当前位置:首页>文档>专题04构造函数法解决不等式问题(典型题型归类训练)(解析版)_02高考数学_新高考复习资料_2024年新高考资料_专项复习资料_一元函数的导数及其应用_教师版(含答案解析)

专题04构造函数法解决不等式问题(典型题型归类训练)(解析版)_02高考数学_新高考复习资料_2024年新高考资料_专项复习资料_一元函数的导数及其应用_教师版(含答案解析)

  • 2026-04-08 02:23:46 2026-04-08 01:05:00

文档预览

专题04构造函数法解决不等式问题(典型题型归类训练)(解析版)_02高考数学_新高考复习资料_2024年新高考资料_专项复习资料_一元函数的导数及其应用_教师版(含答案解析)
专题04构造函数法解决不等式问题(典型题型归类训练)(解析版)_02高考数学_新高考复习资料_2024年新高考资料_专项复习资料_一元函数的导数及其应用_教师版(含答案解析)
专题04构造函数法解决不等式问题(典型题型归类训练)(解析版)_02高考数学_新高考复习资料_2024年新高考资料_专项复习资料_一元函数的导数及其应用_教师版(含答案解析)
专题04构造函数法解决不等式问题(典型题型归类训练)(解析版)_02高考数学_新高考复习资料_2024年新高考资料_专项复习资料_一元函数的导数及其应用_教师版(含答案解析)
专题04构造函数法解决不等式问题(典型题型归类训练)(解析版)_02高考数学_新高考复习资料_2024年新高考资料_专项复习资料_一元函数的导数及其应用_教师版(含答案解析)
专题04构造函数法解决不等式问题(典型题型归类训练)(解析版)_02高考数学_新高考复习资料_2024年新高考资料_专项复习资料_一元函数的导数及其应用_教师版(含答案解析)
专题04构造函数法解决不等式问题(典型题型归类训练)(解析版)_02高考数学_新高考复习资料_2024年新高考资料_专项复习资料_一元函数的导数及其应用_教师版(含答案解析)
专题04构造函数法解决不等式问题(典型题型归类训练)(解析版)_02高考数学_新高考复习资料_2024年新高考资料_专项复习资料_一元函数的导数及其应用_教师版(含答案解析)
专题04构造函数法解决不等式问题(典型题型归类训练)(解析版)_02高考数学_新高考复习资料_2024年新高考资料_专项复习资料_一元函数的导数及其应用_教师版(含答案解析)
专题04构造函数法解决不等式问题(典型题型归类训练)(解析版)_02高考数学_新高考复习资料_2024年新高考资料_专项复习资料_一元函数的导数及其应用_教师版(含答案解析)
专题04构造函数法解决不等式问题(典型题型归类训练)(解析版)_02高考数学_新高考复习资料_2024年新高考资料_专项复习资料_一元函数的导数及其应用_教师版(含答案解析)
专题04构造函数法解决不等式问题(典型题型归类训练)(解析版)_02高考数学_新高考复习资料_2024年新高考资料_专项复习资料_一元函数的导数及其应用_教师版(含答案解析)
专题04构造函数法解决不等式问题(典型题型归类训练)(解析版)_02高考数学_新高考复习资料_2024年新高考资料_专项复习资料_一元函数的导数及其应用_教师版(含答案解析)
专题04构造函数法解决不等式问题(典型题型归类训练)(解析版)_02高考数学_新高考复习资料_2024年新高考资料_专项复习资料_一元函数的导数及其应用_教师版(含答案解析)
专题04构造函数法解决不等式问题(典型题型归类训练)(解析版)_02高考数学_新高考复习资料_2024年新高考资料_专项复习资料_一元函数的导数及其应用_教师版(含答案解析)
专题04构造函数法解决不等式问题(典型题型归类训练)(解析版)_02高考数学_新高考复习资料_2024年新高考资料_专项复习资料_一元函数的导数及其应用_教师版(含答案解析)
专题04构造函数法解决不等式问题(典型题型归类训练)(解析版)_02高考数学_新高考复习资料_2024年新高考资料_专项复习资料_一元函数的导数及其应用_教师版(含答案解析)
