当前位置:首页>文档>专题06利用导函数研究能成立(有解)问题(典型题型归类训练)(解析版)_02高考数学_2024年新高考资料_3.2024专项复习_解题思路训练2024年高考数学复习解答题提优秘籍(新高考专用)

专题06利用导函数研究能成立(有解)问题(典型题型归类训练)(解析版)_02高考数学_2024年新高考资料_3.2024专项复习_解题思路训练2024年高考数学复习解答题提优秘籍(新高考专用)

  • 2026-04-08 06:31:48 2026-04-08 06:25:45

文档预览

专题06利用导函数研究能成立(有解)问题(典型题型归类训练)(解析版)_02高考数学_2024年新高考资料_3.2024专项复习_解题思路训练2024年高考数学复习解答题提优秘籍(新高考专用)
专题06利用导函数研究能成立(有解)问题(典型题型归类训练)(解析版)_02高考数学_2024年新高考资料_3.2024专项复习_解题思路训练2024年高考数学复习解答题提优秘籍(新高考专用)
专题06利用导函数研究能成立(有解)问题(典型题型归类训练)(解析版)_02高考数学_2024年新高考资料_3.2024专项复习_解题思路训练2024年高考数学复习解答题提优秘籍(新高考专用)
专题06利用导函数研究能成立(有解)问题(典型题型归类训练)(解析版)_02高考数学_2024年新高考资料_3.2024专项复习_解题思路训练2024年高考数学复习解答题提优秘籍(新高考专用)
专题06利用导函数研究能成立(有解)问题(典型题型归类训练)(解析版)_02高考数学_2024年新高考资料_3.2024专项复习_解题思路训练2024年高考数学复习解答题提优秘籍(新高考专用)
专题06利用导函数研究能成立(有解)问题(典型题型归类训练)(解析版)_02高考数学_2024年新高考资料_3.2024专项复习_解题思路训练2024年高考数学复习解答题提优秘籍(新高考专用)
专题06利用导函数研究能成立(有解)问题(典型题型归类训练)(解析版)_02高考数学_2024年新高考资料_3.2024专项复习_解题思路训练2024年高考数学复习解答题提优秘籍(新高考专用)
专题06利用导函数研究能成立(有解)问题(典型题型归类训练)(解析版)_02高考数学_2024年新高考资料_3.2024专项复习_解题思路训练2024年高考数学复习解答题提优秘籍(新高考专用)
专题06利用导函数研究能成立(有解)问题(典型题型归类训练)(解析版)_02高考数学_2024年新高考资料_3.2024专项复习_解题思路训练2024年高考数学复习解答题提优秘籍(新高考专用)
专题06利用导函数研究能成立(有解)问题(典型题型归类训练)(解析版)_02高考数学_2024年新高考资料_3.2024专项复习_解题思路训练2024年高考数学复习解答题提优秘籍(新高考专用)
专题06利用导函数研究能成立(有解)问题(典型题型归类训练)(解析版)_02高考数学_2024年新高考资料_3.2024专项复习_解题思路训练2024年高考数学复习解答题提优秘籍(新高考专用)
专题06利用导函数研究能成立(有解)问题(典型题型归类训练)(解析版)_02高考数学_2024年新高考资料_3.2024专项复习_解题思路训练2024年高考数学复习解答题提优秘籍(新高考专用)
专题06利用导函数研究能成立(有解)问题(典型题型归类训练)(解析版)_02高考数学_2024年新高考资料_3.2024专项复习_解题思路训练2024年高考数学复习解答题提优秘籍(新高考专用)
专题06利用导函数研究能成立(有解)问题(典型题型归类训练)(解析版)_02高考数学_2024年新高考资料_3.2024专项复习_解题思路训练2024年高考数学复习解答题提优秘籍(新高考专用)
专题06利用导函数研究能成立(有解)问题(典型题型归类训练)(解析版)_02高考数学_2024年新高考资料_3.2024专项复习_解题思路训练2024年高考数学复习解答题提优秘籍(新高考专用)
