当前位置:首页>文档>专题08数列求和(奇偶项讨论求和)(典型题型归类训练)(解析版)_02高考数学_2024年新高考资料_3.2024专项复习_解题思路训练2024年高考数学复习解答题提优秘籍(新高考专用)_数列

专题08数列求和(奇偶项讨论求和)(典型题型归类训练)(解析版)_02高考数学_2024年新高考资料_3.2024专项复习_解题思路训练2024年高考数学复习解答题提优秘籍(新高考专用)_数列

  • 2026-05-13 13:46:45 2026-04-09 23:45:16

文档预览

专题08数列求和(奇偶项讨论求和)(典型题型归类训练)(解析版)_02高考数学_2024年新高考资料_3.2024专项复习_解题思路训练2024年高考数学复习解答题提优秘籍(新高考专用)_数列
专题08数列求和(奇偶项讨论求和)(典型题型归类训练)(解析版)_02高考数学_2024年新高考资料_3.2024专项复习_解题思路训练2024年高考数学复习解答题提优秘籍(新高考专用)_数列
专题08数列求和(奇偶项讨论求和)(典型题型归类训练)(解析版)_02高考数学_2024年新高考资料_3.2024专项复习_解题思路训练2024年高考数学复习解答题提优秘籍(新高考专用)_数列
专题08数列求和(奇偶项讨论求和)(典型题型归类训练)(解析版)_02高考数学_2024年新高考资料_3.2024专项复习_解题思路训练2024年高考数学复习解答题提优秘籍(新高考专用)_数列
专题08数列求和(奇偶项讨论求和)(典型题型归类训练)(解析版)_02高考数学_2024年新高考资料_3.2024专项复习_解题思路训练2024年高考数学复习解答题提优秘籍(新高考专用)_数列
专题08数列求和(奇偶项讨论求和)(典型题型归类训练)(解析版)_02高考数学_2024年新高考资料_3.2024专项复习_解题思路训练2024年高考数学复习解答题提优秘籍(新高考专用)_数列
专题08数列求和(奇偶项讨论求和)(典型题型归类训练)(解析版)_02高考数学_2024年新高考资料_3.2024专项复习_解题思路训练2024年高考数学复习解答题提优秘籍(新高考专用)_数列
专题08数列求和(奇偶项讨论求和)(典型题型归类训练)(解析版)_02高考数学_2024年新高考资料_3.2024专项复习_解题思路训练2024年高考数学复习解答题提优秘籍(新高考专用)_数列
专题08数列求和(奇偶项讨论求和)(典型题型归类训练)(解析版)_02高考数学_2024年新高考资料_3.2024专项复习_解题思路训练2024年高考数学复习解答题提优秘籍(新高考专用)_数列
专题08数列求和(奇偶项讨论求和)(典型题型归类训练)(解析版)_02高考数学_2024年新高考资料_3.2024专项复习_解题思路训练2024年高考数学复习解答题提优秘籍(新高考专用)_数列
专题08数列求和(奇偶项讨论求和)(典型题型归类训练)(解析版)_02高考数学_2024年新高考资料_3.2024专项复习_解题思路训练2024年高考数学复习解答题提优秘籍(新高考专用)_数列