专题04构造函数法解决不等式问题(典型题型归类训练)(解析版)_02高考数学_新高考复习资料_2024年新高考资料_专项复习资料_一元函数的导数及其应用_教师版(含答案解析)
专题04构造函数法解决不等式问题(典型题型归类训练)(解析版)_02高考数学_新高考复习资料_2024年新高考资料_专项复习资料_一元函数的导数及其应用_教师版(含答案解析)
专题04构造函数法解决不等式问题(典型题型归类训练)(解析版)_02高考数学_新高考复习资料_2024年新高考资料_专项复习资料_一元函数的导数及其应用_教师版(含答案解析)
专题04构造函数法解决不等式问题(典型题型归类训练)(解析版)_02高考数学_新高考复习资料_2024年新高考资料_专项复习资料_一元函数的导数及其应用_教师版(含答案解析)
专题04构造函数法解决不等式问题(典型题型归类训练)(解析版)_02高考数学_新高考复习资料_2024年新高考资料_专项复习资料_一元函数的导数及其应用_教师版(含答案解析)
专题04构造函数法解决不等式问题(典型题型归类训练)(解析版)_02高考数学_新高考复习资料_2024年新高考资料_专项复习资料_一元函数的导数及其应用_教师版(含答案解析)
专题04构造函数法解决不等式问题(典型题型归类训练)(解析版)_02高考数学_新高考复习资料_2024年新高考资料_专项复习资料_一元函数的导数及其应用_教师版(含答案解析)
专题04构造函数法解决不等式问题(典型题型归类训练)(解析版)_02高考数学_新高考复习资料_2024年新高考资料_专项复习资料_一元函数的导数及其应用_教师版(含答案解析)
专题04构造函数法解决不等式问题(典型题型归类训练)(解析版)_02高考数学_新高考复习资料_2024年新高考资料_专项复习资料_一元函数的导数及其应用_教师版(含答案解析)
专题04构造函数法解决不等式问题(典型题型归类训练)(解析版)_02高考数学_新高考复习资料_2024年新高考资料_专项复习资料_一元函数的导数及其应用_教师版(含答案解析)

文档信息

文档格式
docx
文档大小
1.220 MB
文档页数
23 页
上传时间
2026-04-08 01:05:00

文档内容

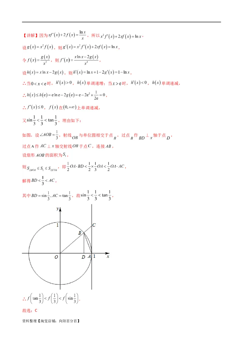
专题 04 构造函数法解决不等式问题(典型题型归类训练) 目录 一、必备秘籍........................................................1 二、典型题型........................................................2 题型一:构造 或 ( ,且 )型...............2 题型二:构造 或 ( ,且 )型...............5 题型三:构造 或 型............................7 题型四:构造 或 型..........................10 三、专项训练....................................................11 一、必备秘籍 1、两个基本还原 f' (x)g(x)−f(x)g' (x) f(x) ' ① ② =[ ] f' (x)g(x)+f(x)g' (x)=[f(x)g(x)] ' [g(x)] 2 g(x) 2、类型一:构造可导积函数 ①e nx [f' (x)+nf(x)]=[e nx f(x)] ' 高频考点1: ex [f' (x)+f(x)]=[exf(x)] ' ②xn−1 [xf' (x)+nf(x)]=[xnf(x)] ' 高频考点1:xf' (x)+f(x)=[xf(x)] ' 高频考点2 x[xf' (x)+2f(x)]=[x2f(x)] ' f' (x)−nf(x) f(x) f' (x)−f(x) f(x) ' ' ③ =[ ] 高频考点1: =[ ] enx enx ex