当前位置:首页>文档>专题01利用导函数研究函数的切线问题(典型题型归类训练)(解析版)_2.2025数学总复习_2024年新高考资料_3.2024专项复习_解题思路训练2024年高考数学复习解答题提优秘籍(新高考专用)

专题01利用导函数研究函数的切线问题(典型题型归类训练)(解析版)_2.2025数学总复习_2024年新高考资料_3.2024专项复习_解题思路训练2024年高考数学复习解答题提优秘籍(新高考专用)

  • 2026-04-15 06:41:57 2026-03-11 02:29:38

文档预览

专题01利用导函数研究函数的切线问题(典型题型归类训练)(解析版)_2.2025数学总复习_2024年新高考资料_3.2024专项复习_解题思路训练2024年高考数学复习解答题提优秘籍(新高考专用)
专题01利用导函数研究函数的切线问题(典型题型归类训练)(解析版)_2.2025数学总复习_2024年新高考资料_3.2024专项复习_解题思路训练2024年高考数学复习解答题提优秘籍(新高考专用)
专题01利用导函数研究函数的切线问题(典型题型归类训练)(解析版)_2.2025数学总复习_2024年新高考资料_3.2024专项复习_解题思路训练2024年高考数学复习解答题提优秘籍(新高考专用)
专题01利用导函数研究函数的切线问题(典型题型归类训练)(解析版)_2.2025数学总复习_2024年新高考资料_3.2024专项复习_解题思路训练2024年高考数学复习解答题提优秘籍(新高考专用)
专题01利用导函数研究函数的切线问题(典型题型归类训练)(解析版)_2.2025数学总复习_2024年新高考资料_3.2024专项复习_解题思路训练2024年高考数学复习解答题提优秘籍(新高考专用)
专题01利用导函数研究函数的切线问题(典型题型归类训练)(解析版)_2.2025数学总复习_2024年新高考资料_3.2024专项复习_解题思路训练2024年高考数学复习解答题提优秘籍(新高考专用)
专题01利用导函数研究函数的切线问题(典型题型归类训练)(解析版)_2.2025数学总复习_2024年新高考资料_3.2024专项复习_解题思路训练2024年高考数学复习解答题提优秘籍(新高考专用)
专题01利用导函数研究函数的切线问题(典型题型归类训练)(解析版)_2.2025数学总复习_2024年新高考资料_3.2024专项复习_解题思路训练2024年高考数学复习解答题提优秘籍(新高考专用)
专题01利用导函数研究函数的切线问题(典型题型归类训练)(解析版)_2.2025数学总复习_2024年新高考资料_3.2024专项复习_解题思路训练2024年高考数学复习解答题提优秘籍(新高考专用)
专题01利用导函数研究函数的切线问题(典型题型归类训练)(解析版)_2.2025数学总复习_2024年新高考资料_3.2024专项复习_解题思路训练2024年高考数学复习解答题提优秘籍(新高考专用)
专题01利用导函数研究函数的切线问题(典型题型归类训练)(解析版)_2.2025数学总复习_2024年新高考资料_3.2024专项复习_解题思路训练2024年高考数学复习解答题提优秘籍(新高考专用)
专题01利用导函数研究函数的切线问题(典型题型归类训练)(解析版)_2.2025数学总复习_2024年新高考资料_3.2024专项复习_解题思路训练2024年高考数学复习解答题提优秘籍(新高考专用)
专题01利用导函数研究函数的切线问题(典型题型归类训练)(解析版)_2.2025数学总复习_2024年新高考资料_3.2024专项复习_解题思路训练2024年高考数学复习解答题提优秘籍(新高考专用)
专题01利用导函数研究函数的切线问题(典型题型归类训练)(解析版)_2.2025数学总复习_2024年新高考资料_3.2024专项复习_解题思路训练2024年高考数学复习解答题提优秘籍(新高考专用)