专题08数列求和(奇偶项讨论求和)(典型题型归类训练)(解析版)_02高考数学_2024年新高考资料_3.2024专项复习_解题思路训练2024年高考数学复习解答题提优秘籍(新高考专用)_数列
专题08数列求和(奇偶项讨论求和)(典型题型归类训练)(解析版)_02高考数学_2024年新高考资料_3.2024专项复习_解题思路训练2024年高考数学复习解答题提优秘籍(新高考专用)_数列
专题08数列求和(奇偶项讨论求和)(典型题型归类训练)(解析版)_02高考数学_2024年新高考资料_3.2024专项复习_解题思路训练2024年高考数学复习解答题提优秘籍(新高考专用)_数列
专题08数列求和(奇偶项讨论求和)(典型题型归类训练)(解析版)_02高考数学_2024年新高考资料_3.2024专项复习_解题思路训练2024年高考数学复习解答题提优秘籍(新高考专用)_数列
专题08数列求和(奇偶项讨论求和)(典型题型归类训练)(解析版)_02高考数学_2024年新高考资料_3.2024专项复习_解题思路训练2024年高考数学复习解答题提优秘籍(新高考专用)_数列
专题08数列求和(奇偶项讨论求和)(典型题型归类训练)(解析版)_02高考数学_2024年新高考资料_3.2024专项复习_解题思路训练2024年高考数学复习解答题提优秘籍(新高考专用)_数列
专题08数列求和(奇偶项讨论求和)(典型题型归类训练)(解析版)_02高考数学_2024年新高考资料_3.2024专项复习_解题思路训练2024年高考数学复习解答题提优秘籍(新高考专用)_数列
专题08数列求和(奇偶项讨论求和)(典型题型归类训练)(解析版)_02高考数学_2024年新高考资料_3.2024专项复习_解题思路训练2024年高考数学复习解答题提优秘籍(新高考专用)_数列
专题08数列求和(奇偶项讨论求和)(典型题型归类训练)(解析版)_02高考数学_2024年新高考资料_3.2024专项复习_解题思路训练2024年高考数学复习解答题提优秘籍(新高考专用)_数列
专题08数列求和(奇偶项讨论求和)(典型题型归类训练)(解析版)_02高考数学_2024年新高考资料_3.2024专项复习_解题思路训练2024年高考数学复习解答题提优秘籍(新高考专用)_数列
专题08数列求和(奇偶项讨论求和)(典型题型归类训练)(解析版)_02高考数学_2024年新高考资料_3.2024专项复习_解题思路训练2024年高考数学复习解答题提优秘籍(新高考专用)_数列
专题08数列求和(奇偶项讨论求和)(典型题型归类训练)(解析版)_02高考数学_2024年新高考资料_3.2024专项复习_解题思路训练2024年高考数学复习解答题提优秘籍(新高考专用)_数列
专题08数列求和(奇偶项讨论求和)(典型题型归类训练)(解析版)_02高考数学_2024年新高考资料_3.2024专项复习_解题思路训练2024年高考数学复习解答题提优秘籍(新高考专用)_数列
专题08数列求和(奇偶项讨论求和)(典型题型归类训练)(解析版)_02高考数学_2024年新高考资料_3.2024专项复习_解题思路训练2024年高考数学复习解答题提优秘籍(新高考专用)_数列
