当前位置:首页>文档>专题3-9利用导函数研究极值点偏移问题(解析版)_2.2025数学总复习_2023年新高考资料_二轮复习_2023年高考数学二轮热点题型归纳演练(新高考专用)

专题3-9利用导函数研究极值点偏移问题(解析版)_2.2025数学总复习_2023年新高考资料_二轮复习_2023年高考数学二轮热点题型归纳演练(新高考专用)

  • 2026-03-19 08:12:14 2026-03-17 15:08:32

文档预览

专题3-9利用导函数研究极值点偏移问题(解析版)_2.2025数学总复习_2023年新高考资料_二轮复习_2023年高考数学二轮热点题型归纳演练(新高考专用)
专题3-9利用导函数研究极值点偏移问题(解析版)_2.2025数学总复习_2023年新高考资料_二轮复习_2023年高考数学二轮热点题型归纳演练(新高考专用)
专题3-9利用导函数研究极值点偏移问题(解析版)_2.2025数学总复习_2023年新高考资料_二轮复习_2023年高考数学二轮热点题型归纳演练(新高考专用)
专题3-9利用导函数研究极值点偏移问题(解析版)_2.2025数学总复习_2023年新高考资料_二轮复习_2023年高考数学二轮热点题型归纳演练(新高考专用)
专题3-9利用导函数研究极值点偏移问题(解析版)_2.2025数学总复习_2023年新高考资料_二轮复习_2023年高考数学二轮热点题型归纳演练(新高考专用)
专题3-9利用导函数研究极值点偏移问题(解析版)_2.2025数学总复习_2023年新高考资料_二轮复习_2023年高考数学二轮热点题型归纳演练(新高考专用)
专题3-9利用导函数研究极值点偏移问题(解析版)_2.2025数学总复习_2023年新高考资料_二轮复习_2023年高考数学二轮热点题型归纳演练(新高考专用)
专题3-9利用导函数研究极值点偏移问题(解析版)_2.2025数学总复习_2023年新高考资料_二轮复习_2023年高考数学二轮热点题型归纳演练(新高考专用)
专题3-9利用导函数研究极值点偏移问题(解析版)_2.2025数学总复习_2023年新高考资料_二轮复习_2023年高考数学二轮热点题型归纳演练(新高考专用)
专题3-9利用导函数研究极值点偏移问题(解析版)_2.2025数学总复习_2023年新高考资料_二轮复习_2023年高考数学二轮热点题型归纳演练(新高考专用)
专题3-9利用导函数研究极值点偏移问题(解析版)_2.2025数学总复习_2023年新高考资料_二轮复习_2023年高考数学二轮热点题型归纳演练(新高考专用)
专题3-9利用导函数研究极值点偏移问题(解析版)_2.2025数学总复习_2023年新高考资料_二轮复习_2023年高考数学二轮热点题型归纳演练(新高考专用)
专题3-9利用导函数研究极值点偏移问题(解析版)_2.2025数学总复习_2023年新高考资料_二轮复习_2023年高考数学二轮热点题型归纳演练(新高考专用)
专题3-9利用导函数研究极值点偏移问题(解析版)_2.2025数学总复习_2023年新高考资料_二轮复习_2023年高考数学二轮热点题型归纳演练(新高考专用)
专题3-9利用导函数研究极值点偏移问题(解析版)_2.2025数学总复习_2023年新高考资料_二轮复习_2023年高考数学二轮热点题型归纳演练(新高考专用)
专题3-9利用导函数研究极值点偏移问题(解析版)_2.2025数学总复习_2023年新高考资料_二轮复习_2023年高考数学二轮热点题型归纳演练(新高考专用)
专题3-9利用导函数研究极值点偏移问题(解析版)_2.2025数学总复习_2023年新高考资料_二轮复习_2023年高考数学二轮热点题型归纳演练(新高考专用)
专题3-9利用导函数研究极值点偏移问题(解析版)_2.2025数学总复习_2023年新高考资料_二轮复习_2023年高考数学二轮热点题型归纳演练(新高考专用)
专题3-9利用导函数研究极值点偏移问题(解析版)_2.2025数学总复习_2023年新高考资料_二轮复习_2023年高考数学二轮热点题型归纳演练(新高考专用)
专题3-9利用导函数研究极值点偏移问题(解析版)_2.2025数学总复习_2023年新高考资料_二轮复习_2023年高考数学二轮热点题型归纳演练(新高考专用)
专题3-9利用导函数研究极值点偏移问题(解析版)_2.2025数学总复习_2023年新高考资料_二轮复习_2023年高考数学二轮热点题型归纳演练(新高考专用)
专题3-9利用导函数研究极值点偏移问题(解析版)_2.2025数学总复习_2023年新高考资料_二轮复习_2023年高考数学二轮热点题型归纳演练(新高考专用)
