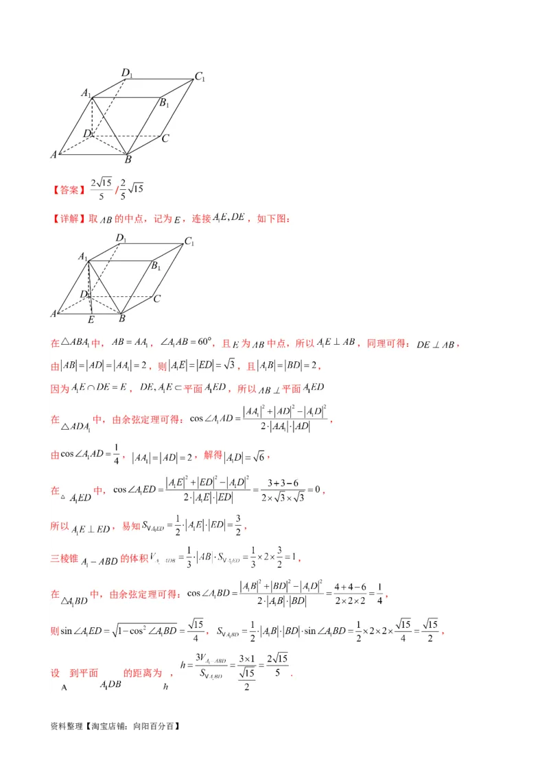
专题04点到平面的距离(典型题型归类训练)(解析版)_02高考数学_新高考复习资料_2024年新高考资料_专项复习资料_❤解题思路训练❤2024年高考数学复习解答题提优秘籍(新高考专用)
专题04点到平面的距离(典型题型归类训练)(解析版)_02高考数学_新高考复习资料_2024年新高考资料_专项复习资料_❤解题思路训练❤2024年高考数学复习解答题提优秘籍(新高考专用)
专题04点到平面的距离(典型题型归类训练)(解析版)_02高考数学_新高考复习资料_2024年新高考资料_专项复习资料_❤解题思路训练❤2024年高考数学复习解答题提优秘籍(新高考专用)
专题04点到平面的距离(典型题型归类训练)(解析版)_02高考数学_新高考复习资料_2024年新高考资料_专项复习资料_❤解题思路训练❤2024年高考数学复习解答题提优秘籍(新高考专用)
专题04点到平面的距离(典型题型归类训练)(解析版)_02高考数学_新高考复习资料_2024年新高考资料_专项复习资料_❤解题思路训练❤2024年高考数学复习解答题提优秘籍(新高考专用)
专题04点到平面的距离(典型题型归类训练)(解析版)_02高考数学_新高考复习资料_2024年新高考资料_专项复习资料_❤解题思路训练❤2024年高考数学复习解答题提优秘籍(新高考专用)
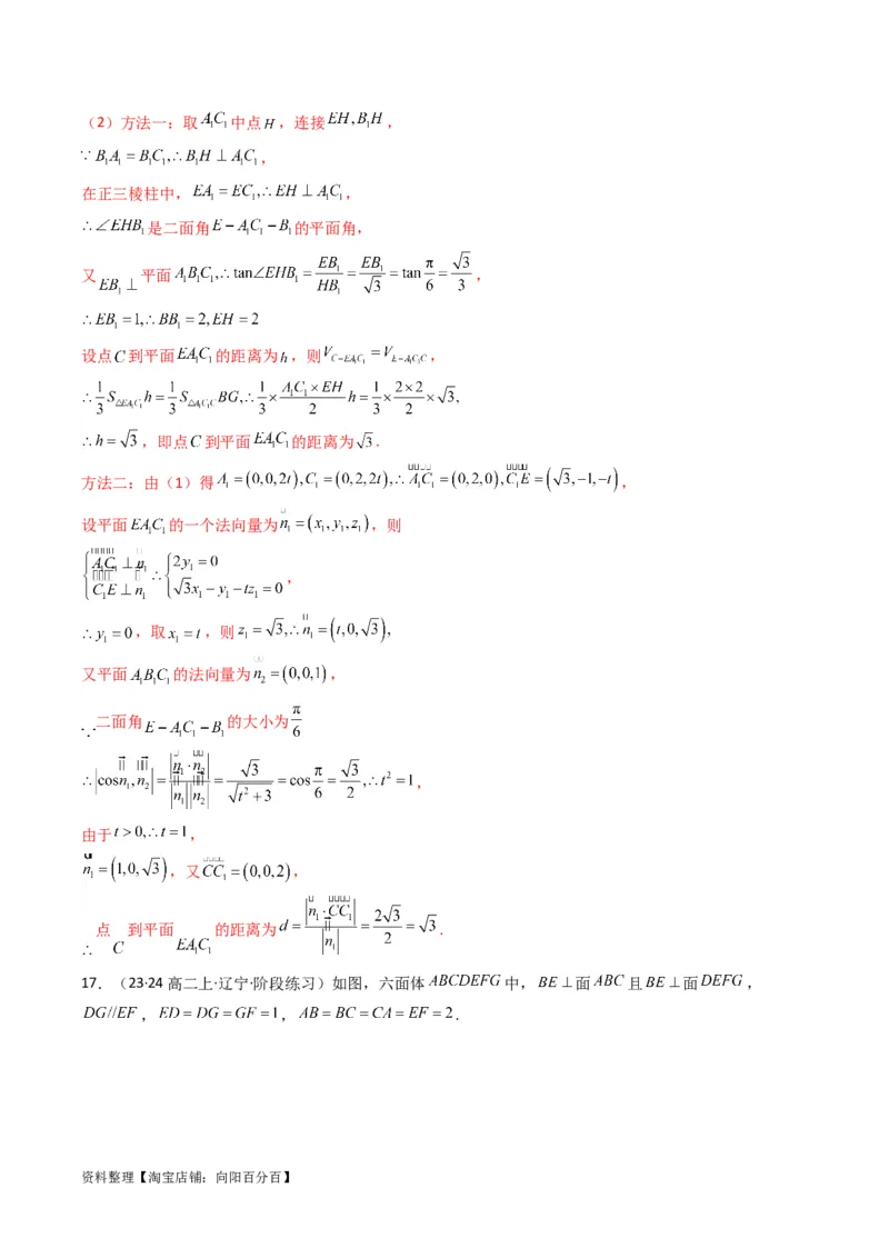
专题04点到平面的距离(典型题型归类训练)(解析版)_02高考数学_新高考复习资料_2024年新高考资料_专项复习资料_❤解题思路训练❤2024年高考数学复习解答题提优秘籍(新高考专用)
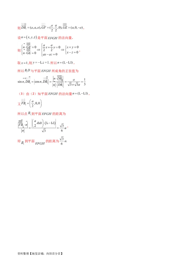
专题04点到平面的距离(典型题型归类训练)(解析版)_02高考数学_新高考复习资料_2024年新高考资料_专项复习资料_❤解题思路训练❤2024年高考数学复习解答题提优秘籍(新高考专用)
专题04点到平面的距离(典型题型归类训练)(解析版)_02高考数学_新高考复习资料_2024年新高考资料_专项复习资料_❤解题思路训练❤2024年高考数学复习解答题提优秘籍(新高考专用)
专题04点到平面的距离(典型题型归类训练)(解析版)_02高考数学_新高考复习资料_2024年新高考资料_专项复习资料_❤解题思路训练❤2024年高考数学复习解答题提优秘籍(新高考专用)
专题04点到平面的距离(典型题型归类训练)(解析版)_02高考数学_新高考复习资料_2024年新高考资料_专项复习资料_❤解题思路训练❤2024年高考数学复习解答题提优秘籍(新高考专用)
专题04点到平面的距离(典型题型归类训练)(解析版)_02高考数学_新高考复习资料_2024年新高考资料_专项复习资料_❤解题思路训练❤2024年高考数学复习解答题提优秘籍(新高考专用)
专题04点到平面的距离(典型题型归类训练)(解析版)_02高考数学_新高考复习资料_2024年新高考资料_专项复习资料_❤解题思路训练❤2024年高考数学复习解答题提优秘籍(新高考专用)
专题04点到平面的距离(典型题型归类训练)(解析版)_02高考数学_新高考复习资料_2024年新高考资料_专项复习资料_❤解题思路训练❤2024年高考数学复习解答题提优秘籍(新高考专用)
专题04点到平面的距离(典型题型归类训练)(解析版)_02高考数学_新高考复习资料_2024年新高考资料_专项复习资料_❤解题思路训练❤2024年高考数学复习解答题提优秘籍(新高考专用)
专题04点到平面的距离(典型题型归类训练)(解析版)_02高考数学_新高考复习资料_2024年新高考资料_专项复习资料_❤解题思路训练❤2024年高考数学复习解答题提优秘籍(新高考专用)
专题04点到平面的距离(典型题型归类训练)(解析版)_02高考数学_新高考复习资料_2024年新高考资料_专项复习资料_❤解题思路训练❤2024年高考数学复习解答题提优秘籍(新高考专用)