专题06利用导函数研究能成立(有解)问题(典型题型归类训练)(解析版)_02高考数学_2024年新高考资料_3.2024专项复习_解题思路训练2024年高考数学复习解答题提优秘籍(新高考专用)
专题06利用导函数研究能成立(有解)问题(典型题型归类训练)(解析版)_02高考数学_2024年新高考资料_3.2024专项复习_解题思路训练2024年高考数学复习解答题提优秘籍(新高考专用)
专题06利用导函数研究能成立(有解)问题(典型题型归类训练)(解析版)_02高考数学_2024年新高考资料_3.2024专项复习_解题思路训练2024年高考数学复习解答题提优秘籍(新高考专用)
专题06利用导函数研究能成立(有解)问题(典型题型归类训练)(解析版)_02高考数学_2024年新高考资料_3.2024专项复习_解题思路训练2024年高考数学复习解答题提优秘籍(新高考专用)
专题06利用导函数研究能成立(有解)问题(典型题型归类训练)(解析版)_02高考数学_2024年新高考资料_3.2024专项复习_解题思路训练2024年高考数学复习解答题提优秘籍(新高考专用)
专题06利用导函数研究能成立(有解)问题(典型题型归类训练)(解析版)_02高考数学_2024年新高考资料_3.2024专项复习_解题思路训练2024年高考数学复习解答题提优秘籍(新高考专用)
专题06利用导函数研究能成立(有解)问题(典型题型归类训练)(解析版)_02高考数学_2024年新高考资料_3.2024专项复习_解题思路训练2024年高考数学复习解答题提优秘籍(新高考专用)
专题06利用导函数研究能成立(有解)问题(典型题型归类训练)(解析版)_02高考数学_2024年新高考资料_3.2024专项复习_解题思路训练2024年高考数学复习解答题提优秘籍(新高考专用)
专题06利用导函数研究能成立(有解)问题(典型题型归类训练)(解析版)_02高考数学_2024年新高考资料_3.2024专项复习_解题思路训练2024年高考数学复习解答题提优秘籍(新高考专用)
专题06利用导函数研究能成立(有解)问题(典型题型归类训练)(解析版)_02高考数学_2024年新高考资料_3.2024专项复习_解题思路训练2024年高考数学复习解答题提优秘籍(新高考专用)
专题06利用导函数研究能成立(有解)问题(典型题型归类训练)(解析版)_02高考数学_2024年新高考资料_3.2024专项复习_解题思路训练2024年高考数学复习解答题提优秘籍(新高考专用)
专题06利用导函数研究能成立(有解)问题(典型题型归类训练)(解析版)_02高考数学_2024年新高考资料_3.2024专项复习_解题思路训练2024年高考数学复习解答题提优秘籍(新高考专用)
专题06利用导函数研究能成立(有解)问题(典型题型归类训练)(解析版)_02高考数学_2024年新高考资料_3.2024专项复习_解题思路训练2024年高考数学复习解答题提优秘籍(新高考专用)
专题06利用导函数研究能成立(有解)问题(典型题型归类训练)(解析版)_02高考数学_2024年新高考资料_3.2024专项复习_解题思路训练2024年高考数学复习解答题提优秘籍(新高考专用)
专题06利用导函数研究能成立(有解)问题(典型题型归类训练)(解析版)_02高考数学_2024年新高考资料_3.2024专项复习_解题思路训练2024年高考数学复习解答题提优秘籍(新高考专用)
专题06利用导函数研究能成立(有解)问题(典型题型归类训练)(解析版)_02高考数学_2024年新高考资料_3.2024专项复习_解题思路训练2024年高考数学复习解答题提优秘籍(新高考专用)
专题06利用导函数研究能成立(有解)问题(典型题型归类训练)(解析版)_02高考数学_2024年新高考资料_3.2024专项复习_解题思路训练2024年高考数学复习解答题提优秘籍(新高考专用)