专题3-9利用导函数研究极值点偏移问题(解析版)_2.2025数学总复习_2023年新高考资料_二轮复习_2023年高考数学二轮热点题型归纳演练(新高考专用)
专题3-9利用导函数研究极值点偏移问题(解析版)_2.2025数学总复习_2023年新高考资料_二轮复习_2023年高考数学二轮热点题型归纳演练(新高考专用)
专题3-9利用导函数研究极值点偏移问题(解析版)_2.2025数学总复习_2023年新高考资料_二轮复习_2023年高考数学二轮热点题型归纳演练(新高考专用)
专题3-9利用导函数研究极值点偏移问题(解析版)_2.2025数学总复习_2023年新高考资料_二轮复习_2023年高考数学二轮热点题型归纳演练(新高考专用)
专题3-9利用导函数研究极值点偏移问题(解析版)_2.2025数学总复习_2023年新高考资料_二轮复习_2023年高考数学二轮热点题型归纳演练(新高考专用)
专题3-9利用导函数研究极值点偏移问题(解析版)_2.2025数学总复习_2023年新高考资料_二轮复习_2023年高考数学二轮热点题型归纳演练(新高考专用)
专题3-9利用导函数研究极值点偏移问题(解析版)_2.2025数学总复习_2023年新高考资料_二轮复习_2023年高考数学二轮热点题型归纳演练(新高考专用)
专题3-9利用导函数研究极值点偏移问题(解析版)_2.2025数学总复习_2023年新高考资料_二轮复习_2023年高考数学二轮热点题型归纳演练(新高考专用)
专题3-9利用导函数研究极值点偏移问题(解析版)_2.2025数学总复习_2023年新高考资料_二轮复习_2023年高考数学二轮热点题型归纳演练(新高考专用)
专题3-9利用导函数研究极值点偏移问题(解析版)_2.2025数学总复习_2023年新高考资料_二轮复习_2023年高考数学二轮热点题型归纳演练(新高考专用)
专题3-9利用导函数研究极值点偏移问题(解析版)_2.2025数学总复习_2023年新高考资料_二轮复习_2023年高考数学二轮热点题型归纳演练(新高考专用)
专题3-9利用导函数研究极值点偏移问题(解析版)_2.2025数学总复习_2023年新高考资料_二轮复习_2023年高考数学二轮热点题型归纳演练(新高考专用)
专题3-9利用导函数研究极值点偏移问题(解析版)_2.2025数学总复习_2023年新高考资料_二轮复习_2023年高考数学二轮热点题型归纳演练(新高考专用)
专题3-9利用导函数研究极值点偏移问题(解析版)_2.2025数学总复习_2023年新高考资料_二轮复习_2023年高考数学二轮热点题型归纳演练(新高考专用)
专题3-9利用导函数研究极值点偏移问题(解析版)_2.2025数学总复习_2023年新高考资料_二轮复习_2023年高考数学二轮热点题型归纳演练(新高考专用)
专题3-9利用导函数研究极值点偏移问题(解析版)_2.2025数学总复习_2023年新高考资料_二轮复习_2023年高考数学二轮热点题型归纳演练(新高考专用)
专题3-9利用导函数研究极值点偏移问题(解析版)_2.2025数学总复习_2023年新高考资料_二轮复习_2023年高考数学二轮热点题型归纳演练(新高考专用)
专题3-9利用导函数研究极值点偏移问题(解析版)_2.2025数学总复习_2023年新高考资料_二轮复习_2023年高考数学二轮热点题型归纳演练(新高考专用)
专题3-9利用导函数研究极值点偏移问题(解析版)_2.2025数学总复习_2023年新高考资料_二轮复习_2023年高考数学二轮热点题型归纳演练(新高考专用)
专题3-9利用导函数研究极值点偏移问题(解析版)_2.2025数学总复习_2023年新高考资料_二轮复习_2023年高考数学二轮热点题型归纳演练(新高考专用)
专题3-9利用导函数研究极值点偏移问题(解析版)_2.2025数学总复习_2023年新高考资料_二轮复习_2023年高考数学二轮热点题型归纳演练(新高考专用)
专题3-9利用导函数研究极值点偏移问题(解析版)_2.2025数学总复习_2023年新高考资料_二轮复习_2023年高考数学二轮热点题型归纳演练(新高考专用)
专题3-9利用导函数研究极值点偏移问题(解析版)_2.2025数学总复习_2023年新高考资料_二轮复习_2023年高考数学二轮热点题型归纳演练(新高考专用)
专题3-9利用导函数研究极值点偏移问题(解析版)_2.2025数学总复习_2023年新高考资料_二轮复习_2023年高考数学二轮热点题型归纳演练(新高考专用)
专题3-9利用导函数研究极值点偏移问题(解析版)_2.2025数学总复习_2023年新高考资料_二轮复习_2023年高考数学二轮热点题型归纳演练(新高考专用)