专题04点到平面的距离(典型题型归类训练)(解析版)_02高考数学_新高考复习资料_2024年新高考资料_专项复习资料_❤解题思路训练❤2024年高考数学复习解答题提优秘籍(新高考专用)
专题04点到平面的距离(典型题型归类训练)(解析版)_02高考数学_新高考复习资料_2024年新高考资料_专项复习资料_❤解题思路训练❤2024年高考数学复习解答题提优秘籍(新高考专用)
专题04点到平面的距离(典型题型归类训练)(解析版)_02高考数学_新高考复习资料_2024年新高考资料_专项复习资料_❤解题思路训练❤2024年高考数学复习解答题提优秘籍(新高考专用)
专题04点到平面的距离(典型题型归类训练)(解析版)_02高考数学_新高考复习资料_2024年新高考资料_专项复习资料_❤解题思路训练❤2024年高考数学复习解答题提优秘籍(新高考专用)
专题04点到平面的距离(典型题型归类训练)(解析版)_02高考数学_新高考复习资料_2024年新高考资料_专项复习资料_❤解题思路训练❤2024年高考数学复习解答题提优秘籍(新高考专用)
专题04点到平面的距离(典型题型归类训练)(解析版)_02高考数学_新高考复习资料_2024年新高考资料_专项复习资料_❤解题思路训练❤2024年高考数学复习解答题提优秘籍(新高考专用)
专题04点到平面的距离(典型题型归类训练)(解析版)_02高考数学_新高考复习资料_2024年新高考资料_专项复习资料_❤解题思路训练❤2024年高考数学复习解答题提优秘籍(新高考专用)
专题04点到平面的距离(典型题型归类训练)(解析版)_02高考数学_新高考复习资料_2024年新高考资料_专项复习资料_❤解题思路训练❤2024年高考数学复习解答题提优秘籍(新高考专用)
专题04点到平面的距离(典型题型归类训练)(解析版)_02高考数学_新高考复习资料_2024年新高考资料_专项复习资料_❤解题思路训练❤2024年高考数学复习解答题提优秘籍(新高考专用)
专题04点到平面的距离(典型题型归类训练)(解析版)_02高考数学_新高考复习资料_2024年新高考资料_专项复习资料_❤解题思路训练❤2024年高考数学复习解答题提优秘籍(新高考专用)
专题04点到平面的距离(典型题型归类训练)(解析版)_02高考数学_新高考复习资料_2024年新高考资料_专项复习资料_❤解题思路训练❤2024年高考数学复习解答题提优秘籍(新高考专用)
专题04点到平面的距离(典型题型归类训练)(解析版)_02高考数学_新高考复习资料_2024年新高考资料_专项复习资料_❤解题思路训练❤2024年高考数学复习解答题提优秘籍(新高考专用)
专题04点到平面的距离(典型题型归类训练)(解析版)_02高考数学_新高考复习资料_2024年新高考资料_专项复习资料_❤解题思路训练❤2024年高考数学复习解答题提优秘籍(新高考专用)
专题04点到平面的距离(典型题型归类训练)(解析版)_02高考数学_新高考复习资料_2024年新高考资料_专项复习资料_❤解题思路训练❤2024年高考数学复习解答题提优秘籍(新高考专用)
专题04点到平面的距离(典型题型归类训练)(解析版)_02高考数学_新高考复习资料_2024年新高考资料_专项复习资料_❤解题思路训练❤2024年高考数学复习解答题提优秘籍(新高考专用)
专题04点到平面的距离(典型题型归类训练)(解析版)_02高考数学_新高考复习资料_2024年新高考资料_专项复习资料_❤解题思路训练❤2024年高考数学复习解答题提优秘籍(新高考专用)
专题04点到平面的距离(典型题型归类训练)(解析版)_02高考数学_新高考复习资料_2024年新高考资料_专项复习资料_❤解题思路训练❤2024年高考数学复习解答题提优秘籍(新高考专用)
专题04点到平面的距离(典型题型归类训练)(解析版)_02高考数学_新高考复习资料_2024年新高考资料_专项复习资料_❤解题思路训练❤2024年高考数学复习解答题提优秘籍(新高考专用)

