当前位置:首页>文档>专题04圆锥曲线中的定点、定值、定直线问题(典型题型归类训练)(解析版)_02高考数学_2025年新高考资料_专项复习_解题思路训练2025年高考数学复习解答题提优秘籍(新高考专用)

专题04圆锥曲线中的定点、定值、定直线问题(典型题型归类训练)(解析版)_02高考数学_2025年新高考资料_专项复习_解题思路训练2025年高考数学复习解答题提优秘籍(新高考专用)

  • 2026-04-08 00:31:30 2026-04-07 23:36:01

文档预览

专题04圆锥曲线中的定点、定值、定直线问题(典型题型归类训练)(解析版)_02高考数学_2025年新高考资料_专项复习_解题思路训练2025年高考数学复习解答题提优秘籍(新高考专用)
专题04圆锥曲线中的定点、定值、定直线问题(典型题型归类训练)(解析版)_02高考数学_2025年新高考资料_专项复习_解题思路训练2025年高考数学复习解答题提优秘籍(新高考专用)
专题04圆锥曲线中的定点、定值、定直线问题(典型题型归类训练)(解析版)_02高考数学_2025年新高考资料_专项复习_解题思路训练2025年高考数学复习解答题提优秘籍(新高考专用)
专题04圆锥曲线中的定点、定值、定直线问题(典型题型归类训练)(解析版)_02高考数学_2025年新高考资料_专项复习_解题思路训练2025年高考数学复习解答题提优秘籍(新高考专用)
专题04圆锥曲线中的定点、定值、定直线问题(典型题型归类训练)(解析版)_02高考数学_2025年新高考资料_专项复习_解题思路训练2025年高考数学复习解答题提优秘籍(新高考专用)
专题04圆锥曲线中的定点、定值、定直线问题(典型题型归类训练)(解析版)_02高考数学_2025年新高考资料_专项复习_解题思路训练2025年高考数学复习解答题提优秘籍(新高考专用)
专题04圆锥曲线中的定点、定值、定直线问题(典型题型归类训练)(解析版)_02高考数学_2025年新高考资料_专项复习_解题思路训练2025年高考数学复习解答题提优秘籍(新高考专用)
专题04圆锥曲线中的定点、定值、定直线问题(典型题型归类训练)(解析版)_02高考数学_2025年新高考资料_专项复习_解题思路训练2025年高考数学复习解答题提优秘籍(新高考专用)
专题04圆锥曲线中的定点、定值、定直线问题(典型题型归类训练)(解析版)_02高考数学_2025年新高考资料_专项复习_解题思路训练2025年高考数学复习解答题提优秘籍(新高考专用)
专题04圆锥曲线中的定点、定值、定直线问题(典型题型归类训练)(解析版)_02高考数学_2025年新高考资料_专项复习_解题思路训练2025年高考数学复习解答题提优秘籍(新高考专用)
专题04圆锥曲线中的定点、定值、定直线问题(典型题型归类训练)(解析版)_02高考数学_2025年新高考资料_专项复习_解题思路训练2025年高考数学复习解答题提优秘籍(新高考专用)
专题04圆锥曲线中的定点、定值、定直线问题(典型题型归类训练)(解析版)_02高考数学_2025年新高考资料_专项复习_解题思路训练2025年高考数学复习解答题提优秘籍(新高考专用)
专题04圆锥曲线中的定点、定值、定直线问题(典型题型归类训练)(解析版)_02高考数学_2025年新高考资料_专项复习_解题思路训练2025年高考数学复习解答题提优秘籍(新高考专用)
专题04圆锥曲线中的定点、定值、定直线问题(典型题型归类训练)(解析版)_02高考数学_2025年新高考资料_专项复习_解题思路训练2025年高考数学复习解答题提优秘籍(新高考专用)
专题04圆锥曲线中的定点、定值、定直线问题(典型题型归类训练)(解析版)_02高考数学_2025年新高考资料_专项复习_解题思路训练2025年高考数学复习解答题提优秘籍(新高考专用)
专题04圆锥曲线中的定点、定值、定直线问题(典型题型归类训练)(解析版)_02高考数学_2025年新高考资料_专项复习_解题思路训练2025年高考数学复习解答题提优秘籍(新高考专用)
专题04圆锥曲线中的定点、定值、定直线问题(典型题型归类训练)(解析版)_02高考数学_2025年新高考资料_专项复习_解题思路训练2025年高考数学复习解答题提优秘籍(新高考专用)
专题04圆锥曲线中的定点、定值、定直线问题(典型题型归类训练)(解析版)_02高考数学_2025年新高考资料_专项复习_解题思路训练2025年高考数学复习解答题提优秘籍(新高考专用)
专题04圆锥曲线中的定点、定值、定直线问题(典型题型归类训练)(解析版)_02高考数学_2025年新高考资料_专项复习_解题思路训练2025年高考数学复习解答题提优秘籍(新高考专用)
专题04圆锥曲线中的定点、定值、定直线问题(典型题型归类训练)(解析版)_02高考数学_2025年新高考资料_专项复习_解题思路训练2025年高考数学复习解答题提优秘籍(新高考专用)
专题04圆锥曲线中的定点、定值、定直线问题(典型题型归类训练)(解析版)_02高考数学_2025年新高考资料_专项复习_解题思路训练2025年高考数学复习解答题提优秘籍(新高考专用)
专题04圆锥曲线中的定点、定值、定直线问题(典型题型归类训练)(解析版)_02高考数学_2025年新高考资料_专项复习_解题思路训练2025年高考数学复习解答题提优秘籍(新高考专用)
专题04圆锥曲线中的定点、定值、定直线问题(典型题型归类训练)(解析版)_02高考数学_2025年新高考资料_专项复习_解题思路训练2025年高考数学复习解答题提优秘籍(新高考专用)
专题04圆锥曲线中的定点、定值、定直线问题(典型题型归类训练)(解析版)_02高考数学_2025年新高考资料_专项复习_解题思路训练2025年高考数学复习解答题提优秘籍(新高考专用)
专题04圆锥曲线中的定点、定值、定直线问题(典型题型归类训练)(解析版)_02高考数学_2025年新高考资料_专项复习_解题思路训练2025年高考数学复习解答题提优秘籍(新高考专用)
专题04圆锥曲线中的定点、定值、定直线问题(典型题型归类训练)(解析版)_02高考数学_2025年新高考资料_专项复习_解题思路训练2025年高考数学复习解答题提优秘籍(新高考专用)
专题04圆锥曲线中的定点、定值、定直线问题(典型题型归类训练)(解析版)_02高考数学_2025年新高考资料_专项复习_解题思路训练2025年高考数学复习解答题提优秘籍(新高考专用)