专题3-9利用导函数研究极值点偏移问题(解析版)_2.2025数学总复习_2023年新高考资料_二轮复习_2023年高考数学二轮热点题型归纳演练(新高考专用)
专题3-9利用导函数研究极值点偏移问题(解析版)_2.2025数学总复习_2023年新高考资料_二轮复习_2023年高考数学二轮热点题型归纳演练(新高考专用)
专题3-9利用导函数研究极值点偏移问题(解析版)_2.2025数学总复习_2023年新高考资料_二轮复习_2023年高考数学二轮热点题型归纳演练(新高考专用)

文档信息

文档格式
docx
文档大小
2.573 MB
文档页数
50 页
上传时间
2026-03-17 15:08:32

文档内容

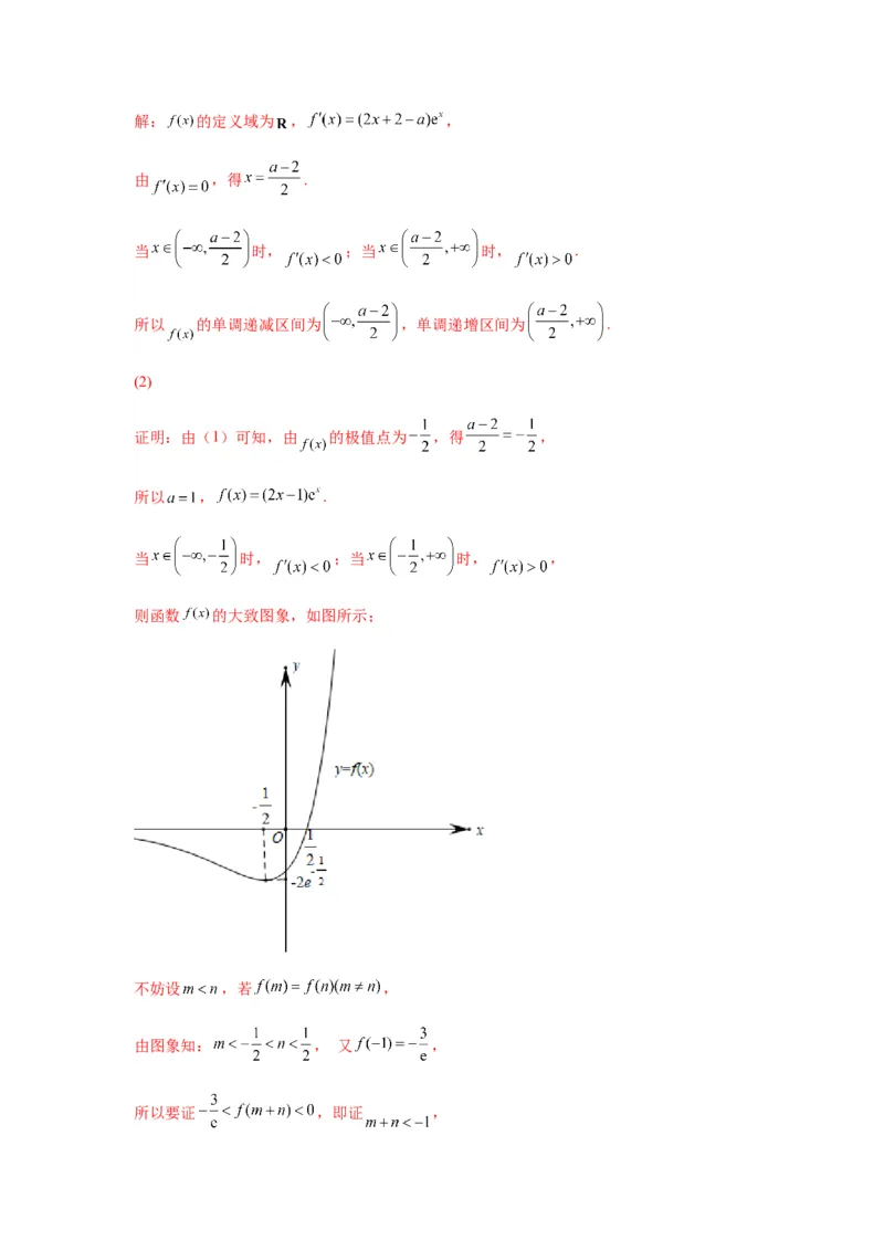
专题 3-9 利用导函数研究极值点偏移问题 目录 专题3-9利用导函数研究极值点偏移问题.....................................................................................1 ..................................................................................1 题型一:对称化构造.........................................................................................................................1 题型二:比值代换法.......................................................................................................................13 题型三:对数均值不等式法...........................................................................................................22 .............................................................29 题型一:对称化构造 【典例分析】 例题1.(2022·江苏南通·高三期中)已知 ,其极小值为-4. (1)求 的值; (2)若关于 的方程 在 上有两个不相等的实数根 , ,求证: . 【答案】(1)3 (2)证明见解析 【详解】(1)因为 ,所以 . 当 时, ,所以 单调递增,没有极值,舍去. 当 时,在区间 上, , 单调递增, 在区间 上, , 单调递减, 在区间 上, , 单调递增, 所以当 时, 的极小值为 ,舍去 当 时,在区间 上, , 单调递增, 在区间 上, , 单调递减, 在区间 上, , 单调递增, 所以当 时, 的极小值为 . 所以 . (2)由(1)知,在区间 上, , 单调递增, 在区间 上, , 单调递减, 在区间 上, , 单调递增, 所以不妨设 . 下面先证 . 即证 ,因为 ,所以 , 又因为区间 上, 单调递减, 只要证 ,又因为 ,只要证 ,只要证 . 设 , 则 , 所以 单调递增, 所以 ,所以 . 下面证 . 设 ,因为 , 在区间 上, ;在区间 上, . 设 , ,因为 , 所以 ,所以 . 设 , ,因为 , 所以 ,所以 . 因为 ,所以 , 所以 . 【点睛】极值点偏移问题中(极值点为 ),证明 或 的方法: ①构造 , ②确定 的单调性, ③结合特殊值得到 或 ,再利用 ,得到 与 的大小关系, ④利用 的单调性即可得到 或 .例题2.(2022·北京市房山区良乡中学高三期中)已知函数 (1)求函数 单调区间; (2)设函数 ,若 是函数 的两个零点, ①求 的取值范围; ②求证: . 【答案】(1)单调递增区间为 ;单调递减区间为 (2)① ;②证明见解析 【详解】(1) 定义域为 , , 当 时, ;当 时, ; 的单调递增区间为 ;单调递减区间为 . (2)①若 是 的两个不同零点,则 与 在 上有两个不同 交点; 由(1)知: ,又 , 在 的图象如下图所示,由图象可知: , ,即 的取值范围为 . ②不妨设 ,由①知: , , , 在 上单调递增,在 上单调递减; 设 ,则 , 在 上单调递减, , , 又 , ,又 , ; , , 在 上单调递增, ,则 . 