文档信息

文档格式
docx
文档大小
4.344 MB
文档页数
38 页
上传时间
2026-04-08 01:40:14

文档内容

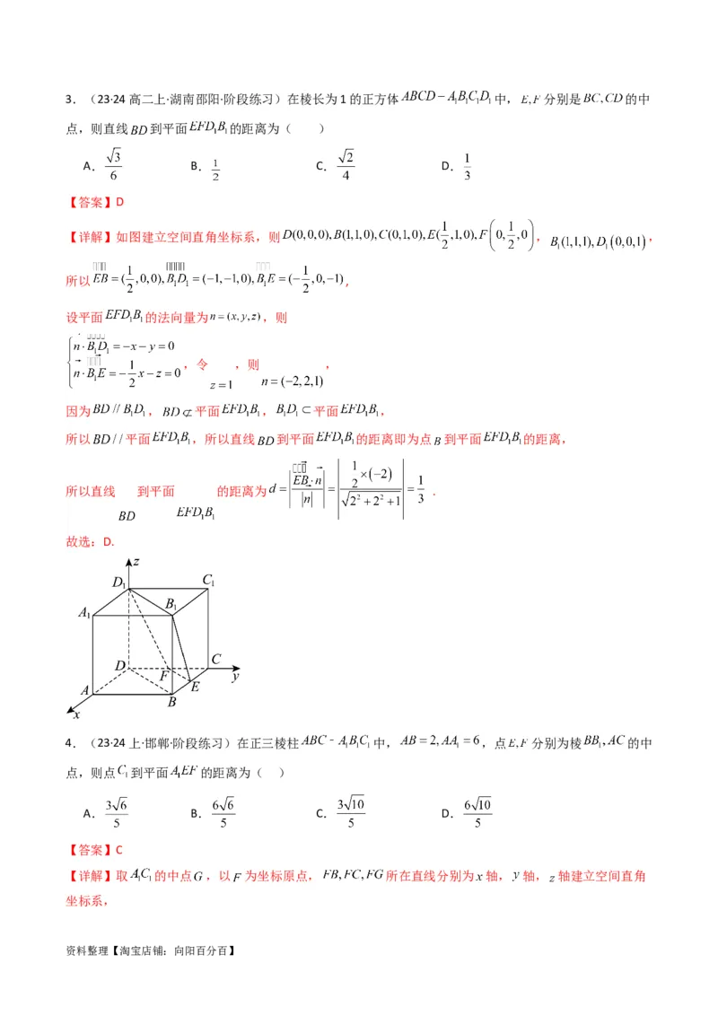
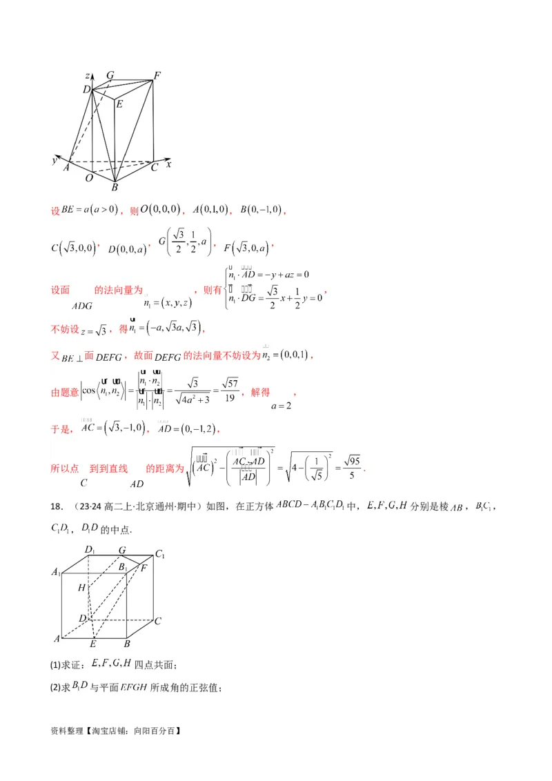
专题 04 点到平面的距离(典型题型归类训练) 目录 一、必备秘籍........................................................1 二、典型题型........................................................2 题型一:等体积法求点到平面的距离.................................2 题型二:利用向量法求点到平面的距离..............................10 三、专项训练.......................................................16 一、必备秘籍 1、等体积法求点到平面的距离 (1)当点到面的距离那条垂线不好作或找时,利用等体积法可以间接求点到面的距离,从而快速解决体 积问题,是一种常用数学思维方法 (2)在用变换顶点求体积时,变换顶点的原则是能在图象中直接找到求体积所用的高,有时单一靠棱锥 四个顶点之间来变换顶点无法达到目的时,还可以利用平行关系(线面平行,面面平行)转换顶点,如当 线面平行时,线上任意一点到平面的距离是相等的,同理面面平行也可以变换顶点 2、利用向量法求点到平面的距离 如图,已知平面 的法向量为 , 是平面 内的定点, 是平面 外一点.过点 作平面 的垂线 , 交平面 于点 ,则 是直线 的方向向量,且点 到平面 的距离就是 在直线 上的投影向量 的长度. 资料整理【淘宝店铺:向阳百分百】二、典型题型 题型一:等体积法求点到平面的距离 1.(23·24高二上·上海黄浦·阶段练习)如图,边长为1的正方形 中, 分别是 的中点, 沿 把这个正方形折成一个四面体使 三点重合,重合后的点记为 .则在四面体 中,点 到平面 的距离为 . 【答案】 【详解】由题意,折叠后的四面体 如图所示, 资料整理【淘宝店铺:向阳百分百】因为正方形 边长为 , 分别是 的中点, 所以 ,即 , 又 平面 ,所以 平面 , 同时由 ,得 , 又 , 所以 , , 设 到平面 的距离为 , 则 ,即 ,解得 . 故答案为: . 2.(23·24高二上·上海虹口·期中)如图,已知点P在圆柱 的底面圆O的圆周上, ,圆O 的直径 ,圆柱的高 . (1)求圆柱的体积; (2)求点A到平面 的距离. 【答案】(1) (2) 【详解】(1)由已知可得,圆柱的底面半径 ,圆柱的高 , 圆柱体积为: ; (2)设点 到平面 的距离为 , 在等腰 中,由 ,则 , 为直径, , 在 中, , 资料整理【淘宝店铺:向阳百分百】则 , 由 底面 , 底面 ,所以 , 又 , 平面 ,所以 平面 , 平面 , 故 , , , 由等体积法 ,得 , 解得: . 即点 到平面 的距离为 . 3.(17·18高二下·河北唐山·期末)如图,已知长方体 中, , ,连接 ,过B点 作 的垂线交 于E,交 于F. (1)求证: 平面 ; (2)求点A到平面 的距离; 【答案】(1)证明见解析 (2) 【详解】(1)证明:根据题意, 平面 , 平面 ,得 , 又 (已知), 平面 , 平面 , , 所以 平面 ,得 . 同理, 平面 ,得 . 因为 平面 , 平面 , , , , 所以 平面 . 资料整理【淘宝店铺:向阳百分百】(2)因为 平面 ,所以点A到平面 的距离等于点B到平面 的距离,设为d, 因为 , ,即 , , 所以 , . 故点A到平面 的距离等于 . 4.如图,在正方体 中, . (1)求证: ∥平面 ; (2)求点 到面 的距离. 