当前位置:首页>文档>专题10利用导函数研究函数的极值点偏移问题(典型题型归类训练)(解析版)_02高考数学_2025年新高考资料_二轮复习_解题思路训练2025年高考数学复习解答题提优秘籍(新高考专用)

专题10利用导函数研究函数的极值点偏移问题(典型题型归类训练)(解析版)_02高考数学_2025年新高考资料_二轮复习_解题思路训练2025年高考数学复习解答题提优秘籍(新高考专用)

  • 2026-04-10 05:16:24 2026-04-10 04:41:50

文档预览

专题10利用导函数研究函数的极值点偏移问题(典型题型归类训练)(解析版)_02高考数学_2025年新高考资料_二轮复习_解题思路训练2025年高考数学复习解答题提优秘籍(新高考专用)
专题10利用导函数研究函数的极值点偏移问题(典型题型归类训练)(解析版)_02高考数学_2025年新高考资料_二轮复习_解题思路训练2025年高考数学复习解答题提优秘籍(新高考专用)
专题10利用导函数研究函数的极值点偏移问题(典型题型归类训练)(解析版)_02高考数学_2025年新高考资料_二轮复习_解题思路训练2025年高考数学复习解答题提优秘籍(新高考专用)
专题10利用导函数研究函数的极值点偏移问题(典型题型归类训练)(解析版)_02高考数学_2025年新高考资料_二轮复习_解题思路训练2025年高考数学复习解答题提优秘籍(新高考专用)
专题10利用导函数研究函数的极值点偏移问题(典型题型归类训练)(解析版)_02高考数学_2025年新高考资料_二轮复习_解题思路训练2025年高考数学复习解答题提优秘籍(新高考专用)
专题10利用导函数研究函数的极值点偏移问题(典型题型归类训练)(解析版)_02高考数学_2025年新高考资料_二轮复习_解题思路训练2025年高考数学复习解答题提优秘籍(新高考专用)
专题10利用导函数研究函数的极值点偏移问题(典型题型归类训练)(解析版)_02高考数学_2025年新高考资料_二轮复习_解题思路训练2025年高考数学复习解答题提优秘籍(新高考专用)
专题10利用导函数研究函数的极值点偏移问题(典型题型归类训练)(解析版)_02高考数学_2025年新高考资料_二轮复习_解题思路训练2025年高考数学复习解答题提优秘籍(新高考专用)
专题10利用导函数研究函数的极值点偏移问题(典型题型归类训练)(解析版)_02高考数学_2025年新高考资料_二轮复习_解题思路训练2025年高考数学复习解答题提优秘籍(新高考专用)
专题10利用导函数研究函数的极值点偏移问题(典型题型归类训练)(解析版)_02高考数学_2025年新高考资料_二轮复习_解题思路训练2025年高考数学复习解答题提优秘籍(新高考专用)
专题10利用导函数研究函数的极值点偏移问题(典型题型归类训练)(解析版)_02高考数学_2025年新高考资料_二轮复习_解题思路训练2025年高考数学复习解答题提优秘籍(新高考专用)
专题10利用导函数研究函数的极值点偏移问题(典型题型归类训练)(解析版)_02高考数学_2025年新高考资料_二轮复习_解题思路训练2025年高考数学复习解答题提优秘籍(新高考专用)
专题10利用导函数研究函数的极值点偏移问题(典型题型归类训练)(解析版)_02高考数学_2025年新高考资料_二轮复习_解题思路训练2025年高考数学复习解答题提优秘籍(新高考专用)
专题10利用导函数研究函数的极值点偏移问题(典型题型归类训练)(解析版)_02高考数学_2025年新高考资料_二轮复习_解题思路训练2025年高考数学复习解答题提优秘籍(新高考专用)
专题10利用导函数研究函数的极值点偏移问题(典型题型归类训练)(解析版)_02高考数学_2025年新高考资料_二轮复习_解题思路训练2025年高考数学复习解答题提优秘籍(新高考专用)
专题10利用导函数研究函数的极值点偏移问题(典型题型归类训练)(解析版)_02高考数学_2025年新高考资料_二轮复习_解题思路训练2025年高考数学复习解答题提优秘籍(新高考专用)
专题10利用导函数研究函数的极值点偏移问题(典型题型归类训练)(解析版)_02高考数学_2025年新高考资料_二轮复习_解题思路训练2025年高考数学复习解答题提优秘籍(新高考专用)
专题10利用导函数研究函数的极值点偏移问题(典型题型归类训练)(解析版)_02高考数学_2025年新高考资料_二轮复习_解题思路训练2025年高考数学复习解答题提优秘籍(新高考专用)