专题01利用导函数研究函数的切线问题(典型题型归类训练)(解析版)_2.2025数学总复习_2024年新高考资料_3.2024专项复习_解题思路训练2024年高考数学复习解答题提优秘籍(新高考专用)
专题01利用导函数研究函数的切线问题(典型题型归类训练)(解析版)_2.2025数学总复习_2024年新高考资料_3.2024专项复习_解题思路训练2024年高考数学复习解答题提优秘籍(新高考专用)
专题01利用导函数研究函数的切线问题(典型题型归类训练)(解析版)_2.2025数学总复习_2024年新高考资料_3.2024专项复习_解题思路训练2024年高考数学复习解答题提优秘籍(新高考专用)
专题01利用导函数研究函数的切线问题(典型题型归类训练)(解析版)_2.2025数学总复习_2024年新高考资料_3.2024专项复习_解题思路训练2024年高考数学复习解答题提优秘籍(新高考专用)
专题01利用导函数研究函数的切线问题(典型题型归类训练)(解析版)_2.2025数学总复习_2024年新高考资料_3.2024专项复习_解题思路训练2024年高考数学复习解答题提优秘籍(新高考专用)
专题01利用导函数研究函数的切线问题(典型题型归类训练)(解析版)_2.2025数学总复习_2024年新高考资料_3.2024专项复习_解题思路训练2024年高考数学复习解答题提优秘籍(新高考专用)
专题01利用导函数研究函数的切线问题(典型题型归类训练)(解析版)_2.2025数学总复习_2024年新高考资料_3.2024专项复习_解题思路训练2024年高考数学复习解答题提优秘籍(新高考专用)
专题01利用导函数研究函数的切线问题(典型题型归类训练)(解析版)_2.2025数学总复习_2024年新高考资料_3.2024专项复习_解题思路训练2024年高考数学复习解答题提优秘籍(新高考专用)
专题01利用导函数研究函数的切线问题(典型题型归类训练)(解析版)_2.2025数学总复习_2024年新高考资料_3.2024专项复习_解题思路训练2024年高考数学复习解答题提优秘籍(新高考专用)
专题01利用导函数研究函数的切线问题(典型题型归类训练)(解析版)_2.2025数学总复习_2024年新高考资料_3.2024专项复习_解题思路训练2024年高考数学复习解答题提优秘籍(新高考专用)
专题01利用导函数研究函数的切线问题(典型题型归类训练)(解析版)_2.2025数学总复习_2024年新高考资料_3.2024专项复习_解题思路训练2024年高考数学复习解答题提优秘籍(新高考专用)
专题01利用导函数研究函数的切线问题(典型题型归类训练)(解析版)_2.2025数学总复习_2024年新高考资料_3.2024专项复习_解题思路训练2024年高考数学复习解答题提优秘籍(新高考专用)
专题01利用导函数研究函数的切线问题(典型题型归类训练)(解析版)_2.2025数学总复习_2024年新高考资料_3.2024专项复习_解题思路训练2024年高考数学复习解答题提优秘籍(新高考专用)

文档信息

文档格式
docx
文档大小
1.723 MB
文档页数
27 页
上传时间
2026-03-11 02:29:38

文档内容

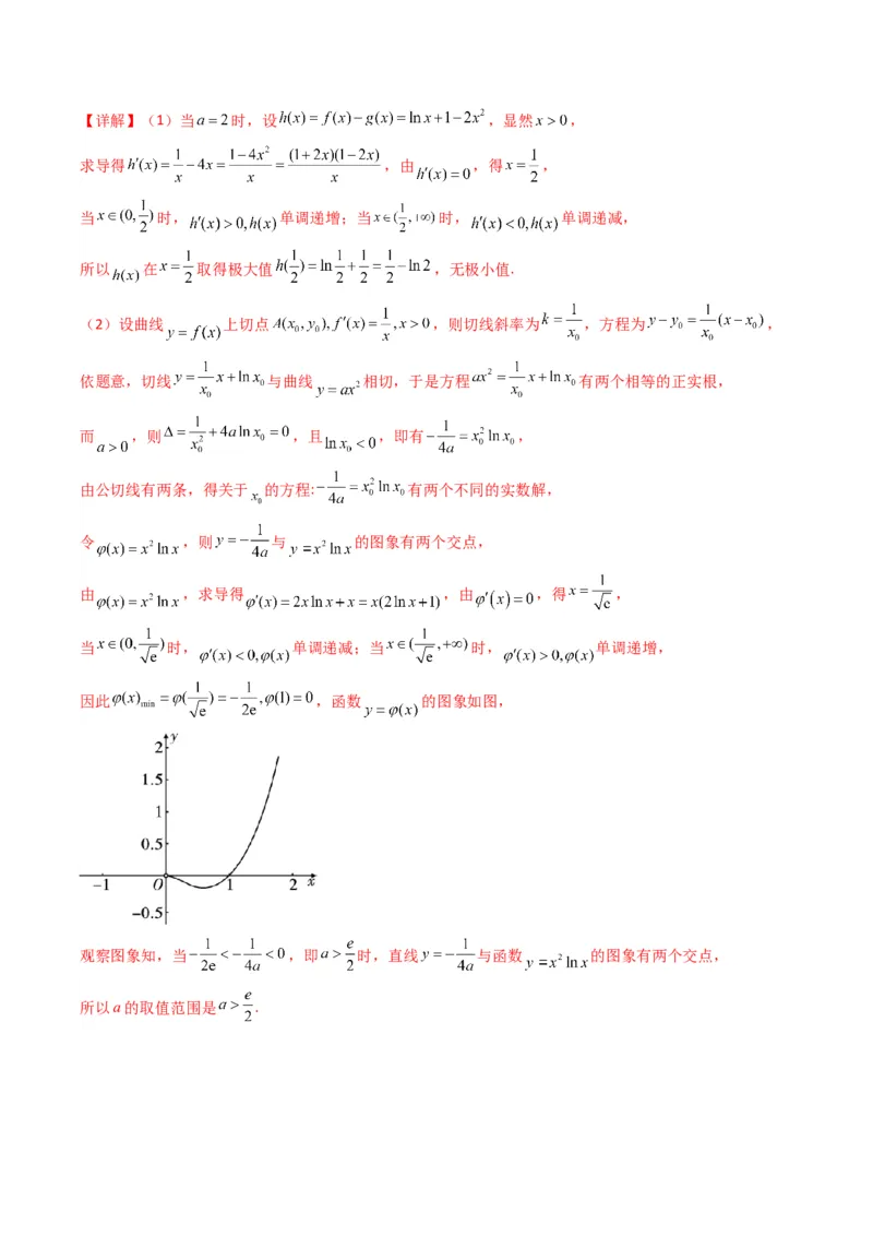