专题04圆锥曲线中的定点、定值、定直线问题(典型题型归类训练)(解析版)_02高考数学_2025年新高考资料_专项复习_解题思路训练2025年高考数学复习解答题提优秘籍(新高考专用)
专题04圆锥曲线中的定点、定值、定直线问题(典型题型归类训练)(解析版)_02高考数学_2025年新高考资料_专项复习_解题思路训练2025年高考数学复习解答题提优秘籍(新高考专用)
专题04圆锥曲线中的定点、定值、定直线问题(典型题型归类训练)(解析版)_02高考数学_2025年新高考资料_专项复习_解题思路训练2025年高考数学复习解答题提优秘籍(新高考专用)
专题04圆锥曲线中的定点、定值、定直线问题(典型题型归类训练)(解析版)_02高考数学_2025年新高考资料_专项复习_解题思路训练2025年高考数学复习解答题提优秘籍(新高考专用)
专题04圆锥曲线中的定点、定值、定直线问题(典型题型归类训练)(解析版)_02高考数学_2025年新高考资料_专项复习_解题思路训练2025年高考数学复习解答题提优秘籍(新高考专用)
专题04圆锥曲线中的定点、定值、定直线问题(典型题型归类训练)(解析版)_02高考数学_2025年新高考资料_专项复习_解题思路训练2025年高考数学复习解答题提优秘籍(新高考专用)
专题04圆锥曲线中的定点、定值、定直线问题(典型题型归类训练)(解析版)_02高考数学_2025年新高考资料_专项复习_解题思路训练2025年高考数学复习解答题提优秘籍(新高考专用)
专题04圆锥曲线中的定点、定值、定直线问题(典型题型归类训练)(解析版)_02高考数学_2025年新高考资料_专项复习_解题思路训练2025年高考数学复习解答题提优秘籍(新高考专用)
专题04圆锥曲线中的定点、定值、定直线问题(典型题型归类训练)(解析版)_02高考数学_2025年新高考资料_专项复习_解题思路训练2025年高考数学复习解答题提优秘籍(新高考专用)
专题04圆锥曲线中的定点、定值、定直线问题(典型题型归类训练)(解析版)_02高考数学_2025年新高考资料_专项复习_解题思路训练2025年高考数学复习解答题提优秘籍(新高考专用)
专题04圆锥曲线中的定点、定值、定直线问题(典型题型归类训练)(解析版)_02高考数学_2025年新高考资料_专项复习_解题思路训练2025年高考数学复习解答题提优秘籍(新高考专用)
专题04圆锥曲线中的定点、定值、定直线问题(典型题型归类训练)(解析版)_02高考数学_2025年新高考资料_专项复习_解题思路训练2025年高考数学复习解答题提优秘籍(新高考专用)
专题04圆锥曲线中的定点、定值、定直线问题(典型题型归类训练)(解析版)_02高考数学_2025年新高考资料_专项复习_解题思路训练2025年高考数学复习解答题提优秘籍(新高考专用)
专题04圆锥曲线中的定点、定值、定直线问题(典型题型归类训练)(解析版)_02高考数学_2025年新高考资料_专项复习_解题思路训练2025年高考数学复习解答题提优秘籍(新高考专用)
专题04圆锥曲线中的定点、定值、定直线问题(典型题型归类训练)(解析版)_02高考数学_2025年新高考资料_专项复习_解题思路训练2025年高考数学复习解答题提优秘籍(新高考专用)
专题04圆锥曲线中的定点、定值、定直线问题(典型题型归类训练)(解析版)_02高考数学_2025年新高考资料_专项复习_解题思路训练2025年高考数学复习解答题提优秘籍(新高考专用)
专题04圆锥曲线中的定点、定值、定直线问题(典型题型归类训练)(解析版)_02高考数学_2025年新高考资料_专项复习_解题思路训练2025年高考数学复习解答题提优秘籍(新高考专用)
专题04圆锥曲线中的定点、定值、定直线问题(典型题型归类训练)(解析版)_02高考数学_2025年新高考资料_专项复习_解题思路训练2025年高考数学复习解答题提优秘籍(新高考专用)
专题04圆锥曲线中的定点、定值、定直线问题(典型题型归类训练)(解析版)_02高考数学_2025年新高考资料_专项复习_解题思路训练2025年高考数学复习解答题提优秘籍(新高考专用)
专题04圆锥曲线中的定点、定值、定直线问题(典型题型归类训练)(解析版)_02高考数学_2025年新高考资料_专项复习_解题思路训练2025年高考数学复习解答题提优秘籍(新高考专用)
专题04圆锥曲线中的定点、定值、定直线问题(典型题型归类训练)(解析版)_02高考数学_2025年新高考资料_专项复习_解题思路训练2025年高考数学复习解答题提优秘籍(新高考专用)
专题04圆锥曲线中的定点、定值、定直线问题(典型题型归类训练)(解析版)_02高考数学_2025年新高考资料_专项复习_解题思路训练2025年高考数学复习解答题提优秘籍(新高考专用)

文档信息

文档格式
docx
文档大小
2.812 MB
文档页数
45 页
上传时间
2026-04-07 23:36:01

文档内容

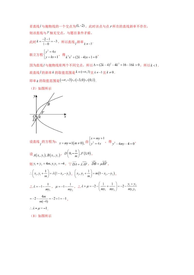
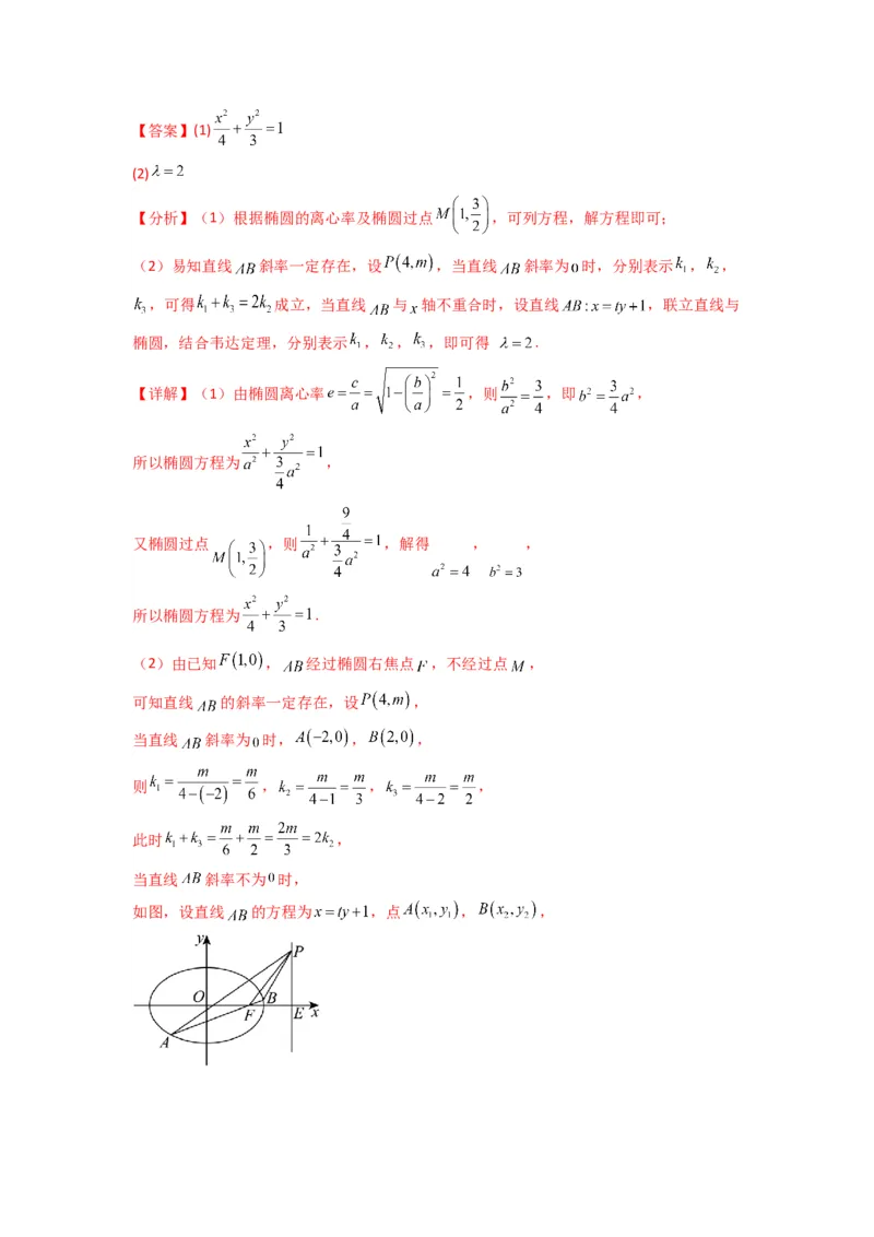
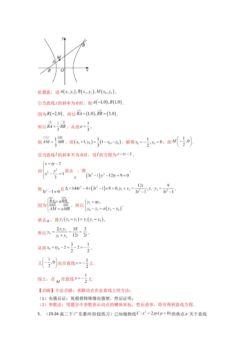
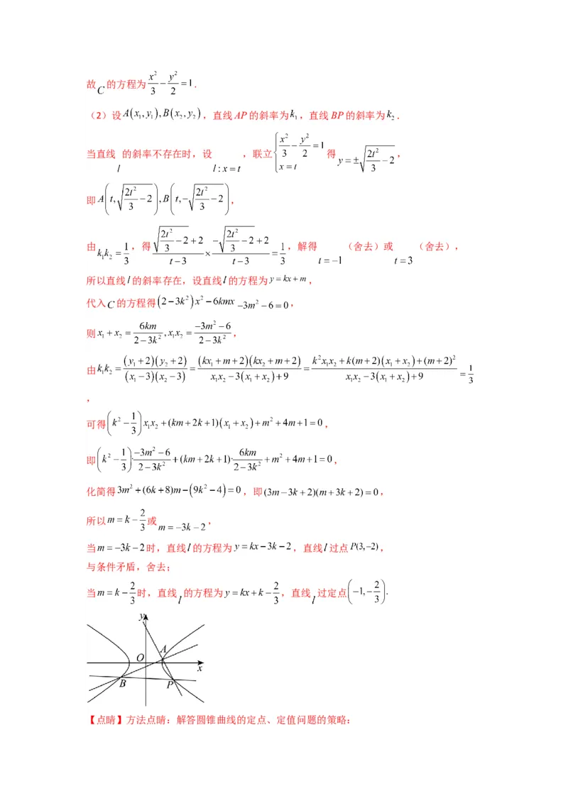
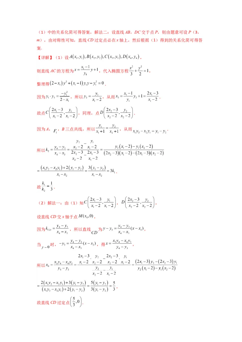
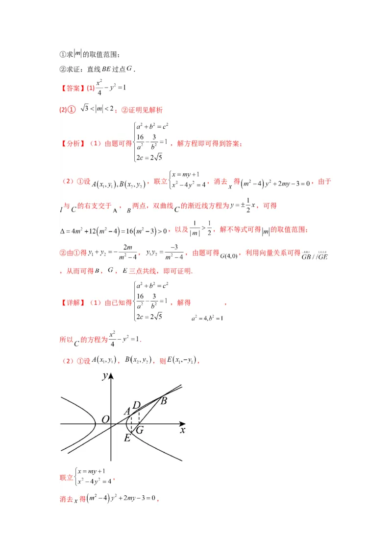
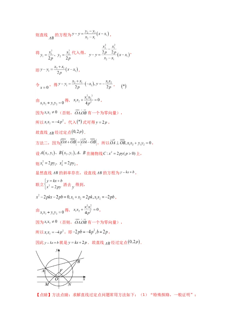
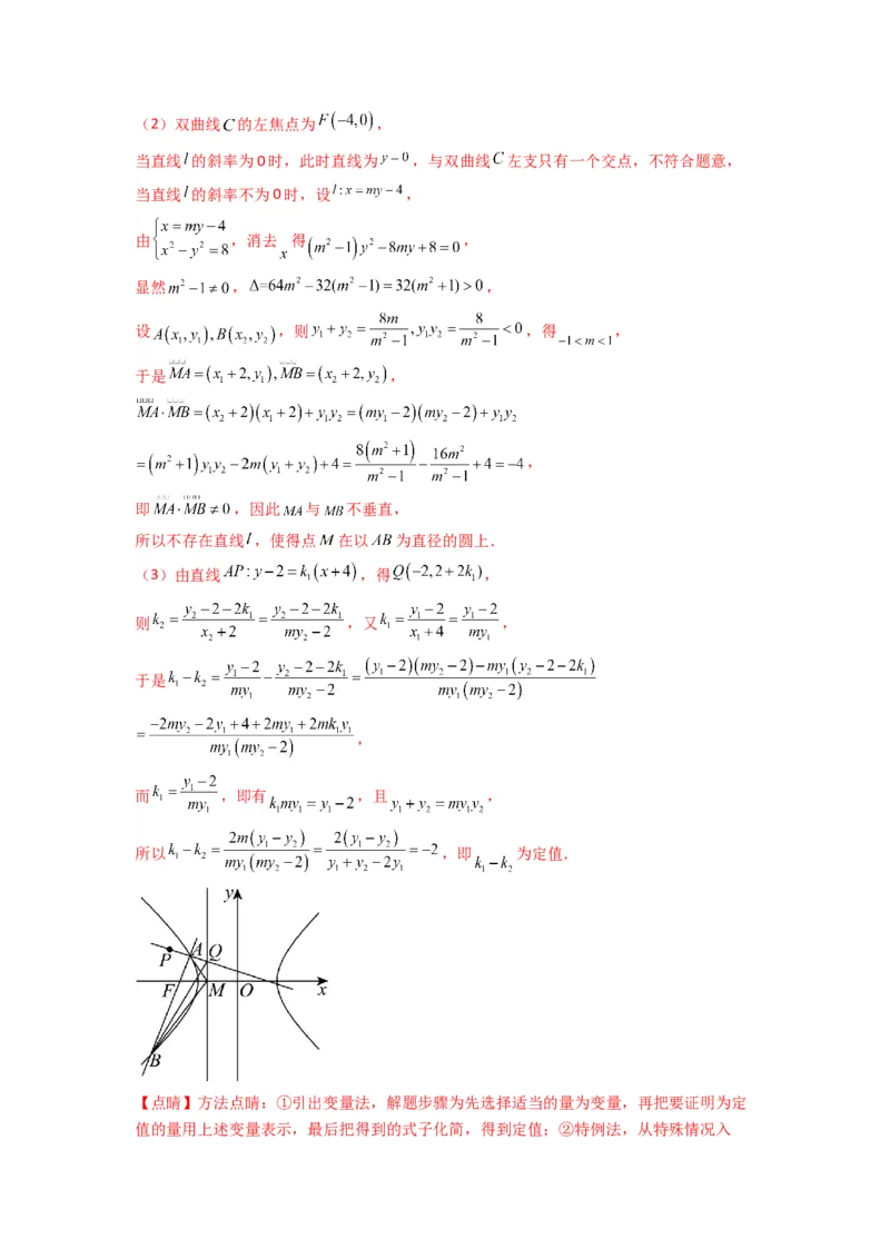