专题10利用导函数研究函数的极值点偏移问题(典型题型归类训练)(解析版)_02高考数学_2025年新高考资料_二轮复习_解题思路训练2025年高考数学复习解答题提优秘籍(新高考专用)
专题10利用导函数研究函数的极值点偏移问题(典型题型归类训练)(解析版)_02高考数学_2025年新高考资料_二轮复习_解题思路训练2025年高考数学复习解答题提优秘籍(新高考专用)
专题10利用导函数研究函数的极值点偏移问题(典型题型归类训练)(解析版)_02高考数学_2025年新高考资料_二轮复习_解题思路训练2025年高考数学复习解答题提优秘籍(新高考专用)
专题10利用导函数研究函数的极值点偏移问题(典型题型归类训练)(解析版)_02高考数学_2025年新高考资料_二轮复习_解题思路训练2025年高考数学复习解答题提优秘籍(新高考专用)
专题10利用导函数研究函数的极值点偏移问题(典型题型归类训练)(解析版)_02高考数学_2025年新高考资料_二轮复习_解题思路训练2025年高考数学复习解答题提优秘籍(新高考专用)
专题10利用导函数研究函数的极值点偏移问题(典型题型归类训练)(解析版)_02高考数学_2025年新高考资料_二轮复习_解题思路训练2025年高考数学复习解答题提优秘籍(新高考专用)
专题10利用导函数研究函数的极值点偏移问题(典型题型归类训练)(解析版)_02高考数学_2025年新高考资料_二轮复习_解题思路训练2025年高考数学复习解答题提优秘籍(新高考专用)
专题10利用导函数研究函数的极值点偏移问题(典型题型归类训练)(解析版)_02高考数学_2025年新高考资料_二轮复习_解题思路训练2025年高考数学复习解答题提优秘籍(新高考专用)
专题10利用导函数研究函数的极值点偏移问题(典型题型归类训练)(解析版)_02高考数学_2025年新高考资料_二轮复习_解题思路训练2025年高考数学复习解答题提优秘籍(新高考专用)
专题10利用导函数研究函数的极值点偏移问题(典型题型归类训练)(解析版)_02高考数学_2025年新高考资料_二轮复习_解题思路训练2025年高考数学复习解答题提优秘籍(新高考专用)
专题10利用导函数研究函数的极值点偏移问题(典型题型归类训练)(解析版)_02高考数学_2025年新高考资料_二轮复习_解题思路训练2025年高考数学复习解答题提优秘籍(新高考专用)
专题10利用导函数研究函数的极值点偏移问题(典型题型归类训练)(解析版)_02高考数学_2025年新高考资料_二轮复习_解题思路训练2025年高考数学复习解答题提优秘籍(新高考专用)
专题10利用导函数研究函数的极值点偏移问题(典型题型归类训练)(解析版)_02高考数学_2025年新高考资料_二轮复习_解题思路训练2025年高考数学复习解答题提优秘籍(新高考专用)
专题10利用导函数研究函数的极值点偏移问题(典型题型归类训练)(解析版)_02高考数学_2025年新高考资料_二轮复习_解题思路训练2025年高考数学复习解答题提优秘籍(新高考专用)
专题10利用导函数研究函数的极值点偏移问题(典型题型归类训练)(解析版)_02高考数学_2025年新高考资料_二轮复习_解题思路训练2025年高考数学复习解答题提优秘籍(新高考专用)
专题10利用导函数研究函数的极值点偏移问题(典型题型归类训练)(解析版)_02高考数学_2025年新高考资料_二轮复习_解题思路训练2025年高考数学复习解答题提优秘籍(新高考专用)
专题10利用导函数研究函数的极值点偏移问题(典型题型归类训练)(解析版)_02高考数学_2025年新高考资料_二轮复习_解题思路训练2025年高考数学复习解答题提优秘籍(新高考专用)
专题10利用导函数研究函数的极值点偏移问题(典型题型归类训练)(解析版)_02高考数学_2025年新高考资料_二轮复习_解题思路训练2025年高考数学复习解答题提优秘籍(新高考专用)

文档信息

文档格式
docx
文档大小
2.056 MB
文档页数
32 页
上传时间
2026-04-10 04:41:50

文档内容

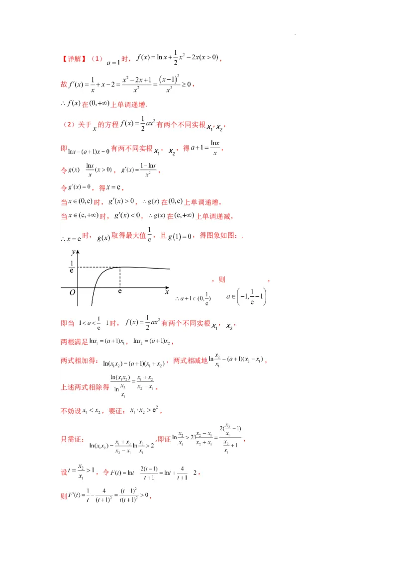