【答案】(1)答案见详解 (2) 【详解】(1)∵ ∥ , 平面 , 平面 , ∴ ∥平面 (2)连接 ,设点 到面 的距离为 , 由已知可得 , 由正方体的性质可知 平面 ,则 , ∵ , ∴ ,解得 , 即点 到面 的距离为 . 资料整理【淘宝店铺:向阳百分百】5.(23·24高二上·江西九江·阶段练习)如图所示的五边形 中 是矩形, , 沿 折叠成四棱锥 . (1)从条件① ;② ;③ 中任选两个作为补充条件,证明:平面 平面 : (2)在(1)的条件下,求点 到平面 的距离. 【答案】(1)证明见解析 (2) 【详解】(1)选条件①②: 证明:由题意知, , ,所以 , 在 中, , ,则 , , 又因为 为矩形, ,则 ,所以 , 在 中, ,由余弦定理可得 , 解得 , 所以 ,即 , 又因为 , 、 平面 , 所以 平面 , 又因为 平面 , 资料整理【淘宝店铺:向阳百分百】所以平面 平面 . 选条件①③: 证明:由题意知, , ,所以 , 在 中, , ,则 , , 又因为 为矩形, ,则 ,所以 , 又 ,所以 ,即 , 又因为 , 、 平面 , 所以 平面 , 又因为 平面 , 所以平面 平面 . 选条件②③: 证明:由题意知, , ,所以 , 在 中, , , , 由余弦定理可得 ,解得 , 所以 ,即 , 又因为 , 、 平面 , 所以 平面 , 又因为 平面 , 所以平面 平面 . (2)因为 , 平面 , 平面 , 所以 平面 , 又 , 所以点 到平面 的距离等于点 到平面 的距离. 由(1)知, 平面 , , 又 , , 所以 , , 所以 ,即 , 所以 , 在 中, , ,则 , 资料整理【淘宝店铺:向阳百分百】所以在 中,由余弦定理得 ,则 , 所以 , 设点 到平面 的距离为 ,则点 到平面 的距离也为 , 由 可得 ,即 ,解得 , 故点 到平面 的距离为 . 6.(23·24高三上·上海浦东新·阶段练习)如图,在四棱锥 中,底面 是矩形,其中 , , 底面 , , 为 的中点, 为 的中点. (1)证明:直线 平面 ; (2)求点 到平面 的距离. 【答案】(1)证明见解析 (2) 【详解】(1)证明: 如上图,取 中点 ,连接 、 , ∵ 为 的中点, 为 的中点, 为 的中点, ∴在矩形 中 ,在 中 , 又∵ 平面 , 平面 , 平面 , 平面 , ∴ 平面 , 平面 , 又∵ 平面 , 平面 , , 资料整理【淘宝店铺:向阳百分百】∴平面 平面 , 又∵ 平面 ,∴ 平面 . (2)解: 如上图,连接 ,由题意, , , , ∵ 底面 , 平面 , 平面 , ∴ ,则 是等腰直角三角形, ∴ , ∵矩形 中 , , 平面 , 平面 , ∴ 平面 ,又∵ 平面 , ∴ ,则 是直角三角形, , ∴ . ∵ 底面 ,∴ 是三棱锥 的高. ∵底面 是矩形,∴ . ∵点 到平面 的距离就是三棱锥 的高 , ∴由 得: , 即 ,解得: , 即点 到平面 的距离为 . 7.(23·24高二上·上海杨浦·期中)如图, 为菱形 外一点, 平面 , , 为棱 的中点. 资料整理【淘宝店铺:向阳百分百】(1)求证: 平面 ; (2)若 ,求 到平面 的距离. 【答案】(1)证明见解析 (2) 【详解】(1)连接 ,如图: 因为 ,四边形 为菱形, 所以 , 又 为棱 的中点, 所以 , 因为 , 所以 , 因为 平面 , 平面 , 所以 , 又 平面 , 平面 , 所以 平面 . (2)因为 平面 , 平面 , 所以 平面 , 则 到平面 的距离即为点 到平面 的距离, 设点 到平面 的距离为 , 因为 , , 平面 , ,四边形 为菱形, 资料整理【淘宝店铺:向阳百分百】所以 , 解得 , 即 到平面 的距离为 . 题型二:利用向量法求点到平面的距离 1.(23·24高二上·广东东莞·阶段练习)已知三棱柱 的侧棱与底面垂直, , ,M是 的中点,N是 的中点,P是 的中点,则点A到平面 的距离为( ) A. B. C. D. 