专题06利用导函数研究能成立(有解)问题(典型题型归类训练)(解析版)_02高考数学_2024年新高考资料_3.2024专项复习_解题思路训练2024年高考数学复习解答题提优秘籍(新高考专用)
专题06利用导函数研究能成立(有解)问题(典型题型归类训练)(解析版)_02高考数学_2024年新高考资料_3.2024专项复习_解题思路训练2024年高考数学复习解答题提优秘籍(新高考专用)
专题06利用导函数研究能成立(有解)问题(典型题型归类训练)(解析版)_02高考数学_2024年新高考资料_3.2024专项复习_解题思路训练2024年高考数学复习解答题提优秘籍(新高考专用)
专题06利用导函数研究能成立(有解)问题(典型题型归类训练)(解析版)_02高考数学_2024年新高考资料_3.2024专项复习_解题思路训练2024年高考数学复习解答题提优秘籍(新高考专用)
专题06利用导函数研究能成立(有解)问题(典型题型归类训练)(解析版)_02高考数学_2024年新高考资料_3.2024专项复习_解题思路训练2024年高考数学复习解答题提优秘籍(新高考专用)

文档信息

文档格式
docx
文档大小
1.764 MB
文档页数
33 页
上传时间
2026-04-08 06:25:45

文档内容

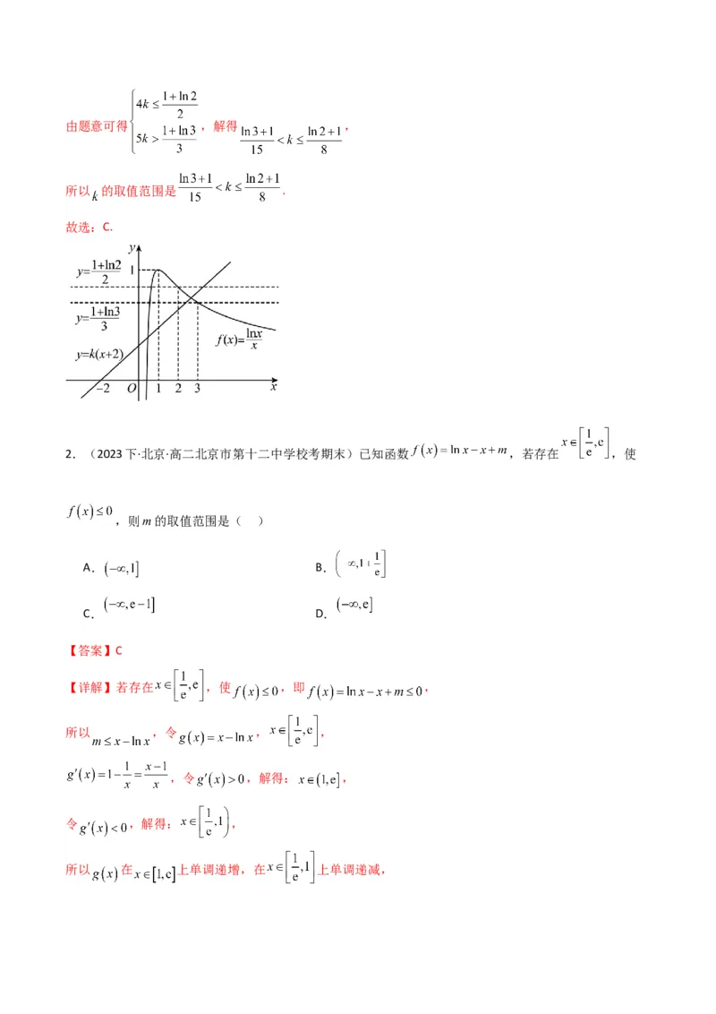
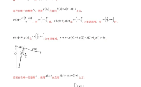
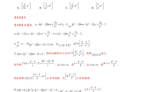
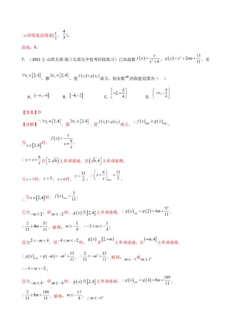
专题 06 利用导函数研究能成立(有解)问题 (典型题型归类训练) 目录 一、必备秘籍...........................................................................................................1 二、典型题型...........................................................................................................1 题型一:单变量有解问题..................................................................................1 题型二:双变量不等式有解问题.......................................................................7 题型三:双变量等式有解问题.........................................................................12 三、专项训练.........................................................................................................15 一、必备秘籍 分离参数法 用分离参数法解含参不等式恒成立问题,可以根据不等式的性质将参数分离出来,得到一个一端是参数, 另一端是变量表达式的不等式; 步骤: ①分类参数(注意分类参数时自变量 的取值范围是否影响不等式的方向) ②转化: ,使得 能成立 ; ,使得 能成立 . ③求最值.二、典型题型 题型一:单变量有解问题 1.(2023·四川乐山·统考二模)若存在 ,使不等式 成立,则 的取 值范围是( ) A. B. C. D. 