专题 10 利用导函数研究函数的极值点偏移问题 (典型题型归类训练) 一、必备秘籍 1、极值点偏移的含义 函数 满足对于定义域内任意自变量 都有 ,则函数 关 于直线 对称.可以理解为函数 在对称轴两侧,函数值变化快慢相同,且若 为单峰函数,则 必为 的极值点,如图(1)所示,函数 图象的顶点的 横坐标就是极值点 ; ①若 的两根为 , ,则刚好满足 ,则极值点在两根的正中 间,也就是极值点没有偏移(如图1). 若 ,则极值点偏移.若单峰函数 的极值点为 ,且函数 满足 定义域 左侧的任意自变量 都有 或 ,则函数 极值点 左右侧变化快慢不同.如图(2)(3)所示.故单峰函数 定义域内任意不 同的实数 , ,满足 ,则 与极值点 必有确定的大小关系:若 ,则称为极值点左偏如图(2);若 ,则称为极值点右偏如图 (3). 2、极值点偏移问题的一般解法 学科网(北京)股份有限公司2.1对称化构造法 主要用来解决与两个极值点之和,积相关的不等式的证明问题.其解题要点如下: (1)定函数(极值点为 ),即利用导函数符号的变化判断函数的单调性,进而确定函数的极 值点 . (2)构造函数,即对结论 型,构造函数 或 ; (3)对结论 型,构造函数 ,通过研究 的单调性获得 不等式. (4)判断单调性,即利用导数讨论 的单调性. (5)比较大小,即判断函数 在某段区间上的正负,并得出 与 的大小关 系. (6)转化,即利用函数f(x)的单调性,将 与 的大小关系转化为 与 之间的关系,进而得到所证或所求. 2.2.差值代换法(韦达定理代换令 .) 差值换元的目的也是消参、减元,就是根据已知条件首先建立极值点之间的关系,然 后利用两个极值点之差作为变量,从而实现消参、减元的目的.设法用差值(一般用 表示) 表示两个极值点,即 ,化为单变量的函数不等式,继而将所求解问题转化为关 于 的函数问题求解. 2.3.比值代换法 比值换元的目的也是消参、减元,就是根据已知条件首先建立极值点之间的关系,然 后利用两个极值点的比值作为变量,从而实现消参、减元的目的.设法用比值(一般用 表 示)表示两个极值点,即 ,化为单变量的函数不等式,继而将所求解问题转化为关于 的函数问题求解. 二、典型题型 1.(2024高三下·全国·专题练习)已知函数 , . (1)若 在 上为增函数,求实数 的取值范围. (2)当 时,设 的两个极值点为 学科网(北京)股份有限公司,且 ,求 的最小值. 【答案】(1) ; (2) . 【分析】(1)借助导数可得 ,在 上恒成立,结合二次函 数的性质计算即可得; (2)由题意计算可得 ,从而可设 ,得到 ,结合导数研究该函数单调性即可得其最小值,即可得解. 【详解】(1)因为 , 由题意 , 即 对 恒成立, 整理得: , 即 ,在 上恒成立, 显然 时成立. 当 时,设 , 显然 且对称轴为 , 所以 在 上单调递增, 所以只要 ,又 , 所以 ; 综上, ; (2) , 即 为方程 的两个根, 由题意可得 , 学科网(北京)股份有限公司∴ ,解得 , 又 , , 两式相减得 , 令 ,则 , 令 , ,所以 在 递减, ,所以 的最小值为 . 【点睛】关键点点睛:本题最后一问关键点在于结合题意,得到 的范围,并借助换元 法,令 ,从而将多变量问题转化为单变量问题. 2.(2024·辽宁·模拟预测)已知函数 . (1)当 时,判断 在区间 内的单调性; (2)若 有三个零点 ,且 . (i)求 的取值范围; (ii)证明: . 【答案】(1) 在 上单调递减,在 上单调递增 (2)(i) ;(ii)证明见解析 【分析】(1)多次求导后,借助导数的单调性及正负即可判断原函数的单调区间; (2)(i)原条件可转化 有三个不等实根,从而构造函数 ,研究该函数即 学科网(北京)股份有限公司可得;(ii)借助的 单调性,得到 ,从而将证明 ,转化为证明 ,再设 ,从而将三个变量的问题转化为单变量问题,即可构造函数 ,证明其在 上大于 即可. 【详解】(1)当 时, , , 令 , , 令 ,可得 , 则当 时, ,当 时, , 即 在 上单调递减,在 上单调递增, 又 , , 故当 时, ,当 时, , 故 在 上单调递减,在 上单调递增; (2)(i) 有三个零点,即 有三个根, 由 不是该方程的根,故 有三个根 ,且 , 令 , , 故当 时, ,当 时, , 即 在 、 上单调递增,在 上单调递减, ,当 时, , 时, , 当 时, , 时, , 故 时, 有三个根; (ii)由 在 上单调递增, ,故 , 由(i)可得 ,且 , 学科网(北京)股份有限公司即只需证 ,设 ,则 , 则有 ,即有 ,故 , , 则 ,即 , 即只需证 , 令 , 则 恒成立, 故 在 上单调递增, 则 ,即得证. 【点睛】方法点睛:极值点偏移问题的一般题设形式: 1.若函数 存在两个零点 且 ,求证: ( 为函数 的极值 点); 2.若函数 中存在 且 满足 ,求证: ( 为函数 的极值点); 3.若函数 存在两个零点 且 ,令 ,求证: ; 4.