【点睛】方法点睛:处理极值点偏移问题中的类似于 ( )的问题的基 本步骤如下: ①求导确定 的单调性,得到 的范围; ②构造函数 ,求导后可得 恒正或恒负; ③得到 与 的大小关系后,将 置换为 ; ④根据 与 所处的范围,结合 的单调性,可得到 与 的大小关系,由此证得结 论.【提分秘籍】 主要用来解决与两个极值点之和,积相关的不等式的证明问题.其解题要点如下: (1)定函数(极值点为 ),即利用导函数符号的变化判断函数的单调性,进而确定函数的 极值点 . (2)构造函数,即对结论 型,构造函数 或 ; (3)对结论 型,构造函数 ,通过研究 的单调性获得 不等式. (4)判断单调性,即利用导数讨论 的单调性. (5)比较大小,即判断函数 在某段区间上的正负,并得出 与 的大小 关系. (6)转化,即利用函数 的单调性,将 与 的大小关系转化为 与 之间的关系,进而得到所证或所求. 【变式演练】 1.(2022·福建·厦门外国语学校高二期末)已知函数 (1)若对任意的 ,都有 恒成立,求实数 的取值范围; (2)设 是两个不相等的实数,且 .求证: 【答案】(1) (2)证明见解析 (1) 当 时, ,因为 ,所以 ,即 ,不符合题意; 当 时, , 当 时, ,当 时, , 所以 在 上单调递增,在 上单调递减. 所以 . 由 恒成立可知 ,所以 . 又因为 ,所以 的取值范围为 . (2) 因为 ,所以 ,即 . 令 ,由题意可知,存在不相等的两个实数 , ,使得 . 由(1)可知 在区间 上单调递增,在区间 上单调递减. 不妨设 ,则 . 设 , 则 , 所以 在 上单调递增, 所以 ,即 在区间 上恒成立. 因为 ,所以 . 因为 ,所以 . 又因为 , ,且 在区间 上单调递增,所以 ,即 . 2.(2022·全国·高三专题练习)已知函数 . (1)求 的极值. (2)若 , ,证明: . 【答案】(1)极大值为 , 的极小值为 (2)证明见解析 (1) (1)由题意可得 . 当 或 时, ;当 时, . 所以 在 与 上单调递增,在 上单调递减. 故 的极大值为 , 的极小值为 . (2) 证明:由(1)可知 . 设 , , 则 . 设 ,则 . 因为 ,所以 在 上恒成立,即 在 上单调递增, 因为 ,所以 在 上恒成立,即 在 上单调递增,因为 ,所以 在 上恒成立. 因为 ,所以 , 因为 ,所以 . 由(1)可知 在 上单调递增,且 , , 则 ,即 . 3.(2022·河北·开滦第二中学高二期末)设函数 . (1)当 有极值时,若存在 ,使得 成立,求实数 的取值范围; (2)当 时,若在 定义域内存在两实数 满足 且 ,证 明: . 【答案】(1) ;(2)证明见解析. 【详解】(1) 定义域为 , , 当 时, ,即 在 上单调递增,不合题意, ; 令 ,解得: , 当 时, ;当 时, ; 在 上单调递增,在 上单调递减, ; 存在 ,使得 成立,则 ,即 , 又 , ,即 , 令 ,则 , 在 上单调递增,又 , , 即实数 的取值范围为 . (2)当 时, ,则 , 当 时, ;当 时, ; 在 上单调递增,在 上单调递减, 由 且 知: ; 令 , , 则 , 在 上单调递增, ,即 ; ,又 , ; , ,又 且 在 上单调递减, ,即 . 4.(2022·全国·高三阶段练习(文))已知函数 ( 且 ). (1)若函数 的最小值为2,求 的值; (2)在(1)的条件下,若关于 的方程 有两个不同的实数根 ,且 ,求 证: . 【答案】(1)(2)证明见解析 【详解】(1)解:因为 , , 所以 , . 当 时,有 ,所以函数 在 上单调递增,所以函数 不存在最小 值; 所以 不合题意,故 . 当 时,令 ,得 . 当 时, ,函数 在 上单调递减; 当 时, ,函数 在 上单调递增. 所以 ,解得 . 所以, 的值为 (2)解:方法一: 由(1)知, , . 因为 为方程 的两个不同的实数根, 所以 ①; ②. ①-②得: ,即 , 所以 , 令 ,有 ,所以 ,从而得 . 令 ,则 , 所以函数 在 上单调递增,即 , 即 ,又 , 所以 , 恒成立,即 ,得证. 方法二: 由(1)知, , . 因为 为方程 的两个不同的实数根, 所以 ,即方程 有两个不同的实数根 . 令 , ,则 , . 令 ,得 . 当 时, ,所以 在 上单调递减; 当 时, ,所以 在 上单调递增. 因为 , 所以 . 令 , ,则 . 所以 在 上单调递减,所以 ,即 . 所以 ,所以 . 又 在 上单调递增, 所以 .即 ,得证. 题型二:比值代换法 【典例分析】 例题1.(2022·全国·高二期末)已知函数 . (1)讨论 的单调性. (2)若函数 有两个零点 ,且 ,证明: . 