专题 04 圆锥曲线中的定点、定值、定直线问题 (典型题型归类训练) 目录 一、必备秘籍.......................................................................................1 三、定直线问题...................................................................................2 二、典型题型.......................................................................................2 题型一:定点问题..........................................................................2 题型二:定值问题........................................................................12 题型三:定直线问题....................................................................23 三、专项训练.....................................................................................34 一、必备秘籍 一、定点问题 1.求解(或证明)直线和曲线过定点的基本思路是:把直线或曲线方程中的变量 , 视作 常数,把方程一边化为零,既然是过定点,那么这个方程就是对任意参数都成立,这时参 数的系数就要全部等于零,这样就得到一个关于 , 的方程组,这个方程组的解所确定 的点就是直线或曲线所过的定点. 2.常用方法:一是引进参数法,引进动点的坐标或动线中系数为参数表示变化量,再研究 变化的量与参数何时没有关系,找到定点;二是特殊到一般法,根据动点或动线的特殊情 况探索出定点,再证明该定点与变量无关. 二、定值问题 1.解析几何中的定值问题是指某些几何量(线段的长度、图形的面积、角的度数、直线的斜 率等)的大小或某些代数表达式的值等和题目中的参数无关,不依参数的变化而变化,而始 终是一个确定的值.常见定值问题的处理方法: (1)确定一个(或两个)变量为核心变量,其余量均利用条件用核心变量进行表示 (2)将所求表达式用核心变量进行表示(有的甚至就是核心变量),然后进行化简,看能 否得到一个常数. 2. 定值问题的处理技巧:(1)对于较为复杂的问题,可先采用特殊位置(例如斜率不存在的直线等)求出定值,进 而给后面一般情况的处理提供一个方向. (2)在运算过程中,尽量减少所求表达式中变量的个数,以便于向定值靠拢 (3)巧妙利用变量间的关系,例如点的坐标符合曲线方程等,尽量做到整体代入,简化运 算 三、定直线问题 定直线问题是证明动点在 定直线上,其实质是求动点的轨迹方程,所以所用的方法即为 求轨迹方程的方法,如定义法、消参法、交轨法等. 二、典型题型 题型一:定点问题 1.(2024高三·全国·专题练习)如图,四边形ABCD是椭圆 的内接四边形,直 线AB经过左焦点 ,直线AC,BD交于右焦点 ,直线AB与直线CD的斜率分别为 . (1)求证: 为定值; (2)求证:直线CD过定点,并求出该定点的坐标. 【答案】(1)证明见解析 (2)证明见解析 【分析】(1)设 ,表示出直线AC的方程,代入椭 圆方程化简,利用根与系数的关系表示出 ,则可表示出 ,表示出点 的坐标,同理表 示出点 的坐标,再由A, ,B三点共线,得 ,然后利用斜率公式化 简 ,可得 的关系; (2)解法一:直线CD交x轴于点 ,表示出直线 的方程,表示出 ,结合(1)中的关系化简可得答案,解法二:设直线AB,DC交于点P,则由题意可设P(3, m),由对称性可知,直线CD过定点必在x轴上,然后根据(1)得到的关系化简可得答 案. 【详解】(1)设 , 则直线AC的方程为 ,代入椭圆方程 , 整理得 . 因为 ,所以 ,从而 . 故点 ,同理,点 . 因为A, ,B三点共线,所以 ,从而 . 所以 . 故 . (2)解法一:由(1)知 , , 设直线CD交x轴于点 , 因为 ,所以直线 为 , 当 时, ,得 , 所以 , 故直线CD过定点 .解法二:如图,设直线AB,DC交于点P,则点P在F 对应的极线 ,即x=3 2 上, 可设P(3,m), 由对称性可知,直线CD过定点必在x轴上,不妨设定点为T(t,0) 则 ,由(1)知 ,得 ,即 . ∴ ,故直线CD过定点 . 【点睛】关键点点睛:此题考查直线与椭圆的位置关系,考查椭圆中的定值和定点问题, 解题的关键是利用“设而不求”的思想,设出交点坐标,设出直线方程,代入椭圆方程化 简,结合根与系数的关系求解,考查计算能力和转化思想,属于难题. 2.(2024高三·全国·专题练习)已知椭圆C: 的左、右焦点分别为 , ,过 的直线l与椭圆C交于P,Q两点, 的周长为 . (1)求椭圆C的方程; (2)如图,点A, 分别是椭圆C的左顶点、左焦点,直线m与椭圆C交于不同的两点M, N(M,N都在x轴上方).且 .证明直线m过定点,并求出该定点的坐 标. 【答案】(1) (2)证明见解析,定点 .【分析】(1)由焦距和焦点三角形的周长求出 ,得椭圆C的方程; (2)设直线l方程为 ,代入椭圆方程,设 ,韦达定理表示出 根与系数的关系,由 ,得 ,利用斜率公式结合韦达定理化简 得 ,可得直线l过定点 . 【详解】(1)设椭圆C的焦距为2c,由题意知 ,解得c=2. 由椭圆的定义知, 的周长为 ,∴ ,故 . ∴椭圆C的方程为 . (2)由题意知,直线的斜率存在且不为0,设直线l: , , 把直线方程代入椭圆方程,整理可得 , ,即 ,∴ . ∵ ,M,N都在x轴上方,且 ,∴ . ∴ ,即 . 将 代入, 整理可得 ,又 , 即 ,整理可得 , ∴直线l为 .∴直线l过定点 . 【点睛】方法点睛: 解答直线与圆锥曲线的题目时,时常把两个曲线的方程联立,消去x(或y)建立一元二次方 程,然后借助根与系数的关系,并结合题设条件建立有关参变量的等量关系,涉及到直线 方程的设法时,务必考虑全面,不要忽略直线斜率为0或不存在等特殊情形,强化有关直 线与圆锥曲线联立得出一元二次方程后的运算能力,重视根与系数之间的关系、弦长、斜 率、三角形的面积等问题. 3.(2024·黑龙江双鸭山·模拟预测)已知双曲线 的焦距为 ,点 在C上. (1)求C的方程; (2)直线 与C的右支交于 两点,点 与点 关于 轴对称, 点在 轴上的 投影为 .①求 的取值范围; ②求证:直线 过点 . 