若函数 中存在 且 满足 ,令 ,求证: . 3.(2024高三下·江苏·专题练习)已知函数 (其中e为自然对数的底) 若 , 是 的极值点且 .若 ,且 .证明: . 【答案】证明见解析 【分析】求出 ,要证明 ,即证明 , 即证明 .令 ,对 求导,得出 的单调性,即可证明. 【详解】当 时,函数 ,求导得 , 由 是 的极值点,得 ,即 , 学科网(北京)股份有限公司令 ,求导得 ,当 时, ,当 时, , 则函数 ,即 在 上单调递减,在 上单调递增, 显然 , , , 因此 是 唯一负极值点,且 在 上单调递增,在 上单调递减, 要证明 ,即证明 ,亦即证明 , 由 在 上单调递增,且 , ,知 , 则 ,从而由 ,得 ,而 , 因此 , 令 ,求导得 ,由 ,得 , 因此函数 在 上单调递增,即 ,则 , 所以 ,即不等式 成立. 4.(2024高三·全国·专题练习)已知函数 . (1)当 时,判断函数 的单调性; (2)若关于 的方程 有两个不同实根 ,求实数 的取值范围,并证明 . 【答案】(1) 在 上单调递增 (2) ,证明见解析 【分析】(1)对 求导,根据 的符号得出 的单调性; (2)由题意可知 有两解,求出 的过原点的切线斜率即可得出 的范 围,设 ,根据分析法构造关于 的不等式,利用函数单调性证明不等式恒 成立即可, 学科网(北京)股份有限公司【详解】(1) 时, , 故 , 在 上单调递增. (2)关于 的方程 有两个不同实根 , , 即 有两不同实根 , ,得 , 令 , , 令 ,得 , 当 时, , 在 上单调递增, 当 时, , 在 上单调递减, 时, 取得最大值 ,且 ,得图象如图:. ,则 , 即当 时, 有两个不同实根 , , 两根满足 , , 两式相加得: ,两式相减地 , 上述两式相除得 , 不妨设 ,要证: , 只需证: ,即证 , 设 ,令 , 则 , 学科网(北京)股份有限公司函数 在 上单调递增,且 , ,即 , . 【点睛】方法点睛:利用导数证明或判定不等式问题: 1,通常要构造新函数,利用导数研究函数的单调性与极值(最值),从而得出不等关系; 2,利用可分离变量,构造新函数,直接把问题转化为函数的最值问题,从而判定不等关 系; 3,适当放缩构造法:根据已知条件适当放缩或利用常见放缩结论,从而判定不等关系; 4,构造“形似”函数,变形再构造,对原不等式同解变形,根据相似结构构造辅助函数. 5.(2022·全国·模拟预测)设函数 . (1)若 ,求函数 的最值; (2)若函数 有两个不同的极值点,记作 ,且 ,求证: . 【答案】(1)无最小值,最大值为 (2)证明见解析 【分析】(1)对函数 求导后得 ,分别求出 和 的解集,从而可求解. (2)由 有两个极值点 ,从而要证 ,令 ,构建 函数 ,然后利用导数求解 的最值,从而可求解证明. 【详解】(1)由题意得 ,则 . 令 ,解得 ;令 ,解得 , 在 上单调递增,在 上单调递减, , 无最小值,最大值为 . 学科网(北京)股份有限公司(2) ,则 , 又 有两个不同的极值点 , 欲证 ,即证 , 原式等价于证明 ①. 由 ,得 ,则 ②. 由①②可知原问题等价于求证 , 即证 . 令 ,则 ,上式等价于求证 . 令 ,则 , 恒成立, 在 上单调递增, 当 时, ,即 , 原不等式成立,即 . 【点睛】方法点睛: 对于极值点偏移问题,首先找到两极值点的相应关系,然后构造商 数或加数关系 ; 通过要证明的不等式,将两极值点变形后构造相应的函数, 利用导数求解出构造函数的最值,从而证明不等式或等式成立. 6.(2024·吉林·二模)在平面直角坐标系 中, 的直角顶点 在 轴上,另一 个顶点 在函数 图象上 (1)当顶点 在 轴上方时,求 以 轴为旋转轴,边 和边 旋转一周形成的面 所围成的几何体的体积的最大值; (2)已知函数 ,关于 的方程 有两个不等实根 学科网(北京)股份有限公司. (i)求实数 的取值范围; (ii)证明: . 【答案】(1) (2)(i) ;(ii)证明过程见详解. 【分析】(1)先确定所求几何体何时能取到最大值,写出函数关系,利用导数分析函数单 调性,求最大值; (2)(i)根据题意知, ,进行同构 ,将问题 转化为方程 有两个不等的实数根,再进行分离参数,研究 的单调 性和极值,即可求出a的取值范围. (ii)由 知,先证 ,即极值点偏移问题,构造函数 ,求 , 在 单调递增, ,得 ,从而可得 即 ,再由 的单调性, 即可得到 . 