【答案】(1)答案见解析 (2)证明见解析 (1) 解:函数 的定义域为 , . ①当 时,令 ,得 ,则 在 上单调递减; 令 ,得 ,则 在 上单调递增. ②当 时,令 ,得 ,则 在 上单调递减; 令 ,得 ,则 在 上单调递增.综上所述,当 时, 在 上单调递减,在 上单调递增; 当 时, 在 上单调递减,在 上单调递增. (2) 证明:因为 为 的两个零点,所以 , , 两式相减,可得 ,即 , , 因此, , . 令 ,则 , 令 ,则 , 所以函数 在 上单调递增,所以 ,即 . 因为 ,所以 ,故 得证. 例题2.(2022·全国·高三专题练习)已知函数 . (1)设函数 ,且 恒成立,求实数 的取值范围; (2)求证: ; (3)设函数 的两个零点 、 ,求证: . 【答案】(1)(2)证明见解析 (3)证明见解析 (1) 解:由 可得 ,可得 , 令 ,其中 ,则 , 当 时, ,此时函数 单调递减, 当 时, ,此时函数 单调递增, 所以, ,所以, ; (2) 解:要证 ,即证 , 由(1)可知, ,当且仅当 时,等号成立, 令 ,其中 ,则 , 当 时, ,此时函数 单调递增, 当 时, ,此时函数 单调递减, 所以, , 因为 和 取等的条件不同,故 ,即 ; (3) 解:由题知 ①, ②,① ②得 ③, ② ①得 ④. ③ ④得 , 不妨设 ,记 . 令 ,则 , 所以 在 上单调递增, 所以 ,则 ,即 , 所以 . 因为 , 所以 ,即 . 令 , ,则 在 上单调递增. 又 , 所以 ,即 ,所以 . 【提分秘籍】比值换元的目的也是消参、减元,就是根据已知条件首先建立极值点之间的关系,然后利 用两个极值点的比值作为变量,从而实现消参、减元的目的.设法用比值(一般用 表示)表 示两个极值点,即 ,化为单变量的函数不等式,继而将所求解问题转化为关于 的 函数问题求解. 【变式演练】 1.(2022·四川成都·高三期中(文))已知函数 有两个零点 , . (1)求a的取值范围; (2)求证: . 【答案】(1) ;(2)证明见解析. 【详解】(1) 有两个零点 有两个相异实根. 令 ,则 由 得: ,由 得: , 在 单调递增,在 单调递减, , 又 , 当 时, ,当 时, 当 时, , 有两个零点时,实数a的取值范围为 . (2)不妨设 ,由题意得 ,, , , 要证: ,只需证 . , 令 , ,只需证 , 只需证: . 令 , , 在 递增, 成立. 综上所述, 成立. 2.(2022·全国·高三专题练习)设函数 . (1)若 ,求 的单调区间; (2)若 存在三个极值点 , , ,且 ,求k的取值范围,并证明: . 【答案】(1)单调减区间为 ,单调增区间为 ;(2) ,证明见解析. 【详解】(1)当 时, , ∴ ,令 ,则 , ∴由 得 , 得 , ∴ 在 上递减,在 上递增, ∴ 即 , ∴ 得 ,解 得 , ∴ 的单调减区间为 ,单调增区间为 ; (2) , ∵ 有三个极值点, ∴方程 有两个不等根,且都不是1, 令 , 当 时, 单调递增, 至多有一根, 当 时, 得 , 得 , ∴ 在 上递减,在 上递增, ∴ , , 此时, , , , 时, , ∴ 时, 有三个根 , , ,且 , 由 得 ,由 得 , ∴ , 下面证明: ,可变形为 ,令 , , ,∴ 在 上递增, ∴ ,∴ , ∴ . 3.(2022·全国·高三专题练习)已知函数 ,且 是函数 的导函数, (1)求函数 的极值; (2)当 时,若方程 有两个不等实根 . (ⅰ)证明: ; (ⅱ)证明: . 【答案】(1)极小值为 ,没有极大值. (2)(ⅰ)证明见解析,(ⅱ)证明见解析 (1) 由题意可知函数 的定义域为 . 由 , 所以 . 令 ,解得 . 当 时, ;当 时, ,所以 在 上单调递减,在 上单调递增, 所以当 时,函数 有极小值为 ,函数 没有极大值. (2) (ⅰ)由题意, , 因为 . 设 ,则 , , 构造函数 ,则 . 当 时, ,所以函数 在 上单调递减, 故 ,所以 . (ⅱ)因为当 时,方程 有两个不等实根 , 所以 即 两式相减得 , 所以 . 由(ⅰ)得 . 由重要不等式得 ,所以 , 即 ,所以 , 所以 , 所以 ,即 . 因为 , 所以 ,所以 . 故由(Ⅰ)得 题型三:对数均值不等式法 【典例分析】 例题1.(2022·全国·高三专题练习)已知函数 ( 为 的导函数). (1)讨论 单调性; (2)设 是 的两个极值点,证明: . 【答案】(1)证明见解析 (2)证明见解析 (1) 的定义域为 . ,设 ,则当 时, 恒成立, 在 上单调递增. 