专题08数列求和(奇偶项讨论求和)(典型题型归类训练)(解析版)_02高考数学_2024年新高考资料_3.2024专项复习_解题思路训练2024年高考数学复习解答题提优秘籍(新高考专用)_数列
专题08数列求和(奇偶项讨论求和)(典型题型归类训练)(解析版)_02高考数学_2024年新高考资料_3.2024专项复习_解题思路训练2024年高考数学复习解答题提优秘籍(新高考专用)_数列
专题08数列求和(奇偶项讨论求和)(典型题型归类训练)(解析版)_02高考数学_2024年新高考资料_3.2024专项复习_解题思路训练2024年高考数学复习解答题提优秘籍(新高考专用)_数列
专题08数列求和(奇偶项讨论求和)(典型题型归类训练)(解析版)_02高考数学_2024年新高考资料_3.2024专项复习_解题思路训练2024年高考数学复习解答题提优秘籍(新高考专用)_数列

文档信息

文档格式
docx
文档大小
1.269 MB
文档页数
25 页
上传时间
2026-04-09 23:45:16

文档内容

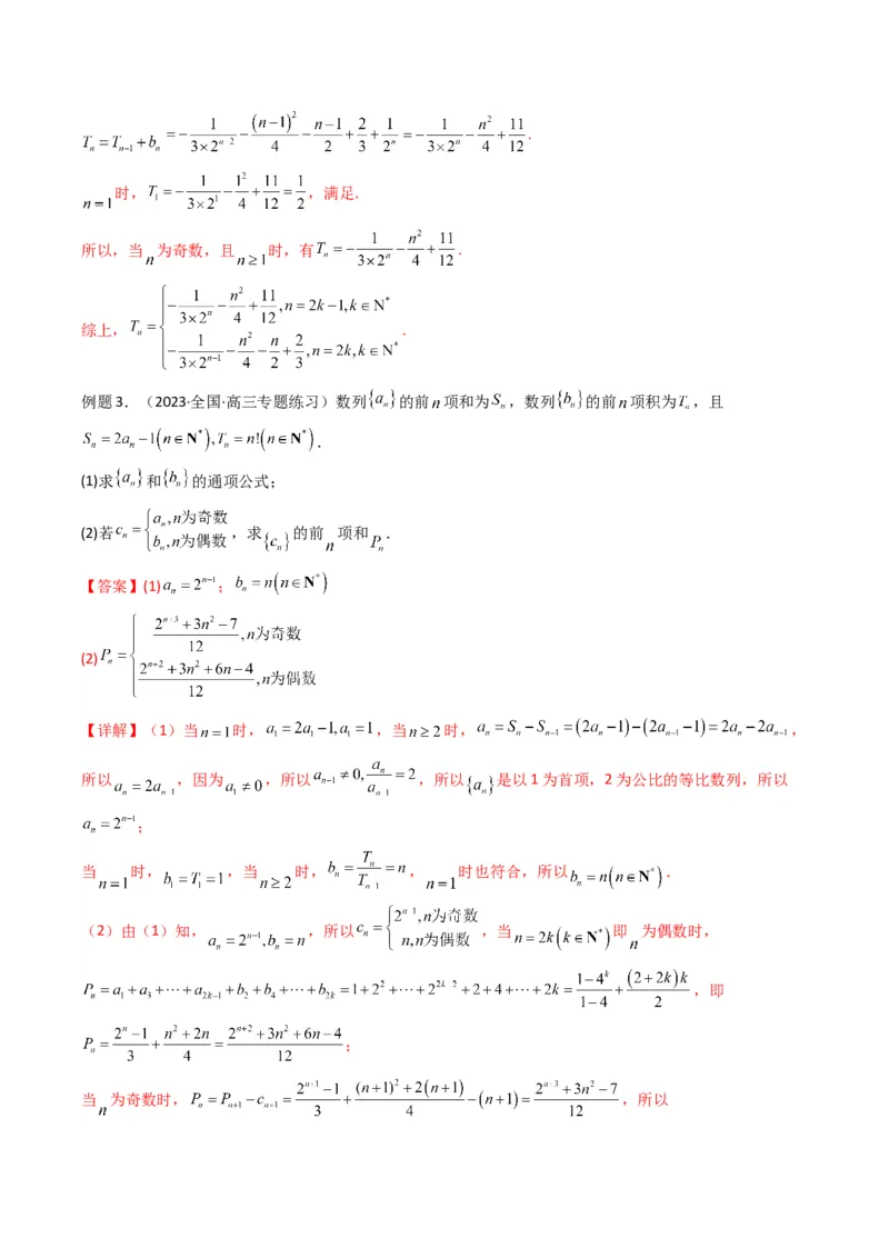
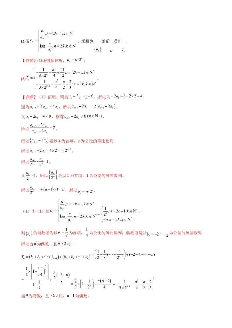
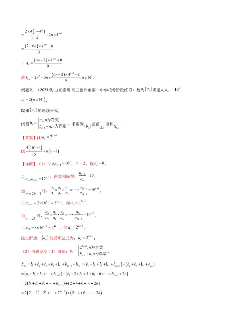
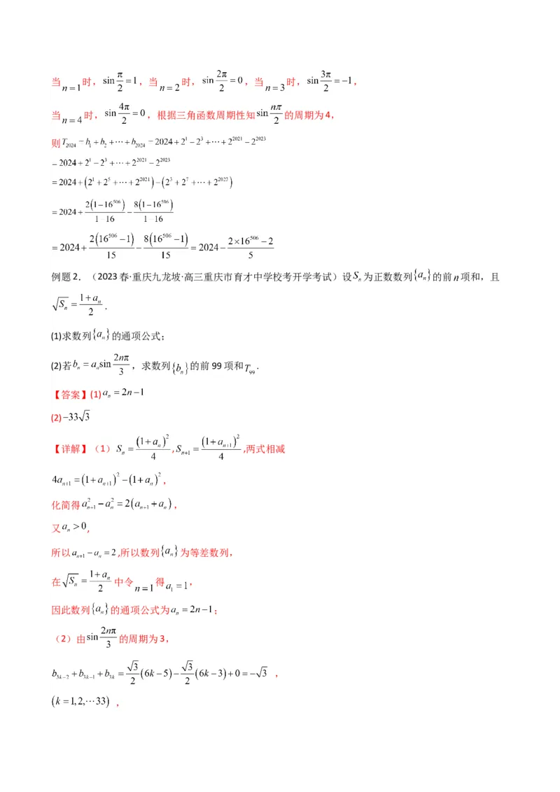
专题 08 数列求和(奇偶项讨论求和)(典型题型归类训练) 目录 一、必备秘籍........................................................1 二、典型题型........................................................2 题型一:求 的前 项和 .............................2 题型二:求 的前 项和 ..............................5 题型三:通项含有 的类型;例如: .....................10 题型四:已知条件明确的奇偶项或含有三角函数问题..................13 三、专题08 数列求和(奇偶项讨论求和)专项训练......................17 一、必备秘籍 有关数列奇偶项的问题是高考中经常涉及的问题,解决此类问题的难点在于搞清数列奇数项和偶数项 的首项、项数、公差(比)等.本专题主要研究与数列奇偶项有关的问题,并在解决问题中让学生感悟分类 讨论等思想在解题中的有效运用.因此,在数列综合问题中有许多可通过构造函数来解决. 类型一: 通项公式分奇、偶项有不同表达式;例如: 角度1:求 的前 项和 角度2:求 的前 项和 类型二: 通项含有 的类型;例如: 类型三:已知条件明确的奇偶项或含有三角函数问题 二、典型题型 题型一:求 的前 项和 例题1.(2023秋·安徽·高三校联考阶段练习)已知 为等差数列 的前n项和, , . (1)求 的通项公式; (2)若 ,求数列 的前 项和 . 【答案】(1) (2) 【详解】(1)设 的公差为d. ∵ , ∴ ,解得 . ∴ . (2)当n为奇数时, ,当 为偶数时, . ∴ 设 ,① 则 ,② ,得∴ . 