【答案】D 【详解】依题意, , 令 ,即 ,由 ,得 , 令 ,则原问题等价于存在 ,使得 成立, 求导得 ,由 ,得 ,由 ,得 , 因此函数 在 上单调递减,在 上单调递增, 而 ,又 , 则当 时, ,若存在 ,使得 成立, 只需 且 ,解得 且 ,即 , 所以 的取值范围为 . 故选:D【点睛】思路点睛:构造函数是基本的解题思路,因此观察题目所给的数的结构特点,以及数与数之间的 内在联系,合理构造函数,利用导数判断单调性是解题的关键. 2.(2023·四川成都·石室中学校考模拟预测)若关于 的不等式 在 内有解, 则实数 的取值范围是( ) A. B. C. D. 【答案】B 【详解】由 有意义可知, . 由 ,得 . 令 ,即有 . 因为 ,所以 ,令 , 问题转化为存在 ,使得 . 因为 ,令 ,即 ,解得 ; 令 ,即 ,解得 , 所以 在 上单调递增,在 上单调递减. 又 ,所以当 时, . 因为存在 ,使得 成立,所以只需 且 ,解得 . 故选: . 二、填空题 3.(2023·河南·校联考模拟预测)已知函数 ,若存在唯一 的整数 ,使得 ,则实数 的取值范围是 .【答案】 【详解】函数 存在唯一的整数 ,使得 , 设 与 , 即存在唯一的整数 ,使得 在直线 上方, ,当 时, , 在 上单调递增;当 时, , 在 上单调递减, , , 若要存在唯一的整数 ,使得 在直线 上方, 则 或 ,代入得 或 , 解得 ,故答案为: . 【点睛】关键点点睛:用导数求参数的范围问题,将题目转化两个函数的交点问题求解是解题的关键. 4.(2023·云南·校联考三模)设函数 ,若存在唯一整数 ,使得 ,则 的 取值范围是 . 【答案】 【详解】由函数 ,设 和 因为存在唯一整数 ,使得 , 所以存在唯一的整数 使得 在直线 的下方,如图所示, 因为 ,当 时, ;当 时, , 所以 在 上单调递减,在 单调递增, 当 时, 取得极小值,也为最小值 , 且当 时, ,当 时, , 又由直线 恒经过原点 ,斜率为 (其中 ), 所以 且 ,解得 , 所以实数 的取值范围是 . 故答案为:5.(2023·全国·模拟预测)已知函数 . (1)讨论 的单调性; (2)若存在 ,使得 ,求实数 的最小值. 【答案】(1)答案见解析 (2) 【详解】(1)因为 , 所以 的定义域为 . 当 时, ; 当 时,令 ,解得 或 (舍去), 所以当 时, ,当 时, . 综上:当 时, 在 上单调递增;当 时, 在 上单调递减,在 上单调递增. (2)若存在 ,使得 ,则存在 ,使得 成立, 令 ,令 ,则 , 当 时, ,即 在 单调递减, 当 时, ,则 在 单调递增, 所以 在 取得极小值,即最小值,所以 , 即 在 上恒成立,即存在 ,使得 成立, 即 . 令 ,则 , 令 ,所以 , 当 时, ;当 时, , 所以 在 上单调递减,在 上单调递增,所以 , 所以当 时, 恒成立, 所以函数 在 上单调递增,所以 , 所以 ,即实数 的最小值为 . 【点睛】关键点睛:本题主要考查了利用导数解决含参函数单调区间问题,以及不等式能成立问题,难度 较难,解答本题的关键在于将不等式问题通过分离参数法,转化为最值问题,然后构造函数,利用导数判 断函数的单调性,解决问题. 6.(2023·宁夏银川·校考模拟预测)已知函数 . (1)当 时,求曲线 在点 处的切线方程; (2)如果存在 ,使得当 时,恒有 成立,求 的取值范围. 【答案】(1) ; (2) ; 【详解】(1)当 时, ,求导得: ,则 ,而 , 所以曲线 在点 处的切线方程为 .(2) , 因为存在 ,使得当 时,恒有 成立, 则存在 ,使得当 时, , 令 ,即有 , 恒成立, 求导得 ,令 , , 因此函数 ,即函数 在 上单调递增,而 , 当 ,即 时, ,函数 在 上单调递增, , 成立,从而 , 当 时, , ,则存在 ,使得 , 当 时, ,函数 在 上单调递减,当 时, ,不符合题意, 所以 的取值范围是 . 