专题 01 利用导函数研究函数的切线问题 (典型题型归类训练) 目录 一、必备秘籍........................................................1 二、典型题型........................................................2 题型一:在型求切线方程...........................................2 题型二:过型求切线方程...........................................4 题型三:已知切线斜率求参数.......................................6 题型四:确定过一点可以做切线条数.................................8 题型五:已知切线条数求参数.......................................9 题型六:距离问题转化为相切问题..................................13 题型七:公切线问题..............................................14 三、专项训练.......................................................18 一、必备秘籍 1、切线的斜率:函数 在点 处的导数的几何意义,就是曲线 在点 处的 切线的斜率 ,即 . 2、曲线的切线问题(基础题) (1)在型求切线方程 已知:函数f (x)的解析式.计算:函数f (x)在 x=x 或者(x ,f(x ))处的切线方程. 0 0 0 步骤:第一步:计算切点的纵坐标 f (x )(方法:把 x=x 代入原函数f (x)中),切点(x ,f(x )). 0 0 0 0 第二步:计算切线斜率 . 第三步:计算切线方程.切线过切点(x ,f(x )),切线斜率 k=f '(x )。 0 0 0 根据直线的点斜式方程得到切线方程: y−f(x )=f '(x )(x−x ). 0 0 0(2)过型求切线方程 已知:函数f (x)的解析式.计算:过点 (无论该点是否在 上)的切线方程. 步骤:第一步:设切点 第二步:计算切线斜率 ;计算切线斜率 ; 第三步:令: ,解出 ,代入 求斜率 第四步:计算切线方程.根据直线的点斜式方程得到切线方程: . 3、已知f (x),过点 ,可作曲线的 ( )条切线问题 第一步:设切点 第二步:计算切线斜率 ; 第三步:计算切线方程.根据直线的点斜式方程得到切线方程: . 第四步:将 代入切线方程,得: ,整理成关于 得分方程; 第五步:题意已知能作几条切线,关于 的方程就有几个实数解; 4、已知f (x)和 存在 ( )条公切线问题 第一步 设f (x)的切点 设 的切点 求公切线的斜率 写出并整理切线 整理得: 整理得: 联立已知条件 消去 得到关于 的方程,再分类变量,根据题意公切线条数求交点 个数; 消去 得到关于 的方程再分类变量,根据题意公切线条数求交点个 数;二、典型题型 题型一:在型求切线方程 1.(2023下·辽宁阜新·高二校考期末)已知曲线 在 处的切线与直线 垂 直,则实数 . 【答案】-2 【详解】因为 ,定义域为 ,所以 , 所以曲线 在 处的切线斜率为 , 因为曲线 在 处的切线与直线 垂直, 所以 不符合题意,所以直线 的斜率为 , 所以 ,所以 . 故答案为: . 2.(2023上·山东德州·高三统考期中)函数 在 处的切线方程为 . (结果写成一般式) 【答案】 【详解】因为 ,所以 , 因为 ,所以 , 所以在 处的切线方程为 ,整理得 , 故答案为: . 3.(2023上·上海闵行·高三校考期中)曲线 在点 处的切线方程为 . 【答案】 【详解】∵ ,∴ ,则点 即为 . ∵ ,∴切线斜率为 , ∴切线方程为 ,即 . 故答案为: . 4.(2023·安徽·池州市第一中学校联考模拟预测)已知函数 (其中 )在 处的 切线为 ,则直线 过定点的坐标为 .【答案】 【详解】根据题意:函数 在 处有切线, 切点为 , 又 ,故切线斜率为 , 直线 的方程为 , 该直线过定点的坐标为 . 