ex xf' (x)−nf(x) f(x) ' ④ =[ ] xn+1 xn 资料整理【淘宝店铺:向阳百分百】xf' (x)−f(x) f(x) xf' (x)−2f(x) f(x) ' ' 高频考点1: =[ ] 高频考点2 =[ ] x2 x x3 x2 ⑤ ⑥ 序号 条件 构造函数 1 f' (x)g(x)+f(x)g' (x)≥0 F(x)=f(x)g(x) 2 f' (x)+f (x)<0 F(x)=exf(x) 3 f' (x)+nf(x)<0 F(x)=e nx f(x) 4 xf' (x)+f (x)>0 F(x)=xf(x) 5 xf' (x)+2f(x)≤0 F(x)=x2f(x) 6 xf' (x)+nf(x)>0 F(x)=xnf(x) 7 f' (x)sinx+f(x)cosx>0 F(x)=f(x)sinx 8 f' (x)cosx−f(x)sinx>0 F(x)=f(x)cosx 3、类型二:构造可商函数 f' (x)−nf(x) f(x) f' (x)−f(x) f(x) ' ' ① =[ ] 高频考点1: =[ ] enx enx ex ex xf' (x)−nf(x) f(x) ' ② =[ ] xn+1 xn xf' (x)−f(x) f(x) xf' (x)−2f(x) f(x) ' ' 高频考点1: =[ ] 高频考点2: =[ ] x2 x x3 x2 ③ ⑥ 二、典型题型 题型一:构造 或 ( ,且 )型 1.(2023下·重庆荣昌·高二重庆市荣昌中学校校考期中)定义在 上的偶函数 的导函数为 ,且 资料整理【淘宝店铺:向阳百分百】当 时, .则( ) A. B. C. D. 【答案】D 【详解】由当 时, , 得 , 设 ,则 , 所以 在 上单调递增, 又函数 为偶函数, 所以 为偶函数, 所以 在在 上单调递增,在 上单调递减, 所以 ,即 ,所以 ,A选项错误; ,即 ,所以 ,B选项错误; ,即 ,所以 ,C选项错误; ,即 ,所以 ,D选项正确; 故选:D. 2.(2023下·四川绵阳·高二盐亭中学校考阶段练习)若函数 满足 在 上恒成立, 且 ,则( ) A. B. C. D. 【答案】B 【详解】解:设 ,则 , 由 ,可知 ,所以 在 上是增函数, 又 ,所以 ,即 , 故选:B. 3.(2023下·陕西咸阳·高二统考期中)已知定义在 上的函数 ,其导函数为 ,当 时, 资料整理【淘宝店铺:向阳百分百】,若 , , ,则 , , 的大小关系是( ) A. B. C. D. 【答案】D 【详解】令 , , 则 , ∵当 时, , 即 , 在 单调递减, ∴ , ∴ , 即 , ∴ . 故选:D. 4.(2023·甘肃张掖·甘肃省民乐县第一中学校考模拟预测)已知 为偶函数,且当 时, ,其中 为 的导数,则不等式 的解集为 . 【答案】 【详解】令函数 ,当 时, ,即函数 在 上单调递 减, 由 为偶函数,得 ,即函数 是奇函数,于是 在R上单调递减, 不等式 , 因此 ,解得 ,所以原不等式的解集是 . 故答案为: 5.(2023上·黑龙江·高三黑龙江实验中学校考阶段练习)已知 是定义域为 的偶函数, 且 ,当 时, ,则使得 成立的 的取值范围是 . 【答案】 【详解】记 ,则 , 资料整理【淘宝店铺:向阳百分百】故当 , ,所以 ,因此 在 上单调递增, 又当 时, , 因此 为 奇函数,故 在 上单调递增, 又 ,因此当 和 时, , 当 和 时, , 因此 ,即可得 和 , 故 成立的 的取值范围是 , 故答案为: 题型二:构造 或 ( ,且 )型 1.(2023上·福建莆田·高三莆田一中校考期中)已知定义域为R的函数 ,其导函数为 ,且满足 , ,则( ) A. B. C. D. 【答案】C 【详解】令 ,则 , 因为 在 上恒成立, 所以 在 上恒成立,故 在 上单调递减, ,即 ,故A不正确; ,即 ,即 ,故B不正确; ,即 ,即 ,故C正确; 资料整理【淘宝店铺:向阳百分百】,即 ,即 ,故D不正确; 故选:C 2.