【点睛】关键点睛:涉及不等式恒成立问题,将给定不等式等价转化,构造函数,利用导数探求函数单调 性、最值是解决问题的关键. 题型二:双变量不等式有解问题 1.(2023·全国·高三专题练习)已知函数 , ,对于存在的 ,存在 ,使 ,则实数 的取值范围为( ) A. B. C. D.【答案】A 【详解】因为对于存在 ,存在 ,使 , 所以 , , , 又 , , 显然 在 上单调递减,则 , 当 时, ,即 在 上单调递增, 则 , 由 解得: , 所以实数 的取值范围为 . 故选:A. 2.(2023·四川南充·统考三模)已知函数 , , , 使 ( 为常数)成立,则常数 的取值范围为( ) A. B. C. D. 【答案】D 【详解】 在 上为增函数, 由 知, , 令 ,则 , 当 时, , 即 在 上单调递增,所以 ,即 , 所以 在 上单调递增,即 在 上单调递增, 不妨设 ,则 , , 可化为 , 即 , 令 , 则 , , 使 能成立, 在 上能成立, 即 在 上能成立, , , 令 , , 则 ,令 , 则 ,当 时, , 故 在 上单调递增,所以 , 故 , 在 上单调递增, , . 故选:D 【点睛】关键点点睛:根据题意转化为存在 , 使 能成立是其一,其二需要构造函数 后分离参数转化为 在 上能 成立,再次构造函数 ,多次利用导数求其最大值. 3.(2023上·广东中山·高三中山市华侨中学校考阶段练习)已知函数 , 对于 ,都 ,使 ,则 的取值范围为 . 【答案】 【详解】由 得 , 当 时, ;当 时, ; 所以 在 上单调递减,在 上单调递增,且 , 所以 , 对于 , ,所以 , 由题意知对于 ,都 ,使 , 故 ,则 ,所以 或 , 故答案为: . 4.(2023下·重庆·高二校联考期中)已知函数 ,若对任意 都存在 ,使 成立,则实数 的取值范围是 . 【答案】 【详解】对任意 都存在 使 成立, 而 ,所以 ,即存在 ,使 , 此时 , ,所以 , 因此将问题转化为:存在 ,使 成立, 设 , , 当 , , 单调递增, 所以 , 由题意 ,所以 , 所以实数 的取值范围是 . 故答案为: . 5.(2023上·福建莆田·高三莆田一中校考期中)已知函数 . (1)当 时,求函数 的最小值; (2)若 ,且对 ,都 ,使得 成立,求实数 的取值范 围. 【答案】(1) ; (2) . 【详解】(1)因为函数 ,所以 . 设 ,则 ,故 在 上递减.,即 , 在 上单调递减,最小值为 . (2)令 ,则 在 上恒成立, 即函数 在 上单调递减,所以 , 所以 ,即 在 上恒成立; 又 ,当 时 , 在区间 上单调递增; 在区间 上单调递减. 函数 在区间 上的最大值为 . 综上,只需 ,解得 ,即实数 的取值范围是 . 6.(2023·全国·高三专题练习)已知函数 . (1)当 时,讨论 的单调性; (2)设 .当 时,若对 , ,使 ,求实数 的取值范 围. 【答案】(1)答案见解析 (2) 【详解】(1)∵ ,∴ , 令 ,可得两根分别为1, ,∵ ,∴ 当 时, ,函数 单调递减; 当 时, ,函数 单调递增; 当 时, ,函数 单调递减. (2) , ,由(1)知, 当 时, ,函数 单调递减; 当 时, ,函数 单调递增, ∴ 在 上的最小值为 . 对 , ,使 ,即 在 上的最小值不大于 在 上的最小值 ,(*) 又 , ∴①当 时, ,此时与(*)矛盾; ②当 时, ,同样与(*)矛盾; ③当 时, ,且当 时, , 解不等式 ,可得 , ∴实数b的取值范围为 .题型三:双变量等式有解问题 1.(2020·全国·高三校联考阶段练习)已知函数 , ,若 , ,使 得 ,则实数a的取值范围是 ( ) A. B. C. D. 【答案】D 【详解】 , ,当 时, , 函数 单调递减,函数的值域是 , , ,当 时, , 函数 单调递增,函数的值域是 , 因为 , ,使得 , 所以 ,解得: , 所以实数a的取值范围是 . 