故 . 例题2.(2023秋·山东德州·高三德州市第一中学校考阶段练习)数列 满足 , . (1)求 的通项公式; (2)设 ,求数列 的前 项和 . 【答案】(1) (2) 【详解】(1)∵ , ,则 , ∴ ,两式相除得: , 当 时, , ∴ ,即 , 当 时, , ∴ ,即 , 综上所述, 的通项公式为: ; (2)由题设及(1)可知: ,例题3.(2023秋·湖南衡阳·高三衡阳市八中校考阶段练习)已知等差数列 的前 项和为 ,且满足 , . (1)求数列 的通项公式; (2)若数列 满足 ,求数列 的前 项和 . 【答案】(1) (2) 【详解】(1)依题意,设数列 的公差为 , 因为 ,所以 ,则 , 因为 ,即 ,所以 , 所以 , , 所以 ,即 . (2)因为 ,所以 , 所以 . 例题4.(2023秋·安徽·高三安徽省宿松中学校联考开学考试)已知数列 满足 , . (1)记 ,求证:数列 是等比数列; (2)若 ,求 . 【答案】(1)证明见解析 (2) 【详解】(1)因为 ,所以 ,故 ,故 , 当 时, , 故 , 所以数列 是首项为5,公比为2的等比数列; (2)由(1)知: ,故 , 其中 , 故 , 设 , 故 . 题型二:求 的前 项和 例题1.(2023·浙江绍兴·统考模拟预测)已知数列 满足 . (1)求 的通项公式; (2)设数列 满足 求 的前 项和 . 【答案】(1) , ; (2) . 【详解】(1)根据题意可知 , 所以 当 为奇数时, ,即 , 所以当 为偶数时, ;当 为偶数时, ,即 , 所以当 为奇数时, . 综上, , . (2)由(1)可知当 为奇数时,若 ,即 ,解得 , 当 为偶数时,若 ,即 ,解得 , 所以 ,当 时, , 所以 . 当 时,且 为奇数时, 当 时,且 为偶数时, . 综上, 例题2.(2023·全国·高三专题练习)在数列 中, , ,且对任意的 ,都有 . (1)证明: 是等比数列,并求出 的通项公式;(2)若 ,求数列 的前 项和 . 【答案】(1)证明见解析, ; (2) . 【详解】(1)证明:因为 , ,所以 . 因为 ,所以 , 又 ,则有 , 所以 , 所以 是以4为首项,2为公比的等比数列. 所以 , 所以 , 又 ,所以 是以1为首项,1为公差的等差数列, 所以 ,所以 . (2)由(1)知 , 则 的奇数项为以 为首项, 为公比的等比数列;偶数项是以 , 为公差的等差数列. 所以当 为偶数,且 时, ; 当 为奇数,且 时, 为偶数,. 时, ,满足. 所以,当 为奇数,且 时,有 . 综上, . 例题3.(2023·全国·高三专题练习)数列 的前 项和为 ,数列 的前 项积为 ,且 . (1)求 和 的通项公式; (2)若 ,求 的前 项和 . 【答案】(1) ; (2) 【详解】(1)当 时, ,当 时, , 所以 ,因为 ,所以 ,所以 是以1为首项,2为公比的等比数列,所以 ; 当 时, ,当 时, , 时也符合,所以 . (2)由(1)知, ,所以 ,当 即 为偶数时, ,即 ; 当 为奇数时, ,所以. 例题4.