故答案为: 5.(2023·陕西宝鸡·校联考模拟预测)已知曲线 在点 处的切线与曲线 相切,则 . 【答案】 / 【详解】因为 的导数为 ,则 , 所以曲线 在 处的切线方程为 ,即 , 又切线 与曲线 相切,设切点为 , 因为 ,所以切线斜率为 ,解得 , 所以 ,则 ,解得 . 故答案为; . 题型二:过型求切线方程 1.(2022·四川广安·广安二中校考二模)函数 过点 的切线方程为( ) A. B. C. 或 D. 或 【答案】C 【详解】由题设 ,若切点为 ,则 , 所以切线方程为 ,又切线过 , 则 ,可得 或 , 当 时,切线为 ;当 时,切线为 ,整理得 . 故选:C 2.(2022下·河南洛阳·高二校联考阶段练习)已知函数 ,则曲线 过坐标原 点的切线方程为( ) A. B. C. D.【答案】C 【详解】设切点为 , ,则切线斜率为 , 所以,所求切线方程为 , 将原点坐标代入所求切线方程可得 ,即 ,解得 , 因此,所求切线方程为 . 故选:C. 3.(2023·全国·模拟预测)过原点与曲线 相切的一条切线的方程为 . 【答案】 或 或 (写出其中一条即可) 【详解】解:设曲线 表示抛物线的一部分, 设其切线方程为 ,代入 , 得 .由 ,得 . 当 时, ,符合题意, 当 时, ,均符合题意, 所以切线方程 . 设 的切线的切点为 . 由 ,得 , , 得切线方程为 . 将 的坐标代入切线方程,得 , 所以 ,所以切线方程为 . 故答案为: 或 或 (写出其中一条即可) 4.(2023下·甘肃天水·高二秦安县第一中学校考期中)曲线 在点 处切线的斜率为 ,过点 的 切线方程 . 【答案】 【详解】设 , ,解得: , ; 当 是切点时,切线方程为: ,即 ;当 不是切点时,设切点坐标为 , 则在点 处的切线方程为: , 代入点 得: , , 解得: , 切点为 ,与 重合,不合题意; 综上所述:切线方程为 . 故答案为: . 5.(2023下·四川绵阳·高二期末)过点 作曲线 的切线,则切线方程为 . 【答案】 【详解】因为点 不在曲线上,设切点 ,且 ,则 ,① 又 ,则切线斜率为 ,② 由①②解得 , ,所以 ,切线的斜率为 , 切线方程为 ,即 . 故答案为: . 题型三:已知切线斜率求参数 1.(2023下·辽宁阜新·高二校考期末)若直线 与曲线 相切,则实数a的值为 ( ) A. B.0 C. D. 【答案】A 【详解】 ,则 , 设直线l与曲线 的切点 ,则直线l的斜率 , 由于直线 斜率为 ,则 ,解得 ,所以 ,即切点为 , 故 ,解得 . 故选:A. 2.(2023上·贵州六盘水·高三校联考阶段练习)已知直线 与曲线 相切,则 ( ) A.1 B.2 C. D. 【答案】B 【详解】设切点为 , ,故斜率为 , 则切线方程为 , 整理得 , 所以 ,解得 . 故选:B 3.(2023上·辽宁·高三校考阶段练习)函数 ( 、 )在点 处的切线斜率为 ,则 的最小值为( ) A. B. C. D. 【答案】C 【详解】 的定义域为R, , 又 在点 处的切线斜率为 ,∴ , ∴ , 当且仅当 ,即 , 时,“ ”成立, ∴ 的最小值为 . 故选:C. 4.(2023上·青海西宁·高三统考开学考试)已知直线 与曲线 相切,则 的最小值 为( ) A. B. C. D. 【答案】A【详解】设切点为 ,则 ,解得 , 所以 .令 ,所以 , 令 ,解得 ,令 ,解得 , 所以 在 上单调递减,在 上单调递增,所以 . 故选:A 5.(2023上·天津·高三统考期中)已知函数 ,若曲线 的一条切线的方程为 ,则 . 【答案】3 【详解】设切点坐标为 ,易知 , 则 ,由切线方程为 可得 , 即 ,解得 ,即切点坐标为 , 将 代入切线方程可得 ,解得 . 故答案为:3 题型四:确定过一点可以做切线条数 1.