【答案】(1) (2)① ;②证明见解析 【分析】(1)由题可得 ,解方程即可得到答案; (2)①设 ,联立 ,消去 得 ,由于 与 的右支交于 , 两点,双曲线 的渐近线方程为 ,可得 ,以及 ,解不等式可得 的取值范围; ②由①得 , ,由题可得 ,利用向量关系可得 ,从而可得 , , 三点共线,即可证明. 【详解】(1)由已知得 ,解得 , 所以 的方程为 . (2)①设 , ,则 , 联立 , 消去 得 ,则 , , 解得 ,且 . 又 与 的右支交于 , 两点, 的渐近线方程为 , 则 ,即 , 所以 的取值范围为 . ②由①得 , , 又点 在 轴上的投影为 ,所以 , , 所以 , , 所以 , 又 , 有公共点 ,所以 , , 三点共线,所以直线 过点 . 【点睛】关键点睛:(1)直线与双曲线一支相交于两点,可利用韦达定理、根的判别式以 及直线斜率与渐近线斜率的关系进行求解; (2)证明直线过定点,可利用向量平行关系进行证明. 4.(2024·青海海南·二模)已知双曲线 的虚轴长为 ,点 在 上.设直线 与 交于A,B两点(异于点P),直线AP与BP的斜率之积为 . (1)求 的方程; (2)证明:直线 的斜率存在,且直线 过定点. 【答案】(1) (2)证明见解析 【分析】(1)借助虚轴定义得 ,将 的坐标代入方程得 ,即可求解双曲 线方程; (2)设出直线方程,代入曲线中,可得与交点横坐标有关韦达定理,借助韦达定理计算斜 率之积可得直线l中参数关系,即可得其定点. 【详解】(1)因为虚轴长为 ,所以 , 将 的坐标代入方程 ,得 ,解得 ,故 的方程为 . (2)设 ,直线AP的斜率为 ,直线BP的斜率为 . 当直线 的斜率不存在时,设 ,联立 得 , 即 , 由 ,得 ,解得 (舍去)或 (舍去), 所以直线 的斜率存在,设直线 的方程为 , 代入 的方程得 , 则 , 由 , 可得 , 即 , 化简得 ,即 , 所以 或 , 当 时,直线 的方程为 ,直线 过点 , 与条件矛盾,舍去; 当 时,直线 的方程为 ,直线 过定点 【点睛】方法点睛:解答圆锥曲线的定点、定值问题的策略:1、参数法:参数解决定点问题的思路:①引进动点的坐标或动直线中的参数表示变化量, 即确定题目中核心变量(通常为变量 );②利用条件找到 过定点的曲线 之间 的关系,得到关于 与 的等式,再研究变化量与参数何时没有关系,得出定点的坐 标; 2、由特殊到一般发:由特殊到一般法求解定点问题时,常根据动点或动直线的特殊情况探 索出定点,再证明该定点与变量无关. 5.(23-24高二下·河南焦作·期末)已知抛物线 的焦点为 , 为原 点,第一象限内的点 在 上, ,且 的面积为 . (1)求 的方程; (2)若 , 是 上与 不重合的两动点,且 ,求证:直线 过定点. 【答案】(1) (2)证明见解析 【分析】(1)根据 ,可得 ,由面积公式即可求出 ,从而得到抛物 线方程; (2)设直线 的方程为: , , ,联立方程结合韦达定理可得 , , 由 ,利用向量关系化简可得: ,从而得到 , 的关系, 即可证明. 【详解】(1)由题可得 ,由 ,可得 的横坐标为 , 因为点 在第一象限内,则 , 所以 ,解得: , 所以抛物线方程为 (2)由(1)可得: , ,显然直线 的斜率不为0,设直线 的方程为: , , , 所以 , 联立方程 ,可得: , 所以 ,即 , , , 因为 ,所以 , 则 , 化简得: , 则 , 所以 , 解得: ,或 , 当 时,即 ,且 , 所以 ,所以直线 过定点为 , 当 时,即 ,且 , 所以 ,所以直线 过定点为 ,即点 , 不满足题意,舍去; 综上:直线 过定点为 【点睛】方法点睛:求解直线过定点问题常用方法如下: (1)“特殊探路,一般证明”:即先通过特殊情况确定定点,再转化为有方向、有目的的 一般性证明; (2)“一般推理,特殊求解”:即设出定点坐标,根据题设条件选择参数,建立一个直线 系或曲线的方程,再根据参数的任意性得到一个关于定点坐标的方程组,以这个方程组的 解为坐标的点即为所求点; (3)求证直线过定点 ,常利用直线的点斜式方程 或截距式 或横截式 来证明.6.(23-24高二下·安徽亳州·期末)已知 为坐标原点, 是抛物线 上 与点 不重合的任意一点. (1)设抛物线 的焦点为 ,若以 为圆心, 为半径的圆 交 的准线 于 两 点,且 的面积为 ,求圆 的方程; (2)若 是拋物线 上的另外一点,非零向量 满足 ,证明:直线 必经过一个定点. 【答案】(1) (2)证明见解析 【分析】(1)求出 ,点 到准线 的距离 ,利用 求出 可得答 案; (2)方法一,对 两边平方得 ,设 , 设直线 的方程为 ,结合抛物线方程得 ,再由 可得答案;方法二,对 两边平方得 ,设 ,设直线 的方程为 与抛物线方程联立,利用韦达定理结合 可得答案. 【详解】(1)准线 为 到 的距离是 .由对称性知, 是等腰直角三角形,斜边 , 点 到准线 的距离 , ,解得 , 故圆 的方程为 ; (2)方法一,因为 , 所以 , 所以 , 设 在抛物线 上, 则 . 显然直线 的斜率存在,则直线 的方程为 , 将 代入得, , 即 , 令 ,得 , 由 得, , 因为 (否则, 有一个为零向量), 所以 ,代入 式可得 , 故直线 经过定点 . 方法二,因为 ,所以 , 设 在拋物线 上, 则 , 显然直线 的斜率存在,设直线 的方程为 , 联立 消去 得到, , 由 得, , 因为 (否则, 有一个为零向量), 所以 ,即 , 因此 就是 .故直线 经过定点 . 【点睛】方法点睛:求解直线过定点问题常用方法如下:(1)“特殊探路,一般证明”:即先通过特殊情况确定定点,再转化为有方向、有目的的一般性证明;(2)“一般推理, 特殊求解”:即设出定点坐标,根据题设条件选择参数,建立一个直线系或曲线的方程, 再根据参数的任意性得到一个关于定点坐标的方程组,以这个方程组的解为坐标的点即为 所求点;(3)求证直线过定点,常利用直线的点斜式方程或截距式来证明. 题型二:定值问题 1.(2024高三·全国·专题练习)如图所示,已知椭圆系方程 : ( , ), 、 是椭圆 的焦点, 是椭圆 上一点,且 . (1)求 的离心率,求出 的方程. (2)P为椭圆 上任意一点,过P且与椭圆 相切的直线l与椭圆 交于M、N两点,点P 关于原点的对称点为Q,求证: 的面积为定值. 