(2023·全国·高三专题练习)已知数列 中, , , ( ), , , , 成等差数列. (1)求k的值和 的通项公式; (2)设 ,求数列 的前n项和 . 【答案】(1) , (2) 【详解】(1)解: , , 成等差数列, 所以 , 得 ,得 , 因为 ,所以 , 所以 ,得 . (2)由(1)知, 当n为偶数时,设n=2k, 可得 , 即 ; 当n为奇数时,设n=2k-1,可得 , 即 . 综上所述, . 题型三:通项含有 的类型;例如: 例题1.(2023秋·天津和平·高三天津二十中校考阶段练习)数列 是等差数列,数列 是等比数列, 且 , , , . (1)求数列 的公差以及数列 的公比; (2)求数列 前 项的和. (3)求数列 前 项的和. 【答案】(1)数列 的公差为1,数列 的公比为2 (2) (3) 【详解】(1)设等差数列 的公差为d,等比数列 的公比为 , 由题意可得 ,即 ,解得 , 所以数列 的公差为1,数列 的公比为2. (2)由(1)可得: ,则 , 设数列 前 项的和为 , 则, 所以 . (3)由(2)可知 , 当 为奇数,则 , 设数列 前 项的和为 , 则 , 可得 , , 两式相减得 , 所以 . 例题2.(2023秋·广东珠海·高三珠海市第二中学校考阶段练习)已知数列 满足 ( 是常数). (1)若 ,证明 是等比数列; (2)若 ,且 是等比数列,求 的值以及数列 的前 项和 . 【答案】(1)证明见解析 (2) , 【详解】(1)依题意, , 当 时, , 所以数列 是首项 ,公比为 的等比数列. (2)依题意, , ,且 是等比数列, 则 , , 所以 ,而 ,故解得 , 则 ,所以等比数列 的公比 ,则 , 所以 , 所以,当 为偶数时, , 当 为奇数时, , 综上所述, . 例题3.(2023·河南开封·校考模拟预测)已知数列 的前 项和 满足 ,且 . (1)求 的通项公式; (2)若 ,求数列 的前 项和 . 【答案】(1) (2) 【详解】(1)因为 ,当 时 , 所以 ,即 , 所以 , 所以 ,即 是常数数列,又 ,所以 ,则 . (2)因为 , 当 为偶数时, ; 当 为奇数时,; 综上可得 . 例题4.(2023·山东·山东师范大学附中校考模拟预测)已知 是各项均为正数的数列, 为 的前 n项和,且 , , 成等差数列. (1)求 的通项公式; (2)已知 ,求数列 的前n项和 . 【答案】(1) (2) 【详解】(1)由 , , 成等差数列,得 ,① 当 时, , ∴ ,得 ( 舍去), 当 时, ,② ①-②得, , ∴ , 又 ,∴ , ∴ 是首项为2,公差为1的等差数列, ∴ , 故 ; (2)由(1)知 , 当 是奇数时,, 当 是偶数时, , 综上 . 题型四:已知条件明确的奇偶项或含有三角函数问题 例题1.(2023·吉林长春·东北师大附中校考一模)已知各项均为正数的数列 满足: , . (1)求数列 的通项公式; (2)若 ,记数列 的前 项和为 ,求 . 【答案】(1) (2) 【详解】(1)因为 各项为正数, , 所以上式两边同时除以 ,得 , 令 ,则 ,即 ,解得 (负值舍去), 所以 ,又 , 所以 是以 , 的等比数列, 故 . (2) ,当 时, ,当 时, ,当 时, , 当 时, ,根据三角函数周期性知 的周期为4, 则 例题2.