(2023上·四川内江·高三期末)已知 是函数 的导函数, ,其中 是自然对数的底 数,对任意 ,恒有 ,则不等式 的解集为( ) A. B. C. D. 【答案】C 【详解】依题意,令函数 , ,求导得 , 则函数 在R上单调递增, , 而 ,则 ,因此有 ,解得 , 所以原不等式的解集为 . 故选:C 3.(2023下·河南洛阳·高二统考期末)已知 是定义在R上的函数 的导函数,对于任意的实数 x,都有 ,当 时, .若 ,则实数a的取值范围为 ( ) A. B. C. D. 【答案】B 【详解】解:因为 ,所以 , 令 ,则 , 所以 为偶函数, 当 时, , 所以 , 所以函数 在 上单调递增, 资料整理【淘宝店铺:向阳百分百】根据偶函数对称区间上单调性相反的性质可知 在 上单调递减, 因为 , 所以 , 所以 ,即 ,即 , 即 ,则 , 解得 .故数a的取值范围为: 故选:B. 4.(2023上·新疆伊犁·高三奎屯市第一高级中学校考阶段练习)定义在 上的函数 满足 ,且有 ,则 的解集为 . 【答案】 【详解】设 ,则 , , , 在R上单调递增. 又 ,则 . ∵ 等价于 ,即 , ∴ ,即所求不等式的解集为 . 故答案为: . 5.(2018上·江西赣州·高三统考期中)函数 的定义域和值域均为 , 的导函数为 , 且满足 ,则 的取值范围是 . 【答案】 【详解】设 ,则 >0 ∴ 在 上单调递增,所以 , 即 < < ; ⇒ 资料整理【淘宝店铺:向阳百分百】令 ,则 ∴ 在 上单调递减,所以 , 即 > > ⇒ 综上, < 且 > . 故答案为: 题型三:构造 或 型 1.(2023下·四川成都·高二期末)记函数 的导函数为 ,若 为奇函数,且当 时恒 有 成立,则( ) A. B. C. D. 【答案】B 【详解】令 ,则 , 当 时恒有 ,所以 , 则 在 上单调递增, 所以 ,则 ,即 ,选项A错误; ,则 ,即 ,选项B正确; ,则 ,又 为奇函数,所以 ,选项C错误; 由 得 ,选项D错误; 故选:B 资料整理【淘宝店铺:向阳百分百】2.(2023·青海海东·统考模拟预测)已知 是奇函数 的导函数,且当 时, ,则( ) A. B. C. D. 【答案】A 【详解】当 时, ,则由 ,得 ; 当 时, ,则由 ,得 . 令 ,则 , 故g(x)在 上单调递增,在 上单调递减. 又f(x)是奇函数,所以 是偶函数, 故 ,即 , , 即 . 与 和 的大小关系不确定. 故选:A. 3.(2023上·云南昆明·高三昆明一中校考阶段练习)定义在 上的奇函数 的导函数为 ,且当 时, ,则不等式 的解集为 . 【答案】 【详解】令 ,因为 是定义在 上的奇函数, 则 , 所以 为偶函数. 当 时, , , 资料整理【淘宝店铺:向阳百分百】由已知 , 所以 , 则 在 上单调递增, 由 可化为 , 即 ,得 ; 当 , ,则 , 即 , 由 为偶函数,则 在 上单调递减, 得 , 所以不等式 的解集为 . 故答案为: . 题型四:构造 或 型 1.(2023·全国·模拟预测)已知定义在 上的函数 满足 ,当 时,不等 式 恒成立( 为 的导函数),若 , , ,则( ) A. B. C. D. 【答案】C 【详解】由题意得函数 为偶函数,构造函数 , 资料整理【淘宝店铺:向阳百分百】所以 , 易知当 时, ,所以函数 在 上单调递减. 因为 ,则 , 由 ,则 , 且 , 因为函数 在 上单调递减,且 , 所以 ,即 , 故选:C. 2.(2023下·山东聊城·高二校考阶段练习)定义在 上的函数 ,已知 是它的导函数,且恒 有 成立,则有( ) A. B. C. D. 【答案】C 【详解】解:令 , 则 , 因为 , 所以 , 则 在 上单调递减. 资料整理【淘宝店铺:向阳百分百】所以 , 故 , , 故选:C 三、专项训练 一、单选题 1.