当 时,由 ,得 ;由 ,则 ; 即 在 上单调递增,在 上单调递减 综上,当 时, 在 上单调递增; 当 时, 在 上单调递增,在 上单调递减 (2) 证明: ,因为 , 是函数 的两个极值点, 所以 , 两式相减得, 欲证 ,只需证 . ① 不妨设 ,故①变形为 ② 令 , , 则 在 上单调递增,则 故②式成立,即要证不等式得证 例题2.(2022·黑龙江·牡丹江市第二高级中学高三阶段练习)已知函数 .(1)若 在 上单调递减,求实数 的取值范围. (2)若 是方程 的两个不相等的实数根,证明: . 【答案】(1) ; (2)详见解析 【详解】(1) , , 在 上单调递减, 在 上恒成立,即 , 即 在 , 设 , , , 当 时, ,函数单调递增,当 时, ,函数单调递减, 所以函数 的最大值是 ,所以 ; (2)若 是方程 的两个不相等的实数根, 即 又2个不同实数根 ,且 , , 得 ,即 , 所以 , 不妨设 ,则 , 要证明 ,只需证明 , 即证明 ,即证明 , 令 , , 令函数 , 所以 , 所以函数 在 上单调递减, 当 时, ,所以 , , 所以 ,即 ,即得 【提分秘籍】 两个正数 和 的对数平均定义: 对数平均与算术平均、几何平均的大小关系: (此式记为对数平 均不等式) 取等条件:当且仅当 时,等号成立. 【变式演练】 1.(2022·全国·高三专题练习)已知函数f(x)=lnx﹣ax,a为常数. (1)若函数f(x)在x=1处的切线与x轴平行,求a的值;(2)当a=1时,试比较f(m)与f( )的大小; (3)若函数f(x)有两个零点x1、x2,试证明x1x2>e2. 【答案】(1)a=1;(2)答案不唯一,具体见解析;(3)证明见解析. 【详解】(1)解:由f(x)=lnx﹣ax,得: , ∵函数f(x)在x=1处的切线与x轴平行, ∴ ,即a=1; (2)当a=1时,f(x)=lnx﹣x, ∴ , 当0<x<1时, ,f(x)单调递增, 当x>1时, ,f(x)单调递减. 令 , 则 . 又∵h(1)=0, ①当0<m<1时,h(m)>0,即 ; ②当m=1时,h(m)=0,即 ; ③当m>1时,h(m)<0即 ; (3)证明:∵函数f(x)有两个零点x、x, 1 2 ∴lnx﹣ax=0,lnx﹣ax=0, 1 1 2 2 ∴lnx+lnx=a(x+x),lnx﹣lnx=a(x﹣x), 1 2 1 2 1 2 1 2∴ , 欲证明 ,即证lnx+lnx>2, 1 2 ∵lnx+lnx=a(x+x), 1 2 1 2 ∴即证 , ∴原命题等价于证明 , 即证: (x>x), 1 2 令 ,则t>1,设 (t>1), , ∴g(t)在(1,+∞)上单调递增, 又∵g(1)=0, ∴g(t)>g(1)=0, ∴ ,即 . 2.(2022·全国·高三专题练习)已知函数 存在两个零点 , . (1)求 的取值范围; (2)证明: . 【答案】(1) ;(2)证明见解析. 【详解】(1) , ①当 时, ,则 在 上单调递增, 至多有一个零点,不合题意; ②当 时,当 时, , 单调递减; 当 时, , 在 上单调递增, 则 ,解得 ,注意此时 , (i)当 时, ,此时 , 则 在 和 上分别存在一个零点; (ii)当 时, , 设 , ,所以 , , 所以 在 单调递增,则 , 所以 在 单调递减,则 ,即 , 此时 ,则 在 和 分别存在一个零点; 综上,若 有两个零点,则 的取值范围为 ; (2)不妨设 ,由 得: , 两式相减得: , 两式相加得: , 要证 ,只需证 ,只需证 , 因为 ,所以只需证 , 即证 , 令 , , , 则 , 所以 在 单调递增, 则 ,所以原不等式得证. 一、单选题 1.(2022·吉林长春·模拟预测)已知a,b满足 , ,其中e是自然 对数的底数,则ab的值为( ) A. B. C. D. 【答案】D 【详解】 ,故 , ,即 ; ,故 ,即 . 设 , , ,函数单调递增,,故 ,即 , 整理得到 ,即 . 故选:D. 2.(2022·全国·高三专题练习)已知函数 ,对于正实数a,若关于t的方程 恰有三个不同的正实数根,则a的取值范围是( ) A. B. C. D. 【答案】D 【详解】因为 , ,令 得: ;令 得: ,所以 在区间 单调递增,在 单调递减,且 时, 恒成立, 的图像如下: 令 ,则 ,且 ①当 时, ,成立,所以 是方程的一个实数根 ②当 时,由 得: ,令 则: ,两式相减得: ,两式相加得:所以: ,由对数均值不等式得: 所以: ,且 ,所以 , ,即: 所以 故选:D 3.