(2023春·重庆九龙坡·高三重庆市育才中学校考开学考试)设 为正数数列 的前 项和,且 . (1)求数列 的通项公式; (2)若 ,求数列 的前99项和 . 【答案】(1) (2) 【详解】(1) , ,两式相减 , 化简得 , 又 , 所以 ,所以数列 为等差数列, 在 中令 得 , 因此数列 的通项公式为 ; (2)由 的周期为3, , ,因此 . 例题3.(2023·全国·高二专题练习)已知 为等差数列 的前n项和, , . (1)求 的通项公式; (2)若 , 的前 项和为 ,求 . 【答案】(1) (2) 【详解】(1)设数列 的公差为 ,则 解得 , , 所以 (2)由 ,可得 , 数列的最小正周期 , 所以 , 所以 例题4.(2023·全国·高二专题练习)已知正项数列 的前 项和为 ,满足 . (1)求数列 的通项公式; (2)若 ,求数列 的前 项和 . 【答案】(1) (2) 【详解】(1) , 当 时, ,两式子作差可得 , 又 ,所以 , 可得数列 为公差为2 的等差数列,当 时, , 所以,数列 的通项公式为 . (2) , , 所以,数列 的前 项和 . 例题5.(2023春·广东佛山·高二佛山市第四中学校考阶段练习)已知在数列 中, . (1)求数列 的通项公式; (2)设 ,求数列 的前 项和 . 【答案】(1) (2) 【详解】(1)由题意得 ,即数列 为常数列, 因为 ,所以 . (2)由(1)可得 ,三、专题08 数列求和(奇偶项讨论求和)专项训练 一、单选题 1.(2023·全国·高三专题练习)已知数列 的前 项和为 ,则 ( ) A.1012 B. C.2023 D. 【答案】D 【详解】∵ , 故 故 . 故选:D. 2.(2023秋·广东深圳·高二统考期末)若数列 的通项公式 ( ),则 的前 项和 ( ) A. B. C. D. 【答案】C 【详解】因为 , 则 , 故选:C 3.(2023·全国·高二专题练习)已知数列 的前n项和为 , , , ,数列 的前n项和为 ,则 ( ) A.0 B.50 C.100 D.2525 【答案】B 【详解】法一:由于 ①,则当 时, ②, ①-②,得 ,即 ,易知 ,所以 . 又 满足 ,故 ,则 , 易知 ,所以 . 法二:由于 ①,则当 时, ②, ①-②,得 ,即 ,又易知 , 所以数列 为常数列,所以 ,所以 ,则 , 易知 ,所以 . 故选:B. 4.(2023·全国·高三专题练习)已知数列 满足 , , ,数列 的前n项和 为 ,则 ( ) A.351 B.353 C.531 D.533 【答案】B 【详解】依题意, , 显然,当n为奇数时有 , 即有 , ,…, , 令 ,故 , 所以数列 是首项为1,公差为3的等差数列, 故 ; 当n为偶数时有 , 即 , ,…, , 于是, , 故选:B. 5.(2023·全国·高三专题练习)已知数列 的通项公式为 为数列的前n项和, ( ) A.1008 B.1009 C.1010 D.1011【答案】D 【详解】解:因为当 为奇数时 , 为偶数时 , 所以 , 所以 , 所以 ; 故选:D 6.