(2023上·湖北·高三鄂南高中校联考期中)函数 为 上的奇函数,过点 作曲线 的切线,可作切线条数为( ) A.1 B.2 C.3 D.不确定 【答案】A 【详解】 ,故 , , , , 设切点为 ,则 ,且 , 整理得到 ,解得 , , 故切线方程为 , 故选:A2.(2021下·北京·高二校考期中)已知函数 ,则曲线 过点 的切线有 ( ) A.0条 B.1条 C.2条 D.3条 【答案】C 【详解】设切点为A ,直线AP的斜率为k,则 , 又 , , ∴ 又方程 的判别式为 ,且 , ∴ 方程 有两个不同的解, ∴ 曲线 过点 的切线有两条, 故选:C. 3.(2021下·湖南·高二校联考阶段练习)经过点 作曲线 的切线有( ) A.1条 B.2条 C.3条 D.4条 【答案】C 【详解】因为 , 设切点为 ,所以曲线 在点 处的切线方程为 . 将 代入,得 即: 或 , 所以 ,此时,切点为 ; 或 因为 ,所以方程 有两个不同的根,且根不为0,所以方程 共有3个 不同的根,即经过点 作曲线 的切线有3条. 故选:C. 4.(2019上·四川内江·高三统考阶段练习)已知曲线 ,则过点 可向 引切线,其切线 条数为( ) A. B. C. D. 【答案】C 【详解】设在曲线 上的切点为 , ,则 , 所以,曲线 在点 处的切线方程为 ,将点 的坐标代入切线方程得 ,即 , 解得 , , . 因此,过点 可向 引切线,有三条. 故选:C. 题型五:已知切线条数求参数 1.(2023·湖南·校联考二模)若经过点 可以且仅可以作曲线 的一条切线,则下列选项正确的 是( ) A. B. C. D. 或 【答案】D 【详解】设切点 .因为 ,所以 , 所以点 处的切线方程为 , 又因为切线经过点 ,所以 ,即 . 令 ,则 与 有且仅有1个交点, , 当 时, 恒成立,所以 单调递增,显然 时, ,于是符合题意; 当 时,当 时, , 递减,当 时, , 递增,所以 , 则 ,即 . 综上, 或 . 故选:D 2.(2023下·陕西汉中·高二校联考期中)过点 作曲线 切线有且只有两条,则b的取值范围为 ( ) A. B. C. D. 【答案】A 【详解】设切点为 , 由 ,则 ,所以过 的切线方程为 ,即 , 故 有且仅有两根, 设 ,则 , 当 时, ,此时 单调递增; 当 , ,此时 单调递减, 又当 时, , , , 所以 的图象如下: 故 有且仅有两根,则b的取值范围为 . 故选:A. 3.(2023·全国·校联考二模)若曲线 有三条过点 的切线,则实数 的取值范围为( ) A. B. C. D. 【答案】B 【详解】设该切线的切点为 ,则切线的斜率为 , 所以切线方程为 , 又切线过点 ,则 ,整理得 . 要使过点 的切线有3条,需方程 有3个不同的解, 即函数 图象与直线 在R上有3个交点, 设 ,则 , 令 ,令 或 , 所以函数 在 上单调递增,在 和 上单调递减,且极小值、极大值分别为 ,如图, 由图可知,当 时,函数 图象与直线 在R上有3个交点, 即过点 的切线有3条. 所以实数a的取值范围为 . 故选:B. 4.(2022上·山西运城·高三校考阶段练习)若过点 可以作曲线 的两条切线,则( ) A. B. C. D. 【答案】B 【详解】设曲线 在点 处的切线为 , 由 可知直线 的斜率为 , 故直线 的方程为 , 将 代入直线 可得关于 的方程 具有两个不相等的正数解, 构造函数 , 则 , 当 时, 单调递减; 当 时, 单调递增, 且当 时, ; ,当 ,即 时, , 即当 时, ; 故为了使方程 有两个不相等的正数解, 则须使 .故选:B. 5.(2022上·重庆·高三校联考阶段练习)已知函数 ,若过点 能作三条直线与 的图像相切,则实数 的取值范围是( ) A. B. C. D. 