【答案】D 【详解】解:如图,以A为原点, , , 所在直线分别为x轴、y轴、z轴建立空间直角坐标系 , 则 , , , 所以 , , , 设平面 的一个法向量 , 则 ,令 ,则 , , 所以平面 的一个法向量 , 所以 , 即点A到平面 的距离为 . 资料整理【淘宝店铺:向阳百分百】故选:D. 2.(23·24高二上·广东佛山·阶段练习)如图,在四棱锥 中,平面 面 , . (1)证明: 平面 ; (2)求点 到平面 的距离. 【答案】(1)证明见解析 (2) 【详解】(1)取 中点 ,连接 , 由题意可知: ,则 ∥ , 且 ,则 为为平行四边形, 由 ,所以四边形 为矩形, 可知 ,则 , 又因为 ,可知 ,即 , 且平面 平面 ,平面 平面 , 平面 , 资料整理【淘宝店铺:向阳百分百】所以 平面 . (2)如图所示,以 为原点, 分别为 轴、 轴,过 作垂直 平面的直线,为 轴,建立空 间直角坐标系. 则 , 可得 , 设平面 的法向量为 ,则 , 令 ,则 ,可得 , 所以 到平面 的距离为 . 3.(23·24上·沧州·阶段练习)如图所示,四棱锥 的底面是矩形, , ,且 底面 ,若边 上存在异于 的一点 ,使得直线 . (1)求 的最大值; (2)当 取最大值时,求异面直线 与 所成角的余弦值; (3)当 取最大值时,求点 到平面 的距离. 【答案】(1) (2) (3) 资料整理【淘宝店铺:向阳百分百】【详解】(1) 建立如图空间直角坐标系, 设 ,则 , , , , 则 , . 因为 ,所以 ,即 . 即 , 当 时, 的最大值为 . (2)由(1)可知,当 取最大值时, , , 所以 . 所以异面直线 与 所成角的余弦值为 . (3)设平面 的法向量为 ,则 , , 因为 , , , 所以 , 取 ,则 , ,所以 , 所以 , 因为 到平面 的距离 等于 在 上的射影长, 所以 . 4.(23·24上·北辰·期中)如图, 且 且 且 平面 . 资料整理【淘宝店铺:向阳百分百】(1)若 为 的中点, 为 的中点,求证: 平面 ; (2)求平面 和平面 夹角的正弦值; (3)若点 在线段 上,且直线 与平面 所成的角为 ,求点 到平面 的距离. 【答案】(1)证明见解析; (2) ; (3) . 【详解】(1)取GD中点为Q,连接NQ,MQ. 因 为 的中点, 为 的中点,Q为GD中点, 由三角形及梯形中位线定理,可得 . 又注意到, 平面EDC, 平面EDC, 平面MNQ, ,则平面 平面 . 又 平面MQN,则 平面 . (2)因 平面ABCD, 平面ABCD, 则 ,又 ,则如图建立以D为原点的空间坐标系. 则 . . 设平面 和平面 的法向量分别为 . 则 ,取 ; ,取 . 设平面 和平面 夹角为 ,则 . 资料整理【淘宝店铺:向阳百分百】则平面 和平面 夹角的正弦值为 . (3)由(2),设 ,其中 ,则 又由题可得,平面 的一个法向量可取 . 结合直线 与平面 所成的角为 , 则 . 则 , . 设平面 法向量为 ,则 . 取 ,则点 到平面 的距离 . 5.(重庆市部分区2022-2023学年高二上学期期末联考数学试题)如图,在正方体 中, . 资料整理【淘宝店铺:向阳百分百】(1)求证: ; (2)求点 到平面 的距离. 【答案】(1)证明见解析 (2) 【详解】(1)证明:以A为坐标原点,AD为x轴,AB为y轴, 为z轴建立如图所示的坐标系. ∵ , , , , ∴ , , ∴ ,∴ ; (2)∵ , ,∴ , 设面 的法向量为 , ∵ , , ∵ , ,∴ , 令 ,则 , ,∴ , 设 到面 的距离为d, ∴ . 资料整理【淘宝店铺:向阳百分百】三、专项训练 一、单选题 1.(23·24高二上·陕西·阶段练习)如图,在正四棱柱 中, , .点 , , 分别在棱 , , 上, , , ,则点 到平面 的距离为( ) A. B. C. D. 