(2021·河南·郑州外国语中学高三阶段练习(理))关于函数 ,下列说 法错误的是( ) A. 是 的极小值点 B.函数 有且只有 个零点 C.存在正实数 ,使得 恒成立 D.对任意两个正实数 , ,且 ,若 ,则 【答案】C 【详解】对于A选项: 定义域为 , , 时, 时 , 是 的极小值点,A正确; 对于B选项:令 , 在 上递减, , 有唯一零点,B正确; 对于C选项:令 , 令 , 时, 时, ,在 上递减,在 上递增,则 , , 在 上递减, 图象恒在x轴上方, 与x轴无限接近,不存在正实数k使得 恒成立,C错误; 对于D选项:由A选项知, 在 上递减,在 上递增, 因正实数 , ,且 , ,则 , 时,令 , , 即 在 上递减, 于是有 ,从而有 , 又 ,所以 ,即 成立,D正确. 故选:C. 4.(2021·江西·鹰潭一中高三阶段练习(文))关于函数 ,下列说法正确的 是( ) A. 是 的极大值点 B.函数 有2个零点 C.存在正整数k,使得 恒成立 D.对任意两个正实数 ,且 ,若 ,则 【答案】D 【详解】对A, ,函数在 单减,在 单增, 是 的极小值点,A错误;对B, ,函数在 单减,至多 一个零点,B错误; 对C, ,令 ,则 , 设 ,则 ,函数在 单增,在 单减, 所以 ,∴ , 则函数 在 单减,无最小值,且当 时, ,C错误; 对D,不妨设 ,易知 , ,且 , 因为函数 在 单增,则 , 即证: ,记 , 所以 ,所以 在 单减,所以 , 即 ,所以 ,D正确. 故选:D. 二、多选题 5.(2022·黑龙江·哈尔滨市第六中学校高三期中)已知函数 则下列结论正 确的有( ) A.当 时, 是 的极值点 B.当 时, 恒成立 C.当 时, 有2个零点D.若 是关于x的方程 的2个不等实数根,则 【答案】ABD 【详解】对于A,当 时, ,则 , 令 ,得 ;令 ,得 ; 所以 在 上单调递增,在 上单调递减, 所以 是 的极大值点,故A正确; 对于B,令 ,得 , 令 ,则 , 令 ,解得 , 故当 , , 单调递增;当 , , 单调递 减; 所以 , 因为 ,所以 ,故 ,整理得 ,即 恒成立,故B正 确; 对于C,令 ,则 ,令 ,解得 ,故 只有1个零点, 故C错误; 对于D,因为 是关于 的方程 的2个不等实数根, 所以 ,即 , 所以问题等价于 有两个零点 ,证明 ,不妨设 ,则由 得到 , 要证 ,只需要证明 , 即只需证明: , 只需证明: ,即 , 令 , 只需证明: , 令 , 则 ,即 在 上单调递增, 又 ,所以 ,即 恒成立, 综上所述,原不等式成立,即 成立,故D正确. 故选:ABD. 6.(2022·黑龙江·哈尔滨三中模拟预测)已知函数 ,则下列说法正确的是 ( ) A.若 恒成立,则 B.当 时, 的零点只有 个 C.若函数 有两个不同的零点 ,则D.当 时,若不等式 恒成立,则正数 的取值范围是 【答案】BC 【详解】对于A, 定义域为 , 由 得: , 令 ,则 , 当 时, ;当 时, ; 在 上单调递增,在 上单调递减, ,则 ,A错误; 对于B, 定义域为 , , 当 时, , 在 上单调递增, 又 , , ,使得 , 当 时, 有且仅有一个零点,B正确; 对于C, , , ; 要证 ,只需证 ,即证 , 不妨令 ,则只需证 ,令 ,则 , 令 , 则 , 在 上单调递增, , , 即 恒成立, ,C正确; 对于D,当 时,由 得: , 即 , ; 令 ,则 , 在 上单调递增, 由 得: , ; 令 ,则 , 当 时, ;当 时, ; 在 上单调递增,在 上单调递减, , ,D错误. 故选:BC. 7.(2022·全国·高二专题练习)已知函数 ,则( )A. B.若 有两个不相等的实根 、 ,则 C. D.若 ,x,y均为正数,则 【答案】AD 【详解】解:对于A: ,又 , , ,所以 ,则有 ,A正确; 对于B:若 有两个不相等的实根 、 ,则 ,故B不正确; 证明如下:函数 ,定义域为 ,则 , 当 时, ;当 时, ; 所以 在 上单调递增,在 上单调递减,则 且 时,有 ,所以 若 有两个不相等的实根 、 ,有 , 不妨设 ,有 ,要证 ,只需证 ,且 ,又 ,所以只需证 ,令 则有 当 时, , ,所以有 ,即 在 上单调递增, 且 ,所以 恒成立,即 ,即 ,即 .对于C:由B可知, 在 上单调递增,则有 ,即 ,则有 ,故C不正确; 对于D:令 ,则 , , , , ,故D正确; 故选:AD. 三、解答题 8.(2022·湖南·长沙市同升湖高级中学有限公司高三阶段练习)已知函数 . (1)证明: . (2)若函数 ,若存在 使 ,证明: . 