(2023上·上海徐汇·高三上海市第二中学校考期中)已知定义在R上的函数 ,其导函数 满足:对任意 都有 ,则下列各式恒成立的是( ) A. , B. , C. , D. , 【答案】B 【详解】记 ,则 , 因为 ,即 , 所以 ,所以 在R上单调递增, 故 , , 整理得 , . 故选:B 2.(2023·河南开封·统考三模)设定义在 上的函数 的导函数 ,且满足 , .则 、 、 的大小关系为( ) A. B. C. D. 【答案】C 资料整理【淘宝店铺:向阳百分百】【详解】因为 ,所以 , 设 ,则 , 令 ,则 , 设 ,则 , ∴当 时, , 单调递增;当 时, , 单调递减, ∴ , ∴ , 在 上单调递减, 又 ,理由如下: 如图,设 ,射线 与单位圆相交于点 ,过点 作 ⊥ 轴于点 , 过点 作 ⊥ 轴交射线 于点 ,连接 , 设扇形 的面积为 , 则 ,即 , 解得 , 其中 ,故 , ∴ . 故选:C 资料整理【淘宝店铺:向阳百分百】3.(2023下·云南保山·高二统考期末)已知函数 是定义在 上的奇函数,且当 时不等 式 成立,若 , , ,则 , , 的 大小关系是( ) A. B. C. D. 【答案】B 【详解】构造函数 ,则由题意可知当 时 , 所以函数 在区间 上单调递减, 又因为 是定义在 上的奇函数,所以 是定义在 上的偶函数, 所以 在区间 上单调递增, 又 , , , 因为 , ,所以 , 所以 ,即 , 正确. 故选: . 4.(2023·全国·高三专题练习)若函数 在R上可导,且满足 恒成立,常数 则下列不等式一定成立的是( ) A. B. C. D. 【答案】A 【详解】令 ,则 恒成立,故 在 上单调递增. , ,即 . 故选:A 5.(2023·全国·高三对口高考)已知函数 是定义在 上的奇函数,且当 时不等式 成立,若 ,则 的大小关系 是( ) A. B. C. D. 【答案】B 资料整理【淘宝店铺:向阳百分百】【详解】构造函数 ,则由题意可知当 时 , 所以函数 在区间 上单调递减, 又因为 是定义在 上的奇函数,所以 是定义在 上的偶函数, 所以 在区间 上单调递增, , , , 因为 , , 所以 ,所以 , 即 , 故选:B 6.(2023·全国·高三对口高考)已知 是定义在 上的非负可导函数,且满足 ,对 任意正数a、b,若 ,则必有( ) A. B. C. D. 【答案】A 【详解】由 . 若 不是常函数,则 在 上单调递减,又 ,则 ; 若 为常函数,则 .综上, . 故选:A 7.(2023·云南·校联考三模)设函数 在 上的导数存在,且 ,则当 时, ( ) A. B. C. D. 【答案】B 【详解】因为 , 令 ,则 , 所以 在 上单调递增, 资料整理【淘宝店铺:向阳百分百】当 时, ,即 , 所以 且 . 故选:B 8.(2023下·湖北·高二校联考期中)已知函数 的定义域为R, 为 的导函数,且 ,则不等式 的解集是( ) A. B. C. D. 【答案】D 【详解】根据题意,构造函数 ,则 , 所以函数 在R上单调递增,又 ,即 , 所以 ,即 ,解得 . 故选:D. 9.(2023下·湖北武汉·高二武汉市洪山高级中学校联考期中)设函数 的定义域为 , 是其导函 数,若 , ,则不等式 的解集是( ) A. B. C. D. 【答案】B 【详解】令 ,则 , 因为 ,所以 ,所以 , 所以函数 在 上单调递增, 而 可化为 ,又 即 ,解得 , 所以不等式 的解集是 . 故选:B 10.(2023下·湖北武汉·高二华中师大一附中校考期中) 是定义在R上的奇函数,当 时,有 恒成立,则( ) A. B. C. D. 【答案】C 资料整理【淘宝店铺:向阳百分百】【详解】解:令 , 则 , 因为 , 所以 , 则 在 上递增, 又 是偶函数,且 是定义在R上的奇函数, 所以 是定义在R上的奇函数, 则 在 上单调递增, 所以 ,即 ,故A错误; ,即 ,故B错误; ,即 ,故C正确; ,即 ,故错误, 故选:C 11.(2023下·河北张家口·高二校联考阶段练习)已知函数 在 上连续且可导,同时满足 ,则下列不等式一定成立的为( ) A. B. C. D. 