【详解】(1)因为 在 轴上方,所以: ; 为直角三角形,所以当 轴时,所得圆锥的体积才可能最大. 设 ,则 , ( ). 设 ( ),则 ,由 . 因为 ,所以 , 所以 在 上单调递增,在 上单调递减,所以 . 从而: . 学科网(北京)股份有限公司(2)(i)因为 ,即 ,即 , 令 ,所以 , 因为 为增函数,所以 即 , 所以方程 有两个不等实根 等价于 有两个不等实根 , 令 ,所以 当 时, , 单调递增;当 时, , 单调递 减.所以 . 当 时, ;当 时,由洛必达法则知 ; 所以 . (ii)由(i)知, , 令 , , 因为 ,所以 , 因为 , ,所以 ,即 在 单调递增, ,所以 . 因为 ,所以 , 又因为 ,所以 , 因为 , ,且 在 上单调递减, 所以 ,即 ,所以 , 学科网(北京)股份有限公司所以 . 【点睛】方法点睛: 极值点偏移问题的一般方法——对称化构造的步骤如下: (1)求极值点 :求出函数 的极值点 ,结合函数 的图像,由 得出 的取值范围; (2)构造函数:对结论为 的情况,构造函数 ; ① ,则 单调递增; ②注意到 ,则 即 ; ③ ,根据 在 单调减,则 ④得到结论 . 7.(23-24高三上·河南·阶段练习)已知函数 . (1)若 ,讨论 的单调性. (2)已知关于 的方程 恰有 个不同的正实数根 . (i)求 的取值范围; (ii)求证: . 【答案】(1) 在 , 上单调递增,在 上单调递减 (2)(i) ;(ii)证明见解析 【分析】(1)求导后,根据 的正负可确定 的单调性; (2)(i)将问题转化为 与 有两个不同交点的问题,利用导数可求得 的单调性和最值,从而得到 的图象,采用数形结合的方式可确定 的范围; (ii)设 ,根据: , ,采用取对数、两式作差整理的方式可得 ,通过分析法可知只需证 即可,令 ,构造函数 ,利用导数可求得 单调性,从而得到 ,由此 可证得结论. 学科网(北京)股份有限公司【详解】(1)当 时, ,则 ; 令 ,解得: 或 , 当 时, ;当 时, ; 在 , 上单调递增,在 上单调递减. (2)(i)由 得: , 恰有 个正实数根 , 恰有 个正实数根 , 令 ,则 与 有两个不同交点, , 当 时, ;当 时, ; 在 上单调递减,在 上单调递增,又 , 当 从 的右侧无限趋近于 时, 趋近于 ;当 无限趋近于 时, 的增速远大 于 的增速,则 趋近于 ; 则 图象如下图所示, 当 时, 与 有两个不同交点, 实数 的取值范围为 ; (ii)由(i)知: , , , , , 学科网(北京)股份有限公司不妨设 ,则 , 要证 ,只需证 , , , ,则只需证 , 令 ,则只需证当 时, 恒成立, 令 , , 在 上单调递增, , 当 时, 恒成立, 原不等式 得证. 【点睛】思路点睛:本题考查利用导数求解函数单调性、方程根的个数问题和极值点偏移 问题的求解;本题求解极值点偏移的基本思路是通过引入第三变量 ,将问题转化为 单变量问题,进而通过构造函数的方式证明关于 的不等式恒成立. 三、题型归类练 1.(23-24高二下·广东东莞·阶段练习)已知函数 的导函数为 , 若 存在两个不同的零点 . (1)求实数 的取值范围; (2)证明: . 【答案】(1) (2)证明见解析 【分析】(1)设 ,求出 ,讨论其符号后结合零点存在定理可得参数的取 值范围. (2)结合 的单调性可得 等价于 , , ,讨论 的单调性后可得原不等式成立. 学科网(北京)股份有限公司【详解】(1) ,设 ,则 , 当 时, ;当 时, ; 故 在 上为减函数,在 上为增函数,故 , 因 存在两个不同的零点 ,故 即 . 此时 且 , 故 在 有且只有一个零点. 令 ,则 , 当 时, ;当 时, ; 故 在 上为减函数,在 上为增函数,故 , 故 , 故当 时,有 , 故此时 在 有且只有一个零点. 综上, . (2)由(1)分析可得 , 要证: ,即证: , 因 即 ,故即证 , 即证: ,其中 , 设 , , 则 , 故 (因为 ,等号不可 取), 学科网(北京)股份有限公司所以 在 上为增函数,故 即 , 故 成立即 . 2.(23-24高二下·安徽宿州·开学考试)已知函数 (其中 为 自然对数的底数). (1)求函数 的单调区间; (2)若 为两个不相等的实数,且满足 ,求证: . 【答案】(1)增区间为 ,减区间为 (2)证明见解析 【分析】(1)求导,然后根据导函数的正负来判断 得单调性; (2)将 变形为 得到 ,然后构造函数 ,根据 得单调性和 得到 ,最后根据 和 得单调性即可证明 . 