【答案】(1) (2)证明见解析 【分析】(1)先根据椭圆 , , ,求得a,b,进而得到椭圆 的方程求解; (2)作伸缩变换 ,使椭圆 变为圆 ,椭圆 变为圆 , 由题意得到 ,再由点P关于原点的对称点为Q, 求解. 【详解】(1)解:椭圆 的方程为 ,即 , ∵ ,∴ , , ∴ ,即 . 又 ,∴ , , ∴椭圆 的方程为 . ∴ 的离心率 , 椭圆 的方程为 . (2)作伸缩变换 , 则椭圆 变为圆 ,椭圆 变为圆 . 如图所示. ∵直线MN与椭圆 相切于点P,则变换后直线 与圆 相切于点 ,此时 . 而 , ,则 , 从而 , 故 ,于是 . 又点P关于原点的对称点为Q,则 , 即 的面积为定值 . 【点睛】方法点睛:本题第二问通过作伸缩变换 ,将椭圆问题转化为圆的问题, 易得 ,再利用对称性,由 而得解. 2.(2024高三·全国·专题练习)已知椭圆 的左、右顶点分别为 ,过 轴上 一点 作一直线 ,与椭圆交于 两点(异于 ),直线 和 的交点为 ,记直线 和 的斜率分别为 ,求 的值.【答案】 【分析】法一:首先利用三点共线表示点 的横坐标,并利用方程联立,得出 两点坐 标关系,代入 ,即可求值. 法二:由题意可得点N在 关于椭圆的极线 上,设 ,再利用斜率公 式计算即可得出结论. 【详解】解法一:由题意设直线 的方程: , , , , 由 和 三点共线可知 , 解得 , ,(*) 联立 ,得 , , , 代入(*)得 , , , . 解法二:∵A,P,Q,B是椭圆上的四点,直线AB与PQ相交于点M, 直线AP与BQ相交于点N, 则点N在 关于椭圆的极线 上,设 , 则 ,∴ .【点睛】方法点睛:求定值问题常见的方法有两种: (1)从特殊入手,求出定值,再证明这个值与变量无关; (2)直接推理、计算,并在计算推理的过程中消去变量,从而得到定值. 3.(2024高三·全国·专题练习)已知 是双曲线 的左右焦点, ,点 在双曲线上. (1)求双曲线的标准方程; (2)若直线 与双曲线相切与于点 ,与双曲线的两条渐近线分别相交于 两点,当点 在双曲线上运动时, 的值是否为定值?若是,求出定值;否则,请说明理由. 【答案】(1) (2)是定值,定值为3 【分析】(1)由题意可得 ,即有 ,又点 在双曲线上,代入双曲 线的方程,解方程可得 ,进而得到双曲线的方程; (2)讨论 为双曲线的顶点,即切线的斜率不存在,求得 的坐标,可得 ;再设 ,且切线的斜率存在,代入双曲线的方程,求导可得切线的斜率和方程,联 立渐近线方程求得 的坐标,再由向量数量积的坐标表示,计算即可得到所求定值. 【详解】(1)由题意可得 ,即 ,即有 , 又点 在双曲线上,可得 ,解得 , 即有双曲线的方程为 . (2)假设 为双曲线的顶点,设 ,切线为 , 代入双曲线的渐近线方程 ,可得 , 即有 ; 设 ,且切线的斜率存在,且有 , 对双曲线的方程两边对x求导,可得 ,求得切线的斜率为 ,切线的方程为 , 化为 , 联立渐近线方程 ,可得 , 即有 . 则当点 在双曲线上运动时, 的值为定值3. 【点睛】方法点睛:定值问题常见方法:(1)从特殊入手,求出定值,再证明这个值与变 量无关;(2)直接推理计算,并在计算推理的过程中消去变量,从而得到定值. 4.(23-24高二下·上海·期末)已知双曲线 : 的离心率为 ,点 在双曲线 上.过 的左焦点F作直线 交 的左支于A、B两点. (1)求双曲线 的方程. (2)若 ,试问:是否存在直线l,使得点M在以AB为直径的圆上?若存在出直线l 的方程;若不存在,说明理由. (3)点 ,直线 交直线 于点 .设直线 、 的斜率分别 、 ,求 证: 为定值. 【答案】(1) ; (2)不存在,理由见解析; (3)证明见解析 【分析】(1)根据题意列式求 ,进而可得双曲线方程; (2)设 ,联立方程,利用韦达定理判断 是否为零 即可; (3)用 两点坐标表示出直线 ,得点 坐标,表示出 ,结合韦达定理,证明 为定值. 【详解】(1)由双曲线 的离心率为 ,且 在双曲线 上, 可得 ,解得 ,所以双曲线的方程为 .(2)双曲线 的左焦点为 , 当直线 的斜率为0时,此时直线为 ,与双曲线 左支只有一个交点,不符合题意, 当直线 的斜率不为0时,设 , 由 ,消去 得 , 显然 , , 设 ,则 ,得 , 于是 , , 即 ,因此 与 不垂直, 所以不存在直线 ,使得点 在以 为直径的圆上. (3)由直线 ,得 , 则 ,又 , 于是 , 而 ,即有 ,且 , 所以 ,即 为定值. 【点睛】方法点睛:①引出变量法,解题步骤为先选择适当的量为变量,再把要证明为定 值的量用上述变量表示,最后把得到的式子化简,得到定值;②特例法,从特殊情况入手,求出定值,再证明这个值与变量无关. 5.(2024高三·全国·专题练习)已知抛物线 经过点 ,直线 与抛 物线 有两个不同的交点 ,直线 交 轴于 ,直线 交 轴于 . (1)若直线 过点 ,求直线 的斜率 的取值范围; (2)若直线 过抛物线 的焦点 ,交 轴于点 ,求 的值; (3)若直线 过点 ,设 ,求 的值. 【答案】(1) (2) (3)2 【分析】(1)由题意易得直线斜率存在且不为 ,且直线 、 斜率存在,设出直线方 程,并联立抛物线方程,根据交点有两个,得出 ,解不等式即可得直线斜率的范围. (2)设直线 的方程为: 联立直线与抛物线的方程得出点 纵坐标之 间的关系,再由 , ,得出 、 与点 坐标之间的关系,对 化简可求得 的值. (3)根据 , ,得出 、 与点 坐标之间的关系,再根据 在同一直线上, 在同一直线上,得出 , 与点 坐标之间的关系,根据 (1)中联立所得的方程得出点 横坐标之间的关系,对原式进行化简,即可得 的 值. 【详解】(1)因为抛物线 经过点 ,所以 ,所以 , 所以抛物线 的解析式为 . 又因为直线 过点 ,且直线 与抛物线 有两个不同的交点. 易知直线 斜率存在且不为 ,故可设直线 的方程式为 . 根据题意可知直线 不能过点 ,所以直线 的斜率 .若直线 与抛物线的一个交点为 ,此时该点与点 所在的直线斜率不存在, 则该直线与 轴无交点,与题目条件矛盾, 此时 ,所以直线 斜率 . 联立方程 ,得 , 因为直线 与抛物线有两个不同交点,所以 ,所以 . 故直线 的斜率 的取值范围是 且 且 . 