故选:D 2.(2023·河南开封·开封高中校考模拟预测)已知函数 ,若 ,使得成立,则 的取值范围为( ) A. B. C. D. 【答案】B 【详解】由 ,使得 成立, 则函数 的值域包含 的值域. 当 时,函数 开口向上,对称轴 , 所以 在 上单调递减,且 , 所以 ; 当 时, ,则 , ①若 ,当 时 ,当 时 , 所以 在 上单调递减,在 上单调递增, 所以 ,即 , 所以 ,即 ,解得 ; ②若 ,则 , 在 上单调递增, 此时 值域为 ,符合题意. ③当 时, 的值域为 ,不符合题意. 综上所述,实数 的取值范围为 . 故选:B.3.(2023上·北京·高二北京市十一学校校考期末)已知函数 , ,若 成立,则n-m的最小值为( ) A. B. C. D. 【答案】A 【详解】令 ,则 , , ∴ , ,即 , 若 ,则 , ∴ ,有 , 当 时, , 单调递减;当 时, , 单调递增; ∴ ,即 的最小值为 . 故选:A. 【点睛】关键点睛:令 确定 关于t的函数式,构造函数并利用导数求函数的最小值. 4.(2021上·河南商丘·高三睢县高级中学校考阶段练习)已知函数 和函数 ,若存在 ,使得 成立,则实数 的取值范围是 . 【答案】 【详解】当 时, , 在 上单调递增,又 在 上单调递减, , ,; 当 时, , , , 若存在 ,使得 成立,则 , 即 ,解得: , 实数 的取值范围为 . 故答案为: . 【点睛】关键点点睛:本题考查函数中的能成立问题的求解,解题关键是能够将能成立的条件转化为两个 函数最值之间大小关系的比较问题,从而利用导数、三角函数知识求得两函数的值域,根据最值大小关系 构造出不等式组. 5.(2022下·山东青岛·高二山东省莱西市第一中学校考阶段练习)已知函数 . ,使得 ),求 实数a的取值范围. 【答案】 【分析】对 求导,判断 在(-∞,-1]、 在 上的单调性并确定值域,根据函数 等量关系能成立有1+ < ,即可求参数范围. 【详解】由题设,f′(x)=2x-2ax2=2x(1-ax). 令f′(x)=0,得x=0或x= ,由a>0, 当x∈(-∞,0)时f′(x)<0, ∴f(x)在(-∞,-1]上单调递减,且值域为[ .∵g(x)= , ∴g′(x)= ′= = , ∵x<- 时,g′(x)>0, ∴g(x)在 上单调递增,且值域为 . 若 x∈(-∞,-1], x∈ ,使得f(x)=g(x),则1+ < ,可得a< . 1 2 1 2 ∃ ∃ 综上,故实数a的取值范围是 . 三、专项训练 一、单选题 1.(2023下·浙江杭州·高二学军中学校考阶段练习)若关于 的不等式 的解集中恰有 个整数,则 的取值范围是( ) A. B. C. D. 【答案】C 【详解】因为 ,且 ,可得 , 构建 ,则 , 令 ,解得 ;令 ,解得 ; 则 在 上单调递增,在 上单调递减,可得 , 且 ,由题意可得 ,解得 , 所以 的取值范围是 . 故选:C. 2.(2023下·北京·高二北京市第十二中学校考期末)已知函数 ,若存在 ,使 ,则m的取值范围是( ) A. B. C. D. 【答案】C 【详解】若存在 ,使 ,即 , 所以 ,令 , , ,令 ,解得: , 令 ,解得: , 所以 在 上单调递增,在 上单调递减,所以 所以 . 故选:C. 3.(2023下·江苏南通·高二统考阶段练习)已知函数 , ,(其中 为自然 对数的底数).若存在实数 ,使得 ,则实数 的取值范围为( ) A. B. C. D. 【答案】C 【详解】因为存在实数 ,使得 , 所以 ,即 , 令 ,则 , 函数 在R上单调递增, , 即 的最小值, 令 , , 当 时, ,当 时, , 函数 在 上单调递减,在 上单调递增, 时,函数 取得极小值即最小值, , . 故选:C 4.