【答案】D 【详解】由已知: ,故 ,设切点为 根据导数的几何意义,知切线斜率为 ,切线方程为 , 将 点坐标代入切线方程可得 化简可得 即函数 与函数 有三个不同的交点. 故 , 当 时, ,函数 单调递减; 当 时, ,函数 单调递增; 当 时, ,函数 单调递减. 则当 时, 有极小值 , 当 时, 有极大值 . 所以 的取值范围为 . 故选:D. 题型六:距离问题转化为相切问题 1.(2022上·四川成都·高三校联考阶段练习)曲线 上的点到直线 的距离的最小值为 ( ) A. B.2 C. D.4 【答案】C 【详解】设与已知直线平行且与曲线相切的直线为 , 则 ,解得 , 所以切点为 ,代入切线方程,可得 ,即切线为 ,由两平行线间的距离 , 所以最小值为 , 故选:C. 2.(2023上·湖南长沙·高三长郡中学校考阶段练习)若实数 满足 ,则 的最小值是( ) A.8 B.9 C.10 D.11 【答案】A 【详解】由 ,得 ,令 ,则 , 令 得 ,当 时, 单调递减,当 时, 单调递 增; 由 ,得 ,令 , 的图像如下图: 则 表示 上一点 与 上一点 的距离的平方, 显然,当过M点的 的切线与 平行时, 最小, 设 上与 平行的切线的切点为 ,由 ,解得 , 所以切点为 ,切点到 的距离的平方为 , 即 的最小值为8; 故选:A. 3.(2023下·广西河池·高二校联考期中)若点P是曲线 上任意一点,则点P到直线 的 最小距离为( )A. B.1 C. D. 【答案】A 【详解】 点 是曲线 上的任意一点,设 , 令 ,解得 1或 (舍去), ,此时 , ∴曲线上与直线 平行的切线的切点为 , 点 到直线 的最小距离 . 故选:A. 题型七:公切线问题 1.(2023上·湖北荆州·高三荆州中学校考阶段练习)若曲线 与曲线 有公切 线,则实数 的取值范围是( ) A. B. C. D. 【答案】A 【详解】设公切线与函数 切于点 , 由 ,得 ,所以公切线的斜率为 , 所以公切线方程为 ,化简得 , 设公切线与函数 切于点 , 由 ,得 ,则公切线的斜率为 , 所以公切线方程为 ,化简得 , 所以 ,消去 ,得 , 由 ,得 , 令 ,则 , 所以 在 上递减, 所以 ,所以由题意得 , 即实数 的取值范围是 , 故选:A 2.(2023·全国·模拟预测)试写出曲线 与曲线 的一条公切线方程 . 【答案】 或 (写出一个即可) 【详解】设公切线 与曲线 切于点 , 与曲线 切于点 . 由 ,得 .由 ,得 . 令 ,即 ,则 , 且 , 即 , 化为 , 所以 ,解得 或 . 当 时, , , 此时切线 的方程为 ,即 . 当 时, , , 此时切线 的方程为 ,即 . 综上可知,切线 的方程为 或 ,写出任意一个即可. 故答案为: 或 ,写出任意一个即可. 3.(湖北省武汉市部分学校2023-2024学年高三上学期11月调研考试数学试题)写出曲线 与 的一条公切线方程: . 【答案】 (或 )(答案不唯一) 【详解】设公切线与曲线 相切的切点为 ,与曲线 相切的切点为 , 由 ,求导得 ,由 ,求导得 ,于是 ,即有 ,公切线方程为 , 显然该切线过点 ,因此 , 整理得 ,即 ,解得 或 , 当 时, ,公切线方程为 ,当 时, ,公切线方程为 . 故答案为: 4.(2023·全国·高三专题练习)若两曲线 与 存在公切线,则正实数a的取值范围是 . 【答案】 【详解】由题可知, , , 设与曲线 相切的切点为 ,与 相切的切点为 , 则有公共切线斜率为 ,则 , , 又 , ,可得 , 即有 ,即 , 可得 , , 设 , , , 可得 时, , 在 上单调递增, 当 时, , 在 上单调递减, , 可得 处 取得极大值,且为最大值 , 则正实数a的取值范围 , 故答案为: 5.