即率 的取值范围是 . (2)如图所示 设直线 的方程为: 由 ,得 , 设 , , 则 ,∵ , , , , ∴ , ,∴ , . (3)如图所示设点 , ,则 , , 因为 ,所以 ,故 ,由 得 , 设 , , 直线 方程为 , 令 ,得 ①,由直线 可得 ②, 因为 ③, 将①②代入③可得, , 又由根与系数的关系: , , 所以 , 所以 . 【点睛】方法点睛:利用韦达定理法解决直线与圆锥曲线相交问题的基本步骤如下: (1)设直线方程,设交点坐标为 ; (2)联立直线与圆锥曲线的方程,得到关于 (或 )的一元二次方程,注意 的判断; (3)列出韦达定理; (4)将所求问题或题中的关系转化为 、 (或 、 )的形式; (5)代入韦达定理求解.6.(23-24高一下·安徽·阶段练习)已知抛物线 经过点 中的两个点, 为坐标原点, 为焦点. (1)求抛物线 的方程; (2)过 且倾斜角为 的直线交 于 两点, 在第一象限,求 的值; (3)过点 的直线 与抛物线 交于 两点,直线 分别交直线 于 两 点,记直线 的斜率分别为 ,证明: 为定值. 【答案】(1) (2)3 (3)证明见解析 【分析】(1)根据抛物线的对称性,确定抛物线经过的点,从而求出其方程; (2)利用抛物线的定义分别求出 和 ,计算即得; (3)依题设 ,将其与抛物线方程联立,写出韦达定理,分别求出点 的坐 标,求得 的表示式,化简 ,消元并代入韦达定理计算即得. 【详解】(1)因为抛物线 关于 轴对称, 所以必过 中的 两点, 代入可得 ,解得 ,所以拋物线 的方程为 . (2) 如图1,过点 作抛物线准线的垂线,垂足为 , 由抛物线定义可得 ,又 ,解得 , 同理 ,解得 ,故 . (3)如图2,设直线 的方程为 , 联立 ,得 ,显然 ,所以 , 直线 方程为 ,令 ,得点 的纵坐标 ,即 , 同理可得 ,故可得 . 于是 ,即 是定值. 【点睛】思路点睛:本题主要考查抛物线定义的应用和与之相关的定值问题. 对于与抛物线的焦半径,焦点弦有关的题型,一般考虑运用抛物线定义求解;对于定值问 题,一般思路是设直线方程,与抛物线方程联立,得韦达定理,消元代入求解. 题型三:定直线问题 1.(23-24高三下·上海·开学考试)已知椭圆 的离心率为 ,左右 焦点分别为 , 是椭圆上一点, , . (1)求椭圆的方程; (2)过点 的直线与椭圆交于 两点, 为线段 中点. (i)求证: 点轨迹方程为 ; (ii) 为坐标原点,射线 与椭圆交于点 ,点 为直线 上一动点,且 ,求证:点 在定直线上. 【答案】(1) ;(2)(i)证明见解析;(ii)证明见解析 【分析】(1)根据椭圆的焦点三角形,即可结合余弦定理求解 , (2)(i)联立直线与椭圆的方程可得韦达定理,即可根据中点坐标公式可得 ,从而即可得证;(ii)进一步根据向量的坐标运算即可得证. 【详解】(1)因为椭圆的离心率为 ,所以 ,解得 . 因为 , , . 在 中,由余弦定理得 , 解得 ,则 ,故椭圆的方程为 ; (2)(i) 当直线 的斜率存在且不为0时,不妨设直线 的方程为 , 联立 得 . 因 在椭圆内,所以直线 必与椭圆相交. 设 ,由韦达定理得 , 所以 . 因为 为线段 中点, 所以 ,此时 ,则 .要证 ,只需证明 , 而 , 所以 点轨迹方程为 ; (ii)联立 得 ,则 . 不妨设 ,所以 , . 不妨设 ,由 得 , 即 . 因为 , , 所以 . ∵ ,所以 ,即 , 则 点在定直线 上. 当直线 斜率为0时, 轴,此时 , . 因为 ,所以 ,则 , 故 点在定直线 上; 当直线 无斜率时,此时直线 方程为 ,易知 轴, 所以点 在 轴上,则 . ∵ ,所以 ,即 ,则 点在定直线 上. 综上可得: 点在定直线 上. 【点睛】方法点睛:圆锥曲线中定点问题的两种解法 (1)引进参数法:先引进动点的坐标或动线中系数为参数表示变化量,再研究变化的量与参数何时没有关系,找到定点. (2)特殊到一般法:先根据动点或动线的特殊情况探索出定点,再证明该定点与变量无 关. 技巧:若直线方程为 ,则直线过定点 ;若直线方程为 ( 为 定值),则直线过定点 2.(2024高三·全国·专题练习)已知椭圆 的离心率为 , , 分别为 的上、下顶点, 为坐标原点,直线 与 交于不同的两点 , . (1)设点 为线段 的中点,证明:直线 与直线 的斜率之积为定值; (2)若 ,证明:直线 与直线 的交点 在定直线上. 【答案】(1)证明见解析 (2)证明见解析 【分析】(1)设 , ,由中点坐标公式和斜率公式,结合点差法证明定 值. (2)由题意求出椭圆方程,与直线方程联立,韦达定理表示根与系数的关系,联立直线 与直线 的方程,化简可求得交点在定直线上. 【详解】(1)设 , ,则 . 由 两式相减得 ,即 . 所以 . (2)解法一: 由 解得 所以椭圆 的方程为 . 将直线的方程 代入椭圆 的方程 ,化简整理得 .①由 ,解得 . 由韦达定理,得 , .② 设 , , 则直线 的方程为 ,③ 直线 的方程为 ,④ 由③④两式解得 , 即 ,所以直线 与直线 的交点 在定直线 上. 解法二: 设直线 (即直线 )与直线 ( 轴)的交点为 ,直线 与直线 的交点为 , 则点 , , 构成椭圆 的自极三点形,点 一定在点 对应的极线 上,其方 程为 ,即 , 就是说直线 与直线 的交点 在定直线 上. 【点睛】方法点睛: 解答直线与圆锥曲线的题目时,时常把两个曲线的方程联立,消去x(或y)建立一元二次方 程,然后借助根与系数的关系,并结合题设条件建立有关参变量的等量关系,涉及到直线 方程的设法时,务必考虑全面,不要忽略直线斜率为0或不存在等特殊情形,强化有关直 线与圆锥曲线联立得出一元二次方程后的运算能力,重视根与系数之间的关系、弦长、斜 率、三角形的面积等问题. 3.(23-24高二下·黑龙江大庆·期中)已知A,B分别是双曲线 的 左、右顶点,P是C上异于A,B的一点,直线PA,PB的斜率分别为 ,且. (1)求双曲线C的方程; (2)已知过点 的直线 ,交C的左,右两支于D,E两点(异于A,B). (i)求m的取值范围; (ii)设直线AD与直线BE交于点Q,求证:点Q在定直线上. 