【答案】D 【详解】以 为坐标原点, , , 所在直线分别为x,y,z轴建立如图所示的空间直角坐标系, 则 , , , , , , . 设平面 的法向量为 , 则 令 , 得 . 点 到平面 的距离为 . 故选:D. 资料整理【淘宝店铺:向阳百分百】2.(23·24高二上·广东东莞·阶段练习)如图,在棱长为1的正方体 中, 为线段 的 中点, 为 线段的中点,则直线 到平面 的距离为( ) A. B. C. D. 【答案】D 【详解】由题意易知直线 面 , 所以 到面 的距离即为直线 到平面 的距离. 建立如图所示坐标系 ,则: , , , , , 所以 设面 的法向量 ,则: ,即 取 ,则 ,所以 所以 到面 的距离 . 故选:D 资料整理【淘宝店铺:向阳百分百】3.(23·24高二上·湖南邵阳·阶段练习)在棱长为1的正方体 中, 分别是 的中 点,则直线 到平面 的距离为( ) A. B. C. D. 【答案】D 【详解】如图建立空间直角坐标系,则 , , 所以 , 设平面 的法向量为 ,则 ,令 ,则 , 因为 , 平面 , 平面 , 所以 平面 ,所以直线 到平面 的距离即为点 到平面 的距离, 所以直线 到平面 的距离为 . 故选:D. 4.(23·24上·邯郸·阶段练习)在正三棱柱 中, ,点 分别为棱 的中 点,则点 到平面 的距离为( ) A. B. C. D. 【答案】C 【详解】取 的中点 ,以 为坐标原点, 所在直线分别为 轴, 轴, 轴建立空间直角 坐标系, 资料整理【淘宝店铺:向阳百分百】则 , 所以 , 设平面 的一个法向量为 , 所以 令 ,解得 , 所以平面 的一个法向量为 , 所以点 到平面 的距离 . 故选:C. 5.(23·24上·绍兴·阶段练习)在棱长为1的正方体 中,E为 的中点,F为 的三等 分点 靠近C点 ,则点E到平面BDF的距离为( ) A. B. C. D. 【答案】A 【详解】在棱长为1的正方体 中,建立如图所示的空间直角坐标系, 则 , , 资料整理【淘宝店铺:向阳百分百】设平面 的法向量 ,则 ,令 ,得 , 所以点 到平面 的距离为 . 故选:A 6.(23·24高二上·北京·阶段练习)如图,在长方体 中, ,点B到平 面 的距离为( ) A. B. C. D. 【答案】C 【详解】 由题意得点 到平面 距离为三棱锥 的高, 设点 到平面 距离为 ,取 中点 ,连接 , 因为 为长方体,所以 ,所以 , , , , 所以 , ,解得 . 故选:C. 7.(23·24高二上·湖南益阳·阶段练习)如图所示,在直三棱柱 中, 资料整理【淘宝店铺:向阳百分百】为棱 的中点,则点 到平面 的距离是( ) A. B. C. D. 【答案】C 【详解】如图,连接 , 因为三棱柱 为直三棱柱,所以 平面 , 因为 平面 ,所以 ,又因为 , 平面 , 所以 平面 ,所以点 到平面 的距离为 , 因为 ,所以 , , 因为 为棱 的中点,且 平面 ,则易知 , 则 ,则 , 设点 到平面 的距离为 , 则 ,即 , 即 ,解得 . 故选:C. 8.(23·24高二上·吉林长春·阶段练习)我国古代数学名著《九章算术》对立体几何问题有着深入的研究, 从其中的一些数学用语可见.譬如“堑堵”指底面为直角三角形且侧棱垂直于底面的三棱柱,“阳马”指 底面是矩形且有一侧棱垂直于底面的四棱锥,“鳖臑”指四个面都是直角三角形的三棱锥.现有一如图所 资料整理【淘宝店铺:向阳百分百】示的“堑堵” ,其中 ,若 ,则 到平面 的距离为( ) A. B. C. D. 【答案】B 【详解】 取 中点 ,连结 , 根据题意, 平面 , 平面 , 所以平面 平面 , 因为 ,所以 , 又平面 平面 , 平面 所以 平面 ,且 由题意可知 , , 则 ,即 为直角三角形, , 设 到平面 的距离为 ,且 , 即 , 资料整理【淘宝店铺:向阳百分百】. 故选:B 9.