【答案】(1)证明见解析 (2)证明见解析 【详解】(1)令 , , , 令 ,解得: ;令 ,解得: , ∴ 在 递增,在 递减,则 , ∴ 恒成立,即 . (2)∵ , ,∴ , 令 ,解得: ;令 ,解得: ;∴ 在 递增,在 递减. 又∵ , , , ,且 , . 要证 ,即证 . ∵ ,∴ , 又∵ ,∴只证 即可. 令 , , 恒成立, ∴ 在 单调递增. 又∵ ,∴ ,∴ , 即 ,∴ . 9.(2022·全国·高三专题练习)已知函数 . (1)求 的单调区间 (2)若 的极值点为 ,且 ,证明: . 【答案】(1)单调递减区间为 ,单调递增区间为 (2)证明见解析 (1)解: 的定义域为 , , 由 ,得 . 当 时, ;当 时, . 所以 的单调递减区间为 ,单调递增区间为 . (2) 证明:由(1)可知,由 的极值点为 ,得 , 所以 , . 当 时, ;当 时, , 则函数 的大致图象,如图所示; 不妨设 ,若 , 由图象知: , 又 , 所以要证 ,即证 ,当 时, , . 当 时, , , = , . 设 , , 则 , , 令 ,则 , 所以 在 上单调递减, 所以 , 在 上单调递增, 则 , 所以 ,即 , 又因为n, ,且 在 上单调递增, 所以 ,即 , 则 . 综上, . 10.(2022·江苏常州·高三期中)已知函数 , , .(1)若 在x=0处的切线与 在x=1处的切线相同,求实数a的值; (2)令 ,直线y=m与函数 的图象有两个不同的交点,交点横坐标 分别为 , ,证明: . 【答案】(1)a=1 (2)证明见解析 【详解】(1) , . , ,1-a=a-1,a =1. 检验a=1时两个函数切线方程都是y=1. (2) ,x>0,令 ,则 , ∴ 在 递增, , , 因为函数 连续不间断,所以存在唯一实数 , , ,从而 在 递减, 递增. 不妨设 ,则 , 当 时, . 当 ,则 , , 在 递增,, , 令 , , 令 , , 令 , ,, , 在 递减, 因为 , , , 在 递增, ,所以 在 递减, 所以 , 即 ,即 , 因为 , , 在 递增, 所以 ,所以 .综上可得, . 11.(2022·河南·高三阶段练习(文))已知函数 . (1)若 时, ,求 的取值范围; (2)当 时,方程 有两个不相等的实数根 ,证明: . 【答案】(1) (2)证明见解析 【详解】(1)∵ , ,∴ , 设 , , 当 时,令 得 ,当 时, , 单调递减;当 时, , 单调递增, ∴ ,与已知矛盾. 当 时, ,∴ 在 上单调递增,∴ ,满足条件; 综上, 取值范围是 . (2)证明:当 时, ,当 , ,当 , ,则 在区间 上单调递增,在区间 上单调递减, 不妨设 ,则 ,要证 ,只需证 , ∵ 在区间 上单调递增,∴只需证 , ∵ ,∴只需证 . 设 ,则 , ∴ 在区间 上单调递增,∴ ,∴ ,即 成立, ∴ . 12.(2022·贵州六盘水·高二期末(理))已知函数 . (1)讨论 的单调性; (2)若 有两个不相同的零点 ,设 的导函数为 .证明: . 【答案】(1)当 时, 在 上单调递增, 当 时, 在 上单调递减,在 上单调递增 (2)证明见解析 【详解】(1) 的定义域为 , 且 , 当 时, 恒成立, 在 上单调递增,当 时,令 ,解得 ,令 ,解得 , 故 在 上单调递减,在 上单调递增, 综上:当 时, 在 上单调递增, 当 时, 在 上单调递减,在 上单调递增; (2)由(1)知:当 时, 在 上单调递增,故 至多有一个零点,不合 要求,故 , 要想 有两个不相同的零点 ,则 , 解得: , ,故 要证 ,即证 , 即证: , 因为 在 上单调递增, 所以只需证 ,不妨设 , 两式相减得: , 变形为 , 下面证明 在 上成立, 只需证 ,即 ,令 ,即证 , 构造 , , 则 恒成立, 故 在 上单调递增, 故 ,所以 , , 故 ,即 ,所以 , ,证毕. 四、双空题 13.(2022·吉林市教育学院模拟预测(理))已知函数 的极大值点为0,则 实数m的值为_________;设 ,且 ,不等式 恒成 立,则实数 的取值范围为_____________. 【答案】 1 【详解】解: ,则 ,则 ,解得 , 此时 , ,当 时 ,当 时 , 所以 在 上的单调递增,在 上单调递减,则 在 处取极大值, 符合题意; 令 ,则 构造函数 ,则 . 因为 ,所以当 时 ,当 时 ,即 在 上单调递增,在 上单调递减,又 , 易知 的图象如图所示: 不妨令 , 令 ∵ ∴ 在 上单调递增,即 ∵ ,∴ ,即 ∵ ,∴ ∵ 在 上单调递减,∴ 故答案为:1;