(2023春·陕西西安·高二西安中学校考期中)已知数列 的通项公式是 ,则 ( ) A. B. C.3027 D.3028 【答案】A 【详解】解:由 , 得 . 故选:A. 二、填空题 7.(2023秋·辽宁·高三校联考阶段练习)数列 满足 则数列 的前60项和为 . 【答案】 【详解】由 , 得 , , 所以 , 即 ,又 ,所以 , 所以数列 为各项均为1的常数数列, 所以 , 又由 得, , 即 , 所以 , 所以数列 的前60项和为 . 故答案为: . 8.(2023春·江西上饶·高二上饶市第一中学校考阶段练习)已知数列 的通项公式 ,其前 项和为 ,则 . 【答案】-1012 【详解】解:因为 ,所以 , 当 时 , 当 时 , 当 时 , 当 时 , 所以 , 所以 , , 故 , 所以 . 故答案为:-1012.9.(2023·全国·高三专题练习)设数列 的通项公式为 ,其前 项和为 ,则 . 【答案】 【详解】由题意, , 在数列 中, , 当 或 , 时, , ; 当 , 时, , ; 当 , 时, , . ∴ , ∴ , 故答案为:-2023. 10.(2023秋·辽宁沈阳·高三沈阳二中校考开学考试)设数列 的通项公式为 ,其前 项和为 ,则 . 【答案】100 【详解】当 或 , 时, , ; 当 , 时, , , 当 , 时 . ∴ , ∴ . 故答案为:100. 三、解答题 11.(2023春·辽宁朝阳·高二建平县实验中学校考阶段练习)已知数列 的前 项和为 ,且 ,求 的值. 【答案】36 【详解】法一:由 可得: 当n为奇数时,, , 两式相减可得: , 所以 . 当n为偶数时, , , 两式相加可得: , 所以 , , 所以 . 法二:因为 , 所以 , , , , , , , 所以 . 12.(2023春·安徽阜阳·高二统考期末)已知数列 的前 项和为 ,若 ,且 . (1)求数列 的通项公式; (2)记 ,求数列 的前 项和 . 【答案】(1) (2) 【详解】(1)由 ,可得 , 数列 为等差数列. 设公差为 ,则 . 又 . 从而 .(2)由(1)可知 , , 当 为偶数时, . 当 为奇数时, . 数列 的前 项和 . 13.(2023·全国·高三专题练习)已知 是等差数列, , ,且 , , 成等比数列. (1)求数列 的通项公式; (2)令 ,记 ,求 . 【答案】(1) (2) 【详解】(1)因为 是等差数列, , ,且 , , 成等比数列, 所以 ,即 ,解得 或 (舍去), 所以 . (2)由题意 知, , 所以 . 当 为偶数时, , 当 为奇数时, .综上 . 14.(2023·全国·高三专题练习)设 是首项为1,公差不为0的等差数列,且 , , 成等比数列. (1)求 的通项公式; (2)令 ,求数列 的前 项和 . 【答案】(1) (2) 【详解】(1)设数列 的公差为 ,则 , 又 ,所以 因为 , , 成等比数列, 所以 , 化简得 ,又 , 所以 , 所以 ; (2)由(1)可得: , 则 , 则当 为偶数时, , 当 为奇数时, , 即 .