【详解】(1) , 令 ,解得 ,令 ,解得 , 所以 的增区间为 ,减区间为 . (2)证明:将 两边同时除以 得 ,即 , 所以 , 由(1)知 在 上单调递增,在 上单调递减, 又 , ,当 时, , 设 ,则 , 令 , 则 , 由 得 ,所以 , , 所以 , 在 上单调递增, 学科网(北京)股份有限公司又 ,所以 , 当 时, ,即 ,即 , 又 ,所以 , 又 , , 在 上单调递减, 所以 ,即 . 【点睛】方法点睛:处理极值点偏移问题中的类似于 的问题的基 本步骤如下: ①求导确定 的单调性,得到 的范围; ②构造函数 ,求导可得 恒正或恒负; ③得到 与 的大小关系后,将 置换为 ; ④根据 与 的范围,结合 的单调性,可得 与 的大小关系,由此证得结 论. 3.(2024·广东湛江·一模)已知函数 . (1)讨论 的单调性; (2)若方程 有两个根 , ,求实数a的取值范围,并证明: . 【答案】(1) 在 上单调递增, 上单调递减, (2)见解析 【分析】(1)求出 ,根据导数的符号判断函数的单调性; (2)由 ,得 ,设 ,画出 的图象可得 ;由 ,设 ,对 求导可得 ,又 ,再由 在 上单调递减,可得 ,即可证明 . 【详解】(1)由题意可得 ,所以 , 的定义域为 , 又 ,由 ,得 , 学科网(北京)股份有限公司当 时, ,则 在 上单调递增, 当 时, ,则 在 上单调递减, (2)由 ,得 ,设 , ,由 ,得 , 当 时, ,则 在 上单调递增, 当 时, ,则 在 上单调递减, 又 , ,且当 趋近于正无穷, 趋近于 , 的图象如下图, 所以当 时,方程 有两个根, 证明:不妨设 ,则 , , 设 , ,所以 在 上单调递增, 又 ,所以 ,即 , 又 ,所以 , 又 , , 在 上单调递减,所以 , 故 . 【点睛】关键点点睛:(1)解此问的关键在于求出 的导数,并能根据导数的符号结 学科网(北京)股份有限公司合相关知识判断出单调性;(2)解此问的关键在于把 转化为 来证, 又 ,构造 ,对 求导,得到 的单调性和最值可证 得 ,即可证明 . 4.(2024·全国·模拟预测)已知函数 . (1)求 的单调区间; (2)若 有两个零点 , ,且 ,求证: . 【答案】(1)答案见解析 (2)证明见解析 【分析】(1)先求出函数 的导数,然后分类讨论 的取值情况,从而可求解. (2)结合(1)中结论可知 ,从而求出 , ,然后设 并构造函数 ,然后利用导数求解 ,然后再构造函数 证明 ,从而求解. 【详解】(1)因为函数 的定义域是 , , 当 时, ,所以 在 上单调递减; 当 时,令 ,解得 , 当 时, , 单调递增;当 时, , 单调递 减. 综上所述,当 时, 的减区间为 ,无增区间; 当 时, 的增区间为 ,减区间为 . (2)因为 是函 的两个零点,由(1)知 , 因为 ,设 ,则 , 当 , ,当 , , 所以 在 上单调递增,在 上单调递减, . 又因为 ,且 , 学科网(北京)股份有限公司所以 , . 首先证明: . 由题意,得 ,设 ,则 两式相除,得 . 要证 ,只要证 ,即证 . 只要证 ,即证 . 设 , . 因为 ,所以 在 上单调递增. 所以 ,即证得 ①. 其次证明: .设 , . 因为 ,所以 在 上单调递减. 所以 , 即 . 所以 ②. 由①②可证得 . 【点睛】导数是研究函数的单调性、极值(最值)最有效的工具,而函数是高中数学中重要 的知识点,对导数的应用的考查主要从以下几个角度进行: (1)考查导数的几何意义,往往与解析几何、微积分相联系. (2)利用导数求函数的单调区间,判断单调性;已知单调性,求参数. (3)利用导数求函数的最值(极值),解决生活中的优化问题. (4)利用导数研究函数的零点问题. 5.(2024·全国·模拟预测)已知函数 , . (1)若对任意的 都有 ,求实数 的取值范围; (2)若 且 , ,证明: . 【答案】(1) (2)证明见解析 学科网(北京)股份有限公司【分析】(1)分别计算 , 的导函数,接着分析它们的单调性,求得 在 时, 的最大值为 , 的最小值为 ,问题得解; (2)先将 转化为 ,再设 ,数形结合得到 ,接着 构造函数,利用函数的单调性得到 ,最后利用放缩法证明不等式. 【详解】(1)由 , , 得 , , 当 时, , 在区间 上单调递增,当 时, , 在区 间 上单调递减,所以当 时, 的最大值为 . 当 时, , 在区间 上单调递减,当 时, , 在区 间 上单调递增,所以当 时, 的最小值为 . 