【答案】C 【详解】构造函数 ,则 , 所以 在 上单调递增, 所以 ,即 ,所以 . 故选:C 二、填空题 12.(2023上·河南焦作·高三统考开学考试)已知定义在R上的函数 及其导函数 满足 ,若 ,则满足不等式 的x的取值范围是 . 资料整理【淘宝店铺:向阳百分百】【答案】 【详解】由题意,对任意 ,都有 成立, 即 . 构造函数 , 则 , 所以函数 在 上单调递增. 不等式 即 ,即 . 因为 ,所以 . 故由 ,得 . 所以不等式 的解集为 , 故答案为: . 13.(2023下·湖北咸宁·高二鄂南高中校考阶段练习)已知偶函数 是定义在 上的可导函数,当 时, 且 ,则 的解集为 . 【答案】 【详解】令 ,可得 因为 时, , 所以 , 即函数 在 为单调递增函数, 又因为函数 为偶函数,可得 , 所以函数 为偶函数,所以 在 为单调递减函数, 因为 , 即 ,可得 ,即 , 解得 ,即不等式的解集为 . 故答案为: . 14.(2021下·江苏镇江·高一江苏省丹阳高级中学校考期中)函数 定义域为 ,其导函数是 , 当 时,有 ,则关于 的不等式 的解集为 . 资料整理【淘宝店铺:向阳百分百】【答案】 【详解】令 ,则 , 因为 ,所以 , 因为 , 所以 , 所以 在 上为减函数, 由 ,得 , 所以 , 因为 在 上为减函数, 所以 , 所以不等式 的解集为 , 故答案为: 15.(2022下·江苏·高二校联考阶段练习)函数 的定义域是 ,其导函数是 ,若 ,则关于 的不等式 的解集为 . 【答案】 【详解】 变形为 , 变形为 , 故可令g(x)=f(x)sinx, , 则 , ∴g(x)在 单调递减, 不等式 即为g(x)<g( ), 资料整理【淘宝店铺:向阳百分百】则 , 故答案为: . 16.(2021下·重庆江津·高二校考期中)已知定义在 上的偶函数 的导函数为 ,当 时,有 ,且 ,则使得 成立的 的取值范围是 . 【答案】 【详解】∵当 时,有 ,令 , ∴ , ∴ 在 上递增, 又∵ 在 上的偶函数 ∴ , ∴ 在 上是奇函数 ∴ 在 上递增, 又∵ , ∴ 当 时, ,此时,0<x<1, 当 时, ,此时, , ∴ 成立的 的取值范围是 . 故答案为: ﹒ 17.(2021下·山东济南·高二山东师范大学附中校考期中)设 的定义域为 , 的导函数为 ,且对任意正数 均有 ,设 , , , ,则 的大小关系是 【答案】 【详解】由 ,得 , 令 ,则 恒成立, 故函数 在 上单调递增. 因 , ,则 , 资料整理【淘宝店铺:向阳百分百】故 ,即 , 变形得: ①, 同理 ②, ①+②得: , 即 ,故 . 故答案为: . 18.(2020下·四川成都·高二四川师范大学附属中学校考期中)函数 定义在 上, , 其导函数是 ,且 恒成立,则不等式 的解集为 . 【答案】 【详解】解: , 构造函数 , 则 , 当 时, , 在 单调递增, 不等式 , 即 即 , 故不等式的解集为 . 资料整理【淘宝店铺:向阳百分百】故答案为: . 19.(2020·陕西·统考二模)已知定义在 上的函数 满足 ,其中 是函数 的导函数.若 ,则实数 的取值范围为 . 【答案】 【详解】令 ,则 , 因为 ,所以 ,所以函数 在 为单调递减函数, 又由 , 所以 ,即 ,所以 , 即 ,所以 ,解得 , 综上可得,实数 的取值范围为 . 故答案为: . 20.(2019下·江苏扬州·高二统考期末)已知可导函数 的定义域为 ,其导函数 满足 ,则不等式 的解集为 . 【答案】 【详解】函数 的定义域为 构造函数: 已知: 所以 , 递减. 即 故答案为 21.(2017·河南·统考一模)设函数 是定义在 上的可导函数,其导函数为 ,且有 ,则不等式 的解集 . 【答案】 【详解】令 ,因为 ,且 ,所以 ,即函数 在 上单调递减,因为 ,即 ,所以 ,即 资料整理【淘宝店铺:向阳百分百】,即不等式的解集为 . 资料整理【淘宝店铺:向阳百分百】