(2023上·重庆·高三重庆巴蜀中学校考阶段练习)已知函数 (1)当 时, 求 的极值; (2)若曲线 与曲线 存在2 条公切线, 求a的取值范围. 【答案】(1)极大值为 ,无极小值; (2) .【详解】(1)当 时,设 ,显然 , 求导得 ,由 ,得 , 当 时, 单调递增;当 时, 单调递减, 所以 在 取得极大值 ,无极小值. (2)设曲线 上切点 ,则切线斜率为 ,方程为 , 依题意,切线 与曲线 相切,于是方程 有两个相等的正实根, 而 ,则 ,且 ,即有 , 由公切线有两条,得关于 的方程: 有两个不同的实数解, 令 ,则 与 的图象有两个交点, 由 ,求导得 ,由 ,得 , 当 时, 单调递减;当 时, 单调递增, 因此 ,函数 的图象如图, 观察图象知,当 ,即 时,直线 与函数 的图象有两个交点, 所以a的取值范围是 .三、专项训练 1.(2024上·广东广州·高三统考阶段练习)已知曲线 在点 处的切线的倾斜角为 ,则 ( ) A. B. C.-2 D. 【答案】B 【详解】由题意知 在曲线 上,所以 . 又 ,所以曲线 在点 处的切线的斜率为 . 又因为曲线 在点 处切线的倾斜角为 ,所以切线的斜率为1. 故而 .由 解得 ,所以 . 故选:B 2.(2024上·内蒙古赤峰·高三统考开学考试)函数 的图象在点 处的切线方程为 ( ) A. B. C. D. 【答案】D 【详解】∵ ,∴ ,∴ , , ∴所求的切线方程为 ,即 . 故选:D 3.(2023下·高二课时练习)若曲线 在点 处的切线方程为 ,则( ) A. B. C. D. 不存在 【答案】A 【详解】由切线方程可以看出其斜率是2,又曲线在该点处的切线的斜率就是函数在该点处的导数, 即 故选:A 4.(2023上·江苏·高三江苏省白蒲高级中学校联考阶段练习)若直线 是曲线 的一条切线,则 的最小值为( ) A. B. C. ln 2 D. 【答案】B 【详解】设直线 与曲线 相切的切点为 ,由 求导得 , 于是 ,则 , , 设 ,求导得 , 当 时, ,函数 递减,当 时, ,函数 递增, 因此当 时, , 所以 的最小值为 . 故选:B 5.(2023·全国·模拟预测)已知函数 ,过点 可作曲线 的切线条数为( ) A.1 B.2 C.3 D.4 【答案】B 【详解】解法一 由 ,得 .设切点坐标为 , 则切线方程为 , 把 代入可得 ,即 , 因为 ,所以该方程有2个不同的实数解,故切线有2条. 解法二 由 ,得 ,令 ,得 . 当 时, ,当 时, , 故 在 上单调递减,在 上单调递增, 故 的极小值为 ,且 ,则点 在曲线 的下方,数形结合可知,过点 可作曲线 的2条切线. 故选:B 6.(2023·海南·校联考模拟预测)已知函数 ,过点 作曲线 的两条切线,切 点分别为 和 ,若 ,则实数 ( ) A.0 B.1 C.2 D.3 【答案】B 【详解】由题意知 , 因为 与曲线 相切, 所以 ,整理得 , 同理 , 则 , 是方程 的两个实数根, 所以 , 所以 . 故选: . 7.(2023·四川绵阳·统考模拟预测)若函数 与函数 的图象在公共点处有相同 的切线,则实数 ( ) A. B. C. D. 【答案】B 【详解】设函数 与函数 的图象公共点坐标为 , 求导得 ,依题意, ,于是 , 令函数 ,显然函数 在 上单调递增,且 ,则当 时, ,因此在 中, ,此时 ,经检验 符合题意, 所以 . 故选:B 8.(2023上·四川·高三校联考阶段练习)若点 是曲线 上任意一点,则点 到直线 距离的最小值为( ) A. B. C. D. 【答案】B 【详解】过点 作曲线 的切线,当切线与直线 平行时,点 到直线 的距离最小, 设切点为 , 则 , 因为 ,所以切线斜率为 , 由题知 ,解得 或 (舍), 所以 ,此时点 到直线 的距离 , 故选:B. 9.