所以 ,故实数 的取值范围为 . (2)由 得 ,两边取对数并整理, 得 ,即 ,即 . 由(1)知,函数 在 上单调递增,在 上单调递减, ,(技巧:注意对第(1)问结论的应用) 而 ,当 时, 恒成立,不妨设 ,则 . 记 , , 则 ,所以函数 在 上单调递增, 所以 ,即 , , 于是 , , 又 在 上单调递减,因此 ,即 , 所以 . 学科网(北京)股份有限公司【点睛】利用对称化构造的方法求解极值点偏移问题的“三步曲”: (1)求导,得到函数 的单调性、极值情况,作出函数图象,由 得到 的大致范围. (2)构造辅助函数(若要证 ,则构造函数 ;若要证 ,则构造函数 .),限定 的范围,求导,判定符号,获 得不等式. (3)代入 ,利用 及 的单调性即得所证结论. 6.(2023高三·全国·专题练习)已知函数 的图像与直线 交于不同的两点 , ,求证: . 【答案】证明见解析 【分析】利用构造函数且结合导数求解极值点偏移问题. 【详解】证明:由题意 , ,令 ,得 , 当 , ,所以 在区间 上单调递减, 当 , ,所以 在区间 上单调递增, 所以当 时, 取到极小值. 所以 与 交于不同的两点 , , 所以不妨设 ,且 , 令 ,则 ,代入上式得 ,得 , 所以 , 设 ,则 , 所以当 时, 为增函数, , 所以 , 故证: . 学科网(北京)股份有限公司【点睛】关键点睛:通过构造函数并结合函数的导数从而求解极值点偏移. 7.(2023·云南大理·模拟预测)已知函数 . (1)讨论 的极值; (2)若 (e是自然对数的底数),且 , , ,证明: . 【答案】(1)答案见解析; (2)证明见解析. 【分析】(1)根据题意,求导得 ,然后分 讨论,即可得到结果; (2)根据题意,将原式变形为 ,然后构造函数 , ,求导可得函数 在 上单调递增,即可证明. 【详解】(1)函数 的定义域为 ,求导得 , 若 ,则 ,无极值; 若 ,由 ,可得 , 若 ,当 时, ,则 单调递减,当 时, ,则 单 调递增, 此时,函数 有唯一极小值 ,无极大值; 若 ,当 时, ,则 单调递增,当 时, ,则 单 调递减, 此时,函数 有唯一极大值 ,无极小值; 所以当 时,函数 无极值; 当 时,函数 有极小值 ,无极大值; 当 时,函数 有极大值 ,无极小值; (2)证明:由 ,两边取对数可得 ,即 , 当 时, , , 由(1)可知,函数 在 上单调递增,在 上单调递减,所以 学科网(北京)股份有限公司, 而 , 时, 恒成立, 因此,当 时,存在 且 ,满足 , 若 ,则 成立; 若 ,则 , 记 , , 则 , 即有函数 在 上单调递增,所以 ,即 , 于是 ,而 , , , 函数 在 上单调递增,因此 ,即 . 【点睛】关键点睛:本题主要考查了利用导数研究函数极值问题以及极值点偏移问题,难 度较大,解决本题的关键在于构造函数 , ,结合其单调性 证明. 8.(22-23高二下·河北张家口·期末)已知函数 . (1)求函数 的单调区间和极值; (2)若方程 的两个解为 、 ,求证: . 【答案】(1)减区间为 ,增区间为 ,极小值为 ,无极大值; (2)证明见解析 【分析】(1)求出函数 的定义域与导数,利用函数的单调性、极值与导数的关系可 得出结果; (2)设 ,利用导数分析函数 的单调性与极值,分析可知 ,要证 ,即证 ,构造函数 ,其中 ,利用导数分析函数 在 上的单调性,证明出 对任意的 恒成立,即可证得结论成立. 【详解】(1)解:函数 的定义域为 ,且 , 令 可得 ,列表如下: 学科网(北京)股份有限公司减 极小值 增 所以,函数 的减区间为 ,增区间为 ,极小值为 ,无极大值. (2)解:设 ,其中 ,则 , 令 ,可得 ,此时,函数 在 上单调递减, 令 ,可得 ,此时,函数 在 上单调递增, 所以, 是函数 的极小值点, 因为函数 有两个零点 、 ,设 ,则 , 即 且 ,要证 ,即证 , 因为函数 在 上单调递增, 所以,只需证明: ,即证 , 令 ,其中 , 则 , 因为 ,则 , 所以, ,故函数 在 上为减函数, 又因为 ,所以, 对任意的 恒成立, 则 ,即 ,故 成立. 