(23·24高三上·河北沧州·阶段练习)在三棱柱 中, 平面 , , ,点D是 的中点,点E是平面 的中心,则点E到平面 的距离为( ) A. B. C. D. 【答案】C 【详解】如图所示,连接 ,则点 在 上,再连接 交 于点 ,则 为 的中点, 因为 为 的中点,可得 , 因为 平面 , 平面 ,所以 平面 , 所以点 到平面 的距离等价于点 到平面 的距离, 设点 到平面 的距离为 ,由 ,即 , 由 ,可得 , 又由 , ,所以 , 所以 为直角三角形,所以 , 所以 ,即点 到平面 的距离为 . 故选:C. 二、填空题 10.(23·24高二上·宁夏固原·阶段练习)在棱长为1的正方体 中,点 到平面 的距 离为 . 资料整理【淘宝店铺:向阳百分百】【答案】 / 【详解】如图所示, 设 到平面 的距离为h, 由 得 , 所以 , 因为正方体的棱长为1,所以 , , , 所以 是等边三角形, 所以 , 所以 ,即 到平面 的距离为 . 故答案为: . 11.(23·24高二上·山西太原·阶段练习)如下图所示,在平行六面体 中,各棱长均为2, 已知 , ,则点A到平面 的距离 . 资料整理【淘宝店铺:向阳百分百】【答案】 / 【详解】取 的中点,记为 ,连接 ,如下图: 在 中, , ,且 为 中点,所以 ,同理可得: , 由 ,则 ,且 , 因为 , 平面 ,所以 平面 在 中,由余弦定理可得: , 由 , ,解得 , 在 中, , 所以 ,易知 , 三棱锥 的体积 , 在 中,由余弦定理可得: , 则 , , 设 到平面 的距离为 , . 资料整理【淘宝店铺:向阳百分百】故答案为: . 12.(23·24高二上·安徽·阶段练习)如图,四棱锥P-ABCD中,平面 平面ABCD,底面ABCD是边 长为2的正方形, 是等边三角形,M,N分别为AB和PC的中点,则平面DMN上任意一点到底面 ABCD中心距离的最小值为 . 【答案】 【详解】 连接 相交于点 , 点为底面 的中心,取 中点为 ,连接 ,则 ,因为 平面 平面ABCD,则 平面 , 以点 为原点,分别以 为 轴正半轴,建立如图所示空间直角坐标系, 且底面ABCD边长为2, 是等边三角形,则 , ,则 , ,则 , ,设平面 的法向量为 , 则 ,解得 ,取 ,则 , 资料整理【淘宝店铺:向阳百分百】,所以 ,且平面DMN上任意一点到底面ABCD中心距离的最小值即为点 到平 面 的距离,则 . 故答案为: . 13.(23·24高二上·天津西青·阶段练习)如图,棱长为2的正方体 ,点 是棱 的中点, 点 到直线 的距离为 . 【答案】 / 【详解】以 为坐标原点,建立如图所示的空间直角坐标系, 因为正方体 的棱长为2,所以 , , , 所以直线 方向向量 ,又 , , 所以 在 上的投影长为 , 所以点 到直线 的距离为 故答案为: . 资料整理【淘宝店铺:向阳百分百】三、解答题 14.(23·24高三上·四川成都·阶段练习)已知正方形 的边长为2, 为等边三角形(如图1所 示).沿着 折起,点 折起到点 的位置,使得侧面 底面 . 是棱 的中点(如图2 所示). (1)求证: ; (2)求点 与平面 的距离. 【答案】(1)见解析 (2) 【详解】(1)如图,取AB中点O,连接 交 于 , ∵ 为等边三角形, ∴ , 又∵平面 平面 , 平面 ,平面 平面 , 故 平面 , 而 平面 ,∴ , 又∵ , , ∴ . ∴ , 又∵ 平面 , 平面 , , ∴ 平面 , ∵ 平面 , ∴ . (2)设点 与平面 的距离为 , ∵ABCD是正方形,△PAB为等边三角形, 资料整理【淘宝店铺:向阳百分百】∴ , , 又∵平面 平面 , 平面 ,平面 平面 , 故 ⊥平面 , 而 平面 ,所以, , ∴在 中, , ∴ ,则易得 , 由(1)知, 平面 , ∴ 为三棱锥 的高, ∴ 又∵ , 得 . 故点 与平面 的距离为 . 15.(23·24高二上·广东东莞·阶段练习)如图,已知一个组合体由一个圆锥 与一个圆柱 构成(圆 锥底面与圆柱上底面重合.