(2023上·四川成都·高三校联考阶段练习)过点 作曲线 的两条切线,切点分别为 , ,则 ( ) A. B. C.1 D.2 【答案】A 【详解】由 ,得 , 设切点坐标为 , 则 , 切线方程为 , 将 代入可得 ,即 , 依题意关于 的方程 有两个不同的解 、 , 即关于 的方程 有两个不同的解 、 , . 故选:A.二、多选题 10.(2023下·高二课时练习)若曲线 在点 处的切线方程是 ,则( ) A. B. C. D. 【答案】AD 【详解】因为点 在直线 上,所以 . 由 ,则求导可得 , 所以在点 处的切线的斜率为 . 故选:AD. 11.(2023上·福建福州·高三校联考期中)已知直线l与曲线 相切,则下列直线中可能与l 平行的是( ) A. B. C. D. 【答案】ACD 【详解】 , ,则 ,当且仅当 即 等号成立, 根据导数的几何意义知,切线的斜率 ,因为切线与直线l平行,所以l的斜率 , 选项A中直线的斜率为 ,符合题意; 选项B中直线的斜率为 ,不符合题意; 选项C中直线的斜率为 ,符合题意; 选项D中直线的斜率为 ,符合题意; 故选:ACD. 12.(2023上·重庆荣昌·高三重庆市荣昌中学校校考阶段练习)若过点 可以作三条直线与函数 相切,则实数a的值可能是( ) A.2 B.3 C.4 D.5 【答案】CD 【详解】设切点 , 由函数 ,可得 , 则切线的斜率为 , 所以切线方程为 , 因为点 在切线上,可得 , 即 ,又因为过点 可以作三条直线与函数 相切, 即方程 有三个不同的实数解,且 不是方程的解, 即 有三个不同的实数解, 令 ,可得 , 当 时, , 单调递增; 当 时, , 单调递减; 时, , 单调递增, 又由 ,且当 时, ,当 时, , 当 , 所以实数 的取值范围为 ,结合选项C、D符合题意. 故选:CD. 三、填空题 13.(2024上·重庆·高三校联考阶段练习)已知函数 在点 处的切线与直线 平行,则实数 . 【答案】 【详解】由题设 ,则 ,故 . 故答案为: 14.(2023·湖北·武汉市第三中学校联考一模)若函数 在 处的切线与 的 图像有三个公共点,则 的取值范围 . 【答案】【详解】当 时, ,所以切点的坐标为 , 当 时, , ,所以切线的斜率 , 所以切线 的方程为: 而 ,即 过点 当切线 过点 时,切线与 函数 的图象有三个公共点, 将 代入切线方程得: ,得 当切线 与 相切时,切线 与数 的图象只有两个公点, 设切线 : 与 在 处相切, 由 ,得 , 所以 ,得 , ,所以切点坐标为 代入切线 : ,得 , 因此在 处的切线与 的图像有三个公共点时, 的取值范围为: . 故答案为: . 四、单空题 15.(2023下·高二课时练习)已知函数 是曲线 的一条切线,则 . 【答案】 /【详解】设切点为 ,∵ ,∴ ,∴ , ∴切线方程为 ,又点 在曲线 上, ∴ ,∴ ,∴ ,∴ . 故答案为: 五、问答题 16.(2023上·江苏淮安·高三淮阴中学校联考阶段练习)已知函数 , . (1)求 的单调区间; (2)当 时, 与 有公切线,求实数 的取值范围. 【答案】(1)答案见解析 (2) 【详解】(1)解:由函数 ,可得 , 当 时,可得 时, , 单调递减, 时, , 单调递增; 当 时,可得 时, , 单调递增, 时, , 单调递减. (2)解:设公切线与 和 的切点分别为 , 可得 ,可得切线方程为 , 即 ,即 由 ,可得 ,则 ,所以切线方程为 所以 ,可得 , 设 ,可得 , 当 时, , 单调递增; 当 时, , 单调递减, 所以,当 时,函数 取得极大值,极大值为 ,又由当 时, ;当 时, , 所以 ,所以 时,即实数 的取值范围为 .