【答案】(1) (2)(i) 或 ;(ii)证明见解析 【分析】(1)由已知条件去设点的坐标,表示斜率之积,通过点在双曲线上,代入并消元 一个变量,即可得到 ,从而求出双曲线方程; (2)(i)利用过点 的直线与双曲线的左右两支相交,必满足 ,从而去求出 的取值范围; (ii)先用交点 坐标去表示直线 的方程,然后猜想交点 的横坐标为定值,所 以消去纵坐标得到关于交点 的横坐标的表达式,最后利用韦达定理代入化简,可得定 值,即问题可得证. 【详解】(1) 由题意可知 , 因为 ,所以 . 设 ,则 ,所以 , 又 , 所以 .所以双曲线C的方程为 . (2)(i)由题意知直线l的方程为 . 联立 ,化简得 , 因为直线l与双曲线左右两支相交,所以 , 即 满足: , 所以 或 ; (ii) , 直线AD的方程为 直线BE的方程为 . 联立直线AD与BE的方程,得 , 所以 , 所以 , 所以. 所以点Q的横坐标始终为1,故点Q在定直线 上. 4.(2024高三下·河南·专题练习)动点 与定点 的距离和它到定直线 的距离的比是2,记动点 的轨迹为曲线 . (1)求 的方程; (2)过 的直线 与 交于 两点,且 ,若点 满足 , 证明:点 在一条定直线上. 【答案】(1) (2)证明见解析 【分析】(1)根据题意列等式,然后化简即可得到 的方程; (2)分斜率为0和不为0两种情况考虑,当直线 的斜率为0时得到 ,当直线 的斜率不为0时,联立直线和双曲线方程,结合韦达定理和 得到点 在定直 线 上,又 也在直线 上,即可证明点 在一条定直线上. 【详解】(1)由题意知 ,所以 , 所以 , 化简得, 的方程为 . (2)依题意,设 , ①当直线 的斜率为0时,则 , 因为 ,所以 , 所以 ,从而 , 则 ,即 ,解得 ,即 . ②当直线 的斜率不为0时,设 的方程为 , 由 消去 ,得 , 则 且 , 因为 ,所以 , 消去 ,得 , 所以 , 从而 , 又 也在直线 上. 综上,点 在直线 上. 【点睛】方法点睛:求解动点在定直线上的方法: (1)先猜后证:现根据特殊情况猜想,然后证明; (2)参数法:用题目中参数表示动点的横纵坐标,然后消参,即可得到直线方程. 5.(23-24高二下·广东惠州·阶段练习)已知抛物线 的焦点 关于直线的对称点为 . (1)求 的方程; (2)若 为坐标原点,过焦点 且斜率为1的直线 交 于 两点,求 ; (3)过点 的动直线 交 于不同的 两点, 为线段 上一点,且满足 ,证明:点 在某定直线上,并求出该定直线的方程. 【答案】(1) ; (2)8; (3)证明见解析, 【分析】(1)由焦点关于直线 的对称点为 即可求得p值,则抛物线方程可 求; (2)联立直线方程与抛物线方程,结合韦达定理以及过抛物线焦点的弦长公式即可求解; (3)设直线 的方程为 ,联立直线方程与抛物线方程,利用韦达定理化简 ,分析可得 ,则定直线方程可求. 【详解】(1)抛物线 的焦点 关于直线 的对称点为 ,于是 ,解得: , 所以抛物线 的方程为 . (2)由(1)知 ,直线 的方程为 ,设 , 由 消去 得: , 则 , 所以 . (3)由题意可得直线 的斜率存在.设直线 的方程为 , 代人抛物线方程,整理得 或 . 设 ,则 , 由 , 得 ,化简得 , 当 时,因 ,化简得 ,与直线 的斜率存在矛 盾,不合题意; 当 时, 化简得 . 即 化简得 , 又 ,所以 , 化简得 , 所以点 在直线 上. 【点睛】 方法点睛:涉及动直线与圆锥曲线相交满足某个条件问题,可设出直线方程,再与圆锥曲 线方程联立,利用韦达定理并结合已知推理求解. 6.(2024·江苏苏州·模拟预测)已知点 , , 和动点 满足 是 , 的等差中项. (1)求 点的轨迹方程; (2)设 点的轨迹为曲线 按向量 平移后得到曲线 ,曲线 上不同的两点 M,N的连线交 轴于点 ,如果 ( 为坐标原点)为锐角,求实数 的取值 范围; (3)在(2)的条件下,如果 时,曲线 在点 和 处的切线的交点为 ,求证: 在一条定直线上.【答案】(1) ; (2) 或 ; (3)证明见解析. 【分析】(1)根据题意,由平面向量的坐标运算,结合等差中项的定义代入计算,即可得 到结果; (2)根据题意,由平移公式可得曲线 的方程,然后与直线 的方程联立,由平面向 量的夹角公式,代入计算,即可得到结果; (3)根据题意,求导可得在点 处的切线方程,联立两条切线方程,代入计算,即可 得到结果. 【详解】(1)由题意可得 , , , 则 , , 又 是 , 的等差中项, , 整理得点 的轨迹方程为 . (2) 由(1)知 , 又 , 平移公式为 即 , 代入曲线 的方程得到曲线 的方程为: , 即 . 曲线 的方程为 . 如图由题意可设M,N所在的直线方程为 ,由 消去 得 , 令 , ,则 , , , 又 为锐角, ,即 , ,又 , ,得 或 . (3)当 时,由(2)可得 ,对 求导可得 , 抛物线 在点, , 处的切线的斜率分别为 , , 在点M,N处的切线方程分别为 , , 由 ,解得交点 的坐标 . 满足 即 , 点在定直线 上. 【点睛】关键点点睛:本题主要考查了曲线的轨迹方程问题以及切线问题,难度较大,解 答本题的关键在于联立方程结合韦达定理计算以及转化为坐标运算. 三、专项训练 1.(2024高三·全国·专题练习)椭圆 经过点 ,且离心率 . (1)求椭圆的方程; (2)设 是直线 上任意一点, 是经过椭圆右焦点 的一条弦(不经过点 ).记直 线 , , 的斜率依次为 , , ,问是否存在常数 ,使得 ?若存 在,求 的值;若不存在,说明理由.【答案】(1) (2) 【分析】(1)根据椭圆的离心率及椭圆过点 ,可列方程,解方程即可; (2)易知直线 斜率一定存在,设 ,当直线 斜率为 时,分别表示 , , ,可得 成立,当直线 与 轴不重合时,设直线 ,联立直线与 椭圆,结合韦达定理,分别表示 , , ,即可得 . 【详解】(1)由椭圆离心率 ,则 ,即 , 所以椭圆方程为 , 又椭圆过点 ,则 ,解得 , , 所以椭圆方程为 . (2)由已知 , 经过椭圆右焦点 ,不经过点 , 可知直线 的斜率一定存在,设 , 当直线 斜率为 时, , , 则 , , , 此时 , 当直线 斜率不为 时, 如图,设直线 的方程为 ,点 , ,联立直线与椭圆 ,得 , , 则 , , 设 , ,于是 ,即 . 