平面 为圆柱的轴截面),已知圆锥高为3,圆柱高为5,底面直径为8. (1)求这个组合体的体积 (2)设 为半圆弧 的中点,求 到面 的距离. 【答案】(1) ; (2) . 【详解】(1)依题意,圆锥的底面圆半径为4,而其高为3,则圆锥的体积 , 圆柱的底面圆半径为4,高为5,则圆柱的体积 , 所以这个组合体的体积为 . (2)连接 ,由 为半圆弧 的中点,得 , , 资料整理【淘宝店铺:向阳百分百】而 平面 , 平面 ,则 , , 平面 , 于是 平面 ,显然圆锥与圆柱有共同的旋转轴,即点 在平面 内, 因此三棱锥 的高为 ,且 , 设 到平面 的距离为 ,由 ,得 , 即 ,从而 , 故 到平面 的距离为 . 16.(23·24高三上·广东佛山·阶段练习)如图,在正三棱柱 中,点 为侧棱 的中点,且 . (1)证明:平面 平面 (2)若二面角 的大小为 ,求点 到平面 的距离. 【答案】(1)证明见解析; (2) 【详解】(1)法一: 取 中点 的中点 ,连接 与 , 则 ,且 资料整理【淘宝店铺:向阳百分百】又 为 中点, ,且 , 四边形 是平行四边形, . 在正三棱柱中, 平面 平面 , ,又 为等边三角形, , 又 平面 , 平面 ,又 平面 , 平面 平面 , 法二如图,以 原点,垂直于 的直线为 轴,建立空间直角坐标系, 设 ,则 , , 设平面 的一个法向量为 ,则 , 取 ,则 又平面 的法向量为 , , 平面 平面 资料整理【淘宝店铺:向阳百分百】(2)方法一:取 中点 ,连接 , , 在正三棱柱中, , 是二面角 的平面角, 又 平面 , 设点 到平面 的距离为 ,则 , ,即点 到平面 的距离为 . 方法二:由(1)得 , 设平面 的一个法向量为 ,则 , ,取 ,则 又平面 的法向量为 , 二面角 的大小为 , 由于 , ,又 , 点 到平面 的距离为 . 17.(23·24高二上·辽宁·阶段练习)如图,六面体 中, 面 且 面 , , , . 资料整理【淘宝店铺:向阳百分百】(1)求证: 平面 ; (2)若二面角 的余弦值为 ,求点 到直线 的距离. 【答案】(1)证明见解析 (2) 【详解】(1)证明:因为 面 且 面 , 面 且 面 , 所以 且 , 在面 中, , 同理,在面 中, , 因为 , 所以 , 又 , 所以 , 所以 , 所以 , 由 面 , 面 ,知 , 又因为 , 面 , 面 , 所以 面 . (2)取 中点 ,由题可知, 且 , 所以四边形 为平行四边形,所以 , 因为 面 ,故 面 , 又因为 为正三角形,所以 , , 两两垂直, 以 为坐标原点,以 的方向分别为 , , 轴正方向,建立如图所示的空间直角坐标系, 资料整理【淘宝店铺:向阳百分百】设 ,则 , , , , , , , 设面 的法向量为 ,则有 , 不妨设 ,得 , 又 面 ,故面 的法向量不妨设为 , 由题意 ,解得 , 于是, , , 所以点 到到直线 的距离为 . 18.(23·24高二上·北京通州·期中)如图,在正方体 中, 分别是棱 , , , 的中点. (1)求证: 四点共面; (2)求 与平面 所成角的正弦值; 资料整理【淘宝店铺:向阳百分百】(3)求点 到平面 的距离. 【答案】(1)证明见详解 (2) (3) 【详解】(1)如图,取 的中点 连接 , 因为 分别是棱 , , , 的中点, 易得 , ,所以 , 所以 四点共面, 又 , 所以 , 则 四点共面, 而过不共线的的三点 的平面具有唯一性, 则平面 与平面 重合, 故 四点共面. (2)以 为原点, 所在直线分别为 轴、 轴、 轴, 建立如图所示的空间直角坐标系, 设正方形的的边长为 则 资料整理【淘宝店铺:向阳百分百】则 , 设 是平面 的法向量, 则 , 取 ,则 所以 , 所以 与平面 所成角的正弦值为 (3)由(2)知平面 的法向量 , 又 所以点 到平面 的距离为 , 即 到平面 的距离为 资料整理【淘宝店铺:向阳百分百】