【点睛】方法点睛:证明极值点偏移的相关问题,一般有以下几种方法: (1)证明 (或 ): ①首先构造函数 ,求导,确定函数 和函数 的单调 性; ②确定两个零点 ,且 ,由函数值 与 的大小关系,得 与零进行大小比较; ③再由函数 在区间 上的单调性得到 与 的大小,从而证明相应问 题; 学科网(北京)股份有限公司(2)证明 (或 )( 、 都为正数): ①首先构造函数 ,求导,确定函数 和函数 的单调 性; ②确定两个零点 ,且 ,由函数值 与 的大小关系,得 与零进行大小比较; ③再由函数 在区间 上的单调性得到 与 的大小,从而证明相应问题; (3)应用对数平均不等式 证明极值点偏移: ①由题中等式中产生对数; ②将所得含对数的等式进行变形得到 ; ③利用对数平均不等式来证明相应的问题. 9.(21-22高三上·广东深圳·期末)已知函数 . (1)讨论函数 的单调性; (2)①证明函数 ( 为自然对数的底数)在区间 内有唯一的零点; ②设①中函数 的零点为 ,记 (其中 表示 中的较 小值),若 在区间 内有两个不相等的实数根 ,证明: . 【答案】(1)当 时, 在 上单调递增; 当 时, 在 上单调递增,在 上单调递减. (2)①证明见解析;②证明见解析; 【分析】(1)由题设有 ,讨论 、 判断 的符号,进而确 定 的单调性; (2)①由题意得 ,利用导数研究函数在 上的单调性,结合零点存在性 定理确定证明结论, ②根据题设确定函数 解析式,应用导数研究单调性,进而应用分析法:要证 学科网(北京)股份有限公司只需要证 ,构造函数 ,应用导数研究单调 性并确定 ,即可证结论. 【详解】(1)由已知 , 函数 的定义域为 ,导函数 当 时, 恒成立,所以 在 上单调递增; 当 时,令 有 , ∴当 时, , 单调递增, 当 时, , 单调递减. 综上所述: 当 时, 在 上单调递增; 当 时, 在 上单调递增,在 上单调递减. (2)① 的定义域为 ,导函数 , 当 时, ,即 在区间 内单调递增, 又 , ,且 在区间 内的图像连续不断, ∴根据零点存在性定理,有 在区间 内有且仅有唯一零点. ②当 时, ,函数 在 上单调递增, 又 , ∴当 时, ,故 ,即 ; 当 时, ,故 ,即 , ∴可得 , 当 时, ,由 得 单调递增; 当 时, ,由 得 单调递减: 学科网(北京)股份有限公司若 在区间 内有两个不相等的实数根 , , 则 , ∴要证 ,需证 ,又 , 而 在 内递减, 故需证 ,又 , 即证 ,即 下证 : 记 , , 由 知: , 记 ,则 : 当 时, ; 当 时, , 故 ,而 ,所以 , 由 ,可知 . ∴ ,即 单调递增, ∴当 时, ,即 ,故 ,得证. 【点睛】关键点点睛: (1)分类讨论参数的范围,应用导数在对应区间的符号研究函数的单调性; (2)由导数研究 在 上零点的个数,写出 解析式并判断单调性,利用分析 法:将要证明的结论转化为函数不等式恒成立. 10.(2023·北京通州·三模)已知函数 (1)已知f(x)在点(1,f(1))处的切线方程为 ,求实数a的值; (2)已知f(x)在定义域上是增函数,求实数a的取值范围. (3)已知 有两个零点 , ,求实数a的取值范围并证明 . 【答案】(1) 学科网(北京)股份有限公司(2) (3) ,证明见解析 【分析】(1)切线方程的斜率为1,所以有 ,解方程即得实数a的值; (2)依题意 在(0,+∞)上恒成立.,分参求解即可; (3)求出函数 的单调性,结合零点存在性定理即可求实数a的取值范围;通过分析 法要证明 ,只需证 ,构造函数 即可证得 【详解】(1)因为 ,所以 . 所以 ,又f(x)在点(1,f(1))处的切线方程为 , 所以 ,解得 .. (2)f(x)的定义域为(0,+∞),因为f(x)在定义域上为增函数, 所以 在(0,+∞)上恒成立. 即 恒成立. ,即 , 令 ,所以 , 时 , 时 , 所以 在 上单调递增,在 上单调递减, 所以 ,即 . (3) 定义域为 当 时, ,所以 在(0,+∞)上单调递减,不合题意. 当 时, 在(0, )上单调递减,在 上单调递增, 学科网(北京)股份有限公司所以 的最小值为 , 函数 存在两个零点的必要条件是 , 即 ,又 , 所以 在(1, )上存在一个零点( ). 当 时, ,所以 在( ,+∞)上存在一个零点, 综上函数 有两个零点,实数a的取值范围是 . 不妨设两个零点 由 ,所以 , 所以 ,所以 , 要证 , 只需证 , 只需证 , 由 , 只需证 , 只需证 , 只需证 , 令 ,只需证 , 令 , , ∴H(t)在(0,1)上单调递增,∴ , 学科网(北京)股份有限公司即 成立, 所以 成立. 【点睛】极值点偏移问题,应熟练掌握对称构造的基本方法,同时结合处理双变量问题的 常用方法比值代换的技巧. 学科网(北京)股份有限公司