又 ,则 , , 综上所述存在常数 ,使得 . 【点睛】方法点睛:(1)解答直线与椭圆的题目时,时常把两个曲线的方程联立,消去x (或y)建立一元二次方程,然后借助根与系数的关系,并结合题设条件建立有关参变量 的等量关系. (2)涉及到直线方程的设法时,务必考虑全面,不要忽略直线斜率为0或不存在等特殊情 形. 2.(2024高三·全国·专题练习)在平面直角坐标系xoy中,已知椭圆C: ,F是椭圆的右焦点且椭圆C与圆M: 外切,又与圆 N: 外切. (1)求椭圆C的方程. (2)已知A,B是椭圆C上关于原点对称的两点,A在x轴的上方,连接AF,BF并分别延长 交椭圆C于D,E两点,证明:直线DE过定点. 【答案】(1) ;(2)证明见解析 【分析】(1)求出两圆的圆心和半径,再求出圆与坐标轴的交点,结合题意可得 ,从 而可求得椭圆方程; (2)设 ,由 三点共线,可得 ,再结合 均在椭圆上,可得 ,从而可表示出 ,同理表示出 ,然后表示出直线 的方程,化简可得结论. 【详解】(1)由题意得圆 圆心 ,半径为4,过点 , 和椭圆 外切,切点必为 ,故 , 圆 圆心 ,半径为 ,过点 , 和椭圆 外切,切点必为 ,故 , 故椭圆C的方程为 ; (2)设 , ∵ 三点共线,又 , 则 ,即 (★), 又∵点 均在椭圆上,则 ,可变形为 ,代入 中, 整理可得 ,结合(★)式得 (✰), ★✰式联立解得 , 同理可得 , ∴直线 的方程为 , 即 ,又 , , ∴直线DE的方程 , 故直线DE过定点 . 【点睛】关键点点睛:此题考查椭圆的求法,考查直线与椭圆的位置关系,考查椭圆中直 线过定点问题,第(2)问解题的关键是由三点共线,利用向量知识表示出坐标之间的关 系,再结合点在椭圆上求解,考查数形结合的思想和计算能力,属于难题. 3.(23-24高二下·山西运城·期中)已知A,B分别是双曲线 的左、 右顶点, 是 上异于A,B的一点,直线PA,PB的斜率分别为 ,且 . (1)求双曲线 的方程; (2)已知过点 的直线 交 于 两点(异于A,B),直线 与直线 交于点 .求 证:点 在定直线上. 【答案】(1) ; (2)证明见解析. 【分析】(1)由 可求 ,利用两点斜率公式表示 ,由条件列方程求 ,由此 可得双曲线方程; (2)设 的方程为 , ,利用设而不求法可得 , 求直线直线 与直线 的交点坐标,由此证明结论. 【详解】(1)由题意可知 , 因为 ,所以 . 设 ,则 ,所以 ,又 , 所以 . 所以双曲线 的方程为 . (2)若直线 的斜率为 ,则直线 与双曲线交于点 ,与条件矛盾, 所以直线 的斜率不能为0, 设 的方程为 . 联立 ,化简得 所以 ,所以 , , 直线AD的方程为 , 直线BE的方程为 . 联立直线AD与BE的方程,得 , 所以 , 所以 , 所以. 所以点 的横坐标始终为1,故点 在定直线 上. 【点睛】方法点睛:(1)解答直线与双曲线的题目时,时常把两个曲线的方程联立,消去 x(或y)建立一元二次方程,然后借助根与系数的关系,并结合题设条件建立有关参变量的 等量关系. (2)涉及到直线方程的设法时,务必考虑全面,不要忽略直线斜率为0或不存在等特殊情 形. 4.(23-24高二下·云南曲靖·阶段练习)设抛物线 的焦点为 ,点 ,过点 且斜率存在的直线交 于不同的 两点,当直线 垂直于 轴时, . (1)求 的方程; (2)设直线 与 的另一个交点分别为 ,设直线 的斜率分别为 ,证 明: (ⅰ) 为定值; (ⅱ)直线 恒过定点. 【答案】(1) (2)(ⅰ)证明见解析;(ⅱ)证明见解析 【分析】(1)由抛物线得定义求解抛物线的方程即可. (2)(ⅰ)利用韦达定理求解出 , (ⅱ)通过韦达定理将直线化简成 ,求出直线过定点. 【详解】(1)由焦半径公式知: , ,的方程为: . (2)由(1)知: , 可设直线 方程为: ,设 则 直线 方程为: 联立 ,将 代入 得 , ,同理: (ⅰ) , (ⅱ)直线 的方程为: 由 得: 即 , , 直线 的方程为: , 直线 恒过定点 . 【点睛】关键点点睛:本题第三问的关键是写出直线 的方程,再代入韦达定理式化简 即可. 5.(23-24高二上·山东潍坊·阶段练习)已知点 ,圆 ,点 是 圆 上的任意一点.动圆 过点 ,且与 相切,点 的轨迹为曲线 .(1)求曲线 的方程; (2)若与 轴不垂直的直线 与曲线 交于 、 两点,点 为 与 轴的交点,且 ,若在 轴上存在异于点 的一点 ,使得 为定值,求点 的坐 标; (3)过点 的直线与曲线 交于 、 两点,且曲线 在 、 两点处的切线交于点 , 证明: 在定直线上. 【答案】(1) (2) (3)证明见解析 【分析】(1)分析可知,点 的轨迹是以 为焦点的抛物线,即可得出曲线 的方 程; (2)设 、 ,设直线 的方程为 ,将直线 的方程与抛物 线方程联立,列出韦达定理,根据 求出 的值,可得出点 的坐标,设 、 ,则 ,利用平面内两点间的距离公式结合 为定 值,可求得 的值,即可得出点 的坐标; (3)设直线 的方程为 ,设 、 ,将直线 的方程与抛物线的 方程联立,列出韦达定理,写出抛物线在点 、 的切线方程,联立两切线方程,求出点 的坐标,即可证得结论成立. 【详解】(1)解:由题意知,点 到点 的距离和它到直线 的距离相等, 所以,点 的轨迹是以 为焦点的抛物线,所以 的方程为 , (2)解:设 、 ,设直线 的方程为 , 联立方程组 ,得 , ,可得 ,所以 ①, ② , 即 , 将①②代入得 ,因为 ,所以 ,所以点 的坐标为 , 设 、 ,则 , 使 为定值,需满足 ,即 , 因为 ,所以 ,则 ,所以点 坐标为 . (3)解:设直线 的方程为 ,设 、 , 联立方程组 得 ,则 ,可得 , 则 ③, ④, 接下来证明出抛物线 在点 处的切线方程为 ,联立 ,可得 ,即 , , 又因为 ,即点 在直线 上, 所以,曲线 在点 处的切线方程为 , 同理可得曲线 在点 处的切线方程为 , 联立 ,解得 , 则 ,所以点 的坐标为 , 所以点 在定直线 上. 【点睛】方法点睛:求定值问题常见的方法有两种: (1)从特殊入手,求出定值,再证明这个值与变量无关; (2)直接推理、计算,并在计算推理的过程中消去变量,从而得到定值.