(2022下·天津·高二天津市蓟州区第一中学校联考期中)已知函数 ,若对任意的 ,存在 使得 ,则实数a的取值范围是( ) A. B.[ ,4] C. D. 【答案】B 【详解】解: 的导函数为 , 由 时, , 时, ,可得g(x)在[–1,0]上单调递减,在(0,1]上单调 递增, 故g(x)在[–1,1]上的最小值为g(0)=0,最大值为g(1)= , 所以对于任意的 , . 因为 开口向下,对称轴为 轴, 所以当 时, ,当 时, , 则函数 在[ ,2]上的值域为[a–4,a], 由题意,得 , , 可得 ,解得 . 故选:B. 5.(2022下·全国·高三校联考开学考试)已知函数 ,若 , 成立,则a的取值范围是( ) A. B. C. D. 【答案】D【详解】因为 ,得 ,同时除以 得: , 使 该不等式成立.设 , ,当 时, ,所以 在 为减函 数,所以,由 得 ,即 ,因为 ,所以, ,即a的取值范围是 . 故选:D. 6.(2022·全国·高三专题练习)已知函数f(x)= ,函数g(x)=asin( x)﹣2a+2 (a>0),若存在x,x∈[0,1],使得f(x)=g(x)成立,则实数a的取值范围是( ) 1 2 1 2 A.[﹣ ,1] B.[ , ] C.[ , ] D.[ ,2] 【答案】B 【详解】当x∈[0, ]时,y= ﹣ x,值域是[0, ]; x∈( ,1]时,y= ,y′= >0恒成立,故为增函数,值域为( ,1]. 则x∈[0,1]时,f(x)的值域为[0,1], 当x∈[0,1]时,g(x)=asin( x)﹣2a+2(a>0),为增函数,值域是[2﹣2a,2﹣ ], ∵存在x、x∈[0,1]使得f(x)=g(x)成立,∴[0,1]∩[2﹣2a,2﹣ ]≠ , 1 2 1 2 若[0,1]∩[2﹣2a,2﹣ ]= ,则2﹣2a>1或2﹣ <0,即a< ,或a> .∴a的取值范围是[ , ], 故选:B. 7.(2021上·山西太原·高三太原五中校考阶段练习)已知函数 , .若 ,都 ,使 成立,则实数 的取值范围为( ) A. B. C. D. 【答案】D 【详解】 ,都 ,使 成立, ; 当 时, , 在 上单调递减,在 上单调递增, 又 时, ; 时, ; , 当 时, ; ①当 ,即 时, 在 上单调递增, , ,解得: , ; ②当 ,即 时, 在 上单调递减,在 上单调递增, , ,解得: 或 , ; ③当 ,即 时, 在 上单调递减, , ,解得: , ;综上所述: 的取值范围为 . 故选:D. 【点睛】结论点睛:本题考查不等式的恒成立与有解问题,可按如下规则转化: 一般地,已知函数 , (1)若 , ,总有 成立,故 ; (2)若 , ,有 成立,故 ; (3)若 , ,有 成立,故 ; (4)若 , ,有 成立,故 ; (5)若 , ,有 ,则 的值域是 值域的子集 . 8.(2021下·全国·高三校联考专题练习)设函数 , ,若在区 间 上存在 ,使得 成立,其中e为自然对数的底数,则实数 的取值范围为( ) A. B. C. D. 【答案】D 【详解】由 得 , 设 ,则 , 当 时, ,函数 在 上单调递增, 当 时, ,函数 在 上单调递减, ∴ ,即 , ∴ ,∴存在 ,使得 成立, 即 , 记 , 则 , ∵ ,∴ ,∴ , 当 时, ,则函数 在 上单调递增,当 时, ,函数 在 上 单调递减, ∴ ,∴ , 故实数a的取值范围为 . 故选:D. 9.(2018下·四川攀枝花·高三统考阶段练习)已知函数 若对 ,使得 成立,则实数 的最小值是 A. B. C.2 D.3 【答案】C 【详解】 由题意,对于 ,使得 成立, 可转化为对于 ,使得 成立, 又由 ,可得 , 当 时, ,所以函数 单调递增,当 时, ,所以函数 单调递减, 所以当 时,函数 有最大值,最大值为 , 又由二次函数 ,开口向上,且对称轴的方程为 , ①当 ,即 时,此时函数 ,令 , 解得 (不符合题意,舍去); ②当 ,即 时,此时函数 ,令 , 解得 ,(符合题意), 综上所述,实数 的最小值为 ,故选C. 二、填空题 10.(2023上·广东中山·高三中山市华侨中学校考阶段练习)已知函数 , 对于 ,都 ,使 ,则 的取值范围为 . 【答案】 【详解】由 得 , 当 时, ;当 时, ; 所以 在 上单调递减,在 上单调递增,且 , 所以 , 对于 , ,所以 , 由题意知对于 ,都 ,使 , 故 ,则 ,所以 或 , 故答案为: .11.(2021下·四川凉山·高二统考期中)已知函数 ,函数 ,若对任意的 ,存在 ,使得 ,则实数m的取值范围为 . 【答案】 【详解】由题意得 . 因为 , 当 时, ,故 在 上单调递增, . 因为 , 当 时, ,当 时, , 故 在 上单调递增,在 上单调递减, . 由 ,即 ,解得 . 故答案为: . 12.(2023下·天津东丽·高二天津市第一百中学校考阶段练习)已知 , ,若 , ,使 成立,则实数 的取值范围是 . 【答案】 【详解】∵ ,∴ , ∴当 时, , 在区间 上单调递减, ∴ 在区间 上的最小值为 ;又∵ , ∴由二次函数知识, 在 上的最小值为 , 若 , ,使 成立,等价于 ,即 , ∴实数 的取值范围是 . 故答案为: . 三、问答题 13.(2023上·福建莆田·高三莆田一中校考期中)已知函数 . (1)当 时,求函数 的最小值; (2)若 ,且对 ,都 ,使得 成立,求实数 的取值范 围. 【答案】(1) ; (2) . 【详解】(1)因为函数 ,所以 . 设 ,则 ,故 在 上递减. ,即 , 在 上单调递减,最小值为 .(2)令 ,则 在 上恒成立, 即函数 在 上单调递减,所以 , 所以 ,即 在 上恒成立; 又 ,当 时 , 在区间 上单调递增; 在区间 上单调递减. 函数 在区间 上的最大值为 . 综上,只需 ,解得 ,即实数 的取值范围是 . 14.(2023上·云南昆明·高三统考期中)已知 (其中e为自然对数的底数, ) (1)求 的单调区间; (2)若存在实数 ,使 能成立,求正数a的取值范围. 【答案】(1)答案见解析; (2) . 【详解】(1) 的定义域是 ,则 , 当 时, , 递减区间为 ; 当 时,令 得: ,令 得: , 故 递增区间为 ,递减区间为 ;(2)由题设 ,结合(1)知 , 若 上存在实数x,使 能成立,则 . 令 ,则 , 当 时 ,当 时 . ∴ 在 上为减函数,在 上为增函数, 而 上 , , . ∴实数a的取值范围是 . 15.(2023·全国·高三专题练习)已知函数 . (1)当 时,讨论 的单调性; (2)设 .当 时,若对 , ,使 ,求实数 的取值范 围. 【答案】(1)答案见解析 (2) 【详解】(1)∵ ,∴ , 令 ,可得两根分别为1, , ∵ ,∴ 当 时, ,函数 单调递减; 当 时, ,函数 单调递增;当 时, ,函数 单调递减. (2) , ,由(1)知, 当 时, ,函数 单调递减; 当 时, ,函数 单调递增, ∴ 在 上的最小值为 . 对 , ,使 ,即 在 上的最小值不大于 在 上的最小值 ,(*) 又 , ∴①当 时, ,此时与(*)矛盾; ②当 时, ,同样与(*)矛盾; ③当 时, ,且当 时, , 解不等式 ,可得 , ∴实数b的取值范围为 . 16.(2023·全国·高三专题练习)已知函数 . (1)求函数 的极值; (2)若存在 ,使得 成立,求实数m的最小值. 【答案】(1)极小值为 ,无极大值 (2)4【详解】(1)由 , 令 ;令 , ∴ 在 上单调递减,在 上单调递增, ∴ 在 处取得极小值,且为 ,无极大值; (2)由 能成立, 问题转化为 , 令 , 由 ;由 , ∴ 在 上单调递减,在 上单调递增, ∴ ,则 , 故m的最小值为4.